Candidate miRNAs from Oryza sativa for Silencing the Rice Tungro Viruses
Abstract
1. Introduction
2. Materials and Methods
2.1. Genome Sequences and Mature miRNAs Retrieving
2.2. Sequence Analysis of RTBV and RTSV Genome
2.3. MicroRNA Target Prediction in RTBV and RTSV Genome
2.4. Statistical Analysis
3. Results
3.1. Analysis of RTBV Genome
3.2. Analysis of RTSV Genome
3.3. MicroRNA Target Prediction in RTBV and RTSV Genome
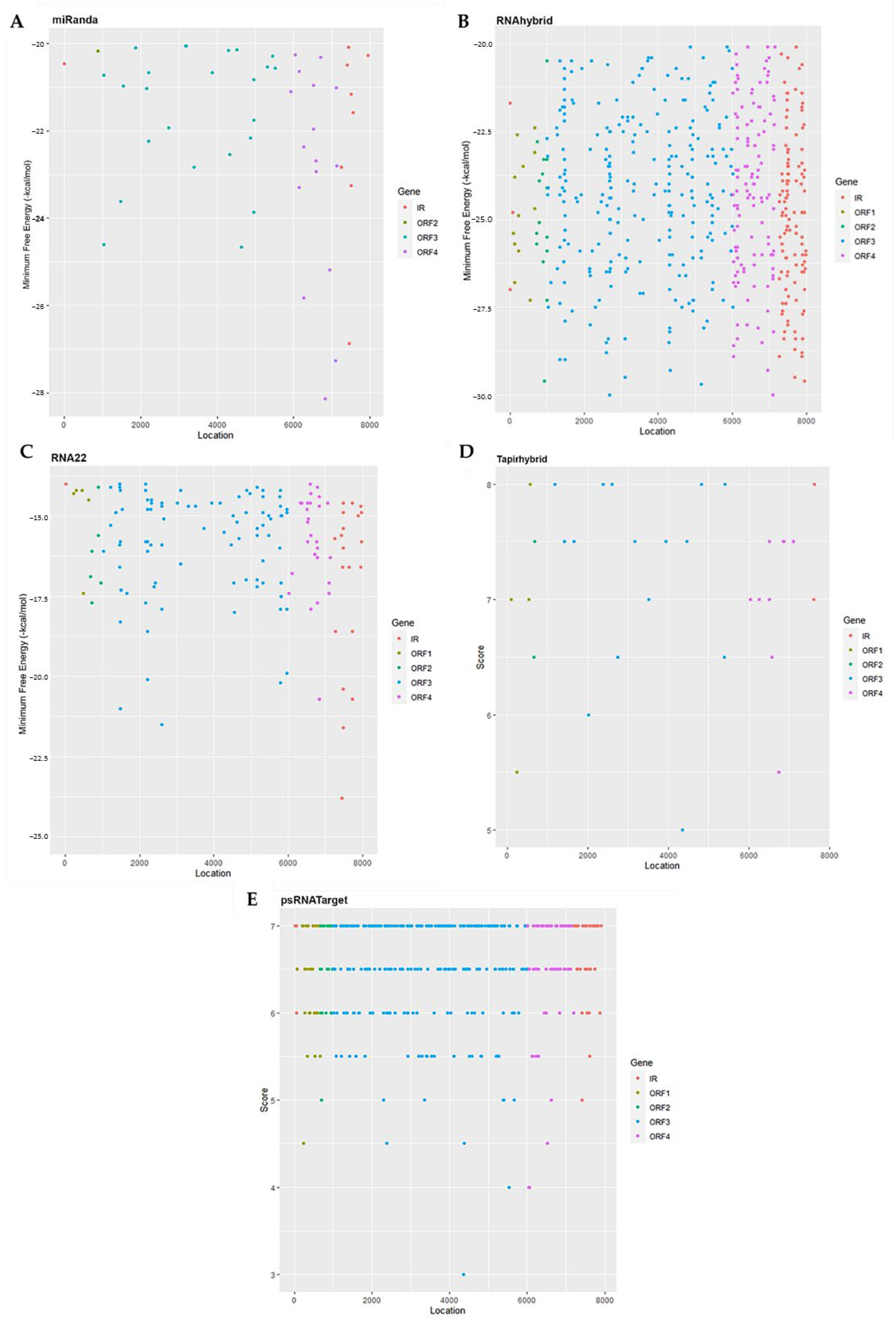
3.3.1. Host-Derived miRNas Predicted by Different Bioinformatic Algorithms
3.3.2. Prediction of Secondary Structure
4. Discussion
5. Conclusions
Author Contributions
Funding
Institutional Review Board Statement
Informed Consent Statement
Data Availability Statement
Acknowledgments
Conflicts of Interest
References
- Milovanovic, V.; Smutka, L. Asian Countries in the Global Rice Market. Acta Univ. Agric. Silvic. Mendel. Brun. 2017, 65, 679–688. [Google Scholar] [CrossRef]
- Liu, J.Y.; Fan, H.Y.; Wang, Y.; Zhang, Y.L.; Li, D.W.; Yu, J.L.; Han, C.G. Characterization of MicroRNAs of Beta Macrocarpa and Their Responses to Beet Necrotic Yellow Vein Virus Infection. PLoS ONE 2017, 12, e0186500. [Google Scholar] [CrossRef]
- Sasaya, T.; Nakazono-Nagaoka, E.; Saika, H.; Aoki, H.; Hiraguri, A.; Netsu, O.; Uehara-Ichiki, T.; Onuki, M.; Toki, S.; Saito, K.; et al. Transgenic Strategies to Confer Resistance against Viruses in Rice Plants. Front. Microbiol. 2013, 4, 409. [Google Scholar] [CrossRef] [PubMed]
- Hull, R. Rice Tungro Bacilliform Virus. In Encyclopedia of Virology; Granoff, A., Webster, R.G., Eds.; Elsevier: Amsterdam, The Netherlands, 1999; pp. 1292–1296. [Google Scholar] [CrossRef]
- Bunawan, H.; Dusik, L.; Bunawan, S.N.; Amin, N.M. Rice Tungro Disease: From Identification to Disease Control. World Appl. Sci. J. 2014, 31, 1221–1226. [Google Scholar] [CrossRef]
- Hibino, H. Biology and Epidemiology of Rice Viruses. Annu. Rev. Phytopathol. 1996, 34, 249–274. [Google Scholar] [CrossRef] [PubMed]
- Challendor, T.C.B.; Azzam, O.; Heong, K.L. Rice Tungro Disease Management; Lopez, K., Hardy, B., Eds.; International Rice Research Institute: Los Banos, CA, USA, 1999. [Google Scholar]
- Chong, J.; Yee, S.F.; Eng, L. Rice Tungro Disease in Sarawak: Past and Present Status. Pak. J. Biol. Sci. 2015, 18, 285–289. [Google Scholar] [CrossRef]
- Azzam, O.; Chancellor, T.C.B. The Biology, Epidemiology, and Management of Rice Tungro Disease in Asia. Plant Dis. 2002, 86, 88–100. [Google Scholar] [CrossRef]
