Next Article in Journal
Flowering Phenology of Olive Cultivars in Two Climate Zones with Contrasting Temperatures (Subtropical and Mediterranean)
Previous Article in Journal
Distinguishing Seed Cultivars of Quince (Cydonia oblonga Mill.) Using Models Based on Image Textures Built Using Traditional Machine Learning Algorithms
Previous Article in Special Issue
Evaluation of the Use of a Material with Struvite from a Wastewater Treatment Plant as N Fertilizer in Acid and Basic Agricultural Soils
 
 
Font Type:
Arial Georgia Verdana
Font Size:
Aa Aa Aa
Line Spacing:
Column Width:
Background:
Communication

Effect of Solid Digestate Amendment on the Dynamics of N Soluble Forms in Two Contrasting Soil Profiles under Mediterranean Environment

Dipartimento di Agraria, Università degli Studi “Mediterranea” di Reggio Calabria, Località Feo di Vito, 89122 Reggio Calabria, Italy
*
Author to whom correspondence should be addressed.
Agriculture 2023, 13(7), 1311; https://doi.org/10.3390/agriculture13071311
Submission received: 12 May 2023 / Revised: 1 June 2023 / Accepted: 22 June 2023 / Published: 27 June 2023
(This article belongs to the Special Issue Nitrogen and Carbon Cycle in Agriculture)

Abstract

Use of solid agricultural digestate as a substitute for chemical fertilizers in Mediterranean cropping systems can be a valuable approach to improving soil fertility. However, it is important to accurately assess its mineralisation dynamics in order to avoid uncontrolled nutrient releases in agroecosystems. With this aim, a field experiment was conducted to evaluate the effects of solid digestate application on total soil nitrogen (TSN), extractable organic N (EON) and mineral N forms (NH4+-N and NO3-N) in two Mediterranean soil profiles (clay and sandy-loam) over one year. The solid digestate increased TSN and EON concentrations in the upper soil layer (0–20 cm) of both soils, more in the clay soil, with a decreasing effect in the lower soil layers (20–40 and 40–60 cm). The amendment increased NH4+-N concentrations, with a greater and longer-lasting effect in the clay soil, especially in the first two soil layers (0–20 and 20–40 cm), while in the lowest, it was limited at the first sampling epoch. The NO3-N copied the NH4+-N trends in both soils, with a greater effect on the 0–20 cm soil layer at all sampling epochs. The present study suggests that solid digestate, applied at a dose of 30 Mg ha−1, can be a useful alternative to mineral N fertilisers for clay and sandy-loam soils in Mediterranean orchards.

1. Introduction

Sustainable soil fertility management is of paramount importance for several aspects, including food security and the achievement of climate change mitigation targets, such as increasing carbon sequestration. To this end, given the high environmental impact of global fertilisers production (land-invasive extraction activities and/or greenhouse gas emissions, high energy consumption) and transport and their conjectural shortage on the global market with an increase of prices, farmers’ interest has turned to by-products of organic nature that are nearby available and less costly, such as composts from municipal solid wastes and digestates whose agronomic reuse is one of the virtuous mechanisms of the circular economy. Between these two organic matrices, agricultural anaerobic digestate is a by-product from agro-energetic plants where zootechnical effluents and agricultural matrices are digested under anaerobic conditions to produce biogas for direct use or cogeneration of electricity. Approximately 180 million tonnes of digestate are annually produced in Europe at a rate of about 23 m3 of digestate per kW installed, which is expected to increase in the future due to the increase in power produced by anaerobic digestion plants [1,2].
The characteristics of digestate such as its high organic matter content (∼40%) and, in particular, the abundance of nutrients such as nitrogen (NO3-N and NH4+-N), phosphorus (P) and potassium (K), have made it very popular as a substitute for chemical fertilisers and as a soil amendment to improve various physical, chemical and biochemical soil properties [3,4,5,6,7]. However, due to the high availability of mineral and readily mineralizable N, a large amount of this element could be released into the soil after digestate distribution. If not retained by soil or absorbed by plants, N may encounter an uncertain fate and undergo losses from the agroecosystem through leaching [8,9] or denitrification [10,11,12]. Leaching occurs at the expense of the mobile nutrients (especially N compounds), which are transported to the deeper layers of the soil by infiltration of water and are no longer absorbed by the root system of the crops, polluting the aquifers and causing economic and environmental damage; indeed, this phenomenon is a major issue in areas where intensive agriculture and livestock farming are practised [13,14,15]. N leaching is closely linked to the specific soil properties and climatic conditions of agricultural areas, which play a fundamental role in the N uptake and release processes and control the potential loss to the environment; therefore, each agroecosystem shows its dynamics in nitrogen fluxes. Despite the relevance of this issue, there are few studies on nitrogen leaching after digestate conditioning in the Mediterranean environment, characterized by specific soils and climate.
Given these premises, our research aimed to study the effects of the amendment with solid anaerobic digestate on the release of soluble N form along the soil profile, up to a depth of 60 cm, during one year in two different soils with contrasting properties under Mediterranean climate conditions.

2. Materials and Methods

2.1. Agricultural Solid Digestate

Solid digestate was obtained from an anaerobic continuous mesophilic biogas plant. The main feedstock used to feed the biogas digester were zootechnical effluents (from dairy cows and egg and poultry farming), crop residues (pruning materials and cereal straws) and waste by-products from the agro-food industry (citrus pomace, olive mill wastewater and dairy wastewater). The produced digestate was separated into a solid fraction, which was used in this experiment, and a liquid fraction, which was discarded. The main characteristics of the solid digestate were as follows: dry matter 18.0%, ash 14.4%, pH 8.77, EC 2.14 dS m−1, total C 39.0%, total N 1.6%, NH4+-N 5.59 g kg−1, NO3-N 0.034 g kg−1. A detailed description of the agricultural solid anaerobic digestate is available in Pathan et al. [16] and Badagliacca et al. [6].

