Agriculture–Tourism Integration’s Impact on Agricultural Green Productivity in China
Abstract
:1. Introduction
2. Theoretical Analysis
2.1. The Influence of Agriculture–Tourism Integration on Agricultural GTFP Growth
2.2. The Regulatory Role of Rural Human Capital Investment
3. Models, Estimation Methods, and Variables
3.1. Measurement Model and Estimation Method
3.2. Explanation of the Variables
3.2.1. Explained Variable
3.2.2. Core Explanatory Variables
3.2.3. Control Variables
3.2.4. Adjusting Variables
3.3. Data Sources and Descriptive Statistics
4. Results and Discussion
4.1. Evolution Trend
4.1.1. The Evolution Trend of Agriculture–Tourism Integration
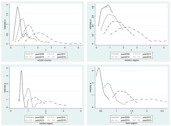
4.1.2. Re-Examination Based on Kernel Density Estimation
4.2. Benchmark Regression Based on Two-Step GMM
4.3. Stability Test Based on the Tobit Model
4.4. Heterogeneity Test of the Impact of Agriculture–Tourism Integration on Agricultural Technology Progress and Efficiency
4.5. The Moderating Role of Rural Human Capital
5. Conclusions and Policy Implications
5.1. Conclusions
5.2. Implications
5.3. Prospects
Author Contributions
Funding
Institutional Review Board Statement
Data Availability Statement
Conflicts of Interest
References
- Dorocki, S.; Szymańska, A.I.; Zdon-Korzeniowska, M. Agricultural Tourism Farms in Poland: How the Farmers Improve Their Businesses—A Case Study. In Understanding Innovation in Emerging Economic Spaces: Global and Local Actors, Networks and Embeddedness; Routledge: Oxford, UK, 2016; pp. 247–262. [Google Scholar]
- Lin, Y. The Operating Experience and Enlightenment of Foreign Agricultural Tourism. Agric. Econ. Issues 2009, 30, 101–103. [Google Scholar]
- Barbieri, C. Agritourism research: A perspective article. Tour. Rev. 2019, 75, 149–152. [Google Scholar] [CrossRef]
- Veeck, G.; Hallett, L.; Che, D.; Veeck, A. The Economic Contributions of Agricultural Tourism in Michigan. Geogr. Rev. 2016, 106, 421–440. [Google Scholar] [CrossRef]
- Arroyo, C.G.; Barbieri, C.; Rich, S.R. Defining agritourism: A comparative study of stakeholders’ perceptions in Missouri and North Carolina. Tour. Manag. 2013, 37, 39–47. [Google Scholar] [CrossRef]
- Streifeneder, T. Agriculture first: Assessing European policies and scientific typologies to define authentic agritourism and differentiate it from countryside tourism. Tour. Manag. Perspect. 2016, 20, 251–264. [Google Scholar] [CrossRef]
- Yan, A.; Gong, R. The Mechanism and Path of Endogenous Development in the Precise Assistance of Rural Tourism. J. S. Cent. Univ. Natl. Humanit. Soc. Sci. Ed. 2021, 41, 154–160. [Google Scholar]
- Chou, Y. The Over-Densification of Rural Tourism Industry and Its Impact on Rural Revitalization—Reflection on the Path of Rural Industrial Revitalization. Guizhou Soc. Sci. 2020, 12, 155–162. [Google Scholar]
- Rezvani, M.R.; Nickravesh, F.; Kazemi, N. Spatial Zoning of Agricultural Tourism Capabilities in Rural Areas of Lorestan Province. Geogr. Environ. Sustain. 2021, 11, 93–112. [Google Scholar]
- Geng, S.; Zhang, S. Study on the Coordinated Development of Rural Tourism and Cultural Industry under the Background of Rural Revitalization. J. Nanjing Agric. Univ. Soc. Sci. Ed. 2021, 21, 44–52. [Google Scholar]
