Evaluation of Fungicides and Fungicide Application Methods to Manage Phytophthora Blight of Pigeonpea
Abstract
1. Introduction
2. Materials and Methods
2.1. Phytophthora cajani Isolate and Its Cultural Conditions
2.2. Fungicides and Cultivars
2.3. Inhibition of P. cajani Mycelial Growth
2.4. Effect of Fungicides on Sporangia Formation and Zoospore Discharge
2.5. Efficacy of Fungicides and Fungicide Application Methods in Disease Control
2.6. Experimental Design and Statistical Data Analysis
3. Result
3.1. Efficacy of Fungicides on Mycelial Growth of P. cajani
3.2. Efficacy of Fungicides on Sporangia Induction
3.3. Efficacy of Fungicides on Zoospore Induction
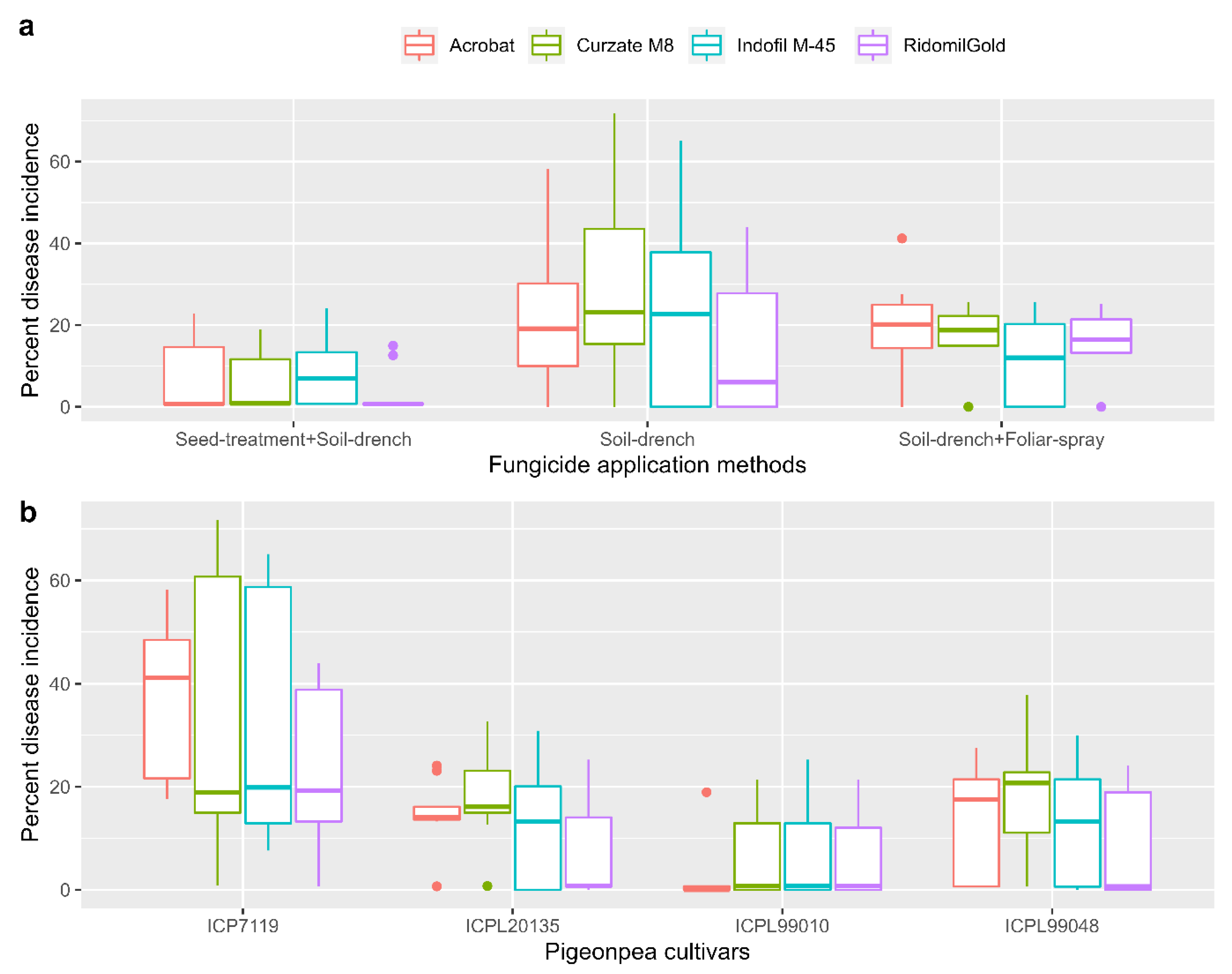
3.4. Efficacy of Fungicide and Fungicide Application Methods on Suppression of Phytophthora Blight at the Seedling Stage
4. Discussion
Supplementary Materials
Author Contributions
Funding
Institutional Review Board Statement
Informed Consent Statement
Data Availability Statement
Acknowledgments
Conflicts of Interest
References
- Pande, S.; Sharma, M.; Mangla, U.; Ghosh, R.; Sundaresan, G. Phytophthora blight of pigeonpea [Cajanus cajan (L.) Mill sp.]: An updating review of biology pathogenicity and disease management. Crop. Protec. 2014, 30, 951–957. [Google Scholar] [CrossRef]
- Williams, F.J.; Grewal, J.S.; Amin, K.S. Serious and new diseases of pulse crops in India in 1966. Plant Dis. Rep. 1968, 52, 300–304. [Google Scholar]
- Reddy, M.V.; Raju, T.N.; Nene, Y.L. Diseased debris field inoculation technique for Phytophthora blight of pigeonpea. Int. Pigeonpea Newslett. 1990, 12, 23–24. [Google Scholar]
- Nene, Y.L.; Sheila, V.K.; Sharma, S.B. A world list of chickpea (Cicer arietinum L.) and pigeonpea (Cajanus cajan L. Mill sp.) pathogens 5th ed. Int. Crops Res. Inst. Semi. Arid. Trop. Patancheru Pradesh India 1996, 1–27. Available online: http://oar.icrisat.org/9639/1/10.1.1.558.6946.pdf (accessed on 3 January 2023).
- Amin, K.S.; Baldev, B.; Williams, F.J. Phytophthora cajani a new species causing stem blight on Cajanus cajan. Mycologia 1978, 70, 171–176. [Google Scholar] [CrossRef]
- Sharma, M.; Ghosh, R. Isolation, Identification, and Pathogenicity of Phytophthora Blight of Pigeonpea. Plant Health Prog. 2018, 19, 233–236. [Google Scholar] [CrossRef]
- Sharma, M.; Pande, S.; Pathak, M.; Rao, J.N.; Kumar, P.A.; Reddy, D.M.; Benagi, V.; Mahalinga, D.; Zhote, K.; Karanjkar, P.; et al. Prevalence of Phytophthora Blight of Pigeonpea in the Deccan Plateau of India. Plant Pathol. J. 2006, 22, 309–313. [Google Scholar] [CrossRef]