2.2. Experimental Sites

Two field experiments were set up during the 2016/17 growing season in an olive grove (Olea europaea L. cv. Carolea) and an orange orchard (Citrus sinensis L. Osbeck cv. Tarocco) sited in the Calabria region, southern Italy, and characterized by contrasting soil properties and environmental conditions (Figure 1).
The olive orchard was located nearby Lamezia Terme (Catanzaro, 38°58′ N, 16°18′ E, 81 m above sea level) in an area characterized by mild winters and relatively warm summers with rainfall concentrated in the autumn-winter period. Mean annual rainfall is 1094 mm, while mean air temperature is +14.3 °C (1985–2015 averages) [17]. Soil thermal regime is thermic, while moisture regime is udic [18]. The soil is classified as Typic Hapludalf fine, mixed thermic [19] or Cutanic Profondic Luvisol. The main soil properties of olive orchard soil are as follows: 18.9% sand, 36.1% silt, 45.0% clay, clay texture (USDA), pH 5.44 (1:2.5 H2O), EC 0.170 dS m−1, CEC 51.9 cmol+ kg−1, total organic C 2.1%, total N 0.2%, total CaCO3 0.0 g kg−1, active CaCO3 0.0 g kg−1. The olive orchard has been continuously cultivated since mid-1950s, with a planting distance of 6 × 6 m, and periodically tilled.
The citrus orchard is located in an area near Locri (Reggio Calabria, 38°13′ N, 16°14′ E, 12 m above the sea level) characterized by mild and rainy winters and arid and warm summers. Mean annual rainfall is 792 mm, and +18.3 °C is the mean air temperature (1988–2015 averages) [17]. Soil thermal regime is thermic, while moisture regime is xeric [18]. The soil is a slightly calcareous sandy-loam soil classified as Typic Xerofluvent (Soil Survey Staff, 2010) or Fluvi Calcaric Cambisol (IUSS Working Group WRB, 2006). The main soil properties of orange orchard soil are as follows: 57.7% sand, 29.8% silt, 12.5% clay, sandy-loam texture (USDA), pH 7.46 (1:2.5 H2O), EC 0.210 dS m−1, CEC 36.1 cmol+ kg−1, total organic C 1.4%, total N 0.1%, total CaCO3 22.5 g kg−1, active CaCO3 6.9 g kg−1. The soil has been cultivated with orange trees from mid-1980s, with a planting distance of 4 × 4 m, and periodically tilled. Further information regarding the soils of the experimental sites is available in Pathan et al. [16] and Badagliacca et al. [6].

2.3. Experimental Design and Soil Management

The field experiments were started at the end of May 2016 by arranging plots (75 m × 18 m) in a randomized complete block design (RCBD) with four replications. According to the aims of this study, the following treatments were tested: (1) unamended control (CONTROL) which consisted of a soil tillage by harrowing (~20 cm till depth) followed by a slight rolling, and (2) the amendment with solid digestate (DIGESTATE) at a rate of 30 Mg ha−1 which was incorporated into the soil by harrowing (same as in CONTROL). The dose of digestate used in the experiment is the standard quantity applied by the farmers in the area, and it is in agreement with Barra Caracciolo et al. [20] and Fernández-Bayo et al. [21].

2.4. Soil Sampling

Soil samples were collected during the 2016/17 growing season at the following stages: immediately before (Pre-treat, early May 2016) and then one month (T1, late June 2016), five months (T2, mid-September 2016) and one year (T3, early May 2017) after the digestate application. Four soil samples per treatment, each obtained by thoroughly mixed nine adjacent soil samples taken from each experimental plot, were separately collected from the 0–20 cm, 20–40 cm and 40–60 cm soil layers. Eight composite samples were gathered at each sampling time (2 treatments × 4 replicates) for each of the two sites studied, thus producing an overall number of 80 soil samples (8 samples × 4 sampling times × 2 sites).

2.5. N Forms Determination

Field moist samples were stored at 4 °C and promptly processed within 24 h. N soluble forms were determined by extracting the soil with 2 M KCl, applying an extraction ratio of 1:10 w/v (5 g of soil with 50 mL of extractant); the mixture was left shaking for 1 h on a horizontal shaker at 180 oscillations per minute, then soil suspensions were filtered through a quantitative filter paper. The concentration of exchangeable NH4+-N and soluble NO3-N were determined colourimetrically by the Berthelot reaction and Griess–Ilosvay methods, respectively, by using a FIA System (FIAS 400 PerkinElmer, Inc., Norwalk, CT, USA). Total soluble N (TSN) was determined by using an elemental analyser TOC-LCSH Shimadzu (Shimadzu Corporation, Tokyo, J) for liquid samples. The extractable organic N (EON) was calculated by subtracting to TSN the sum of NH4+-N and NO3-N. A detailed description of N forms determination is available in Badagliacca et al. [6] and Monti et al. [12].

2.6. Statistics

Experimental data were tested by Kolmogorov–Smirnov test for deviation from normality and Levene’s test for the homogeneity of within-group variances. Two-way analysis of variance (ANOVA) was carried out separately for each soil type and soil layer in order to assess the effects of treatments (Trt), sampling times (Time) and their interaction (Trt × Time). Data shown in the figures were analysed by a one-way ANOVA and multiple pairwise comparisons of means in order to discriminate differences between the treatments within each soil layer and sampling time (Tukey’s HSD test at p < 0.05). Experimental data were reported as mean values (n = 4) ± SE and expressed on a dry weight (dw) basis. Statistical analysis was performed by using R software (R Core Team, Vienna, Austria).