- Bousalem, M.; Douzery, E.J.P.; Seal, S.E. Taxonomy, Molecular Phylogeny and Evolution of Plant Reverse Transcribing Viruses (Family Caulimoviridae) Inferred from Full-Length Genome and Reverse Transcriptase Sequences. Arch. Virol. 2008, 153, 1085–1102. [Google Scholar] [CrossRef]
- Mangrauthia, S.K.; Malathi, P.; Agarwal, S.; Ramkumar, G.; Krishnaveni, D.; Neeraja, C.N.; Madhav, M.S.; Ladhalakshmi, D.; Balachandran, S.M.; Viraktamath, B.C. Genetic Variation of Coat Protein Gene among the Isolates of Rice Tungro Spherical Virus from Tungro-Endemic States of the India. Virus Genes 2012, 44, 482–487. [Google Scholar] [CrossRef]
- Patel, S.K.; Rajeswari, B.; Krishnaveni, D. Weed Host Range of Rice Tungro Virus Disease. Plant Arch. 2018, 18, 382–386. [Google Scholar]
- Thompson, J.R.; Dasgupta, I.; Fuchs, M.; Iwanami, T.; Karasev, A.V.; Petrzik, K.; Sanfaçon, H.; Tzanetakis, I.; van Der Vlugt, R.; Wetzel, T.; et al. ICTV Virus Taxonomy Profile: Secoviridae. J. Gen. Virol. 2017, 98, 529–531. [Google Scholar] [CrossRef]
- Cabauatan, P.Q.; Melcher, U.; Ishikawa, K.; Omura, T.; Hibino, H.; Koganezawa, H.; Azzam, O. Sequence Changes in Six Variants of Rice Tungro Bacilliform Virus and Their Phylogenetic Relationships. J. Gen. Virol. 1999, 80, 2229–2237. [Google Scholar] [CrossRef] [PubMed]
- Cuccuru, G.; Orsini, M.; Pinna, A.; Sbardellati, A.; Soranzo, N.; Travaglione, A.; Uva, P.; Zanetti, G.; Fotia, G. Orione, a Web-Based Framework for NGS Analysis in Microbiology. Bioinformatics 2014, 30, 1928–1929. [Google Scholar] [CrossRef] [PubMed]
- Hay, J.M.; Jones, M.C.; Blakebrough, M.L.; Dasgupta, I.; Davies, J.W.; Hull, R. An Analysis of the Sequence of an Infectious Clone of Rice Tungro Bacilliform Virus, a Plant Pararetrovirus. Nucleic Acids Res. 1991, 19, 2615–2621. [Google Scholar] [CrossRef]
- Qu, R.; Bhattacharyya, M.; Laco, G.S.; De Kochko, A.; Subba Rao, B.L.; Kaniewska, M.B.; Scott Elmer, J.; Rochester, D.E.; Smith, C.E.; Beachy, R.N. Characterization of the Genome of Rice Tungro Bacilliform Virus: Comparison with Commelina Yellow Mottle Virus and Caulimoviruses. Virology 1991, 185, 354–364. [Google Scholar] [CrossRef]
- Kano, H.; Koizumi, M.; Noda, H.; Hibino, H.; Ishikawa, K.; Omura, T.; Cabauatan, P.Q.; Koganezawa, H. Nucleotide Sequence of Capsid Protein Gene of Rice Tungro Bacilliform Virus. Arch. Virol. 1992, 124, 157–163. [Google Scholar] [CrossRef]
- Banerjee, A.; Roy, S.; Tarafdar, J.; Senapati, B.K.; Bengal, W. Present Status of Rice Tungro Disease in West Bengal: Occurrence and Characterization of Viruses. J. Crop Weed 2009, 5, 229–232. [Google Scholar]