- Ilyukhina, N.A.; Parushina, N.V.; Chekulina, T.A.; Gubina, O.V.; Suchkova, N.A.; Maslova, O.L. Global Trends and Regional Policy in Agricultural Tourism. In Proceedings of the IOP Conference Series: Earth and Environmental Science, Surakarta, Indonesia, 24–25 August 2021; IOP Publishing: Bristol, UK, 2021; Volume 839, p. 22054. [Google Scholar]
- Fernández-Hernández, C.; Leon, C.J.; Araña, J.E.; Díaz-Pére, F.; University of La Laguna. Market segmentation, activities and environmental behaviour in rural tourism. Tour. Econ. 2016, 22, 1033–1054. [Google Scholar] [CrossRef]
- Lupi, C.; Giaccio, V.; Mastronardi, L.; Giannelli, A.; Scardera, A. Exploring the features of agritourism and its contribution to rural development in Italy. Land Use Policy 2017, 64, 383–390. [Google Scholar] [CrossRef]
- Sadowski, A.; Wojcieszak, M.M. Geographic differentiation of agritourism activities in Poland vs. cultural and natural attractiveness of destinations at district level. PLoS ONE 2019, 14, e0222576. [Google Scholar] [CrossRef] [PubMed]
- Bajgier-Kowalska, M.; Tracz, M.; Uliszak, R. Modeling the state of agritourism in the Malopolska region of Poland. Tour. Geogr. 2017, 19, 502–524. [Google Scholar] [CrossRef]
- Li, J.; Chen, J.; Liu, H. Analysis on the Growth and Coordination of China’s Agricultural Total Factor Productivity under the Background of Urbanization. World Agric. 2021, 35–44+131. [Google Scholar]
- Wang, F.; Zeng, L. Agricultural Total Factor Productivity and Agricultural Priority Development. Financ. Econ. 2021, 121–132. [Google Scholar]
- Ji, C.; Xia, H. Analysis of Regional Difference and Convergence of Green Total Factor Productivity of Agriculture in My Country. China Agric. Resour. Reg. Plan. 2020, 41, 136–143. [Google Scholar]
- Wang, C. How Does Foreign Capital Liberalization Affect Green Total Factor Productivity. Econ. Manag. Rev. 2021, 37, 138–149. [Google Scholar]
- Ye, F.; Ma, J.; Hu, Q. Empirical Research on the Impact of Industrial Integration Development on Agricultural Total Factor Productivity. Stat. Decis. 2020, 36, 87–91. [Google Scholar]
- Liu, Y.; Ouyang, Y.; Cai, H. Research on the Spatial and Temporal Evolution Characteristics of Green Total Factor Productivity Measurement of China’s Agriculture. Quant. Econ. Tech. Econ. 2021, 38, 39–56. [Google Scholar]
- Chen, F.; Yang, M. The Impact of International Trade of Agricultural Products on China’s Agricultural Green Total Factor Productivity. J. South China Agric. Univ. Soc. Sci. Ed. 2021, 20, 94–104. [Google Scholar]
- Zhang, Q. Planning and Design of Rural Tourism Landscape under the Background of Integration of Agriculture and Tourism. Ind. Constr. 2021, 51, 245. [Google Scholar]
- Zhu, Z. Agri-Tourism Integration, Factor Allocation and Agricultural Labor Productivity. J. Manag. 2022, 35, 29–43. [Google Scholar]
- Zhou, P.; Shen, Y.; Li, A. Can Agri-Tourism Integration Promote High-Quality Agricultural Development? An Empirical Test Based on Provincial Panel Data. Macroeconomics 2021, 10, 117–130. [Google Scholar] [CrossRef]
- Zhou, P.; Yang, S.; Shen, Y. Analysis of the Effect of Integration of Agriculture and Tourism in Promoting Green Poverty Reduction: Mechanism of Action and Statistical Verification. J. Xi’an Univ. Financ. Econ. 2022, 35, 29–39. [Google Scholar] [CrossRef]
