Next Article in Journal
Research on Path Tracking of Articulated Steering Tractor Based on Modified Model Predictive Control
Next Article in Special Issue
Local Heating through the Application of a Thermoelectric Heat Pump for Prenursery Pigs
Previous Article in Journal
Robust Trajectory Tracking Control of an Autonomous Tractor-Trailer Considering Model Parameter Uncertainties and Disturbances
Previous Article in Special Issue
Vibration Performance Analysis and Multi-Objective Optimization Design of a Tractor Scissor Seat Suspension System
 
 
Font Type:
Arial Georgia Verdana
Font Size:
Aa Aa Aa
Line Spacing:
Column Width:
Background:
Article

Enhancement of Agricultural Materials Separation Efficiency Using a Multi-Purpose Screw Conveyor-Separator

1
Department of Automobiles, Faculty of Engineering of Machines, Structures and Technologies, Ternopil Ivan Puluj National Technical University, 46001 Ternopil, Ukraine
2
Department of Biotechnical Systems, Faculty of Biotechnical Systems Engineering, University Politehnica of Bucharest, 006042 Bucharest, Romania
3
National Institute of Research—Development for Machines and Installations Designed for Agriculture and Food Industry—INMA, 013813 Bucharest, Romania
4
Department of Bioengineering Systems, Faculty of Applied Information Technologies and Electrical Engineering, Ternopil Ivan Puluj National Technical University, 46001 Ternopil, Ukraine
5
Department of Engineering Mechanics and Agricultural Machines, Faculty of Engineering of Machines, Structures and Technologies, Ternopil Ivan Puluj National Technical University, 46001 Ternopil, Ukraine
*
Authors to whom correspondence should be addressed.
Agriculture 2023, 13(4), 870; https://doi.org/10.3390/agriculture13040870
Submission received: 3 March 2023 / Revised: 1 April 2023 / Accepted: 12 April 2023 / Published: 14 April 2023

Abstract

The technological process of agricultural production is inextricably linked to the movement of a large number of goods, ranging from the supply of raw materials to their conversion and delivery of finished products. In the implementation of freight flows at the enterprises of agro-industrial complexes and the complex mechanization of raw material conversion processes, the main role is played by systems of transport and technological machines, which include screw conveyors with the ability to convert materials. For this purpose, the simultaneous performance of transportation and separation processes has been studied. The results of the investigation include the construction and study of the mathematical model of the system «a screw of the screw conveyor—grain mixture and separation process» involving further experimental research. The study of the effectiveness of separating agricultural materials with a multifunctional screw conveyor-separator showed that for effective sifting, the selected rational values of the parameters lie within the following limits: angle of inclination of the sieve was 0–14°, and frequency of rotation of the working body was 300–700 rpm. Some rational parameters were obtained during the grain mixture separation process on the basis of an experimental study, namely: n = 380 rpm; q = 0.9–4.7 kg/h·cm2, γ = 0–14°; P = 0.22–0.7 kW, depending on the size of the working sieve (100 × 200 mm). These rational parameters will make it possible to increase the efficiency of agricultural materials separation by a screw conveyor separator, to achieve maximum productivity, and to reduce energy consumption compared to other sorting devices.

1. Introduction

The development of agriculture requires new types of machines and mechanisms that would improve labor conditions and combine and accomplish different technological processes. The process of cargo transportation dealing with agricultural products’ cleaning and processing plays an important role in agricultural production (ACP) [1,2]. Here, the overwhelming majority of all technological operations on agricultural goods transportation are performed by multi-purpose screw systems (MPSS), which carry out related technological operations [3,4].
MPSS must meet strict requirements on their fitness for purpose, quality of technological operations performed, efficiency, energy savings, reliability, maintainability, and ease of maintenance. The above-mentioned characteristics greatly influence the efficiency of the functioning of farms, threshing floors, compound feed plants, and other enterprises of the agricultural-industrial complex (AIC) [5]. Nevertheless, MPSS has some disadvantages, namely narrow technological possibilities and small application functionality. It can be explained by the absence of progressive structural schemes, often overcomplexity, high metal capacity, high production costs, and not high enough reliability and efficiency. Thus, conventional multi-purpose screw systems require considerable structural and technological improvement [6,7].
Some new designs of transport-technological systems have been developed; their operation has been theoretically substantiated; the theory of tubular scraper conveyors and high-speed screw conveyors, flexible screws in particular, has been clarified; and the problems of choosing their best structural parameters and operation modes have been solved [8,9,10]. The mathematical models of nonlinear bending and torsional vibrations of a tubular conveyor and a screw operating parts have been developed, and the principles of transition processes under the start-up of the machine and passing through resonance conditions have been determined on the basis of system analysis and structural-schematic synthesis with hierarchical grouping in the papers written by [11,12,13,14]. Moreover, some kinematic models and new engineering designs of tubular systems of continuous transport with a closed traction part have been developed, and the correspondent experimental confirmation has been conducted in [11,12]. The scientific principles of telescopic screw conveyor design have been developed in [15,16]. Some theoretical substantiation of the design, kinematic, and dynamic parameters of the proposed operating parts of flexible screw conveyors and automated taking of bulk material has been presented in studies [17,18,19]. The theoretical substantiation of pneumatic transporters for bulk material transportation on curvilinear routes by means of periodic dosed supply of air streams along the transport hose periphery has been made, and a model of bulk material interaction in the transport flow including the determination of the most efficient design, kinematic, and dynamic parameters of a pneumatic-mechanical transporter has been developed [16,18], as well as the technological support of transport-technological machines operation and parts production have been developed in study [20].
The method of discrete elements (DEM) was used in the investigations of some foreign scientists [21] to analyze the capacity of a screw conveyor when less than 1200 t/h could be used for the transportation of a wide range of ground, granulated, or small pieces of bulk material over a relatively short distance. The dynamic starting moments have been calculated according to the results of the study of the conveyor mathematical model [22]. It was found that rapid braking considerably increases the dynamic load, which could exceed the maximum critical torque of an electric motor (on average by 50–70%) and the nominal load moment (by 2.5–3 times) [20,23]. An analytical model of a single-screw conveyor machine, including its electrical, mechanical, measuring, and control drive systems, as well as its implementation as a computer simulator in the ANSYS environment, where the screw conveyor characteristics of speed, deformation, and acceleration were shown, have been described in a study [24]. A method for optimal control of the conveyor-type production line parameters was developed in the paper [25]. Different options for step control of the conveyor speed have been studied, enabling us to find the difference in a production line’s capacity based on the specified need for different parameters of step control.
In studies [26,27], the main principles of calculations have been studied, and the design of mechanisms for grain crop separation and extrusion has been described.
Some considerable savings in material and energy resources have been achieved due to the simultaneous combination of several processes, for example, transportation with simultaneous separation. The process of simultaneous transportation and separation of grain mixtures by a screw conveyor, with the establishment of the influence of different values of the parameters of this system, has not been considered. That is why our paper is devoted to their partial analytical study.
The analysis of the above made it possible to establish a number of directions for the improvement of multifunctional screw systems: ensuring the multifunctional use, increasing the separation efficiency, ensuring the operating conditions of the performed processes, and achieving high economic characteristics. Therefore, a mathematical model of the “screw conveyor screw—grain mixture and separation process” system is proposed, which makes it possible to combine the processes of grain mixture transportation and separation through modeling, the development of a progressive design, and choosing their rational modes of operation. To increase the separation efficiency of agricultural materials, a screw conveyor-separator will allow for maximum productivity while reducing energy consumption compared to other sorting devices.