3. Results and Discussion

The application of agricultural solid digestate can represent a valuable approach to improve soil fertility and replace mineral fertilizers in Mediterranean cropping systems [21,22]. However, it is fundamental to correctly assess the mineralization dynamics, specific for each soil type, by field experiment over a period of several months to understand nutrient availability for plants and avoid uncontrolled release on the agroecosystems that can cause environmental pollution [23,24]. These kind of studies become particularly necessary nowadays due to the climate change, with unprecedented emerging challenges, which leads to phenomena such as the tropicalization of the Mediterranean climate, causing more violent rainfall events that may lead to the vertical transport of a considerable amount of nutrients along the soil layers [25,26].
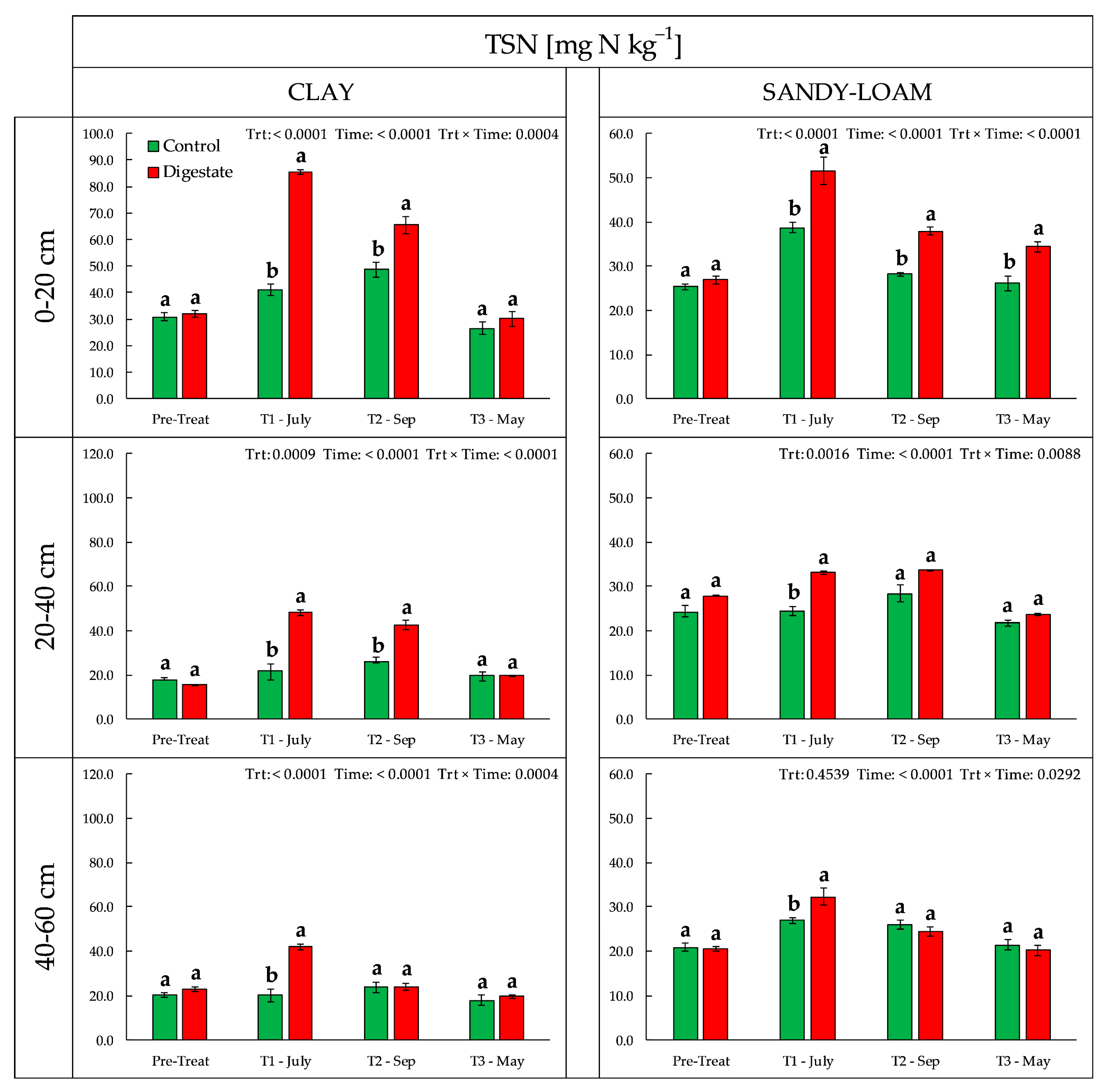
Soil TSN globally for both soils and all three soil layers investigated was influenced by the interaction Trt × Time (p < 0.05) (Figure 2).
In the upper soil layer (0–20 cm) of the clay soil, the solid digestate amendment significantly increased TSN values at T1(+108%; +44.4 mg N kg−1) and at T2 (+35%; +16.9 mg N kg−1), whereas in the sandy-loam soil, the effect was lower but more prolonged by affecting all three sampling epochs (from T1 to T3) following the application of the treatments (+33% and +10.3 mg N kg−1, on average). Conversely, in the middle soil layer (20–40 cm), the effects from the amendment were observed at two sampling times (T1, +120%, +26.3 mg N kg−1; and T2, +63%, 16.5 mg N kg−1) in the clay soil, whereas just at T1 (+36%, +8.8 mg N kg−1) in the sandy-loam soil. In the deeper soil layer (40–60 cm), the effects of the amendment with solid digestate in both soils were retrieved only at the first sampling time (T1) with greater TSN concentration in the clay soil (+109%, +21.9 mg N kg−1) than in the sandy loam soil (+20%, +5.3 mg N kg−1). The effect of solid digestate on TSN concentration was markedly different between the two experimental sites, as observed by Badagliacca et al. [6], and in all three layers investigated, resulting from the different availability of the different N pools.
Soil EON was generally influenced by the Trt × Time interactions (p < 0.01) with the exception of the 40–60 cm layer in the sandy-loam soil where the effect of the treatments and their interaction with time were not significant (Figure 3).
In the upper soil layer (0–20 cm) of both soils, solid digestate increased EON only at T1; its effect was minor in the clay soil (+28%; +7.6 mg N kg−1) and greater in the sandy-loam soil (+77%; 11.1 mg N kg−1). In the 20–40 cm soil layer, the amendment had a long-lasting effect on the clay soil, affecting T1 (+106%; +15.0 mg N kg−1) and T2 (+40%; +7.3 mg N kg−1), and a shorter effect on the sandy-loam soil only at T1 (+25%; +4.2 mg N kg−1). Then, in the 40–60 cm soil layer, only in the clay soil and at T1, solid digestate increased EON concentration by +107% (+15.0 mg N kg−1). Among the N pools, the EON was the lowest, revealing the abundance of more available N forms such as NH4+-N and NO3-N and, thus, indirectly confirming the usefulness of this by-product to replace mineral nitrogenous fertilisers representing, also, a more stable and long-lasting source of nutrients related to the decomposition of more recalcitrant compounds. Between the tested soils, the release of EON was faster in the sandy-loam soil than in the clay soil, where the digestate effect was longer-lasting and involved all the soil layers investigated. On the contrary, in the sandy-loam soil, only in the 0–20 cm and 20–40 cm soil layers the effect of the amendment was observed.
The NH4+-N soil concentrations were always affected by the interaction Trt × Time (p < 0.01). In general, the effect of digestate was more pronounced in the clay soil than in the sandy-loam soil (Figure 4).
