A Cost-Effective Portable Multiband Spectrophotometer for Precision Agriculture
Abstract
1. Introduction
2. Materials and Methods
2.1. Optical Design
2.2. Signal Acquisition
2.3. Data Processing
3. Device Characterization
3.1. Accuracy Determination
3.2. Precision Determination
3.3. Signal-to-Noise Ratio Improvement
3.4. Comparison with Commercial Devices
4. Experimental Tests
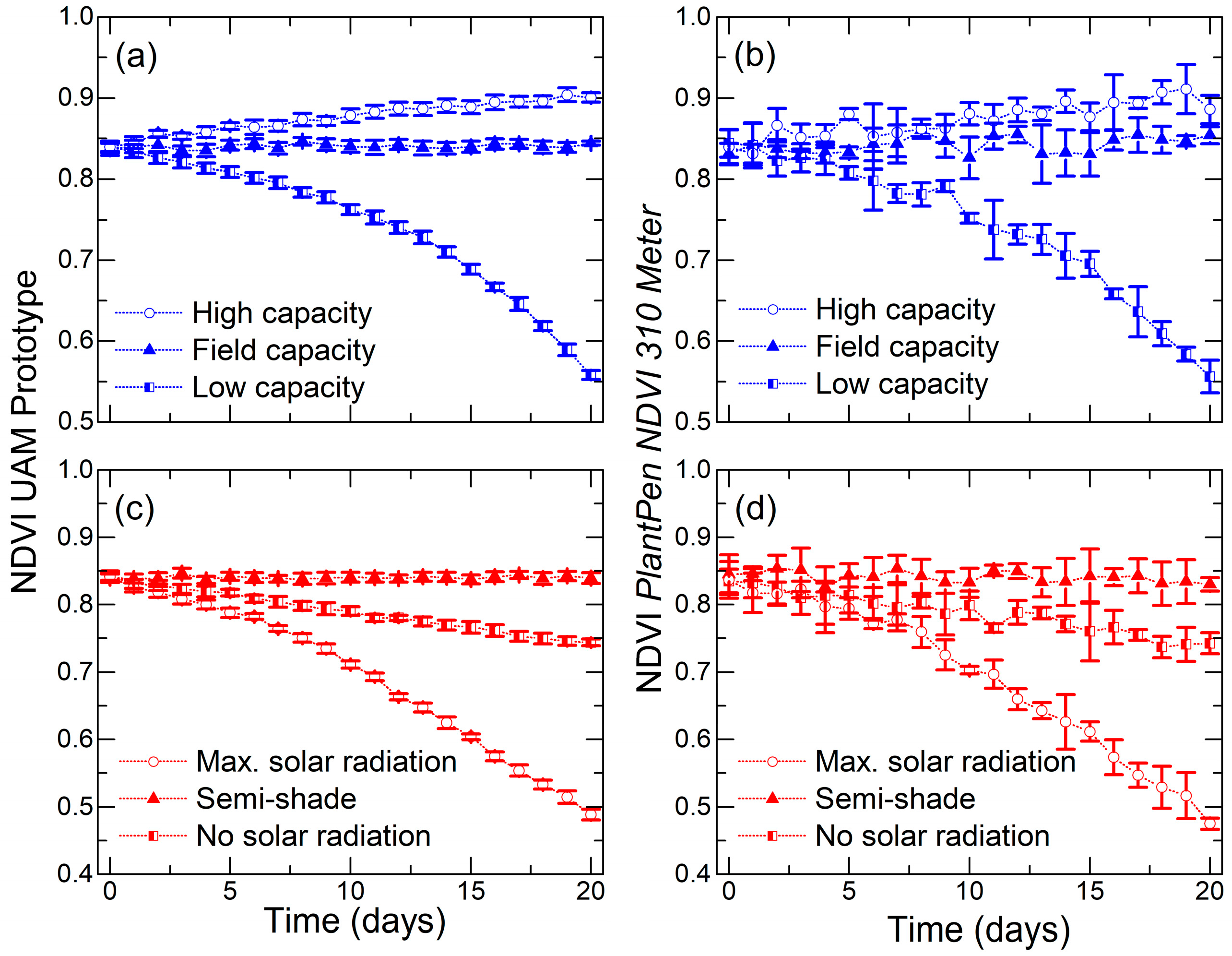
4.1. Sensitivity of the Device to Changes in Sunlight Exposure and Soil Water
4.2. Sensitivity of the Device to Fruit Ripening
5. Conclusions
Author Contributions
Funding
Institutional Review Board Statement
Data Availability Statement
Acknowledgments
Conflicts of Interest
References
- Mirkovic, T.; Ostroumov, E.E.; Anna, J.M.; van Grondelle, R.; Govindjee; Scholes, G.D. Light Absorption and Energy Transfer in the Antenna Complexes of Photosynthetic Organisms. Chem. Rev. 2017, 117, 249–293. [Google Scholar] [CrossRef]
- Demirel, Y. Green Energy and Technology; Springer: London, UK, 2012; ISBN 978-1-4471-2371-2. [Google Scholar]
- Kitić, G.; Tagarakis, A.; Cselyuszka, N.; Panić, M.; Birgermajer, S.; Sakulski, D.; Matović, J. A New Low-Cost Portable Multispectral Optical Device for Precise Plant Status Assessment. Comput. Electron. Agric. 2019, 162, 300–308. [Google Scholar] [CrossRef]
- Barber, J. Photosynthetic Energy Conversion: Natural and Artificial. Chem. Soc. Rev. 2009, 38, 185–196. [Google Scholar] [CrossRef]
- Lizana, C.; Wentworth, M.; Martinez, J.P.; Villegas, D.; Meneses, R.; Murchie, E.H.; Pastenes, C.; Lercari, B.; Vernieri, P.; Horton, P.; et al. Differential Adaptation of Two Varieties of Common Bean to Abiotic Stress. J. Exp. Bot. 2006, 57, 685–697. [Google Scholar] [CrossRef] [PubMed]
- Zhao, W.; Liu, L.; Shen, Q.; Yang, J.; Han, X.; Tian, F.; Wu, J. Effects of Water Stress on Photosynthesis, Yield, and Water Use Efficiency in Winter Wheat. Water 2020, 12, 2127. [Google Scholar] [CrossRef]
- Mathur, S.; Agrawal, D.; Jajoo, A. Photosynthesis: Response to High Temperature Stress. J. Photochem. Photobiol. B Biol. 2014, 137, 116–126. [Google Scholar] [CrossRef]
- Chaves, M.M.; Flexas, J.; Pinheiro, C. Photosynthesis under Drought and Salt Stress: Regulation Mechanisms from Whole Plant to Cell. Ann. Bot. 2009, 103, 551–560. [Google Scholar] [CrossRef] [PubMed]
- Sudhir, P.; Murthy, S.D.S. Effects of Salt Stress on Basic Processes of Photosynthesis. Photosynthetica 2004, 42, 481–486. [Google Scholar] [CrossRef]
- Therby-Vale, R.; Lacombe, B.; Rhee, S.Y.; Nussaume, L.; Rouached, H. Mineral Nutrient Signaling Controls Photosynthesis: Focus on Iron Deficiency-Induced Chlorosis. Trends Plant Sci. 2022, 27, 502–509. [Google Scholar] [CrossRef]