2. Materials and Methods

2.1. Theoretical Aspects

During a screw transporter operation, which is designed for grain mixture transportation with simultaneous separation, the screw makes some bending oscillations [28]. These oscillations are transmitted to the cylindrical body, along which the system of holes is located, which makes the grain mixture cleaning possible (or bulk medium calibration). The separation intensity greatly depends on the amplitude-frequency characteristics of the screw oscillations and a cylindrical body with holes (a sieve). It should be mentioned that technologically the last ones can be made variable, i.e., they can be made with holes of different sizes so that the same transporter will be able to separate grain mixtures from different grain crops [28,29].
The main assumptions form the basis of the process dynamics mathematical model construction for grain mixture transportation and separation. The screw of the screw conveyor within the process of technological operations implementation rotates with a constant angular velocity and performs some bending oscillations. The last ones occur due to both the external factors’ actions (drive action and screw interaction with grain mass) and the internal ones as well (screw imbalance). The calculation model and the stand we utilized to study the characteristics of the telescopic screw conveyor-separators are presented in Figure 1.
The grain mass, which is transported and separated, moves relative to the screw of the transporter at a constant speed V. Moreover, due to the process of separating the grain mixture, the running mass varies along the transporter’s length. The largest value of the running mass is at the beginning of the transporter, and the smallest one is at its end. If the position of the grain mass volume is fixed relative to the horizontal axis OX, which coincides with the neutral axis of the not-deformed screw, and its beginning coincides with the left end of the screw, then with a sufficient degree of accuracy, the running mass distribution along the screw ρ1(x) can be described by the dependence:
ρ 1 ( x ) = ρ 10 1 k x l
where ρ10—the running mass of grain mixture at the point of its delivery from the bunker to the transporter; l —the screw length; k—the coefficient characterizing the process of separation (k belongs to the interval 0 < k < 1) [30].
As for the elastic characteristics of an auger screw, it is assumed that they are described by the nonlinear technical law of elasticity, and the force of resistance (viscous friction of the material) is proportional to the speed of deformation in the degree 2s + 1, and the last value is rather small compared with the linear component of elastic restoring force.
A mathematical model of the dynamics of the system «the screw of screw transporter—grain mixture», including the process of separation, can be built. In the case when the grain mixture is not delivered to the screw conveyor, the differential equation of its bending oscillations is, by its structure, the same as the differential equation of an elastic body bending while rotating around a fixed axis and looks like:
2 u t 2 + E I ρ 4 u x 4 ω 2 u = ε f u , u t , u x , 2 u x 2 , 3 u x 3
where u(x,t)—the section transverse movement of the auger screw with the coordinate x at a random moment of time t; EI—bending stiffness of the auger (E,I—the modulus of elasticity of the auger material and its inertia moment, respectively); ω—natural frequency of screw oscillations; ρ—constant (the auger running mass); ε f u , u t , u x , 2 u x 2 , 3 u x 3 —the function describing nonlinearly the elastic, dissipative, and forces of other nature of the system; ε—the small parameter indicating their small value compared to the linear constituent of the restoring force. In the case when the grain mixture is transported along the auger screw with a constant velocity value, the absolute acceleration ws of conditionally selected in a random place of the grain mixture element is found by the dependence:
w s = 2 u ( x , t ) t 2 + 2 u ( x , t ) x 2 V 2 + 2 V 2 u ( x , t ) t x
The terms in Equation (3) express a relative, portable, and Coriolis constituent of the grain mixture element acceleration, respectively.
If we take into consideration that the grain mixture does not influence the modulus of elasticity of the auger material [31], but only partially changes its moment of inertia, then the differential equation of the system «auger screw—grain mixture» will be written as:
ρ + ρ 1 ( x ) 2 u ( x , t ) t 2 + 2 ρ 1 ( x ) V 2 u ( x , t ) t x + ρ 1 ( x ) V 2 2 u ( x , t ) x 2 + E I ¯ ( x ) 4 u ( x , t ) x 4 ρ + ρ 1 ( x ) Ω 2 u ( x , t ) = ε f u , u t , u x , 2 u x 2 , 3 u x 3
where I ¯ ( x ) —the moment of inertia of the auger screw, including the grain mixture. The presented Equation (4) shows that the grain mixture that is transported along the auger gives quite a new form to the differential equation of its motion:
-
due to the grain mixture motion, two new terms appear, namely: ρ 1 ( x ) V 2 u ( x , t ) t x and ρ 1 ( x ) V 2 2 u ( x , t ) x 2 ;
-
due to the separation process, the grain mixture running mass varies along the sieve length.
All the above-mentioned information creates some additional difficulties in the analytical study of the set of parameters that influence the process dynamics. The last one is connected with the construction of the solution of the obtained equation. The study of the impact of the whole spectrum of factors on the available process dynamics can be the most thorough on the basis of an analytical solution.
The solution to the differential equation can be represented by its form, boundary level, and initial conditions. The boundary value conditions are first of all determined by the method of the auger screw fixing and the motion transmission from the drive motor. The latter, in many cases, causes some oscillations in the auger, so the boundary value conditions for the differential Equation (4) look like this:
u ( 0 , t ) = ε k 1 s i n ( p t + θ ) 2 u ( 0 , t ) x 2 = 0 u ( l , t ) = 0 2 u ( l , t ) x 2 = 0
where k1, p, θ—constant values characterizing amplitude, frequency, and the initial phase of an external periodic disturbance. We must admit that the amplitude of periodic disturbances is a small value. We assume that the drive device (engine) is at the beginning of the auger screw. Thus, the problem of the study of the transportation process with simultaneous separation of the grain mixture is reduced to the construction and study of the solution of the boundary value problem (4), (5).
The analytical study of the transportation process with simultaneous separation of the grain mixture has been reduced to finding the solution of the differential Equation (4) under heterogeneous boundary value conditions (5). In this case, the boundary value problem with heterogeneous boundary value conditions is to be reduced to a simpler problem with homogeneous boundary value conditions. For this purpose, in Equation (4), we will change the variables [28]:
u ( x , t ) = v ( x , t ) + w ( x , t )
where the function w(x,t) is the solution of the differential equation:
4 w x 4 = 0
that satisfies the boundary value conditions conforming with (5), (6):
w ( 0 , t ) = ε k 1 s i n ( p t + θ ) 2 w ( 0 , t ) x 2 = 0 w ( l , t ) = 0 2 w ( l , t ) x 2 = 0
Function w(x,t) is the solution to the differential Equation (7), which satisfies the heterogeneous boundary value conditions (8):
w ( x , t ) = ε k 1 ( 1 x l ) s i n ( p t + θ )
The function v(x,t) is the solution to the homogeneous boundary value problem with the differential equation:
ρ + ρ 1 ( x ) 2 v t 2 + 2 ρ 1 ( x ) V 2 v t x + ρ 1 ( x ) V 2 2 v x 2 + E I ¯ ( x ) 4 v ( x , t ) x 4 ρ + ρ 1 ( x ) Ω 2 v ( x , t ) = ε f ¯ v , v t , v x , 2 v x 2 , 3 v x 3 , p t + θ
under homogeneous boundary value conditions, obtained from Equations (5)–(9), i.e.,
v ( 0 , t ) = 2 v ( 0 , t ) x 2 = 0 v ( l , t ) = 2 v ( l , t ) x 2 = 0
As for the right side of the Equation (10), i.e., the function f ¯ x , v , v t , v x , 2 v x 2 , 3 v x 3 , p t + θ , it takes the well-known form with 2π—periodic by phase the external disturbance:
f ¯ x , v , v t , v x , 2 v x 2 , 3 v x 3 , p t + θ = f u , u t , u x , 2 u x 2 , 3 u x 3 u ( x , t ) = v ( x , t ) , 3 u x 3 = 3 v ( x , t ) x 3 + + k 1 p 2 ρ + ρ 1 ( x ) 1 x l s i n ( p t + θ ) 2 ρ 1 ( x ) V k 1 l c o s ( p t + θ )
Building the boundary level problem solution (10), (11) is possible due to the following restrictions:
-
values on the right side of the Equation (10);
-
values of external periodic disturbances;
-
changes in the running mass of the grain mixture transported with simultaneous separation.
All the above-mentioned is the basis for considerable mathematical simplification of the left side of Equation (10), as in this case, the coefficients at the function derivatives v(x,t) are slowly variable functions of the linear variable x. From the above-mentioned differential equation, the simpler is the equation with constant coefficients:
ρ + ρ 10 2 v t 2 + 2 ρ 10 V 2 v t x + ρ 10 V 2 2 v x 2 + E I ¯ 4 v ( x , t ) x 4 ρ + ρ 10 Ω 2 v ( x , t ) = ε f ¯ v , v t , v x , 2 v x 2 , 3 v x 3 , p t + θ + + k ρ 10 x l 2 v t 2 + V 2 v t x + V 2 2 v x 2 Ω 2 v ( x , t ) = = = g x , v , v t , v x , 2 v x 2 , 3 v x 3 , p t + θ
The most convenient method for solution construction under homogeneous boundary value conditions (10) is the method (12) based on the main idea of the Bubnov-Halyorkin method [19] and the principle of single-frequency oscillations in nonlinear systems with concentrated mass and distributed parameters [31,32]. The basis for using the above-mentioned is also the existence of a complete orthonormal system of functions X k ( x ) = s i n k π l x that satisfies the conditions X k ( 0 ) = X k ( l ) = X k ( 0 ) = X k ( l ) = 0 . According to the above-mentioned equation, the solution to the boundary value problem (11), (12) can be represented as v(x,t) = X1(x)T1(t). In this case, the unknown function T1(t) is obtained from an ordinary nonlinear differential equation:
d 2 T 1 ( t ) d t 2 + 1 ρ 10 + ρ E I π l 4 ρ 10 V 2 π l 2 Ω 2 T 1 ( t ) = ε ρ 10 + ρ F T 1 ( t ) , T ˙ 1 ( t ) , p t + θ 1 ρ 10 + ρ F T 1 ( t ) , T ˙ 1 ( t ) , p t + θ = 2 ρ 10 + ρ l 0 l g x , v , v t , v x , 2 v x 2 , 3 v x 3 , p t + θ v ( x , t ) = X 1 ( x ) T 1 ( t ) = ε ρ 10 + ρ β T ˙ 1 ( t ) 2 s + 1 + ε ρ 10 + ρ α ¯ 1 T 1 ( t ) 3 + h ¯ s i n ( p t + θ ) h ¯ ¯ ρ 10 + ρ V c o s ( p t + θ ) + 1 ρ 10 + ρ α 2 I 11 T 1 ( t ) 2 k ρ 10 l π l V I 12 d T 1 d t h ¯ = 0 l k 1 p 2 ρ + ρ 1 ( x ) 1 x l s i n π l x d x h ¯ ¯ = 0 l 2 ρ 1 ( x ) k 1 l s i n π l x d x ; I 11 = 0 l x s i n π l x d x = l 2 π I 12 = 0 l x c o s π l x d x = 2 l π 2 . α 2 = k ρ 10 l ω 2 + V 2 π l 2 + Ω 2 I 11
The accepted assumptions concerning the grain mixture transportation process with its simultaneous separation made it possible to prove that the maximum value of the right side of the differential Equation (12) is a small value compared to the maximum value of the second term of the right side of this equation. This is the reason to use asymptotic methods in nonlinear mechanics [19,26,28]. Thus, the first approximation of the asymptotic solution for the non-resonant case ( ω p ) can be written as:
T t = a t   cos ψ ( t ) , ψ ( t ) = ω t + φ t
where the unknown parameters a(t) amplitude and φ(t) frequency of the auger oscillations depend on the right side of Equation (12) and are determined by the system of differential equations:
d a d t = ε ( ρ 10 + ρ ) ω π 0 2 π β T ˙ 1 t 2 s + 1 + α ¯ 1 T 1 t 3 + α 2 I 11 T 1 t 2 k ρ 10 l π l V Ι 12 d T 1 d t T 1 = a cos ψ , T ˙ 1 = a ω sin ψ sin ψ d ψ + + 1 4 π 2 ω 0 2 π 0 2 π h ¯   sin γ d γ h ¯ ¯ ρ 10 + ρ V cos γ   d ψ d γ ; p t + θ = γ ,
d ψ d t = ω + ε ( ρ 10 + ρ ) ω π a 0 2 π β T ˙ 1 t 2 s + 1 + α ¯ 1 T 1 t 3 + α 2 T 1 t 2 k ρ 10 l π l d T 1 d t V Ι 12 T 1 = a cos ψ , T ˙ 1 = a ω sin ψ cos ψ d ψ + + h 4 π 2 ρ 10 + ρ ω a 0 2 π 0 2 π sin   γ cos ψ d ψ d γ .
By directly integrating (14), we have obtained:
d a d t = ε ( ρ 10 + ρ ) ω π β π Γ s + 1 Γ 2 s + 1 2 + 1 a 2 s + 1 + 1 ρ 10 + ρ 2 k ρ 10 l π 2 l V Ι 12 ω a , d ψ d t = ω + 3 ε α 1 32 ( ρ 10 + ρ ) ω π a a 2 + 1 ( ρ 10 + ρ ) k ρ 10 l ω 2 + V 2 π l 2 + Ω 2 I 11 .