In the 0–20 cm soil layer of the clay soil, the amendment increased NH4+-N concentration by +424% (+20.3 mg N kg−1) and by +36% (+4.5 mg N kg−1) at T1 and T2, whereas in the sandy-loam soil, the effect was longer-lasting and involving all three sampling epochs (T1 +36%, T2 +43% and T3 +27%). In the clay soil, the same behaviour was observed also in the 20–40 cm layer (T1 +137%, T2 +74%), while in the sandy-loam soil, the amendment effect was significant only at T1 (+55%; +2.7 mg N kg−1). In the deeper soil layer, differences between the treatments were retrieved only at T1 (+95% in the clay soil, 5.5 mg N kg−1; and +20% in the sandy loam soil, +1.0 mg N kg−1).
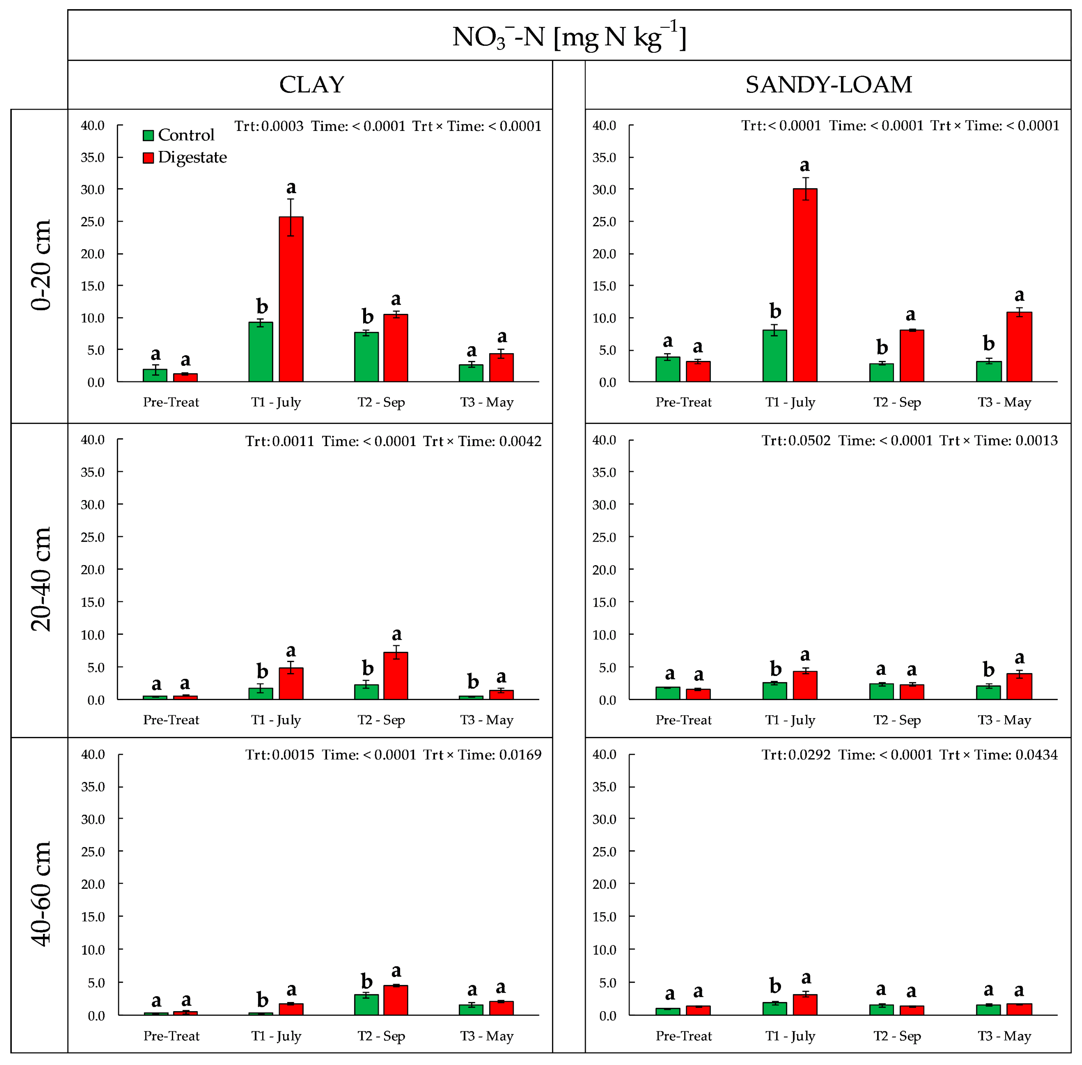
The NO3-N concentrations, in both experimental soils and in the three different soil layers investigated, were significantly affected by the interaction between the treatment and sampling time (Trt × Time p < 0.05) (Figure 5).
Regarding the upper soil layer (0–20 cm), in both soils, at T1, one month and half after the digestate amendment, a large increase of NO3-N concentrations was retrieved (+178% in the clay soil and +273% in the sandy-loam soil). Then, the differences between the treatments decreased until disappears in the last sampling time (T3) in the clay soil, while the concentration of NO3-N remained at about 9.5 mg N kg−1 in the sandy-loam soil (T2 and T3). In the 20–40 cm soil layer, the NO3-N concentrations were lower compared to those of the upper soil layer (on average 2.5 vs. 8.3 mg N Kg−1), and the effect of the digestate amendment (compared to the unamended control) was less evident with slightly higher values in the clay soil at T1 (+179%, +3.1 mg N kg−1) and T2 (+213%, +4.9 mg N kg−1) and in the sandy-loam soil at T1 (+72%) and T3 (+93%). In the deeper soil layer (40–60 cm), the lowest soil NO3-N concentrations were observed; the amendment effect was observed at T1 (+1.4 mg N kg−1) and T2 (+45%, +1.4 mg N kg−1) in the clay soil and only at T1 (+71%, +1.35 mg N kg−1) in the sandy-loam soil. As expected, the solid digestate amendment mainly influenced the concentration of both N mineral forms in the uppermost layer, in accordance with several authors (i.e., Gomez-Brandon et al. [27], Heintze et al. [28] and Zilio et al. [29]). Moreover, based on the experimental information retrieved, no large movements of the N mineral forms were found along the soil profile with moderate differences (compared with those of the upper soil layer) between control plots and amended ones, in agreement with what was observed by Zilio et al. [29] and Tshikalange et al. [30]. On the contrary, this evidence disagrees with other studies conducted by Sharifi et al. [31] and Dessureault-Rompré et al. [32] who found substantial N leaching from digestate. This discrepancy could be ascribed to the application of a liquid-and-solid mixed slurry digestate, particularly rich in mineral N (higher NH4+/total N), whereas a solid anaerobic digestate was used in this experiment. In addition, this may also be explained by the limited rainfall during the first period after the treatment application, from May to September (summer, dry season), and the soil-specific nitrification of NH4+-N, the most abundant pool in the deeper layer, of both soils. In particular, this process was slow and relatively long in the clay soil (immobilization), while it was limited (the effects were observed only at T1) in the sandy-loam soil. This evidence agrees with Qafoku et al. [33] who have linked potential N mineralization with soil EON concentrations and disagrees with Lili et al. [13] who found higher vertical N transport in sandy soil than in black loam soil. In this regard, in the sandy-loam soil due to the alkaline pH (>7.5), higher ammonia volatilization (as postulated by Ni et al. [34] and Giacomini et al. [35]) caused a low mineral N concentration in the superficial soil layer, which led to a limited N transported vertically.