- Cesco, S.; Lucini, L.; Miras-Moreno, B.; Borruso, L.; Mimmo, T.; Pii, Y.; Puglisi, E.; Spini, G.; Taskin, E.; Tiziani, R.; et al. The Hidden Effects of Agrochemicals on Plant Metabolism and Root-Associated Microorganisms. Plant Sci. 2021, 311, 111012. [Google Scholar] [CrossRef]
- Synková, H.; Semorádová, Š.; Schnablová, R.; Müller, K.; Pospíšilová, J.; Ryšlavá, H.; Malbeck, J.; Čeřovská, N. Effects of Biotic Stress Caused by Potato virus Y on Photosynthesis in ipt Transgenic and Control Nicotiana tabacum L. Plant Sci. 2006, 171, 607–616. [Google Scholar] [CrossRef]
- Lawlor, D.W. Musings about the Effects of Environment on Photosynthesis. Ann. Bot. 2009, 103, 543–549. [Google Scholar] [CrossRef]
- Breckle, S.-W. Salinity, Halophytes and Salt Affected Natural Ecosystems. In Salinity: Environment—Plants—Molecules; Läuchli, A., Lüttge, U., Eds.; Kluwer Academic Publishers: Dordrecht, The Netherlands, 2004; pp. 53–77. ISBN 978-1-4020-0492-6. [Google Scholar]
- Williams, A.; Vries, F.T. Plant Root Exudation under Drought: Implications for Ecosystem Functioning. New Phytol. 2020, 225, 1899–1905. [Google Scholar] [CrossRef] [PubMed]
- Ochieng, J.; Kirimi, L.; Mathenge, M. Effects of Climate Variability and Change on Agricultural Production: The Case of Small Scale Farmers in Kenya. NJAS Wagening. J. Life Sci. 2016, 77, 71–78. [Google Scholar] [CrossRef]
- Rodrigo, S.; Santamaria, O.; Halecker, S.; Lledó, S.; Stadler, M. Antagonism between Byssochlamys Spectabilis (Anamorph Paecilomyces variotii) and Plant Pathogens: Involvement of the Bioactive Compounds Produced by the Endophyte: Antagonism between B. spectabilis and Plant Pathogens. Ann. Appl. Biol. 2017, 171, 464–476. [Google Scholar] [CrossRef]
- Raven, P.H.; Evert, R.F.; Eichhorn, S.E. Biology of Plants, 7th ed.; W.H. Freeman: New York, NY, USA, 2005; ISBN 978-0-7167-1007-3. [Google Scholar]
- Björn, L.O.; Papageorgiou, G.C.; Blankenship, R.E.; Govindjee. A Viewpoint: Why Chlorophyll a? Photosynth. Res. 2009, 99, 85–98. [Google Scholar] [CrossRef]
- Bullerjahn, G.S.; Post, A.F. The Prochlorophytes: Are They More Than Just Chlorophyll a/b-Containing Cyanobacteria? Crit. Rev. Microbiol. 1993, 19, 43–59. [Google Scholar] [CrossRef]
- Jacob-Lopes, E.; Zepka, L.Q.; Queiroz, M.I. (Eds.) Chlorophyll; InTech: London, UK, 2017; ISBN 978-953-51-3107-6. [Google Scholar]
- Gitelson, A.; Merzlyak, M.N. Quantitative Estimation of Chlorophyll-a Using Reflectance Spectra: Experiments with Autumn Chestnut and Maple Leaves. J. Photochem. Photobiol. B Biol. 1994, 22, 247–252. [Google Scholar] [CrossRef]