- Sharma, M.; Ghosh, R.; Tarafdar, A.; Telangre, R. An efficient method for zoospore production infection and real-time quan-tification of Phytophthora cajani causing Phytophthora blight disease in pigeonpea under elevated atmospheric CO2. BMC Plant Biol. 2015, 15, 90. [Google Scholar] [CrossRef]
- Pande, S.; Pathak, M.; Sharma, M.; Narayana Rao, J.; Tomar, O.S. Resistance to Phytophthora blight in the improved pigeonpea lines at ICRISAT Patancheru India. Int. Chickpea Pigeonpea Newslett. 2006, 13, 42–44. [Google Scholar]
- Sharma, M.; Pande, S. New sources of resistance to fusarium wilt sterility mosaic disease and Phytophthora blight in vegetable pigeonpea germplasm Indian. J. Plant Protec. 2011, 39, 288–293. [Google Scholar]
- Kannaiyan, J.; Nene, Y.L. Efficacy of metalaxyl for control of Phytophthora blight of pigeonpea. Indian Phytopathol. 1984, 37, 506–510. [Google Scholar]
- Pande, S.; Sharma, M.; Gopika, G.; Rameshwar, T. High throughput phenotyping of pigeonpea diseases: Stepwise identification of host plant resistance. Inf. Bull. No ICRISAT 2012, 93, 1–32. [Google Scholar]
- Jadesha, G.; Sharma, M.; Reddy, N. Unravelling Role of Edaphic Stress on Development of Phytophthora Blight (Phytophthora cajani) in Pigeonpea. Int. J. Curr. Microbiol. Appl. Sci. 2019, 8, 1336–1345. [Google Scholar] [CrossRef]
- Sarkar, N.; Sheila, V.K.; Nene, Y.L. Host range of pigeonpea Phytophthora. Int. Pigeonpea Newsl. 1991, 14, 24–25. [Google Scholar]
- Gupta, A.; Singh, I.; Reddy, M.; Bajpai, G. Genetics of resistance to P3 isolate of Phytophthora blight in pigeonpea. Euphytica 1997, 95, 73–76. [Google Scholar] [CrossRef]
- Kannaiyan, J.; Nene, Y.L.; Reddy, M.V.; Ryan, J.G.; Raju, T.N. Prevalence of pigeonpea diseases and associated crop losses in Asia, Africa and the Americas. Trop. Pest. Manag. 1984, 30, 62–72. [Google Scholar] [CrossRef]
- Bhargava, P.K.; Gupta, R.K. Reaction of pigeonpea varieties to Phytophthora stem necrosis in field. JNKVV Res. J. 1983, 17, 301–303. [Google Scholar]
- Mishra, A.N.; Shukla, P. Relation between the age of pigeonpea plant and its susceptibility to Phytophthora blight. Ind. J. Myc Plant Path. 1986, 16, 292. [Google Scholar]
- Sharma, Y.R.; Singh, H.; Singh, G.; Sidhu, P.S. Screening of pigeonpea germplasm for resistance to Phytophthora stem blight. Plant Dis. Res. 1995, 10, 102–103. [Google Scholar]
- Sharma, M.; Ghosh, R. A Reliable method for Phytophthora cajani isolation sporangia zoospore production and in planta in-fection of pigeonpea. Bio-Protocol 2016, 6, 1–9. [Google Scholar] [CrossRef]