2.2. Theoretical Results of Changes over Time of the Screw Oscillations Natural Frequency

According to Equation (14) in Figure 2, some graphs of the dependence of changes in time are presented for different values of the system parameters of the natural vibration frequency of the screw transporting the grain mixture, taking into account the process of separation.
Based on Equation (14), Figure 2 describes the temporal variations of the oscillations natural frequency of a screw transporting a grain mixture, taking into account the process of separation. The presented curves have proved that when the angular velocity of the screw rotation in the interval from Ω = 10 c−1 to Ω = 20 c−1 is getting higher, the natural frequency of its flexural oscillations is getting lower (without taking into account the process of separation (Figure 2d); the longitudinal motion of grain mixture along the auger screw reduces its natural frequency of oscillations (without taking into account the process of separation); and the process of grain mixture transportation with its separation increases the natural oscillations frequency. Moreover, the more intensive the separation process, the larger the rise in the natural frequency is; the larger the value of the grain mixture’s linear mass, the lower the natural frequency of flexural oscillations is. The motion velocity V (line 1) has a linear dependence and has a value from 7.5 m/s (Figure 2c) to 10 m/s (Figure 2a,b,d). The coefficient k characterizing the process of separation also obtained a linear dependence, and that’s why the angular velocity when k = 0.1 (line 2) has the smallest value, increases proportionally when k = 0.15 (line 3), and obtains the maximum value when k = 0.2 (line 4).