- Sonobe, R.; Sano, T.; Horie, H. Using Spectral Reflectance to Estimate Leaf Chlorophyll Content of Tea with Shading Treatments. Biosyst. Eng. 2018, 175, 168–182. [Google Scholar] [CrossRef]
- Sonobe, R.; Yamashita, H.; Mihara, H.; Morita, A.; Ikka, T. Estimation of Leaf Chlorophyll a, b and Carotenoid Contents and Their Ratios Using Hyperspectral Reflectance. Remote Sens. 2020, 12, 3265. [Google Scholar] [CrossRef]
- Vahtmäe, E.; Kotta, J.; Orav-Kotta, H.; Kotta, I.; Pärnoja, M.; Kutser, T. Predicting Macroalgal Pigments (Chlorophyll a, Chlorophyll b, Chlorophyll a + b, Carotenoids) in Various Environmental Conditions Using High-Resolution Hyperspectral Spectroradiometers. Int. J. Remote Sens. 2018, 39, 5716–5738. [Google Scholar] [CrossRef]
- Li, J.; Zhao, B.; Chen, P.; Wu, R.; Li, B.; Xia, Q.; Guo, G.; Luo, J.; Zang, K.; Zhang, Z.; et al. Synthesis of Ultrathin Metallic MTe 2 (M = V, Nb, Ta) Single-Crystalline Nanoplates. Adv. Mater. 2018, 30, 1801043. [Google Scholar] [CrossRef] [PubMed]
- Khodabakhshian, R.; Emadi, B. Application of Vis/SNIR Hyperspectral Imaging in Ripeness Classification of Pear. Int. J. Food Prop. 2017, 20, S3149–S3163. [Google Scholar] [CrossRef]
- Liu, C.; Liu, W.; Lu, X.; Ma, F.; Chen, W.; Yang, J.; Zheng, L. Application of Multispectral Imaging to Determine Quality Attributes and Ripeness Stage in Strawberry Fruit. PLoS ONE 2014, 9, e87818. [Google Scholar] [CrossRef]
- Kasampalis, D.S.; Tsouvaltzis, P.; Ntouros, K.; Gertsis, A.; Gitas, I.; Siomos, A.S. The Use of Digital Imaging, Chlorophyll Fluorescence and Vis/NIR Spectroscopy in Assessing the Ripening Stage and Freshness Status of Bell Pepper Fruit. Comput. Electron. Agric. 2021, 187, 106265. [Google Scholar] [CrossRef]
- Xue, J.; Su, B. Significant Remote Sensing Vegetation Indices: A Review of Developments and Applications. J. Sens. 2017, 2017, 1353691. [Google Scholar] [CrossRef]
- Kizilgeci, F.; Yildirim, M.; Islam, M.S.; Ratnasekera, D.; Iqbal, M.A.; Sabagh, A.E. Normalized Difference Vegetation Index and Chlorophyll Content for Precision Nitrogen Management in Durum Wheat Cultivars under Semi-Arid Conditions. Sustainability 2021, 13, 3725. [Google Scholar] [CrossRef]
- Wu, C.; Niu, Z.; Tang, Q.; Huang, W. Estimating Chlorophyll Content from Hyperspectral Vegetation Indices: Modeling and Validation. Agric. For. Meteorol. 2008, 148, 1230–1241. [Google Scholar] [CrossRef]
- Cui, B.; Zhao, Q.; Huang, W.; Song, X.; Ye, H.; Zhou, X. A New Integrated Vegetation Index for the Estimation of Winter Wheat Leaf Chlorophyll Content. Remote Sens. 2019, 11, 974. [Google Scholar] [CrossRef]