- Singh, G.; Singh, I.; Taggar, G.K.; Rani, U.; Sharma, P.; Gupta, M.; Singh, S. Introgression of productivity enhancing traits resistance to pod borer and Phytophthora stem blight from Cajanus scarabaeoides to cultivated pigeonpea. Physiol. Mo Lecular. Biol. Plants 2020, 26, 1399–1410. [Google Scholar] [CrossRef]
- Andrieu, N.; Jaworska, G.; Genet, J.L.; Bompeix, G. Biological mode of action of famoxadone on Plasmopara viticola and Phy-tophthora infestans. Crop Prot. 2001, 20, 253–260. [Google Scholar] [CrossRef]
- Singh, B.; Dubey, S.C. Bioagent based integrated management of Phytophthora blight of pigeonpea. Arch. Phytopathol. Plant Prot. 2010, 43, 922–929. [Google Scholar] [CrossRef]
- Jadesha, G.; Sharma, M.; Reddy, N. Phenotyping techniques for the selection of disease resistance in pigeonpea against Phy-tophthora cajani. Legume Res. Int. J. 2019, 44, 661–666. [Google Scholar]
- Naik, S.J.; Bohra, A.; Basavaraja, T.; Mishra, R.K.; Padmaja, G.; Poornima, K.N. Diversity of Phytophthora stem blight of pi-geonpea and its sustainable management. In Management of Fungal Pathogens in Pulses Fungal Biology; Singh, B., Singh, G., Kumar, K., Nayak, S., Srinivasa, N., Eds.; Springer: Berlin/Heidelberg, Germany, 2020. [Google Scholar]
- Jadesha, G.; Sharma, M.; Reddy, N. Management of Phytophthora blight of pigeonpea using Trichoderma asperellum and a chemical fungicide. J. Mycol. Plant Pathol. 2019, 2, 192–203. [Google Scholar]
- Bisht, V.S.; Nene, Y.L. A selective medium for Phytophthora drechsleri f sp. cajani causing pigeonpea blight. Int. Pigeonpea Newslett. 1988, 8, 12–13. [Google Scholar]
- Stein, J.M.; Kirk, W.W. Variations in the Sensitivity of Phytophthora infestans Isolates from Different Genetic Backgrounds to Dimethomorph. Plant Dis. 2003, 87, 1283–1289. [Google Scholar] [CrossRef]
- Gomez, K.A.; Gomez, A.A. Statistical Procedures for Agricultural Research; John Wiley & Sons: Singapore, 1984; pp. 139–153. [Google Scholar]
- Reddy, M.V.; Sarkar, N.; Nene, Y.L.; Raju, T.N. Predisposing factors for Phytophthora blight of pigeonpea. Indian Phytopathol. 1991, 44, 268–270. [Google Scholar]
- Underdown, R.S.; Sivasithamparam, K.; Barbetti, M.J. Inhibition of the pre- and post-infection processes of Plasmopara viticola on Vitis vinifera leaves by one protectant and four systemic fungicides. Australas. Plant Pathol. 2008, 37, 335–343. [Google Scholar] [CrossRef]
- Elliott, M.; Shamoun, S.F.; Sumampong, G. Effects of systemic and contact fungicides on life stages and symptom expression of Phytophthora ramorum in vitro and in planta. Crop Prot. 2015, 67, 136–144. [Google Scholar] [CrossRef]