2.3. Theoretical Results of Resonance Oscillations’ Impact on the Process of Grain Mixture Transportation with Its Simultaneous Separation

The resonance processes are characterized by a considerable increase in amplitude [12]. It results, on the one hand, in a certain increase in the lateral vibration amplitude of the screw and, therefore, in some increase in the dynamic stresses in it; but, on the other hand, it causes an increase in the grain mixture mixing rate. The latter contributes to the improvement of the separation process [28,29]. Thus, we should apply a complex approach to the resonance process of grain mixture transportation with separation.
As for the mathematical process of the above-mentioned phenomenon description, it is well known that the main parameters describing it [30,33] depend on the difference in phases of natural and forced oscillations— θ t = ψ t γ t . The resonance ratio (in the case of the main resonance) is described by the following equation:
d a d t = ε ( ρ 10 + ρ ) ω π β π Γ s + 1 Γ 2 s + 1 2 + 1 a 2 s + 1 + 1 ρ 10 + ρ 2 k ρ 10 l π 2 l V Ι 12 ω a + 1 2 π ω 0 2 π h ¯   sin γ d γ h ¯ ¯ ρ 10 + ρ V cos γ sin θ + γ d γ
d θ d t = ω p + 3 ε α 1 32 ( ρ 10 + ρ ) ω π a a 2 + 1 ( ρ 10 + ρ ) k ρ 10 l ω 2 + V 2 π l 2 + Ω 2 I 11 + + 1 2 π ω a 0 2 π h ¯   s i n γ d γ h ¯ ¯ ρ 10 + ρ V c o s γ c o s θ + γ d γ
After some simple transformations, the dependences (15) have been reduced to the following form:
d a d t = ε ( ρ 10 + ρ ) ω π β π Γ s + 1 Γ 2 s + 1 2 + 1 a 2 s + 1 + 1 ρ 10 + ρ 2 k ρ 10 l π 2 l V Ι 12 ω a + + h ¯ 2 ω c o s θ h ¯ ¯ 2 ( ρ 10 + ρ ) ω V s i n θ , 1 2 ω a d θ d t = ω p + 3 ε α 1 32 ( ρ 10 + ρ ) ω π a a 2 + 1 ( ρ 10 + ρ ) k ρ 10 l ω 2 + V 2 π l 2 + Ω 2 I 11 + h ¯ 2 ω a s i n θ h ¯ ¯ 2 ( ρ 10 + ρ ) ω a V c o s θ
According to the differential Equation (16) in Figure 3, some change over time of the oscillation amplitude is presented under the transition through resonance conditions.
The obtained results regarding grain mixture transportation and its simultaneous separation have proven that:
-
the impact of the initial value of the oscillations amplitude and the value of periodic disturbance on the amplitude of the transition through resonance is insignificant;
-
resonance frequency is getting lower when the angular velocity of the screw rotation is getting higher, and simultaneously the transition through the resonance amplitude is increasing;
-
the grain mixture separation process is accompanied by a simultaneous increase in the transition through the resonance amplitude, i.e., the more intensive the separation, the larger the amplitude.