- Datt, B. Remote Sensing of Chlorophyll a, Chlorophyll b, Chlorophyll A+b, and Total Carotenoid Content in Eucalyptus Leaves. Remote Sens. Environ. 1998, 66, 111–121. [Google Scholar] [CrossRef]
- Jordan, C.F. Derivation of Leaf-Area Index from Quality of Light on the Forest Floor. Ecology 1969, 50, 663–666. [Google Scholar] [CrossRef]
- Peñuelas, J.; Gamon, J.A.; Griffin, K.L.; Field, C.B. Assessing Community Type, Plant Biomass, Pigment Composition, and Photosynthetic Efficiency of Aquatic Vegetation from Spectral Reflectance. Remote Sens. Environ. 1993, 46, 110–118. [Google Scholar] [CrossRef]
- Roujean, J.-L.; Breon, F.-M. Estimating PAR Absorbed by Vegetation from Bidirectional Reflectance Measurements. Remote Sens. Environ. 1995, 51, 375–384. [Google Scholar] [CrossRef]
- Girolimetto, D.; Venturini, V. Water Stress Estimation from NDVI-Ts Plot and the Wet Environment Evapotranspiration. Adv. Remote Sens. 2013, 2, 283–291. [Google Scholar] [CrossRef]
- McFeeters, S.K. The Use of the Normalized Difference Water Index (NDWI) in the Delineation of Open Water Features. Int. J. Remote Sens. 1996, 17, 1425–1432. [Google Scholar] [CrossRef]
- Wang, F.; Huang, J.; Tang, Y.; Wang, X. New Vegetation Index and Its Application in Estimating Leaf Area Index of Rice. Rice Sci. 2007, 14, 195–203. [Google Scholar] [CrossRef]
- Haboudane, D.; Miller, J.R.; Tremblay, N.; Zarco-Tejada, P.J.; Dextraze, L. Integrated Narrow-Band Vegetation Indices for Prediction of Crop Chlorophyll Content for Application to Precision Agriculture. Remote Sens. Environ. 2002, 81, 416–426. [Google Scholar] [CrossRef]
- Peñuelas, J.; Baret, F.; Filella, I. Semi-Empirical Indices to Assess Carotenoids/Chlorophyll-a Ratio from Leaf Spectral Reflectance. Photosynthetica 1995, 31, 221–230. [Google Scholar]
- Huete, A.; Didan, K.; Miura, T.; Rodriguez, E.P.; Gao, X.; Ferreira, L.G. Overview of the Radiometric and Biophysical Performance of the MODIS Vegetation Indices. Remote Sens. Environ. 2002, 83, 195–213. [Google Scholar] [CrossRef]
- Jiang, C.; Johkan, M.; Hohjo, M.; Tsukagoshi, S.; Maturo, T. A Correlation Analysis on Chlorophyll Content and SPAD Value in Tomato Leaves. HortResearch 2017, 71, 37–42. [Google Scholar]
- Padilla, F.M.; Gallardo, M.; Peña-Fleitas, M.T.; de Souza, R.; Thompson, R.B. Proximal Optical Sensors for Nitrogen Management of Vegetable Crops: A Review. Sensors 2018, 18, 2083. [Google Scholar] [CrossRef] [PubMed]
- Shibaeva, T.G.; Mamaev, A.V.; Sherudilo, E.G. Evaluation of a SPAD-502 Plus Chlorophyll Meter to Estimate Chlorophyll Content in Leaves with Interveinal Chlorosis. Russ. J. Plant Physiol. 2020, 67, 690–696. [Google Scholar] [CrossRef]