- Gray, M.A.; Hao, W.; Förster, H.; Adaskaveg, J.E. Baseline Sensitivities of New Fungicides and Their Toxicity to Selected Life Stages of Phytophthora Species from Citrus in California. Plant Dis. 2018, 102, 734–742. [Google Scholar] [CrossRef]
- Hausbeck, M.K.; Lamour, K.H. Phytophthora capsici on Vegetable Crops: Research Progress and Management Challenges. Plant Dis. 2004, 88, 1292–1303. [Google Scholar] [CrossRef]
- Cohen, Y.; Gisi, U. Differential activity of carboxylic acid amide fungicides against various developmental stages of Phytophthora infestans. Phytopathology 2007, 97, 1274–1283. [Google Scholar] [CrossRef] [PubMed]
- Bisht, V.S.; Kannaiyan, J.; Nene, Y.L. Methods of metalaxyl application to control Phytophthora blight. Indian Phytopathol. 1988, 45, 426–429. [Google Scholar]
- Jackson, K.L.; Yin, J.; Csinos, A.S.; Ji, P. Fungicidal activity of fluopicolide for suppression of Phytophthora capsici on squash. Crop Prot. 2010, 29, 1421–1427. [Google Scholar] [CrossRef]





| Trade Name | Active Ingredient | Target Site | Manufacturer | FRAC Code a | Range of Dosage Tested (µg/mL) | MIC b | EC50 c | Dose Recommended (kg/ha) |
|---|---|---|---|---|---|---|---|---|
| Acrobat® | Metiram 44% + Dimethomorph 9% WG | Multi-site contact activity; phospholipid biosynthesis and cell wall deposition | BASF India limited, Hyderabad, Telangana, India | M03 and 40 | 0.1–0.75 | 0.5 | 0.17 | 1.5 |
| Curzate® M8 | Cymoxanil 8% + Mancozeb 64% WP | Unknown; multi-site contact activity | E.I. DuPont India Pvt. Ltd., Mumbai-, Maharashtra, India | 27 and M03 | 0.1–100 | 60 | 8.23 | 1.5 |
| Equation® Pro | Famoxadone 16.6% + Cymoxanil 22.1% EC | Complex III of fungal respiration: ubiquinol oxidase; unknown | E.I. DuPont India Pvt. Ltd., Mumbai, Maharashtra, India | 11 and 27 | 0.1–140 | 140 | 24.96 | 0.5 |
| Indofil M-45® | Mancozeb 75% WP | Multi-site contact activity | Indofil chemicals company, Thane, Maharashtra, India | M03 | 0.1–100 | 100 | 16.86 | 2.0 |
| RidomilGold® | Metalaxyl-M 4% + Mancozeb 64% WP | RNA polymerase I; Multi-site contact activity | Syngenta India limited, Pune, Maharashtra, India | 4 and M03 | 0.1–100 | 35 | 2.49 | 2.5 |
| Fungicides a | Treatment | Total Number of Sporangia b | Reduction in Sporangia (%) c | Viable Sporangia | Non-Viable Sporangia | Abnormal Sporangia |
|---|---|---|---|---|---|---|
| Metiram 44% + Dimethomorph 9% WG | T1 | 1.67 ± 0.58 d | 93.51 | 0.67 ± 0.58 | 0.67 ± 0.58 | 0.33 ± 0.58 |
| T2 | 2.00 ± 1.00 | 92.21 | 1.00 ± 0.00 | 0.67 ± 0.58 | 0.33 ± 0.58 | |
| T3 | 2.03 ± 0.62 | 92.09 | 0.67 ± 0.58 | 0.67 ± 0.58 | 0.00 ± 0.00 | |