3. Results and Discussion

To study the separation efficiency in telescopic screw conveyors (TSC), an experimental plant was designed (Figure 4), equipped with some separating sieves (Figure 5 and Figure 6).
When conducting research using the developed stand, it is possible to choose and study those characteristics that must be studied according to the developed technique of conducting tests [19,34]. During the course of conducting tests, they are displayed on the PC monitor as data in the tables and dependency graphs. The data are recorded at a preliminary specified frequency. Due to this program in automated mode on the PC, the required rotation frequency of the engine shaft is chosen, and we can start the engine. Moreover, under the engine control conditions, there is a possibility of a smooth increase and decrease of its rotation frequency within the range of 0 to 1480 rpm, which enables us to carry out research both in statics and dynamics. Moreover, a sudden stop and a sudden turn on the reverse of the engine shaft are possible. The program PowerSuite was used for the experimental equipment operation to adjust the frequency converters of the series Altivar (as depicted in Figure 1), where the selection of the characteristics required to make the experiments according to the developed technique of conducting tests was performed. During testing, they are displayed on the PC monitor as data in the tables and dependency graphs in a percentage ratio to the rated capacity with the preliminary specified frequency.
The program of experimental research included the study of the agricultural materials separation efficiency by multi-purpose screw conveyors and the assessment of the influence of bulk material mass, the conveyor rotation frequency, and its angle of inclination as well. The research under discussion also includes the statistical processing of the results of experiments to determine the regression equations and empirical dependences necessary to describe the processes under investigation properly [19].
Study [13] discussed the dependence of the angular velocity of the disturbance on the physical-mechanical and geometrical parameters of the conveyor branch system and the angular velocity of the screw working body. It was established that for larger values of the angular speed of rotation of the working body, the resonance value of the oscillation frequency is smaller at L = 8 m and Ω = 17–40 s−1. For longer working bodies, the amplitude of the resonance transition increases from 0.1121 to 0.2311 m at Ω = 10–25 s−1 and L = 8 m. An increase in the relative speed of the bulk material movement leads to a decrease in the amplitude of the resonance transition in the range between 0.1023–0.0701 m for a mass of 50 kg and a velocity of 5–7.5 m/s.
A study [30] established that with increasing auger speed, auger elongation length, and conveyor angle, the torque on the auger drive increases, and the maximum torque of 17.51 Nm is reached during wheat transportation. The maximum torque on the drive of the Tetrahydrocannabinol auger for transportation of corn and compound feed is 16.75 Nm and 15.02 Nm, respectively, and the minimum—9.94 Nm and 8.93 Nm. Increasing the speed of the auger from 300 rpm up to 700 rpm leads to a 35% increase in torque on the auger drive. The increase in the angle of the conveyor from 5 to 45 degrees gives an increase in torque of 4.1%, and increasing the length of the elongation of the auger from 1.33 to 1.61 m leads to an increase in torque of 24.4%.
Based on these studies, a program of experimental research is proposed that includes the study of the separation efficiency of agricultural materials by multi-purpose screw conveyors and the assessment of the influence of bulk material mass, the conveyor rotation frequency, and its angle of inclination as well. The research under discussion also includes the statistical processing of the results of experiments to determine the regression equations and empirical dependences necessary to describe the processes under investigation properly [19].
The experimental technique of our study involved both the use of standard equipment and the presented experimental plant. In particular, laboratory scales, some measuring containers, a measuring tape, rulers, a protractor, a personal computer, a frequency converter of the series Altivar, software PowerSuite, stand installation, and specially designed screw operating parts, a set of pressed sieves with the holes of different diameters, were used [19,20].
In the experimental plant, the auger’s external diameter is 97 mm, the internal diameter of the fixed nozzle is 100 mm, and the external diameter is 107 mm; the internal diameter of the movable nozzle is 109 mm. The movable nozzle is made of a galvanized sheet, so it has a joining weld, some ovalities, and roughness along its length, which had an impact on the twisting and untwisting of the telescopic section of the screw transporter. There are some guides on the external surface of the movable nozzle where the grids of different fractions can be installed.
The experimental study of the process of agricultural materials separation efficiency by a worm screw transporter-separator has proved that an increase of the screw rotation frequency from 200 rpm to 400 rpm has caused a 1.42-times increase in screw drive power within the boundaries of maximum 0.7 kW and minimum 0.22 kW and an increase in the screw drive torque of up to 25% (Figure 7).
The obtained experimental data were processed by the well-known techniques of regression analysis [19,22]. Using Statistica-6.0 software for PCs, we constructed a graphical reproduction of common regression models in the form of quadratic response surfaces and their two-dimensional sifting efficiency E as a function of two variable factors with a constant, unchangeable level taking into account the third factor. To obtain the regression models of optimization parameters, the proper plan of a full factorial experiment was chosen.
The response function, i.e., determination of sifting efficiency E = f(n,m,γ), found by the experimental method, is presented as a mathematical model of a complete quadratic polynomial.
The unknown coefficients of the quadratic polynomial regression have been determined, and the obtained values of the regression coefficients are given in Table 1.
The general view of the regression equation of wheat and millet sifting efficiency by a telescopic screw transporter-separator depends on the variable frequency of the auger rotation n, bulk material mass in the telescopic conveyor m, and the angle of inclination of the unloading main γ, i.e., E = f ( n , m , γ ) by the results of the conducted full factorial experiment 33 [19]:
-
for wheat separation:
E = 91.322 + 0.0072 n + 0.126 m + 0.42 γ 0.00015 n m 0.0006 n γ 0.0071 m γ
-
for millet separation:
E = 93.04 + 0.0033 n + 0.17 m + 0.26 γ 0.00071 n γ 0.0021 m 2 0.0071 m γ
The obtained regression Equations (17) and (18) can be used for studying the wheat and millet sieving efficiency by a telescopic screw transporter-separator depending on the variable frequency of the auger rotation n, bulk material mass in the telescopic conveyor m, and the angle of inclination of the unloading main γ within the following boundaries of input factors change: 300 ≤ n ≤ 700 (rpm); 50 ≤ m ≤ 10 (kg); 14 ≤ γ ≤ 0 (degrees).
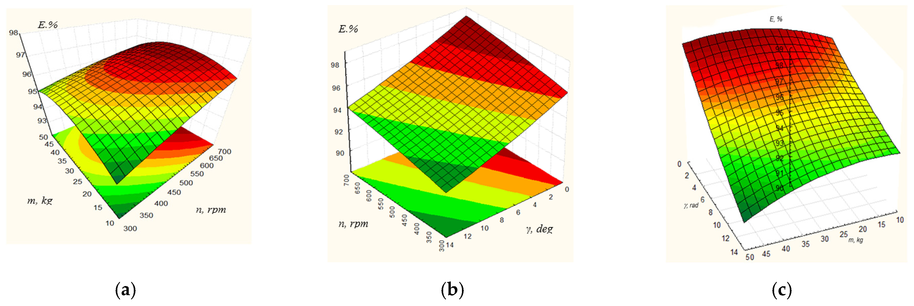
The response surfaces of value change E from the simultaneous change of two factors for wheat and millet (a)—E = f(m,n); (b)—E = f(n,γ); (c)—E = f(m,γ) are shown in Figure 8 and Figure 9.
-
for wheat separation:
Figure 8. The response to a change in the value of surfaces E from the simultaneous change of two factors for wheat is (a)—E = f(m,n); (b)—E = f(n,γ); and (c)—E = f(m,γ)
Figure 8. The response to a change in the value of surfaces E from the simultaneous change of two factors for wheat is (a)—E = f(m,n); (b)—E = f(n,γ); and (c)—E = f(m,γ)
Agriculture 13 00870 g008
-
for millet separation:
Figure 9. The response to a change in the value of surfaces E from the simultaneous change of two factors for millet is (a) —E = f(m,n); (b)—E = f(n,γ); and (c)—E = f(m,γ).
Figure 9. The response to a change in the value of surfaces E from the simultaneous change of two factors for millet is (a) —E = f(m,n); (b)—E = f(n,γ); and (c)—E = f(m,γ).
Agriculture 13 00870 g009
The study of the separation efficiency of agricultural materials by a screw transporter-separator has proved that the best parameter values chosen for efficient sieving are within the boundaries: the angle of inclination of the sieve is 0–14° and the rotation frequency of the working body is 300–700 rpm. The bigger the angle of inclination of the working body under constant, specific load conditions, the lower the sieving efficiency is.

4. Conclusions

Considerable savings of material and energy resources have been achieved during the study process due to the simultaneous combination of several technological processes (transportation and simultaneous separation). A mathematical model of the dynamics of the system «a screw of the screw conveyor—grain mixture and the process of separation» has been constructed in the study under discussion. Some graphs of dependence showing the change over time of the natural frequency of the screw oscillations for different values of the system parameters have been obtained for the screw transporting and simultaneously separating the grain mixture, and they have proved that:
-
the higher the angular velocity of the screw rotation, the lower the natural frequency of its bending vibrations (without taking into account the process of separation);
-
longitudinal movement of the grain mixture along the worm screw reduces its natural frequency of vibrations (without taking into account the process of separation);
-
the process of transportation of a grain mixture with its separation increases its natural vibration frequency, i.e., the more intensive the separation process, the higher the natural frequency;
-
the higher value of the grain mixture mass per unit length, the lower the natural frequency of its bending vibrations.
We have found that the resonance vibration of the process of grain mixture transportation with the simultaneous separation under transition through resonance conditions:
-
makes an impact on the vibration amplitude and the values of periodic disturbance and transition through the resonance amplitude, though this impact is insignificant;
-
the resonance frequency decreases while the angular velocity of the screw rotation increases, whereas the transition through the resonance amplitude is increased;
-
the process of grain mixture transportation with its simultaneous separation is accompanied by an increased amplitude of passing through resonance, which, in this way, makes the separation process more intensive. Thus, at the coefficient of separation k = 0.15, the angular velocity of screw rotation Ω = 20 s−1, linear masses of the screw and the grain mixture, respectively, ρ 10 = 20 kg/m; ρ = 15 kg/m the resonance amplitude of oscillations of the screw of length l = 6 m is 13% larger than at the coefficient of separation k = 0.1.
Energy consumption of the grain mass separation depends on the angle of inclination, the rotation frequency of the working body under material transportation, and the specific load conditions at their rational values n = 480 rpm; q = 0.9–4.7 kg/h × cm2, α = 0–14°, is equal to 0.22–0.7 kW per working sieve size of 100 × 200 mm.