- Fang, S.; Wang, H. Research on the Evolution Mechanism of the Integration System of Agriculture and Tourism Industry. J. Xiangtan Univ. Philos. Soc. Sci. Ed. 2019, 43, 63–68. [Google Scholar]
- Qi, W.; Li, J.J.; Cao, J.M.; Teng, C. Research on the Mechanism and Path of Rural Industrial Integration Increasing Farmers’ Income—Based on the New Perspective of Rural Heterogeneity. Agric. Technol. Econ. 2021, 08, 105–118. [Google Scholar]
- Jiang, H.; Chen, S. Promote the Green Revitalization of Rural Industries in My Country. Macroecon. Manag. 2019, 03, 50–57. [Google Scholar]
- Zhao, F.; Liu, Y. International References and Countermeasures for the Development of Rural Tertiary Industry Integration. Econ. Asp. 2018, 09, 122–128. [Google Scholar]
- Wang, Q.; Xu, L. Research on the Integration of Tourism and Agriculture in Beijing from the Perspective of Industry Association. Tour. J. 2013, 28, 102–110. [Google Scholar]
- Wu, X. Difficulties and Countermeasures for the Transformation of Agricultural Cultural Resources into Tourism from the Perspective of Integration of Agriculture and Tourism. Agric. Econ. 2021, 03, 99–100. [Google Scholar]
- Asghar, S.; Tsusaka, T.W.; Jourdain, D.; Saqib, S.E.; Sasaki, N. Assessing the efficiency of smallholder sugarcane production: The case of Faisalabad, Pakistan. Agric. Water Manag. 2022, 269, 107643. [Google Scholar] [CrossRef]
- Wang, T.; Tai, P. The Spatial Differentiation Characteristics and Influencing Factors of National Rural Tourism Destinations in Shandong Province. Econ. Geogr. 2016, 36, 161–168. [Google Scholar]
- Musa, S.F.P.D.; Chin, W.L. The role of farm-to-table activities in agritourism towards sustainable development. Tour. Rev. 2021, 77, 659–671. [Google Scholar] [CrossRef]
- Çukur, T.; Kizilaslan, N.; Çukur, F. Contribution of the Cooperation between Agriculture and Tourism for Rural Development. In Proceedings of the Rural Development 2019: Research and Innovation for Bioeconomy (RD2019): Proceedings of the 9th international scientific conference, Kaunas, Lithuania, 26–28 September 2019; Agriculture Academy of Vytautas Magnus University: Kaunas, Lithuania, 2019; pp. 371–375. [Google Scholar]
- Streifeneder, T.; Hoffmann, C.; Corradini, P. The future of agritourism? A review of current trends of touristic commercialisation in rural areas. Ann. Reg. Sci. 2023, 71, 93–119. [Google Scholar] [CrossRef]
- Wang, Y.; Zhu, M. Development Characteristics, Optimization Models and Driving Mechanisms of the Spatial Structure of Agricultural Tourism in Shandong Province. Econ. Geogr. 2019, 39, 232–240. [Google Scholar]
- Lane, B.; Kastenholz, E. Rural Tourism: The Evolution of Practice and Research Approaches–towards a New Generation Concept? J. Sustain. Tour. 2015, 23, 1133–1156. [Google Scholar] [CrossRef]
- Guo, H.; Liu, X. Spatio-Temporal Evolution of Green Total Factor Productivity in China’s Agriculture. Chin. Manag. Sci. 2020, 28, 66–75. [Google Scholar]
- Myeki, L.W.; Matthews, N.; Bahta, Y.T. Decomposition of Green Agriculture Productivity for Policy in Africa: An Application of Global Malmquist–Luenberger Index. Sustainability 2023, 15, 1645. [Google Scholar] [CrossRef]