- Zeng, L.; Li, D. Development of In Situ Sensors for Chlorophyll Concentration Measurement. J. Sens. 2015, 2015, 903509. [Google Scholar] [CrossRef]
- Available online: https://www.arduino.cc/ (accessed on 12 December 2022).
- Chaudry, A.M. Using Arduino Uno Microcontroller to Create Interest in Physics. Phys. Teach. 2020, 58, 418–421. [Google Scholar] [CrossRef]
- General Assembly of the United Nations Resolution 70/1. In Transforming Our World: The 2030 Agenda for Sustainable Development; United Nations: New York, NY, USA, 2015.
- Hameed, A.A.; Sultan, A.J.; Booneya, M.F. Design and Implementation a New Real Time Overcurrent Relay Based on Arduino MEGA. IOP Conf. Ser. Mater. Sci. Eng. 2020, 881, 012142. [Google Scholar] [CrossRef]
- Wu, W.-C.S.; Helms, W.J.; Kuhn, J.A.; Byrkett, B.E. Digital-Compatible High-Performance Operational Amplifier with Rail-to-Rail Input and Output Ranges. IEEE J. Solid-State Circuits 1994, 29, 63–66. [Google Scholar] [CrossRef]
- Moczulski, W. The Digital Synchronous Filtering Technique. Mech. Syst. Signal Process. 1987, 1, 197–210. [Google Scholar] [CrossRef]
- Hanssen, L. Integrating-Sphere System and Method for Absolute Measurement of Transmittance, Reflectance, and Absorptance of Specular Samples. Appl. Opt. 2001, 40, 3196. [Google Scholar] [CrossRef]
- Spectrum Technologies, Inc. FieldScout CM 1000 NDVI Meter Producto Manual; Sprectrum Technologies, Inc.: Aurora, IL, USA, 2009. [Google Scholar]
- Photon Systems Instruments. PlantPen NDVI & PRI Instruction Guide; Photon Systems Instruments: Drasov, Czech Republic, 2021. [Google Scholar]
- Hikosaka, K.; Hanba, Y.T.; Hirose, T.; Terashima, I. Photosynthetic Nitrogen-Use Efficiency in Leaves of Woody and Herbaceous Species: PNUE of Woody and Herbaceous Species. Funct. Ecol. 1998, 12, 896–905. [Google Scholar] [CrossRef]
- Noguchi, K.; Taylor, N.L.; Millar, A.H.; Lambers, H.; Day, D.A. Response of Mitochondria to Light Intensity in the Leaves of Sun and Shade Species. Plant Cell Environ. 2005, 28, 760–771. [Google Scholar] [CrossRef]
- Noguchi, K.; Terashima, I. Different Regulation of Leaf Respiration between Spinacia Oleracea, a Sun Species, and Alocasia Odora, a Shade Species. Physiol. Plant. 1997, 101, 1–7. [Google Scholar] [CrossRef]










| Vegetation Index | Equation | Reference |
|---|---|---|
| Simple Ratio (SR) | [35] | |
| Normalized Pigment Chlorophyll Ratio Index (NPCI) | [36] | |
| Renormalized Difference Vegetation Index (RDVI) | [37] | |
| Normalized Difference Vegetation Index (NDVI) | [38] | |