Author Contributions

Conceptualization, V.H. and O.L.; methodology, O.L., I.H. and M.S.; software, O.L.; validation, V.H., I.H. and N.-V.V.; formal analysis, N.U.; investigation, O.H.; resources, A.P.; data curation, V.H.; writing—original draft preparation, O.L.; writing—review and editing, N.U. and N.-V.V.; visualization, O.L.; supervision, N.U. and N.-V.V.; project administration, N.-V.V.; funding acquisition, N.U. All authors have read and agreed to the published version of the manuscript.

Funding

The APC was funded by the University Politehnica of Bucharest, Romania, within the PubArt Program.

Institutional Review Board Statement

Not applicable.

Informed Consent Statement

Not applicable.

Data Availability Statement

Not applicable.

Conflicts of Interest

The authors declare no conflict of interest.

References

  1. Aulin, V.; Lyashuk, O.; Tykhyi, A.; Karpushyn, S.; Denysiuk, N. Influence of rheological properties of a soil layer adjacent to the working body cutting element on the mechanism of soil cultivation. Acta Technol. Agric. 2018, 21, 153–159. [Google Scholar] [CrossRef]
  2. Aulin, V.; Chernovol, M.I.; Pankov, A.O.; Zamota, T.M.; Panayotov, K.K. Sowing machines and systems based on the elements of fluidics. Agric. Eng. 2017, 53, 21–28. [Google Scholar]
  3. Didukh, V.; Yaheliuk, S.; Artyukh, T.; Albota, D.; Holiy, O. Decrease of elastic properties of oleanginous flax residues by decortication. Agric. Eng. 2022, 67, 285–292. [Google Scholar] [CrossRef]
  4. Yaheliuk, S.; Didukh, V.; Busnyuk, V.; Boyko, G.; Shubalyi, O. Optimization on efficient combustion process of small-sized fuel rolls made of oleaginous flax residues. Agric. Eng. 2020, 62, 361–368. [Google Scholar] [CrossRef]
  5. Pihnastyi, O.; Khodusov, V. Optimal control problem for a conveyor-type production line. Cybern. Syst. Anal. 2018, 54, 744–753. [Google Scholar] [CrossRef]
  6. Merritt, A.S. Mechanics of tunnelling machine screw conveyors: A theoretical model. Geotechnique 2008, 58, 79–94. [Google Scholar] [CrossRef]
  7. Mondal, D. Study on filling factor of short length screw conveyor with flood-feeding condition. Mater. Today Proc. 2018, 5, 1286–1291. [Google Scholar] [CrossRef]
  8. Mondal, D. A short spiral conveyor using cut flight screw with two different trough cover of different height—A comparative study. Techno Societal 2020, 2, 695–703. [Google Scholar] [CrossRef]
  9. Mondal, D. Design consideration of a laboratory size screw conveyor with variable speed for experimentation purpose—A methodological approach. Techno Societal 2020, 2, 705–715. [Google Scholar] [CrossRef]
  10. Mondal, D. Case study related to volumetric capacity, mass flow rate and filling factor against a constant trough height as 180 mm for a screw feeder with continuous screw. Techno Societal 2020, 2, 715–723. [Google Scholar] [CrossRef]
  11. Lyashuk, O.; Vovk, Y.; Sokil, B.; Klendii, V.; Ivasechko, R.; Dovbush, T. Mathematical model of a dynamic process of transporting a bulk material by means of a tube scraping conveyor. Agric. Eng. Int. CIGR J. 2019, 21, 74–81. [Google Scholar]
  12. Rohatynskyi, R.M.; Hevko, B.; Diachun, A.Ye. The research of the torsional vibrations of the screw in terms of impulsive force impacts. Nauk. Visnyk. Natsionalnoho. Hirnychoho. Universytetu. 2015, 149, 64–68. [Google Scholar]
  13. Lyashuk, O.L.; Sokil, M.B.; Klendiy, V.M.; Skyba, O.P.; Tretiakov, O.L.; Slobodian, L.M.; Slobodian, N.O. Mathematical model of bending vibrations of a horizontal feeder-mixer along the flow of grain mixture. Agric. Eng. 2018, 55, 35–45. [Google Scholar]
  14. Hevko, B.; Lyashuk, O.; Sokil, M.; Skyba, O.; Marunych, O.; Shmatko, D. Dynamics of auger working body of a multifunctional conveyor. Bull. Karaganda Univ. Ser. 2018, 1, 105–113. [Google Scholar] [CrossRef]
  15. Hevko, B.M.; Hevko, R.B.; Klendii, O.M.; Buriak, M.V.; Dzyadykevych, Y.V.; Rozum, R.I. Improvement of machine safety devices. Acta Polytechnica. J. Adv. Eng. 2018, 58, 17–25. [Google Scholar] [CrossRef]
  16. Hevko, R.B.; Strishenets, O.M.; Lyashuk, O.L.; Tkachenko, I.; Klendii, O.M.; Dzyura, V. Development of a pneumatic screw conveyor design and substantiation of its parameters. Agric. Eng. 2017, 54, 153–160. [Google Scholar]
  17. Hevko, R.; Rohatynskyi, R.; Hevko, M.; Lyashuk, O.; Trokhaniak, O. Investigation of sectional operating elements for conveying agricultural materials. Res. Agric. Eng. 2020, 66, 18–26. [Google Scholar] [CrossRef]
  18. Zaica, Al.; Vișan, A.; Păun, A.; Găgeanu, P.; Bunduchi, G.; Zaica, A.; Ștefan, V.; Manea, D. The coating process of corn grains using a treatment machine with brush screw conveyor. Actual Tasks Agric. Eng. 2016, 44, 333–345. [Google Scholar]
  19. Rogatynsky, R.M.; Hevko, I.B.; Dyachun, A.E. Scientific and Applied Foundations of Creation of Screw Transport and Technological Mechanisms; Publishing Ivan Pulyuy TNTU: Ternopil, Ukraine, 2014; p. 280. Available online: http://elartu.tntu.edu.ua/handle/lib/20806 (accessed on 13 March 2023).
  20. Hevko, R.B.; Liubin, M.V.; Tokarchuk, O.A.; Lyashuk, O.L.; Pohrishchuk, B.V.; Klendii, O.M. Determination of the parameters of transporting and mixing feed mixtures along the curvilinear paths of tubular conveyors. Agric. Eng. 2018, 55, 97–104. [Google Scholar]
  21. Yu, W.; Zhang, K.; Li, D.; Zou, D.; Zhang, S. Numerical modeling of concrete conveying capacity of screw conveyor based on DEM. Powder Technol. 2022, 29, 361–374. [Google Scholar] [CrossRef]
  22. Bulgakov, V.; Pascuzzi, S.; Adamchuck, V.; Olt, J.; Ruzhylo, Z.; Trokhnaniak, O.; Santoro, F.; Arak, M.; Nowak, J.; Beloev, H. Research into power and load parameters of flexible screw conveyors for transportation of agricultural materials. In Farm Machinery and Processes Management in Sustainable Agriculture; Springer International Publishing: Cham, Germany, 2023; Volume 289, pp. 61–75. [Google Scholar] [CrossRef]
  23. Bulgakov, V.; Trokhnaniak, O.; Adamchuck, V.; Chernovol, M.; Korenko, M.; Dukulis, I.; Ivanovs, S. A study of dynamic loads of a flexible sectional screw conveyor. Acta Technol. Agric. 2022, 25, 131–136. [Google Scholar] [CrossRef]
  24. Zareiforoush, H.; Komarizadeh, M.H.; Alizadeh M.R., A. Review on screw conveyors performance evaluation during handling process. J. Sci. Rev. 2010, 2, 55–63. [Google Scholar]
  25. Moorthi, S.; Megaraj, M.; Nagarajan, L.; Karthick, A.; Bharani, M.; Patil, P.P. Dynamic analysis and fabrication of single screw conveyor machine. Adv. Mater. Sci. Eng. 2022, 10, 1–10. [Google Scholar] [CrossRef]
  26. Lyashuk, O.; Sokil, M.; Vovk, Y.; Levkovych, M.; Tson, O.; Kondratyuk, D.; Dmytrenko, V. Analysis of resonance oscillations of extruder elastic screw conveyor. Int. J. Eng. Res. Africa. 2019, 43, 49–58. [Google Scholar] [CrossRef]
  27. Lyashuk, O.L. The study on nonlinear model of dynamics of a system ‘extruder elastic auger working body’. Acta Technol. Agric. 2016, 4, 102–107. [Google Scholar] [CrossRef]
  28. Sokil, B.I.; Sokil, M.B. Forced oscillations of flexible tubular bodies, along which a continuous flow of medium moves. Bull. Natl. Univ. Lviv. Polytech. Dyn. Strength Sesign Mach. Instrum. 2017, 866, 60–65. [Google Scholar]
  29. Lyashuk, O.; Sokil, M.; Vovk, Y.; Tson, A.; Gupka, A.; Marunych, O. Torsional oscillations of an auger multifunctional conveyor’s screw working body with consideration of the dynamics of a processed medium continuous flow. Ukr. Food J. 2018, 7, 499–510. [Google Scholar] [CrossRef]
  30. Lyashuk, O.L.; Hevko, I.B.; Hud, V.Z.; Tkachenko, I.G.; Hevko, O.V.; Sokol, M.O.; Tson, O.P.; Kobelnyk, V.R.; Shmatko, D.Z.; Stanko, A.I. Research of non-resonant oscillations of the telescopic screw—Fluid medium system. Agric. Eng. 2022, 68, 499–510. [Google Scholar] [CrossRef]
  31. Hevko, I.B.; Hud, V.Z.; Lyashuk, O.L.; Hevko, O.M.; Shust, I.M. Research of resonance vibrations of the system “telescopic screw is a bulk media” condited by tortial vibrations. Karaganda Univ. Phys. Ser. 2020, 2, 119–126. [Google Scholar]