- Ma, G.; Tan, Y. Research on the Impact of Environmental Regulations on Agricultural Green Total Factor Productivity—An Analysis Based on the Panel Threshold Model. Agric. Technol. Econ. 2021, 05, 77–92. [Google Scholar]
- Ingrassia, M.; Bacarella, S.; Bellia, C.; Columba, P.; Adamo, M.M.; Altamore, L.; Chironi, S. Circular economy and agritourism: Asustainable behavioral model for tourists andfarmers in the post-COVID era. Front. Sustain. Food Syst. 2023, 7, 1174623. [Google Scholar] [CrossRef]
- He, A.; Yang, X.; Chen, J.; Wang, Z. The Impact of Rural Tourism Development on Farmers’ Livelihoods: Taking Rural Tourism Destinations in the Northern Foot of Qinling Mountains as an Example. Econ. Geogr. 2014, 34, 174–181. [Google Scholar]
- Wang, J.; Zhou, I. The Effect of Integrated Development of Agriculture and Tourism on Agricultural Ecological Efficiency. J. Hunan Agric. Univ. Soc. Sci. Ed. 2021, 22, 50–56. [Google Scholar]
- Deng, L.; Tang, D.; Xu, C. An Empirical Study on the Effects of Health Human Capital on the Rural Residents’ Non-Agricultural Employment Income. Sustain. Dev. 2018, 40, 102–112. [Google Scholar]
- Kang, H.; Li, S. E-Commerce, Poverty Alleviation and Rural Revitalization: Role and Paths. J. Guangdong Univ. Financ. Econ. 2020, 35, 65–77. [Google Scholar]
- Xing, M.; Zhang, H. The Influence of Human Capital and Social Capital on Rural Labor Employment—Empirical Analysis Based on CFPS2018 Data. World Surv. Res. 2020, 02, 18–23. [Google Scholar]
- Zhao, X.; Li, X. The Influence of Education and Healthy Human Capital on Labor Productivity. Soc. Sci. Front. 2020, 05, 53–60. [Google Scholar]
- Yang, J.; Ding, S. Rural Industrial Convergence, Human Capital and Income Gap. J. South China Agric. Univ. Sci. Ed. 2017, 16, 1–10. [Google Scholar]
- Chen, H.; Mu, Y. Social Network, Transaction Cost and Farmers’ Market Participation Behavior. Soc. Netw. Trans. Cost Farmers’ Mark. Particip. Behav. 2020, 37, 45–53. [Google Scholar]
- Hanushek, E.A.; Woessmann, L. Education, Knowledge Capital, and Economic Growth. In The Economics of Education; Academic Press: Cambridge, MA, USA, 2020; pp. 171–182. [Google Scholar]
- Wang, Y.; Liu, J.; Huang, H.; Tan, Z.; Zhang, L. Does Digital Inclusive Finance Development Affect the Agricultural Multifunctionality Extension? Evidence from China. Agriculture 2023, 13, 804. [Google Scholar] [CrossRef]
- Wierzbicka, W. Differentiation in Levels of Human Capital among Small Cities in Warminsko-Mazurskie Voivodship. Entrep. Sustain. Issues 2021, 9, 209–222. [Google Scholar] [CrossRef]
- Ogundari, K.; Awokuse, T. Human capital contribution to economic growth in Sub-Saharan Africa: Does health status matter more than education? Econ. Anal. Policy 2018, 58, 131–140. [Google Scholar] [CrossRef]
- Fernández-Val, I.; Weidner, M. Fixed Effects Estimation of Large-TPanel Data Models. Annu. Rev. Econ. 2018, 10, 109–138. [Google Scholar] [CrossRef]
- Nickell, S. Biases in Dynamic Models with Fixed Effects. Econometrica 1981, 49, 1417–1426. [Google Scholar] [CrossRef]
- Cameron, A.C.; Trivedi, P.K. Microeconometrics Using StataMicroeconometrics Using Stata; Routledge: Oxford, UK, 2009. [Google Scholar]
- Arellanoa, M.; Boverb, O. Another Look at the Instrumental Variable Estimation of Error-Components Models. J. Econom. 1995, 68, 29–51. [Google Scholar] [CrossRef]