4. Conclusions

The present study investigated the potential risk of N leaching in two different soils under Mediterranean conditions after the application of solid agricultural digestate. The results show that in both tested soils the agricultural solid digestate, at a dose of 30 Mg ha−1, does not lead to significant N loss along the soil profile by leaching. In particular, in each experimental soil, specific properties and N dynamics determined a limited N movement along the soil profile. Furthermore, as highlighted by other studies carried out in the same experimental sites (i.e., Badagliacca et al. [6]; Monti et al. [12]; Pathan et al. [16]; Badagliacca et al. [36]), digestate in addition to providing readily available minerals has proven to play a positive role in improving soil structure, the microbial community and, in general, the overall functioning of the soil by increasing its fertility. Therefore, the use of this energetic by-product, under the conditions tested, can represent a valuable and sustainable way to manage N fertilisation in Mediterranean orchards, with reduced risk for the environment, within a frame of the circular economy. Finally, further studies are needed to assess the effects related to N leaching from the application of solid digestate dosage on different soils and in long-term application.

Author Contributions

Conceptualization, M.M. and A.G.; methodology, G.B., M.M. and A.G.; formal analysis, G.B., M.M. and A.G.; investigation, G.B., E.L.P., M.M. and A.G.; resources, M.M. and A.G.; data curation, G.B., E.L.P., M.M. and A.G.; writing—original draft preparation, G.B.; writing—review and editing, G.B., E.L.P., M.M. and A.G.; supervision, M.M. and A.G.; project administration, M.M. and A.G.; funding acquisition, M.M. and A.G. All authors have read and agreed to the published version of the manuscript.

Funding

This research was funded by PON Research and Competitiveness 2007/2013 with the projects PON03PE_00090_2 (Modelli sostenibili e nuove tecnologie per la valorizzazione delle olive e dell’olio extravergine di oliva prodotto in Calabria) and PON03PE_00090_3 (Modelli sostenibili e nuove tecnologie per la valorizzazione delle filiere vegetali mediterranee) by the Italian Ministry of University and Research (MUR).

Data Availability Statement

The data presented in this study are available on request from the corresponding author.

Acknowledgments

We thank Maurizio Romeo and Antonino Zumbo for technical assistance and support during soil samplings in field and laboratory analysis.

Conflicts of Interest

The authors declare no conflict of interest.