| T4 | 0.00 ± 0.00 | 100.00 | 0.00 ± 0.00 | 0.00 ± 0.00 | 0.00 ± 0.00 | |
| Cymoxanil 8% + Mancozeb 64% WP | T1 | 4.00 ± 1.00 | 84.42 | 2.67 ± 1.53 | 1.00 ± 1.00 | 0.33 ± 0.58 |
| T2 | 4.67 ± 1.15 | 81.82 | 3.00 ± 1.00 | 1.00 ± 1.00 | 0.67 ± 0.58 | |
| T3 | 0.00 ± 0.00 | 100.00 | 0.00 ± 0.00 | 0.00 ± 0.00 | 0.00 ± 0.00 | |
| T4 | 0.00 ± 0.00 | 100.00 | 0.00 ± 0.00 | 0.00 ± 0.00 | 0.00 ± 0.00 | |
| Famoxadone 16.6% + Cymoxanil 22.1% EC | T1 | 18.33 ± 7.64 | 28.58 | 13.33 ± 5.51 | 3.33 ± 1.15 | 1.67 ± 0.58 |
| T2 | 8.67 ± 1.53 | 66.24 | 5.00 ± 1.00 | 2.33 ± 1.53 | 1.33 ± 0.58 | |
| T3 | 7.67 ± 1.53 | 70.13 | 5.67 ± 1.53 | 1.67 ± 0.58 | 0.33 ± 0.58 | |
| T4 | 3.00 ± 1.00 | 88.31 | 1.67 ± 1.15 | 1.00 ± 1.00 | 0.33 ± 0.58 | |
| Mancozeb 75% WP | T1 | 18.33 ± 2.52 | 28.58 | 9.33 ± 1.53 | 6.33 ± 2.08 | 2.67 ± 1.53 |
| T2 | 12.67 ± 1.53 | 50.66 | 7.00 ± 4.58 | 3.33 ± 1.53 | 2.33 ± 0.58 | |
| T3 | 0.33 ± 0.58 | 98.70 | 0.33 ± 0.58 | 0.00 ± 0.00 | 0.00 ± 0.00 | |
| T4 | 0.00 ± 0.00 | 100.00 | 0.00 ± 0.00 | 0.00 ± 0.00 | 0.00 ± 0.00 | |
| Metalaxyl-M 4% + Mancozeb 64% WP | T1 | 1.33 ± 0.58 | 94.81 | 0.67 ± 0.58 | 0.33 ± 0.58 | 0.33 ± 0.58 |
| T2 | 2.67 ± 0.58 | 89.61 | 1.67 ± 0.58 | 0.67 ± 0.58 | 0.33 ± 0.58 | |
| T3 | 2.33 ± 0.58 | 90.91 | 1.00 ± 0.00 | 1.00 ± 1.00 | 0.67 ± 0.58 | |
| T4 | 0.00 ± 0.00 | 100.00 | 0.00 ± 0.00 | 0.00 ± 0.00 | 0.00 ± 0.00 | |
| Control | - | 25.67 ± 3.51 | - | 0.00 ± 0.00 | 0.00 ± 0.00 | 0.00 ± 0.00 |
| Fungicides a | Treatment | Total Number of Zoospore b | Reduction in Zoospore (%) c | Motile Zoospore | Encysted Zoospore | Germinated Zoospore |
|---|---|---|---|---|---|---|
| Metiram 44% + Dimethomorph 9% WG | T1 | 1.67 ± 1.53 d | 95.28 | 0.67 ± 1.15 | 0.67 ± 0.58 | 0.33 ± 0.58 |
| T2 | 2.33 ± 0.58 | 93.40 | 1.00 ± 1.00 | 1.33 ± 0.58 | 0.00 ± 0.00 | |
| T3 | 0.00 ± 0.00 | 100.00 | 0.00 ± 0.00 | 0.00 ± 0.00 | 0.00 ± 0.00 | |
| T4 | 0.00 ± 0.00 | 100.00 | 0.00 ± 0.00 | 0.00 ± 0.00 | 0.00 ± 0.00 | |
| Cymoxanil 8% + Mancozeb 64% WP | T1 | 8.00 ± 1.00 | 77.36 | 2.67 ± 0.58 | 5.33 ± 0.58 | 0.00 ± 0.00 |
| T2 | 9.67 ± 1.15 | 72.64 | 1.00 ± 0.00 | 8.33 ± 1.53 | 0.33 ± 0.58 | |
| T3 | 0.00 ± 0.00 | 100.00 | 0.00 ± 0.00 | 0.00 ± 0.00 | 0.00 ± 0.00 | |
| T4 | 0.00 ± 0.00 | 100.00 | 0.00 ± 0.00 | 0.00 ± 0.00 | 0.00 ± 0.00 | |
| Famoxadone 16.6% + Cymoxanil 22.1% EC | T1 | 17.67 ± 1.15 | 50.00 | 15.00 ± 2.65 | 2.67 ± 1.53 | 0.00 ± 0.00 |
| T2 | 20.67 ± 2.52 | 41.50 | 16.33 ± 2.52 | 4.33 ± 0.58 | 0.00 ± 0.00 | |
| T3 | 3.00 ± 1.00 | 91.51 | 0.00 ± 0.00 | 3.00 ± 1.00 | 0.00 ± 0.00 | |
| T4 | 0.67 ± 1.15 | 98.11 | 0.33 ± 0.58 | 0.33 ± 0.58 | 0.00 ± 0.00 | |