- Blundella, R.; Bondb, S. Initial Conditions and Moment Restrictions in Dynamic Panel Data Models. J. Econom. 1998, 87, 115–143. [Google Scholar] [CrossRef]
- Gong, R.; Xie, L.; Wang, Y. The Interaction Mechanism and Empirical Test of High-Quality Agricultural Development and New Urbanization. Reform 2020, 7, 145–159. [Google Scholar]
- Muchen, L.; Hamdan, R.; Ab-Rahim, R. Data-Driven Evaluation and Optimization of Agricultural Environmental Efficiency with Carbon Emission Constraints. Sustainability 2022, 14, 11849. [Google Scholar] [CrossRef]
- Tian, Y.; Zhang, J.; Li, B. Research on China’s Agricultural Carbon Emissions: Measurement, Spatial and Temporal Comparison and Decoupling Effects. Resour. Sci. 2012, 34, 2097–2105. [Google Scholar]
- Duan, H.; Zhang, Y.; Zhao, J.; Bian, X. Analysis of Carbon Footprint of Chinese Farmland Ecosystem. J. Soil Water Conserv. 2011, 25, 203–208. [Google Scholar]
- Xu, X.; Huang, X.; Huang, J.; Gao, X.; Chen, L. Spatial-Temporal Characteristics of Agriculture Green Total Factor Productivity in China, 1998–2016: Based on More Sophisticated Calculations of Carbon Emissions. Int. J. Environ. Res. Public Health 2019, 16, 3932. [Google Scholar] [CrossRef]
- Shi, X.; Zhang, Y.; Xia, E. Research on the Impact of Mobile Internet on Agricultural Total Factor Productivity. Technol. Ind. 2020, 20, 67–74. [Google Scholar]
- Zhou, Z. Study on the Spatio-Temporal Characteristics of China’s Agricultural Productivity: A Nonparametric Measurement Framework Based on Serial DEA. Hubei Soc. Sci. 2014, 02, 78–83. [Google Scholar]
- Zhong, Y.; Tang, L.; Hu, P. The Mechanism and Empirical Analysis of the Integration of Agriculture and Tourism to Promote the Optimization and Upgrading of Rural Industrial Structure: Taking the National Leisure Agriculture and Rural Tourism Demonstration Counties as an Example. China Rural Econ. 2020, 07, 80–98. [Google Scholar]
- Yang, S.; Zhou, C.; Yang, G. Analysis of the Relationship between the Integration of Agriculture and Tourism Industry and the Alleviation of Rural Poverty. Stat. Decis. 2020, 36, 81–86. [Google Scholar]
- Zeng, F.; Wu, Y. An Empirical Study on Fiscal Decentralization, Marketization and Economic Growth. Stat. Decis. Mak. 2020, 36, 94–99. [Google Scholar] [CrossRef]
- Liu, W.; Zhang, J. Fiscal Decentralization, Industrial Structure Adjustment and Green Total Factor Productivity: From the Perspective of Environmental Pollution Threshold Effect. J. Hebei Univ. Philos. Soc. Sci. Ed. 2022, 47, 69–80. [Google Scholar]
- Pang, X.; Ran, G. Research on the Impact of Traditional Urbanization and In-Situ Urbanization on Farmers’ Income: A Perspective Based on Time-Varying Analysis. China Soft Sci. 2017, 9, 91–98. [Google Scholar]
- Tian, S.; Tong, M.; Li, X. Fiscal Expenditure, Government Competition and Medical and Health Service Level: An Empirical Analysis Based on the Provincial Panel Entropy Tobit Model. J. Yunnan Univ. Financ. Econ. 2022, 38, 19–36. [Google Scholar] [CrossRef]
- Chu, D.; Jiang, C. Fiscal Transparency, FDI and High-Quality Economic Development. China Soft Sci. 2022, 4, 11–22. [Google Scholar]