  32. Hud, V.Z.; Rohatynsky, R.M.; Hevko, I.B.; Lyashuk, O.L.; Pik, A.I.; Huryk, O.Y. The research of the resonant oscillations of the system telescopic screw is a bulk environment caused by external periodic forces. Agric. Eng. 2020, 60, 29–39. [Google Scholar] [CrossRef]
  33. Hevko, I.; Lyashuk, O.; Sokil, M.; Slobodian, L.; Hud, V.; Vovk, Yu. Resonant oscillation of vertical working part of conveyer-loader. Bull. Karaganda Univ. Phys. Ser. 2019, 2, 73–82. [Google Scholar] [CrossRef] [PubMed]
  34. Panasiewicz, M. Analysis of the pneumatic separation process of agricultural materials. Int. Agrophysics 1999, 13, 233–239. [Google Scholar]
Figure 1. A calculation model and a stand for studying the characteristics of telescopic screw conveyor-separators: (a) scheme of the separation process: 1—fixed in the axial direction of the screw section; 2—fixed in the axial direction of the casing; 3—movable in the axial direction of the screw section; 4—movable in the axial direction of the casing; 5—guides; 6—separating mesh; 7—height adjustment support; (b) the calculation model of the separation unit.
Figure 1. A calculation model and a stand for studying the characteristics of telescopic screw conveyor-separators: (a) scheme of the separation process: 1—fixed in the axial direction of the screw section; 2—fixed in the axial direction of the casing; 3—movable in the axial direction of the screw section; 4—movable in the axial direction of the casing; 5—guides; 6—separating mesh; 7—height adjustment support; (b) the calculation model of the separation unit.
Agriculture 13 00870 g001
Figure 2. Values of the natural vibration frequency of the worm-screw-grain mixture system that are separated at different values of parameters at ρ 10 = 20 kg/m, ρ = 5 kg/m, Ω = 20 s−1, 1 − k = 0; 2 − k = 0.1; 3 − k = 0.15; 4 − k = 0.2: (a) l = 6 m and 1 − V = 10; (b) l = 8 m and 1 − V = 10; (c) l = 8 m and 1 − V = 7.5; (d) l = 6 m and 1 − V = 10; 1—motion velocity; 2—angular velocity if k = 0.1; 3—angular velocity if k = 0.15; 4—angular velocity if k = 0.2.
Figure 2. Values of the natural vibration frequency of the worm-screw-grain mixture system that are separated at different values of parameters at ρ 10 = 20 kg/m, ρ = 5 kg/m, Ω = 20 s−1, 1 − k = 0; 2 − k = 0.1; 3 − k = 0.15; 4 − k = 0.2: (a) l = 6 m and 1 − V = 10; (b) l = 8 m and 1 − V = 10; (c) l = 8 m and 1 − V = 7.5; (d) l = 6 m and 1 − V = 10; 1—motion velocity; 2—angular velocity if k = 0.1; 3—angular velocity if k = 0.15; 4—angular velocity if k = 0.2.
Agriculture 13 00870 g002
Figure 3. Changes in the bending vibration amplitude of a worm-screw-grain mixture system at transition through the main resonance, taking into account the process of separation: (a) for ρ 10 = 20 kg/m, ρ = 15 kg/m, l = 8 m, Ω = 20 s−1, V = 0, k = 0, then 1 − k = 0.2, 2 − k = 0.15, 3 − V = 10; (b) for ρ = 15 kg/m, l = 6 m, Ω = 20 s−1, then: 1 − ρ 10 = 15 kg/m, V = 10, k = 0.15; 2 − ρ 10 = 25 kg/m, V = 10, k = 0.1; 3 − ρ 10 = 30 kg/m, V = 0, k = 0; (c) for ρ = 15 kg/m, Ω = 20 s−1, then: 1 − ρ 10 = 15 kg/m, l = 6 m, V = 10, k = 0.15; 2 − ρ 10 = 25 kg/m, V = 10, k = 0.1; 3 − ρ 10 = 30 kg/m, V = 0, k = 0; (d) for ρ = 25 kg/m, Ω = 25 s−1, l = 8 m, then: 1 − ρ 10 = 15 kg/m, V = 10, k = 0.15; 2 − ρ 10 = 20 kg/m, V = 10, k = 0.1; 3 − ρ 10 = 20 kg/m, V = 0, k = 0; (e) for ρ 10 = 20 kg/m, ρ = 15 kg/m, l = 6 m Ω = 20 s−1, then: 1 − V = 10, k = 0.15; 2 − V = 7.5, k = 0.1; 3 − V= 0, k = 0; (f) for ρ 10 = 30 kg/m, ρ = 30 kg/m, l = 6 m Ω = 20 s−1, , then: 1 − V = 10, k = 0.15; 2 − V = 7.5, k = 0.1; 3 − V= 0, k = 0.
Figure 3. Changes in the bending vibration amplitude of a worm-screw-grain mixture system at transition through the main resonance, taking into account the process of separation: (a) for ρ 10 = 20 kg/m, ρ = 15 kg/m, l = 8 m, Ω = 20 s−1, V = 0, k = 0, then 1 − k = 0.2, 2 − k = 0.15, 3 − V = 10; (b) for ρ = 15 kg/m, l = 6 m, Ω = 20 s−1, then: 1 − ρ 10 = 15 kg/m, V = 10, k = 0.15; 2 − ρ 10 = 25 kg/m, V = 10, k = 0.1; 3 − ρ 10 = 30 kg/m, V = 0, k = 0; (c) for ρ = 15 kg/m, Ω = 20 s−1, then: 1 − ρ 10 = 15 kg/m, l = 6 m, V = 10, k = 0.15; 2 − ρ 10 = 25 kg/m, V = 10, k = 0.1; 3 − ρ 10 = 30 kg/m, V = 0, k = 0; (d) for ρ = 25 kg/m, Ω = 25 s−1, l = 8 m, then: 1 − ρ 10 = 15 kg/m, V = 10, k = 0.15; 2 − ρ 10 = 20 kg/m, V = 10, k = 0.1; 3 − ρ 10 = 20 kg/m, V = 0, k = 0; (e) for ρ 10 = 20 kg/m, ρ = 15 kg/m, l = 6 m Ω = 20 s−1, then: 1 − V = 10, k = 0.15; 2 − V = 7.5, k = 0.1; 3 − V= 0, k = 0; (f) for ρ 10 = 30 kg/m, ρ = 30 kg/m, l = 6 m Ω = 20 s−1, , then: 1 − V = 10, k = 0.15; 2 − V = 7.5, k = 0.1; 3 − V= 0, k = 0.
Agriculture 13 00870 g003
Figure 4. A stand for studying the characteristics of telescopic screw conveyor separators: general view: 1—screw section fixed in axial direction; 2—auger of the fixed in axial direction screw section; 3—casing part fixed in axial direction; 4—screw section movable in axial direction; 5—auger of the movable in axial direction screw section; 6—casing part movable in axial direction; 7—guides; 8—guide locks; 9—unloading nozzle; 10—material supply height adjustment support; 11—frame; 12—moveable table; 13—scale of augers overlapping; 14—bunker; 15—transporter electric drive; 16—belt transmission; 17—drive rotation frequency converter Altivar; 18—personal computer; 19—separating mesh.
Figure 4. A stand for studying the characteristics of telescopic screw conveyor separators: general view: 1—screw section fixed in axial direction; 2—auger of the fixed in axial direction screw section; 3—casing part fixed in axial direction; 4—screw section movable in axial direction; 5—auger of the movable in axial direction screw section; 6—casing part movable in axial direction; 7—guides; 8—guide locks; 9—unloading nozzle; 10—material supply height adjustment support; 11—frame; 12—moveable table; 13—scale of augers overlapping; 14—bunker; 15—transporter electric drive; 16—belt transmission; 17—drive rotation frequency converter Altivar; 18—personal computer; 19—separating mesh.
Agriculture 13 00870 g004
Figure 5. Separating mesh is mounted on the movable in the axial direction of the casing of the telescopic screw conveyor: 6—casing part movable in axial direction; 7—guides; 19—separating mesh.
Figure 5. Separating mesh is mounted on the movable in the axial direction of the casing of the telescopic screw conveyor: 6—casing part movable in axial direction; 7—guides; 19—separating mesh.
Agriculture 13 00870 g005
Figure 6. Separating grids are used in the study of the efficiency of separation by a screw conveyor: 6—casing part movable in axial direction; 7—guides; 8—guide locks; 9—unloading nozzle; 10—material supply height adjustment support; 11—frame; 19—separating mesh.
Figure 6. Separating grids are used in the study of the efficiency of separation by a screw conveyor: 6—casing part movable in axial direction; 7—guides; 8—guide locks; 9—unloading nozzle; 10—material supply height adjustment support; 11—frame; 19—separating mesh.
Agriculture 13 00870 g006
Figure 7. Power parameter values for bulk material transportation by a multi-purpose screw convey-or-separator: 1—torque change; 2—power consumption change.
Figure 7. Power parameter values for bulk material transportation by a multi-purpose screw convey-or-separator: 1—torque change; 2—power consumption change.
Agriculture 13 00870 g007
Table 1. Coefficient values of regression equations.
Table 1. Coefficient values of regression equations.
Coef.b0b1b2b3b12b13b23b11b22b33
wwheat91.3765.8 × 10−30.1670.42571.5 × 10−46 × 10−4−0.00710.14 × 10−5−6.9 × 10−40.011
millet93.0710.00330.1670.214−1.9 × 10−10−7.1 × 10−4−7.1 × 10−30.64 × 10−90.21 × 10−30.0034
b0 … b33—coefficients of regression equations of a quadratic polynomial (encoded values).
Disclaimer/Publisher’s Note: The statements, opinions and data contained in all publications are solely those of the individual author(s) and contributor(s) and not of MDPI and/or the editor(s). MDPI and/or the editor(s) disclaim responsibility for any injury to people or property resulting from any ideas, methods, instructions or products referred to in the content.