- Sharma, S.; Rabindran, R.; Robin, S.; Dasgupta, I. Analysis of the Complete DNA Sequence of Rice Tungro Bacilliform Virus from Southern India Indicates It to Be a Product of Recombination. Arch. Virol. 2011, 156, 2257–2262. [Google Scholar] [CrossRef]
- Mathur, S.; Dasgupta, I. Further Support of Genetic Conservation in Indian Isolates of Rice Tungro Bacilliform Virus by Sequence Analysis of an Isolate from North-Western India. Virus Genes 2013, 46, 387–391. [Google Scholar] [CrossRef]
- Nath, N.; Mathur, S.; Dasgupta, I. Molecular Analysis of Two Complete Rice Tungro Bacilliform Virus Genomic Sequences from India. Arch. Virol. 2002, 147, 1173–1187. [Google Scholar] [CrossRef]
- Marmey, P.; Bothner, B.; Jacquot, E.; De Kochko, A.; Ong, C.A.; Yot, P.; Siuzdak, G.; Beachy, R.N.; Fauquet, C.M. Rice Tungro Bacilliform Virus Open Reading Frame 3 Encodes a Single 37- KDa Coat Protein. Virology 1999, 253, 319–326. [Google Scholar] [CrossRef]
- Kannan, M.; Saad, M.M.; Talip, N.; Baharum, S.N.; Bunawan, H. Complete Genome Sequence of Rice Tungro Bacilliformvirus Infecting Asian Rice (Oryza Sativa) in Malaysia. Microbiol. Resour. Announc. 2019, 8, e00262-19. [Google Scholar] [CrossRef]
- Pantaleo, V. Plant RNA Silencing in Viral Defence. In RNA Infrastructure and Networks; Collins, L.J., Ed.; Landes Bioscience and Springer Science + Business Media: Berlin/Heidelberg, Germany, 2011; Volume 39, pp. 39–58. [Google Scholar]
- Ramesh, S.V.; Ratnaparkhe, M.B.; Kumawat, G.; Gupta, G.K.; Husain, S.M. Plant MiRNAome and Antiviral Resistance: A Retrospective View and Prospective Challenges. Virus Genes 2014, 48, 1–14. [Google Scholar] [CrossRef]
- Sha, A.; Zhao, J.; Yin, K.; Tang, Y.; Wang, Y.; Wei, X.; Hong, Y.; Liu, Y. Virus-Based MicroRNA Silencing in Plants. Plant Physiol. 2014, 164, 36–47. [Google Scholar] [CrossRef] [PubMed]
- Liu, S.R.; Zhou, J.J.; Hu, C.G.; Wei, C.L.; Zhang, J.Z. MicroRNA-Mediated Gene Silencing in Plant Defense and Viral Counter-Defense. Front. Microbiol. 2017, 8, 1801. [Google Scholar] [CrossRef] [PubMed]
- Zhang, R.; Zheng, F.; Wei, S.; Zhang, S.; Li, G.; Cao, P.; Zhao, S. Evolution of Disease Defense Genes and Their Regulators in Plants. Int. J. Mol. Sci. 2019, 20, 335. [Google Scholar] [CrossRef] [PubMed]
- Gaafar, Y.Z.A.; Ziebell, H. Novel Targets for Engineering Physostegia Chlorotic Mottle and Tomato Brown Rugose Fruit Virus-Resistant Tomatoes: In Silico Prediction of Tomato MicroRNA Targets. PeerJ 2020, 8, e10096. [Google Scholar] [CrossRef]