- Wang, C.; Lan, Z.; Zhang, C.; Hou, X. High-Speed Rail Construction, Human Capital Migration and Regional Innovation. China Ind. Econ. 2020, 12, 102–120. [Google Scholar]
- Lou, J.; Liu, Z. An Empirical Analysis of the Impact of Human Capital on Agricultural Economy. Stat. Decis. 2020, 36, 67–70. [Google Scholar]
- Jia, J.; Ke, R. Free Compulsory Education Policy and Rural Human Capital Accumulation—An Empirical Study Based on CFPS. Educ. Econ. 2020, 01, 19–30. [Google Scholar]
- Wang, X.; Fan, G.; Hu, L. China’s Provincial Marketization Index Report; Social Science Literature: Beijing, China, 2019. [Google Scholar]
- Parzen, E. On Estimation of a Probability Density Function and Mode. Ann. Math. Stat. 1962, 33, 1065–1076. [Google Scholar] [CrossRef]
- Tobin, J. Estimation of Relationships for Limited Dependent Variables. Econom. Soc. 1958, 26, 24–36. [Google Scholar] [CrossRef]
- Bo, E. Honoré Trimmed Lad and Least Squares Estimation of Truncated and Censored Regression Models with Fixed Effects. Econometrica 1992, 60, 533–565. [Google Scholar]
- Pindado, E.; Sánchez, M.; Verstegen, J.A.A.M.; Lans, T. Searching for the entrepreneurs among new entrants in European Agriculture: The role of human and social capital. Land Use Policy 2018, 77, 19–30. [Google Scholar] [CrossRef]
- Parman, J. Good schools make good neighbors: Human capital spillovers in early 20th century agriculture. Explor. Econ. Hist. 2012, 49, 316–334. [Google Scholar] [CrossRef]

| Criteria | Indicators | |
|---|---|---|
| Agriculture–tourism correlation | Grey correlation degree of agriculture and tourism industry | Regional agricultural added value |
| Total regional tourism revenue | ||
| Total numbers of person-time of regional tourists | ||
| Regional domestic tourism revenue | ||
| Regional foreign exchange tourism revenue | ||
| New integrated industry form | Number of national leisure agriculture and rural tourism demonstration counties by region | |
| Number of national leisure agriculture and rural tourism demonstration sites by region | ||
| Economic and social effects of integrated development of agriculture and tourism | Investment-driven | Investment in rural households’ fixed assets by region |
| Newly increased Investment in fixed assets in agriculture by region | ||
| Orchard area by region | ||
| Employment effect | Number of rural self-employed persons by region | |
| Number of employed persons in rural private enterprises by region | ||
| Contributions of agriculture and tourism to economic growth | Total regional tourism revenue/region GDP | |
| Regional agricultural added value/region GDP | ||
| Names of Variables | Code | Sample Size | Mean | SE | Max | Min | Variable Declaration |
|---|---|---|---|---|---|---|---|
| Agricultural green total factor productivity | 330 | 1.36 | 0.50 | 4.75 | 0.31 | GTFP growth index measured by the SBM-ML index method | |
| Agriculture–tourism integration | 330 | 1.33 | 0.74 | 5.19 | 0.14 | Integration index of agriculture and tourism industry measured by factor analysis method and entropy method | |
| Marketization degree | 330 | 6.43 | 1.83 | 2.53 | 10.83 | Marketization index of provinces | |
| Industrial structure | 330 | 89.76 | 5.35 | 99.71 | 70.99 | Percentage of the output value of secondary and tertiary industries/GDP (%) | |