| Mancozeb 75% WP | T1 | 5.00 ± 2.00 | 85.85 | 1.00 ± 0.00 | 4.00 ± 2.00 | 0.00 ± 0.00 |
| T2 | 11.67 ± 2.52 | 66.98 | 6.33 ± 1.53 | 4.33 ± 1.53 | 1.00 ± 1.00 | |
| T3 | 4.33 ± 1.15 | 87.73 | 1.33 ± 0.58 | 3.00 ± 1.00 | 0.00 ± 0.00 | |
| T4 | 0.00 ± 0.00 | 100.00 | 0.00 ± 0.00 | 0.00 ± 0.00 | 0.00 ± 0.00 | |
| Metalaxyl-M 4% + Mancozeb 64% WP | T1 | 2.00 ± 1.00 | 94.34 | 1.33 ± 0.58 | 0.67 ± 0.58 | 0.00 ± 0.00 |
| T2 | 2.00 ± 2.00 | 94.34 | 0.00 ± 0.00 | 2.00 ± 2.00 | 0.00 ± 0.00 | |
| T3 | 0.00 ± 0.00 | 100.00 | 0.00 ± 0.00 | 0.00 ± 0.00 | 0.00 ± 0.00 | |
| T4 | 0.00 ± 0.00 | 100.00 | 0.00 ± 0.00 | 0.00 ± 0.00 | 0.00 ± 0.00 | |
| Control | - | 35.33 ± 3.06 | - | 35.33 ± 3.06 | - | - |
| Source of Variation | Df | Sum Sq | Mean Sq | F Value | Pr (>F) |
|---|---|---|---|---|---|
| Methods ⸸ | 4 | 12,434.2 | 3108.56 | 17.9364 | 4.62 × 10−7 *** |
| Fungicide # | 4 | 2259.4 | 564.86 | 3.2593 | 0.02784 * |
| Methods × Fungicide | 16 | 1638.5 | 102.4 | 0.5909 | 0.8615 ns |
| Residuals | 25 | 4332.8 | 173.31 |
Disclaimer/Publisher’s Note: The statements, opinions and data contained in all publications are solely those of the individual author(s) and contributor(s) and not of MDPI and/or the editor(s). MDPI and/or the editor(s) disclaim responsibility for any injury to people or property resulting from any ideas, methods, instructions or products referred to in the content. |
© 2023 by the authors. Licensee MDPI, Basel, Switzerland. This article is an open access article distributed under the terms and conditions of the Creative Commons Attribution (CC BY) license (https://creativecommons.org/licenses/by/4.0/).
Share and Cite
Sharma, M.; Gaviyappanavar, R.; Tarafdar, A. Evaluation of Fungicides and Fungicide Application Methods to Manage Phytophthora Blight of Pigeonpea. Agriculture 2023, 13, 633. https://doi.org/10.3390/agriculture13030633
Sharma M, Gaviyappanavar R, Tarafdar A. Evaluation of Fungicides and Fungicide Application Methods to Manage Phytophthora Blight of Pigeonpea. Agriculture. 2023; 13(3):633. https://doi.org/10.3390/agriculture13030633
Chicago/Turabian StyleSharma, Mamta, Ramanagouda Gaviyappanavar, and Avijit Tarafdar. 2023. "Evaluation of Fungicides and Fungicide Application Methods to Manage Phytophthora Blight of Pigeonpea" Agriculture 13, no. 3: 633. https://doi.org/10.3390/agriculture13030633
APA StyleSharma, M., Gaviyappanavar, R., & Tarafdar, A. (2023). Evaluation of Fungicides and Fungicide Application Methods to Manage Phytophthora Blight of Pigeonpea. Agriculture, 13(3), 633. https://doi.org/10.3390/agriculture13030633