Share and Cite

MDPI and ACS Style

Hud, V.; Lyashuk, O.; Hevko, I.; Ungureanu, N.; Vlăduț, N.-V.; Stashkiv, M.; Hevko, O.; Pik, A. Enhancement of Agricultural Materials Separation Efficiency Using a Multi-Purpose Screw Conveyor-Separator. Agriculture 2023, 13, 870. https://doi.org/10.3390/agriculture13040870

AMA Style

Hud V, Lyashuk O, Hevko I, Ungureanu N, Vlăduț N-V, Stashkiv M, Hevko O, Pik A. Enhancement of Agricultural Materials Separation Efficiency Using a Multi-Purpose Screw Conveyor-Separator. Agriculture. 2023; 13(4):870. https://doi.org/10.3390/agriculture13040870

Chicago/Turabian Style

Hud, Victor, Oleg Lyashuk, Ivan Hevko, Nicoleta Ungureanu, Nicolae-Valentin Vlăduț, Mykola Stashkiv, Olena Hevko, and Andriy Pik. 2023. "Enhancement of Agricultural Materials Separation Efficiency Using a Multi-Purpose Screw Conveyor-Separator" Agriculture 13, no. 4: 870. https://doi.org/10.3390/agriculture13040870

APA Style

Hud, V., Lyashuk, O., Hevko, I., Ungureanu, N., Vlăduț, N.-V., Stashkiv, M., Hevko, O., & Pik, A. (2023). Enhancement of Agricultural Materials Separation Efficiency Using a Multi-Purpose Screw Conveyor-Separator. Agriculture, 13(4), 870. https://doi.org/10.3390/agriculture13040870

Note that from the first issue of 2016, this journal uses article numbers instead of page numbers. See further details here.

Article Metrics

Back to TopTop