- Iqbal, M.S.; Jabbar, B.; Sharif, M.N.; Ali, Q.; Husnain, T.; Nasir, I.A. In Silico MCMV Silencing Concludes Potential Host-Derived MiRNAs in Maize. Front. Plant Sci. 2017, 8, 372. [Google Scholar] [CrossRef]
- Ashraf, F.; Ashraf, M.A.; Hu, X.; Zhang, S. A Novel Computational Approach to the Silencing of Sugarcane Bacilliform Guadeloupe A Virus Determines Potential Host-Derived MicroRNAs in Sugarcane (Saccharum officinarum L.). PeerJ 2020, 2020. [Google Scholar] [CrossRef]
- Ashraf, M.A.; Ali, B.; Brown, J.K.; Shahid, I. In Silico Identification of Cassava Genome-Encoded MicroRNAs with Predicted Potential for Targeting the ICMV-Kerala Begomoviral Pathogen of Cassava. Viruses 2023, 15, 486. [Google Scholar] [CrossRef]
- Tripathy, R.; Mishra, D.; Nayak, R.K. Endogenous Rice (Oryza sativa) MiRNAs and Their Potential Targets against Rice Tungro Virus Using Various String Matching Algorithms. ACM Int. Conf. Proc. Ser. 2012, 419–423. [Google Scholar] [CrossRef]
- Jabbar, B.; Iqbal, M.S.; Batcho, A.A.; Nasir, I.A.; Rashid, B.; Husnain, T.; Henry, R.J. Target Prediction of Candidate MiRNAs from Oryza Sativa for Silencing the RYMV Genome. Comput. Biol. Chem. 2019, 83, 107127. [Google Scholar] [CrossRef]
- Kannan, M.; Saad, M.M.; Zainal, Z.; Kassim, H.; Ismail, I.; Talip, N.; Baharum, S.N.; Bunawan, H. Sequence and Phylogenetic Analysis of the First Complete Genome of Rice Tungro Spherical Virus in Malaysia. Iran. J. Biotechnol. 2020, 18, 9–17. [Google Scholar] [CrossRef]
- Edgar, R.C. MUSCLE: Multiple Sequence Alignment with High Accuracy and High Throughput. Nucleic Acids Res. 2004, 32, 1792–1797. [Google Scholar] [CrossRef]
- Gruber, A.R.; Lorenz, R.; Bernhart, S.H.; Neuböck, R.; Hofacker, I.L. The Vienna RNA Websuite. Nucleic Acids Res. 2008, 36, 70–74. [Google Scholar] [CrossRef]
- Srivastava, P.K.; Moturu, T.R.; Pandey, P.; Baldwin, I.T.; Pandey, S.P. A Comparison of Performance of Plant MiRNA Target Prediction Tools and the Characterization of Features for Genome-Wide Target Prediction. BMC Genom. 2014, 15, 348. [Google Scholar] [CrossRef]
- Miranda, K.C.; Huynh, T.; Tay, Y.; Ang, Y.S.; Tam, W.L.; Thomson, A.M.; Lim, B.; Rigoutsos, I. A Pattern-Based Method for the Identification of MicroRNA Binding Sites and Their Corresponding Heteroduplexes. Cell 2006, 126, 1203–1217. [Google Scholar] [CrossRef]