References

  1. Weiland, P. Biogas Production: Current State and Perspectives. Appl. Microbiol. Biotechnol. 2010, 85, 849–860. [Google Scholar] [CrossRef] [PubMed]
  2. Corden, C.; Bougas, K.; Cunningham, E.; Tyrer, D.; Kreißig, J.; Zetti, E.; Gamero, E.; Wildey, R.; Crookes, M. Digestate and Compost as Fertilisers: Risk Assessment and Risk Management Options; Bertato, V., Ed.; European Commission, Directorate General–Environment: Brussels, Belgium, 2019. [Google Scholar]
  3. Insam, H.; Gómez-Brandón, M.; Ascher, J. Manure-Based Biogas Fermentation Residues—Friend or Foe of Soil Fertility? Soil Biol. Biochem. 2015, 84, 1–14. [Google Scholar] [CrossRef]
  4. Cardelli, R.; Giussani, G.; Marchini, F.; Saviozzi, A. Short-Term Effects on Soil of Biogas Digestate, Biochar and Their Combinations. Soil Res. 2018, 56, 623. [Google Scholar] [CrossRef]
  5. Tsachidou, B.; Scheuren, M.; Gennen, J.; Debbaut, V.; Toussaint, B.; Hissler, C.; George, I.; Delfosse, P. Biogas Residues in Substitution for Chemical Fertilizers: A Comparative Study on a Grassland in the Walloon Region. Sci. Total Environ. 2019, 666, 212–225. [Google Scholar] [CrossRef] [PubMed]
  6. Badagliacca, G.; Petrovičovà, B.; Pathan, S.I.; Roccotelli, A.; Romeo, M.; Monti, M.; Gelsomino, A. Use of Solid Anaerobic Digestate and No-Tillage Practice for Restoring the Fertility Status of Two Mediterranean Orchard Soils with Contrasting Properties. Agric. Ecosyst. Environ. 2020, 300, 107010. [Google Scholar] [CrossRef]
  7. Barłóg, P.; Hlisnikovský, L.; Kunzová, E. Effect of Digestate on Soil Organic Carbon and Plant-Available Nutrient Content Compared to Cattle Slurry and Mineral Fertilization. Agronomy 2020, 10, 379. [Google Scholar] [CrossRef]
  8. Makádi, M.; Tomócsik, A.; Orosz, V. Digestate: A New Nutrient Source—Review. In Biogas; InTech: Singapore, 2012. [Google Scholar]
  9. Reuland, G.; Sigurnjak, I.; Dekker, H.; Michels, E.; Meers, E. The Potential of Digestate and the Liquid Fraction of Digestate as Chemical Fertiliser Substitutes under the RENURE Criteria. Agronomy 2021, 11, 1374. [Google Scholar] [CrossRef]
  10. Eickenscheidt, T.; Freibauer, A.; Heinichen, J.; Augustin, J.; Drösler, M. Short-Term Effects of Biogas Digestate and Cattle Slurry Application on Greenhouse Gas Emissions Affected by N Availability from Grasslands on Drained Fen Peatlands and Associated Organic Soils. Biogeosciences 2014, 11, 6187–6207. [Google Scholar] [CrossRef]
  11. Rosace, M.C.; Veronesi, F.; Briggs, S.; Cardenas, L.M.; Jeffery, S. Legacy Effects Override Soil Properties for CO2 and N2O but Not CH4 Emissions Following Digestate Application to Soil. GCB Bioenergy 2020, 12, 445–457. [Google Scholar] [CrossRef]
  12. Monti, M.; Badagliacca, G.; Romeo, M.; Gelsomino, A. No-Till and Solid Digestate Amendment Selectively Affect the Potential Denitrification Activity in Two Mediterranean Orchard Soils. Soil Syst. 2021, 5, 31. [Google Scholar] [CrossRef]
  13. Lili, W.; Wenzhe, L.; Zhongjiang, W.; Zhiwu, W.; Chao, S.; Yan, L. Effects of Digestate Application Depth on Soil Nitrogen Volatilization and Vertical Distribution. Int. J. Agric. Biol. Eng. 2016, 9, 101–107. [Google Scholar]
  14. Xu, L.; Niu, H.; Xu, J.; Wang, X. Nitrate-Nitrogen Leaching and Modeling in Intensive Agriculture Farmland in China. Sci. World J. 2013, 2013, 353086. [Google Scholar] [CrossRef] [PubMed]
  15. Beaudoin, N.; Saad, J.K.; Van Laethem, C.; Machet, J.M.; Maucorps, J.; Mary, B. Nitrate Leaching in Intensive Agriculture in Northern France: Effect of Farming Practices, Soils and Crop Rotations. Agric. Ecosyst. Environ. 2005, 111, 292–310. [Google Scholar] [CrossRef]
  16. Pathan, S.I.; Roccotelli, A.; Petrovičovà, B.; Romeo, M.; Badagliacca, G.; Monti, M.; Gelsomino, A. Temporal Dynamics of Total and Active Prokaryotic Communities in Two Mediterranean Orchard Soils Treated with Solid Anaerobic Digestate or Managed under No-Tillage. Biol. Fertil. Soils 2021, 57, 837–861. [Google Scholar] [CrossRef]
  17. ARPACAL (Agenzia Regionale per La Protezione dell’ambiente Della Calabria) Banca Dati Storici [Weather Historical Database] 2023.
  18. ARSSA. I Suoli Della Calabria—Carta Dei Suoli in Scala 1:250,000; Rubbettino Industrie Grafiche: Catanzaro, Italy, 2003. [Google Scholar]
  19. Soil Survey Staff. Keys to Soil Taxonomy. Soil Conserv. Serv. 2014, 12, 410. [Google Scholar]
  20. WRB. World Soil Resources Reports No.103, 2nd ed.; FAO: Roma, Italia, 2006; pp. 145Barra Caracciolo, A.; Bustamante, M.A.; Nogues, I.; Di Lenola, M.; Luprano, M.L.; Grenni, P. Changes in Microbial Community Structure and Functioning of a Semiarid Soil Due to the Use of Anaerobic Digestate Derived Composts and Rosemary Plants. Geoderma 2015, 245–246, 89–97. [Google Scholar] [CrossRef]
  21. Fernández-Bayo, J.D.; Achmon, Y.; Harrold, D.R.; McCurry, D.G.; Hernandez, K.; Dahlquist-Willard, R.M.; Stapleton, J.J.; VanderGheynst, J.S.; Simmons, C.W. Assessment of Two Solid Anaerobic Digestate Soil Amendments for Effects on Soil Quality and Biosolarization Efficacy. J. Agric. Food Chem. 2017, 65, 3434–3442. [Google Scholar] [CrossRef] [PubMed]
  22. Maucieri, C.; Nicoletto, C.; Caruso, C.; Sambo, P.; Borin, M. Effects of Digestate Solid Fraction Fertilisation on Yield and Soil Carbon Dioxide Emission in a Horticulture Succession. Ital. J. Agron. 2017, 12, 116–123. [Google Scholar] [CrossRef]
  23. Alburquerque, J.A.; de la Fuente, C.; Campoy, M.; Carrasco, L.; Nájera, I.; Baixauli, C.; Caravaca, F.; Roldán, A.; Cegarra, J.; Bernal, M.P. Agricultural Use of Digestate for Horticultural Crop Production and Improvement of Soil Properties. Eur. J. Agron. 2012, 43, 119–128. [Google Scholar] [CrossRef]
  24. Abubaker, J.; Risberg, K.; Jönsson, E.; Dahlin, A.S.; Cederlund, H.; Pell, M. Short-Term Effects of Biogas Digestates and Pig Slurry Application on Soil Microbial Activity. Appl. Environ. Soil Sci. 2015, 2015, 658542. [Google Scholar] [CrossRef]
  25. Basso, B.; Giola, P.; Dumont, B.; De Antoni Migliorati, M.; Cammarano, D.; Pruneddu, G.; Giunta, F. Tradeoffs between Maize Silage Yield and Nitrate Leaching in a Mediterranean Nitrate-Vulnerable Zone under Current and Projected Climate Scenarios. PLoS ONE 2016, 11, e0146360. [Google Scholar] [CrossRef] [PubMed]
  26. Lassaletta, L.; Sanz-Cobena, A.; Aguilera, E.; Quemada, M.; Billen, G.; Bondeau, A.; Cayuela, M.L.; Cramer, W.; Eekhout, J.P.C.; Garnier, J.; et al. Nitrogen Dynamics in Cropping Systems under Mediterranean Climate: A Systemic Analysis. Environ. Res. Lett. 2021, 16, 073002. [Google Scholar] [CrossRef]
  27. Gómez-Brandón, M.; Juárez, M.F.D.; Zangerle, M.; Insam, H. Effects of Digestate on Soil Chemical and Microbiological Properties: A Comparative Study with Compost and Vermicompost. J. Hazard. Mater. 2016, 302, 267–274. [Google Scholar] [CrossRef] [PubMed]