| Green NDVI (NDVIg) | [39] | |
| Blue NDVI (NDVIr) | [40] | |
| Infrared Percentage Vegetation Index (IPVI) | [41] | |
| Structure Insensitive Pigment Index (SIPI) | [42] | |
| Enhanced Vegetation Index (EVI) | [43] |
| Band | λmed (nm) | λmax (nm) | Δλ (nm) |
|---|---|---|---|
| Blue-I | 428.5 | 419.5 | 23.5 |
| Blue-II | 457.7 | 457.0 | 13.0 |
| Green | 519.5 | 517.0 | 15.0 |
| Orange | 591.0 | 592.5 | 5.5 |
| Red-I | 620.2 | 621.0 | 7.0 |
| Red-II | 656.2 | 656.0 | 8.0 |
| Infrared | 848.1 | 847.5 | 13.5 |
| Band | Inaccuracy (% of Measurement) |
|---|---|
| Blue-I | 0.72% |
| Blue-II | 0.94% |
| Green | 0.88% |
| Orange | 1.32% |
| Red-I | 0.61% |
| Red-II | 0.60% |
| Infrared | 0.42% |
| Stages | Inaccuracy (% of Measurement) | NDVI Precision (% of Measurement) | NF (% of Full Scale) | ||
|---|---|---|---|---|---|
| Gain 1 | Gain 2 | Gain 3 | |||
| No Signal Processing | 68% | 44% | 6.0% | -- | -- |
| LPF | 26% | 32% | 3.4% | -- | -- |
| LPF + Amplification | 5.4% | 7.7% | 0.74% | 1.0% | 1.2% |
| LPF + Amplification + DSF | 0.78% | 0.61% | 0.06% | 0.08% | 0.10% |
Disclaimer/Publisher’s Note: The statements, opinions and data contained in all publications are solely those of the individual author(s) and contributor(s) and not of MDPI and/or the editor(s). MDPI and/or the editor(s) disclaim responsibility for any injury to people or property resulting from any ideas, methods, instructions or products referred to in the content. |
© 2023 by the authors. Licensee MDPI, Basel, Switzerland. This article is an open access article distributed under the terms and conditions of the Creative Commons Attribution (CC BY) license (https://creativecommons.org/licenses/by/4.0/).
Share and Cite
Fernández-Alonso, F.J.; Hernández, Z.; Torres-Costa, V. A Cost-Effective Portable Multiband Spectrophotometer for Precision Agriculture. Agriculture 2023, 13, 1467. https://doi.org/10.3390/agriculture13081467
Fernández-Alonso FJ, Hernández Z, Torres-Costa V. A Cost-Effective Portable Multiband Spectrophotometer for Precision Agriculture. Agriculture. 2023; 13(8):1467. https://doi.org/10.3390/agriculture13081467
Chicago/Turabian StyleFernández-Alonso, Francisco Javier, Zulimar Hernández, and Vicente Torres-Costa. 2023. "A Cost-Effective Portable Multiband Spectrophotometer for Precision Agriculture" Agriculture 13, no. 8: 1467. https://doi.org/10.3390/agriculture13081467
APA StyleFernández-Alonso, F. J., Hernández, Z., & Torres-Costa, V. (2023). A Cost-Effective Portable Multiband Spectrophotometer for Precision Agriculture. Agriculture, 13(8), 1467. https://doi.org/10.3390/agriculture13081467