- Bonnet, E.; He, Y.; Billiau, K.; van de Peer, Y. TAPIR, a Web Server for the Prediction of Plant MicroRNA Targets, Including Target Mimics. Bioinformatics 2010, 26, 1566–1568. [Google Scholar] [CrossRef]
- Dai, X.; Zhuang, Z.; Zhao, P.X. PsRNATarget: A Plant Small RNA Target Analysis Server (2017 Release). Nucleic Acids Res. 2018, 46, W49–W54. [Google Scholar] [CrossRef] [PubMed]
- R Core Team. R: The R Project for Statistical Computing. Available online: https://www.r-project.org/ (accessed on 6 January 2023).
- Wickham, H. Elegant Graphics for Data Analysis: ggplot2. In Applied Spatial Data Analysis with R; Gentleman, R., Hornik, K., Parmigiani, G., Eds.; Springer Science and Business Media: New York, NY, USA, 2008. [Google Scholar]
- John, B.; Enright, A.J.; Aravin, A.; Tuschl, T.; Sander, C.; Marks, D.S. Human MicroRNA Targets. PLoS Biol. 2004, 2, e363. [Google Scholar] [CrossRef] [PubMed]
- Krüger, J.; Rehmsmeier, M. RNAhybrid: MicroRNA Target Prediction Easy, Fast and Flexible. Nucleic Acids Res. 2006, 34, 451–454. [Google Scholar] [CrossRef] [PubMed]
- Wei, L.Q.; Yan, L.F.; Wang, T. Deep Sequencing on Genome-Wide Scale Reveals the Unique Composition and Expression Patterns of MicroRNAs in Developing Pollen of Oryza Sativa. Genome Biol. 2011, 12, R53. [Google Scholar] [CrossRef] [PubMed]
- Wang, W.; Liu, G.; Niu, H.; Timko, M.P.; Zhang, H. The F-Box Protein COI1 Functions Upstream of MYB305 to Regulate Primary Carbohydrate Metabolism in Tobacco (Nicotiana tabacum L. Cv. TN90). J. Exp. Bot. 2014, 65, 2147–2160. [Google Scholar] [CrossRef] [PubMed]
- Yang, L.; Wu, Y.; Wang, W.; Mao, B.; Zhao, B.; Wang, J. Genetic Subtraction Profiling Identifies Candidate MiRNAs Involved in Rice Female Gametophyte Abortion. G3 Genes Genomes Genet. 2017, 7, 2281–2293. [Google Scholar] [CrossRef] [PubMed]
- Wu, Y.; Lv, W.; Hu, L.; Rao, W.; Zeng, Y.; Zhu, L.; He, Y.; He, G. Identification and Analysis of Brown Planthopper-Responsive MicroRNAs in Resistant and Susceptible Rice Plants. Sci. Rep. 2017, 7, 8712. [Google Scholar] [CrossRef]
- Zhang, J.W.; Long, Y.; De Xue, M.; Xiao, X.G.; Pei, X.W. Identification of MicroRNAs in Response to Drought in Common Wild Rice (Oryza rufipogon Griff.) Shoots and Roots. PLoS ONE 2017, 12, e0170330. [Google Scholar] [CrossRef]
- Guleria, P.; Mahajan, M.; Bhardwaj, J.; Yadav, S.K. Plant Small RNAs: Biogenesis, Mode of Action and Their Roles in Abiotic Stresses. Genom. Proteom. Bioinform. 2011, 9, 183–199. [Google Scholar] [CrossRef]