| Urbanization rate | 330 | 55.29 | 13.11 | 89.61 | 29.12 | Percentage of the permanent urban population in total population (%) | |
| Government fiscal expenditure | 330 | 23.60 | 9.95 | 62.69 | 8.74 | Percentage of provincial fiscal expenditure in GDP (%) | |
| Foreign direct investment | 330 | 2.16 | 1.68 | 0.01 | 8.19 | Percentage of actual utilized foreign direct investment in GDP (%) | |
| Technology change | 330 | 1.46 | 0.47 | 3.44 | 0.25 | Technical change decomposed by GTFP growth index | |
| Technology efficiency index | 330 | 0.94 | 0.25 | 1.82 | 0.34 | Technical efficiency index decomposed by GTFP growth index | |
| Migratory human capital | 330 | 11.76 | 2.47 | 7.20 | 17.90 | Percentage of transportation and communication expenditure in total consumption expenditure (%) | |
| Educational human capital | 330 | 9.13 | 2.46 | 14.80 | 4.50 | Percentage of expenditure on culture, education, and entertainment in total consumption expenditure (%) | |
| Healthy human capital | 330 | 8.88 | 2.20 | 16.80 | 4.00 | Percentage of health care expenditure in total consumption expenditure (%) |
| Provinces | 2008 | 2010 | 2012 | 2014 | 2016 | 2018 | |
|---|---|---|---|---|---|---|---|
| Eastern region | Beijing | 0.48 | 0.68 | 0.9 | 1.12 | 1.43 | 1.77 |
| Tianjin | 0.36 | 0.47 | 0.67 | 0.78 | 0.96 | 1.14 | |
| Hebei | 1.00 | 1.10 | 1.50 | 1.82 | 2.44 | 2.95 | |
| Liaoning | 0.66 | 0.88 | 1.16 | 1.48 | 1.72 | 2.08 | |
| Shanghai | 0.62 | 0.75 | 0.98 | 1.25 | 1.49 | 1.78 | |
| Jiangsu | 1.20 | 1.49 | 1.84 | 2.21 | 2.53 | 2.93 | |
| Zhejiang | 1.17 | 1.52 | 1.95 | 2.48 | 3.09 | 3.71 | |
| Fujian | 0.51 | 0.85 | 1.09 | 1.51 | 1.93 | 2.49 | |
| Shandong | 1.17 | 1.60 | 2.23 | 2.86 | 4.02 | 5.19 | |
| Guangdong | 0.94 | 1.12 | 1.36 | 1.68 | 2.10 | 2.48 | |
| Hainan | 0.14 | 0.20 | 0.42 | 0.53 | 0.66 | 1.04 | |
| Mean | 0.75 | 0.97 | 1.28 | 1.61 | 2.03 | 2.51 | |
| Central region | Shanxi | 0.70 | 0.85 | 1.10 | 1.38 | 1.61 | 1.91 |
| Jilin | 0.51 | 0.85 | 1.09 | 1.51 | 1.93 | 2.49 | |
| Heilongjiang | 0.59 | 0.97 | 1.24 | 1.49 | 1.71 | 2.14 | |
| Anhui | 1.17 | 1.60 | 2.23 | 2.86 | 4.02 | 5.19 | |
| Jiangxi | 1.02 | 1.33 | 1.69 | 1.80 | 2.23 | 2.70 | |
| Henan | 0.64 | 0.85 | 1.27 | 1.97 | 2.44 | 3.29 | |
| Hubei | 0.57 | 0.86 | 1.26 | 1.56 | 2.00 | 2.51 | |
| Hunan | 0.94 | 1.12 | 1.36 | 1.68 | 2.10 | 2.48 | |
| Mean | 0.77 | 1.05 | 1.41 | 1.78 | 2.26 | 2.84 | |
| Western region | Inner Mongolia | 0.46 | 0.62 | 0.88 | 1.19 | 1.34 | 1.70 |
| Guangxi | 0.55 | 0.84 | 1.18 | 1.48 | 1.79 | 2.33 | |
| Chongqing | 0.40 | 0.56 | 0.87 | 1.16 | 1.48 | 1.95 | |
| Sichuan | 0.76 | 1.14 | 1.47 | 1.69 | 2.02 | 2.64 | |
| Guizhou | 0.34 | 0.46 | 0.70 | 1.06 | 1.50 | 2.06 | |
| Yunnan | 0.42 | 0.63 | 0.94 | 1.37 | 1.85 | 2.50 | |
| Shaanxi | 0.64 | 0.79 | 1.05 | 1.32 | 1.52 | 1.83 | |
| Gansu | 0.49 | 0.62 | 0.92 | 1.24 | 1.58 | 2.62 | |
| Qinghai | 0.40 | 0.49 | 0.67 | 0.87 | 1.09 | 1.37 | |
| Ningxia | 0.38 | 0.51 | 0.70 | 0.88 | 1.06 | 1.30 | |
| Xinjiang | 0.34 | 0.46 | 0.69 | 0.97 | 1.33 | 1.76 | |
| Mean | 0.47 | 0.65 | 0.92 | 1.20 | 1.51 | 2.01 |
| Model I | Model II | Model III | Model IV | |
|---|---|---|---|---|
| 0.082 *** (3.16) | 0.366 *** (2.73) | 0.061 ** (2.17) | 0.365 *** (3.02) | |