  28. Heintze, G.; Eickenscheidt, T.; Schmidhalter, U.; Drösler, M. Influence of Soil Organic Carbon on Greenhouse Gas Emission Potential After Application of Biogas Residues or Cattle Slurry: Results from a Pot Experiment. Pedosphere 2017, 27, 807–821. [Google Scholar] [CrossRef]
  29. Zilio, M.; Pigoli, A.; Rizzi, B.; Goglio, A.; Tambone, F.; Giordano, A.; Maretto, L.; Squartini, A.; Stevanato, P.; Meers, E.; et al. Nitrogen Dynamics in Soils Fertilized with Digestate and Mineral Fertilizers: A Full Field Approach. Sci. Total Environ. 2023, 868, 161500. [Google Scholar] [CrossRef]
  30. Tshikalange, B.; Bello, Z.A.; Ololade, O.O. Comparative Nutrient Leaching Capability of Cattle Dung Biogas Digestate and Inorganic Fertilizer under Spinach Cropping Condition. Environ. Sci. Pollut. Res. 2020, 27, 3237–3246. [Google Scholar] [CrossRef]
  31. Sharifi, M.; Baker, S.; Hojabri, L.; Hajiaghaei-Kamrani, M. Short-Term Nitrogen Dynamics in a Soil Amended with Anaerobic Digestate. Can. J. Soil Sci. 2019, 99, 173–181. [Google Scholar] [CrossRef]
  32. Dessureault-Rompré, J.; Burton, D.L.; Zebarth, B.J. Soluble Organic Nitrogen in Potentially Mineralizable N Assays: Are We Missing an Important Component? Can. J. Soil Sci. 2018, 98, 570–573. [Google Scholar] [CrossRef]
  33. Qafoku, O.S.; Cabrera, M.L.; Windham, W.R.; Hill, N.S. Rapid Methods to Determine Potentially Mineralizable Nitrogen in Broiler Litter. J. Environ. Qual. 2001, 30, 217–221. [Google Scholar] [CrossRef]
  34. Ni, K.; Pacholski, A.; Kage, H. Ammonia Volatilization after Application of Urea to Winter Wheat over 3 Years Affected by Novel Urease and Nitrification Inhibitors. Agric. Ecosyst. Environ. 2014, 197, 184–194. [Google Scholar] [CrossRef]
  35. Giacomini, S.J.; Aita, C.; Pujol, S.B.; Miola, E.C.C. Transformações Do Nitrogênio No Solo Após Adição de Dejeto Líquido e Cama Sobreposta de Suínos. Pesqui. Agropecu. Bras. 2013, 48, 211–219. [Google Scholar] [CrossRef]
  36. Badagliacca, G.; Romeo, M.; Gelsomino, A.; Monti, M. Short-Term Effects of Repeated Application of Solid Digestate on Soil C and N Dynamics and CO2 Emission in a Clay Soil Olive (Olea europaea L.) Orchard. Clean. Circ. Bioecon. 2022, 1, 100004. [Google Scholar] [CrossRef]
Figure 1. Presentation of the two experimental sites: clay soil (in the top) and sandy-loam soil (at the bottom). Included text provides information related to site coordination, parental material, main climate and soil characteristics and crops.
Figure 1. Presentation of the two experimental sites: clay soil (in the top) and sandy-loam soil (at the bottom). Included text provides information related to site coordination, parental material, main climate and soil characteristics and crops.
Agriculture 13 01311 g001
Figure 2. Changes in total soluble N (TSN) (mean ± SE, n = 4) in clay and sandy-loam soil under different treatments—conventional tillage (CONTROL) and solid anaerobic digestate amendment (DIGESTATE)—at four sampling epochs. Results from two-way ANOVA Treatment (Trt) × Time are displayed at the top of each graph. At each sampling epoch, significant differences between treatments are denoted by the use of distinct letters (Tukey’s HSD test, p < 0.05).
Figure 2. Changes in total soluble N (TSN) (mean ± SE, n = 4) in clay and sandy-loam soil under different treatments—conventional tillage (CONTROL) and solid anaerobic digestate amendment (DIGESTATE)—at four sampling epochs. Results from two-way ANOVA Treatment (Trt) × Time are displayed at the top of each graph. At each sampling epoch, significant differences between treatments are denoted by the use of distinct letters (Tukey’s HSD test, p < 0.05).
Agriculture 13 01311 g002
Figure 3. Changes in soil extractable organic N (EON) (mean ± SE, n = 4) in clay and sandy-loam soil under different treatments—conventional tillage (CONTROL) and solid anaerobic digestate amendment (DIGESTATE)—at four sampling epochs. Results from two-way ANOVA Treatment (Trt) × Time are displayed at the top of each graph. At each sampling epoch, significant differences between treatments are denoted by the use of distinct letters (Tukey’s HSD test, p < 0.05).
Figure 3. Changes in soil extractable organic N (EON) (mean ± SE, n = 4) in clay and sandy-loam soil under different treatments—conventional tillage (CONTROL) and solid anaerobic digestate amendment (DIGESTATE)—at four sampling epochs. Results from two-way ANOVA Treatment (Trt) × Time are displayed at the top of each graph. At each sampling epoch, significant differences between treatments are denoted by the use of distinct letters (Tukey’s HSD test, p < 0.05).
Agriculture 13 01311 g003
Figure 4. Changes in soil ammonium N (NH4+-N) (mean ± SE, n = 4) in clay and sandy-loam soil under different treatments—conventional tillage (CONTROL) and solid anaerobic digestate amendment (DIGESTATE)—at four sampling epochs. Results from two-way ANOVA Treatment (Trt) × Time are displayed at the top of each graph. At each sampling epoch, significant differences between treatments are denoted by the use of distinct letters (Tukey’s HSD test, p < 0.05).
Figure 4. Changes in soil ammonium N (NH4+-N) (mean ± SE, n = 4) in clay and sandy-loam soil under different treatments—conventional tillage (CONTROL) and solid anaerobic digestate amendment (DIGESTATE)—at four sampling epochs. Results from two-way ANOVA Treatment (Trt) × Time are displayed at the top of each graph. At each sampling epoch, significant differences between treatments are denoted by the use of distinct letters (Tukey’s HSD test, p < 0.05).
Agriculture 13 01311 g004
Figure 5. Changes in soil nitrate N (NO3-N) (mean ± SE, n = 4) in clay and sandy-loam soil under different treatments—conventional tillage (CONTROL) and solid anaerobic digestate amendment (DIGESTATE)—at four sampling epochs. Results from two-way ANOVA Treatment (Trt) × Time are displayed at the top of each graph. At each sampling epoch, significant differences between treatments are denoted by the use of distinct letters (Tukey’s HSD test, p < 0.05).
Figure 5. Changes in soil nitrate N (NO3-N) (mean ± SE, n = 4) in clay and sandy-loam soil under different treatments—conventional tillage (CONTROL) and solid anaerobic digestate amendment (DIGESTATE)—at four sampling epochs. Results from two-way ANOVA Treatment (Trt) × Time are displayed at the top of each graph. At each sampling epoch, significant differences between treatments are denoted by the use of distinct letters (Tukey’s HSD test, p < 0.05).
Agriculture 13 01311 g005
Disclaimer/Publisher’s Note: The statements, opinions and data contained in all publications are solely those of the individual author(s) and contributor(s) and not of MDPI and/or the editor(s). MDPI and/or the editor(s) disclaim responsibility for any injury to people or property resulting from any ideas, methods, instructions or products referred to in the content.