- Mangrauthia, S.K.; Bhogireddy, S.; Agarwal, S.; Prasanth, V.V.; Voleti, S.R.; Neelamraju, S.; Subrahmanyam, D. Genome-Wide Changes in MicroRNA Expression during Short and Prolonged Heat Stress and Recovery in Contrasting Rice Cultivars. J. Exp. Bot. 2017, 68, 2399–2412. [Google Scholar] [CrossRef]
- Peng, T.; Sun, H.; Qiao, M.; Zhao, Y.; Du, Y.; Zhang, J.; Li, J.; Tang, G.; Zhao, Q. Differentially Expressed MicroRNA Cohorts in Seed Development May Contribute to Poor Grain Filling of Inferior Spikelets in Rice. BMC Plant Biol. 2014, 14, 196. [Google Scholar] [CrossRef]
- Sasani, S.T.; Soltani, B.M.; Mehrabi, R.; Samavatian, H.; Padasht-Dehkaei, F. Expression Alteration of Candidate Rice Mirnas in Response to Sheath Blight Disease. Iran. J. Biotechnol. 2020, 18, 39–46. [Google Scholar] [CrossRef]
- Xin, M.; Wang, Y.; Yao, Y.; Xie, C.; Peng, H.; Ni, Z.; Sun, Q. Diverse Set of MicroRNAs Are Responsive to Powdery Mildew Infection and Heat Stress in Wheat (Triticum aestivum L.). BMC Plant Biol. 2010, 10, 123. [Google Scholar] [CrossRef] [PubMed]
- Liu, H.H.; Tian, X.; Li, Y.J.; Wu, C.A.; Zheng, C.C. Microarray-Based Analysis of Stress-Regulated MicroRNAs in Arabidopsis Thaliana. RNA Soc. 2008, 14, 836–843. [Google Scholar] [CrossRef]
- Zarreen, F.; Kumar, G.; Johnson, A.M.A.; Dasgupta, I. Small RNA-Based Interactions between Rice and the Viruses Which Cause the Tungro Disease. Virology 2018, 523, 64–73. [Google Scholar] [CrossRef]
- Lu, J.; Wang, C.; Zhang, F.; Zeng, D.; Zhou, Y. Comparative MicroRNA Profiling Reveals MicroRNAs Involved in Rice Resistant Response to Bacterial Blight. Crop J. 2020, 9, 834–842. [Google Scholar] [CrossRef]
- Yang, J.; Zhang, F.; Li, J.; Chen, J.P.; Zhang, H.M. Integrative Analysis of the MicroRNAome and Transcriptome Illuminates the Response of Susceptible Rice Plants to Rice Stripe Virus. PLoS ONE 2016, 11, e0146946. [Google Scholar] [CrossRef]
- Lian, S.; Cho, W.K.; Kim, S.M.; Choi, H.; Kim, K.H. Time-Course Small RNA Profiling Reveals Rice MiRNAs and Their Target Genes in Response to Rice Stripe Virus Infection. PLoS ONE 2016, 11, e0162319. [Google Scholar] [CrossRef] [PubMed]
- Habachi-Houimli, Y.; Khalfallah, Y.; Makni, H.; Makni, M.; Bouktila, D. Large-Scale Bioinformatic Analysis of the Regulation of the Disease Resistance NBS Gene Family by MicroRNAs in Poaceae. Comptes Rendus-Biol. 2016, 339, 347–356. [Google Scholar] [CrossRef]
- Arora, K.; Kumar, A.; Devanna, R.B.N.; Dubey, H. Deciphering the Role of MicroRNAs during Pi54 Gene Mediated Magnaporthe Oryzae Resistance Response in Rice. Physiol. Mol. Biol. Plants 2021, 27, 633–647. [Google Scholar] [CrossRef] [PubMed]