| −0.490 *** (−3.48) | −0.068 (−0.22) | −0.378 *** (−3.76) | −0.477 * (−1.91) | |
| −1.040 (−0.61) | −3.282 (−1.36) | −2.902 *** (−3.10) | 1.435 (0.95) | |
| 0.700 (1.56) | 1.202 (1.51) | 1.537 *** (7.00) | −0.948 * (−1.75) | |
| −0.237 ** (−2.37) | 0.268 (1.56) | −0.520 *** (−7.58) | 0.563 *** (2.69) | |
| 0.001 (0.05) | 0.054 (1.64) | 0.002 (0.10) | 0.106 ** (2.27) | |
| 1.197 *** (15.26) | 1.086 *** (7.00) | 1.188 *** (26.57) | 1.456 *** (18.14) | |
| Effect in controlled area | Uncontrolled | Uncontrolled | Controlled | Controlled |
| Control time effect | Uncontrolled | Controlled | Uncontrolled | Controlled |
| AR (1) | 0.019 | 0.009 | 0.016 | 0.019 |
| AR (2) | 0.533 | 0.651 | 0.568 | 0.325 |
| Hansen | 0.117 | 0.178 | 0.256 | 0.177 |
| N | 330 | 330 | 330 | 330 |
| (TC) | (EC) | |
|---|---|---|
| 0.199 * (1.85) | −0.117 *** (−3.21) | |
| 0.921 *** (9.29) | ||
| 1.049 *** (12.69) | ||
| Control variable | Controlled | Controlled |
| Time effect | Controlled | Controlled |
| Region effect | Controlled | Controlled |
| AR (1) | 0.013 | 0.094 |
| AR (2) | 0.435 | 0.124 |
| Hansen | 0.521 | 0.676 |
| N | 300 | 300 |
| (1) | (2) | (3) | |
|---|---|---|---|
| 1.360 *** (24.23) | 1.138 *** (6.68) | 1.339 *** (10.52) | |
| 0.092 (0.45) | −0.266 (−0.69) | 0.030 (0.15) | |
| 0.056 * (1.70) | |||
| 0.181 ** (2.32) | |||
| 0.073 * (1.69) | |||
| Control variable | Controlled | Controlled | Controlled |
| Time effect | Controlled | Controlled | Controlled |
| Region effect | Controlled | Controlled | Controlled |
| AR (1) | 0.024 | 0.000 | 0.019 |
| AR (2) | 0.143 | 0.231 | 0.655 |
| Hansen | 0.200 | 0.477 | 0.131 |
| N | 270 | 270 | 270 |
Disclaimer/Publisher’s Note: The statements, opinions and data contained in all publications are solely those of the individual author(s) and contributor(s) and not of MDPI and/or the editor(s). MDPI and/or the editor(s) disclaim responsibility for any injury to people or property resulting from any ideas, methods, instructions or products referred to in the content. |
© 2023 by the authors. Licensee MDPI, Basel, Switzerland. This article is an open access article distributed under the terms and conditions of the Creative Commons Attribution (CC BY) license (https://creativecommons.org/licenses/by/4.0/).
Share and Cite
Wang, Y.; Zhao, Z.; Xu, M.; Tan, Z.; Han, J.; Zhang, L.; Chen, S. Agriculture–Tourism Integration’s Impact on Agricultural Green Productivity in China. Agriculture 2023, 13, 1941. https://doi.org/10.3390/agriculture13101941
Wang Y, Zhao Z, Xu M, Tan Z, Han J, Zhang L, Chen S. Agriculture–Tourism Integration’s Impact on Agricultural Green Productivity in China. Agriculture. 2023; 13(10):1941. https://doi.org/10.3390/agriculture13101941
Chicago/Turabian StyleWang, Yafei, Zihan Zhao, Ming Xu, Zhixiong Tan, Jingwei Han, Lichen Zhang, and Siying Chen. 2023. "Agriculture–Tourism Integration’s Impact on Agricultural Green Productivity in China" Agriculture 13, no. 10: 1941. https://doi.org/10.3390/agriculture13101941
APA StyleWang, Y., Zhao, Z., Xu, M., Tan, Z., Han, J., Zhang, L., & Chen, S. (2023). Agriculture–Tourism Integration’s Impact on Agricultural Green Productivity in China. Agriculture, 13(10), 1941. https://doi.org/10.3390/agriculture13101941