Share and Cite

MDPI and ACS Style

Badagliacca, G.; Lo Presti, E.; Gelsomino, A.; Monti, M. Effect of Solid Digestate Amendment on the Dynamics of N Soluble Forms in Two Contrasting Soil Profiles under Mediterranean Environment. Agriculture 2023, 13, 1311. https://doi.org/10.3390/agriculture13071311

AMA Style

Badagliacca G, Lo Presti E, Gelsomino A, Monti M. Effect of Solid Digestate Amendment on the Dynamics of N Soluble Forms in Two Contrasting Soil Profiles under Mediterranean Environment. Agriculture. 2023; 13(7):1311. https://doi.org/10.3390/agriculture13071311

Chicago/Turabian Style

Badagliacca, Giuseppe, Emilio Lo Presti, Antonio Gelsomino, and Michele Monti. 2023. "Effect of Solid Digestate Amendment on the Dynamics of N Soluble Forms in Two Contrasting Soil Profiles under Mediterranean Environment" Agriculture 13, no. 7: 1311. https://doi.org/10.3390/agriculture13071311

APA Style

Badagliacca, G., Lo Presti, E., Gelsomino, A., & Monti, M. (2023). Effect of Solid Digestate Amendment on the Dynamics of N Soluble Forms in Two Contrasting Soil Profiles under Mediterranean Environment. Agriculture, 13(7), 1311. https://doi.org/10.3390/agriculture13071311

Note that from the first issue of 2016, this journal uses article numbers instead of page numbers. See further details here.

Article Metrics

Back to TopTop