- Wenlei, C.; Xinxin, C.; Jianhua, Z.; Zhaoyang, Z.; Zhiming, F.; Shouqiang, O.; Shimin, Z. Comprehensive Characteristics of MicroRNA Expression Profile Conferring to Rhizoctonia Solani in Rice. Rice Sci. 2020, 27, 101–112. [Google Scholar] [CrossRef]
- Nanda, S.; Yuan, S.Y.; Lai, F.X.; Wang, W.X.; Fu, Q.; Wan, P.J. Identification and Analysis of MiRNAs in IR56 Rice in Response to BPH Infestations of Different Virulence Levels. Sci. Rep. 2020, 10, 19093. [Google Scholar] [CrossRef]
- Park, M.; Choi, W.; Shin, S.Y.; Moon, H.; Lee, D.; Gho, Y.S.; Jung, K.H.; Jeon, J.S.; Shin, C. Identification of Genes and MicroRNAs Affecting Pre-Harvest Sprouting in Rice (Oryza sativa L.) by Transcriptome and Small RNAome Analyses. Front. Plant Sci. 2021, 12, 727302. [Google Scholar] [CrossRef] [PubMed]
- Tripathy, R.; Mishra, D. A Computational Approach of Rice (Oryza sativa) Plant MiRNA Target Prediction against Tungro Virus. Procedia Eng. 2012, 38, 1357–1361. [Google Scholar] [CrossRef]






| Tool | Parameter | Source | Reference |
|---|---|---|---|
| miRanda | Alignment score threshold = 140, energy threshold = −20 kcal/mol. | https://usegalaxy.eu/ (accessed on 24 June 2022) | [37] |
| RNAhybrid | The energy threshold = −20 kcal/mol. | https://bibiserv.cebitec.uni-bielefeld.de/rnahybrid/ (accessed on 23 June 2022) | [39] |
| RNA22 | The minimum number of paired-up bases = 12, maximum folding energy = −14 kcal/mol. | https://cm.jefferson.edu/rna22/Interactive/ (accessed on 24 June 2022) | [40] |
| Tapirhybrid | Score = 8, free energy ratio = 0.5. | http://bioinformatics.psb.ugent.be/webtools/tapir/ (accessed on 23 June 2022) | [41] |
| psRNATarget | Expectation score = 7.0, penalty for other mismatches = 1, penalty for G.U pair = 1, seed region = 2–7 nucleotides, HSP size = 19, penalty for extending gap = 2. | http://plantgrn.noble.org/psRNATarget/analysis?function = 3 (accessed on 25 June 2022) | [42] |
| Host miRNAs | miRNA-Target Pair | Position | MFE (kcal/mol) |
|---|---|---|---|
| RTBV-SP | |||
| osa-miR5510 | ![]() | 6262–6282 | −25.83 |
| osa-miR3980a-3p | ![]() | 7110–7130 | −27.26 |
| osa-miR3980b-3p | ![]() | 7110–7130 | −27.26 |
| RTSV-SP | |||
| osa-miR414 | ![]() | 1801–1821 | −23.16 |
| osa-miR5505 | ![]() | 2084–2105 | −21.17 |
| osa-miR167a-3p | ![]() | 10,624–10,645 | −25.40 |
| Host miRNAs | Accession No. | Mature Sequence |
|---|---|---|
| RTBV-SP | ||
| osa-miR5510 | MIMAT0022143 | AGGCUGAUCCACUCCAGAGGA |
| osa-miR3980a-3p | MIMAT0019676 | CUGGCCGAGGCCGUCGAUUCU |
| osa-miR3980b-3p | MIMAT0019678 | CUGGCCGAGGCCGUCGAUUCU |
| RTSV-SP | ||
| osa-miR414 | MIMAT0001330 | UCAUCCUCAUCAUCAUCGUCC |
| osa-miR5505 | MIMAT0022138 | GAGGAUUCGGUAUUGAUCGCUA |
| osa-miR167a-3p | MIMAT0006780 | AUCAUGCAUGACAGCCUCAUUU |
| Host miRNAs | Start Position | ||||
|---|---|---|---|---|---|
| miRanda | RNAhybrid | RNA22 | Tapirhybrid | psRNATarget | |
| RTBV-SP | |||||
| osa-miR5510 | 6262 | 6268 | 5157 | 6262 | 6262 |
| osa-miR3980a-3p | 7110 | 7107 | 7486 | 7110 | 7110 |
| osa-miR3980b-3p | 7110 | 7107 | 7486 | 7110 | 7110 |
| RTSV-SP | |||||
| osa-miR414 | 1801 | 1801 | 1801 | 1803 | 1786 |
| osa-miR5505 | 2084 | 2084 | 2084 | 2084 | 2079 |
| osa-miR167a-3p | 10,624 | 10,624 | 10,624 | 10,624 | 10,625 |
Disclaimer/Publisher’s Note: The statements, opinions and data contained in all publications are solely those of the individual author(s) and contributor(s) and not of MDPI and/or the editor(s). MDPI and/or the editor(s) disclaim responsibility for any injury to people or property resulting from any ideas, methods, instructions or products referred to in the content. |
© 2023 by the authors. Licensee MDPI, Basel, Switzerland. This article is an open access article distributed under the terms and conditions of the Creative Commons Attribution (CC BY) license (https://creativecommons.org/licenses/by/4.0/).
Share and Cite
Mohamed, N.A.; Ngah, N.M.F.N.C.; Abas, A.; Talip, N.; Sarian, M.N.; Hamezah, H.S.; Harun, S.; Bunawan, H. Candidate miRNAs from Oryza sativa for Silencing the Rice Tungro Viruses. Agriculture 2023, 13, 651. https://doi.org/10.3390/agriculture13030651
Mohamed NA, Ngah NMFNC, Abas A, Talip N, Sarian MN, Hamezah HS, Harun S, Bunawan H. Candidate miRNAs from Oryza sativa for Silencing the Rice Tungro Viruses. Agriculture. 2023; 13(3):651. https://doi.org/10.3390/agriculture13030651
Chicago/Turabian StyleMohamed, Noor Amni, Nik Muhammad Faris Nazmie Che Ngah, Azlan Abas, Noraini Talip, Murni Nazira Sarian, Hamizah Shahirah Hamezah, Sarahani Harun, and Hamidun Bunawan. 2023. "Candidate miRNAs from Oryza sativa for Silencing the Rice Tungro Viruses" Agriculture 13, no. 3: 651. https://doi.org/10.3390/agriculture13030651
APA StyleMohamed, N. A., Ngah, N. M. F. N. C., Abas, A., Talip, N., Sarian, M. N., Hamezah, H. S., Harun, S., & Bunawan, H. (2023). Candidate miRNAs from Oryza sativa for Silencing the Rice Tungro Viruses. Agriculture, 13(3), 651. https://doi.org/10.3390/agriculture13030651







