Key Region Extraction and Body Dimension Measurement of Beef Cattle Using 3D Point Clouds
Abstract
:1. Introduction
2. Materials and Methods
2.1. Acquisition of Beef Cattle Point Cloud Data
2.2. Definition of Beef Cattle Body Dimensions
2.3. Algorithm for Beef Cattle Body Dimension Calculation
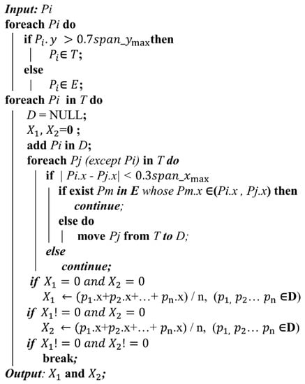
2.4. Identification of Point Clouds of Leg Regions
2.4.1. Extraction of Continuous Slices and Span Characteristic Curves
2.4.2. Location of the Leg Region
2.4.3. Calibration of Boundaries for the Leg Region
2.5. Extraction of the Key Regions for Body Dimension Calculation
2.5.1. Determination of the Longitudinal Cutting Plane
2.5.2. Determination of the Horizontal Cutting Plane
2.5.3. Extraction of Key Regions
2.6. Extraction of the Key Regions for Body Dimension Calculation
2.6.1. Body Oblique Length
2.6.2. Body Width
2.6.3. Wither Height
2.6.4. Chest and Abdominal Girth
3. Results
3.1. Results of Locating Key Regions
3.2. Body Measurement Results
4. Discussion
4.1. The Error Analysis of Body Width
4.2. The Error Analysis of Wither Height
4.3. The Error Analysis of Body Oblique Length
4.4. The Error Analysis of Chest and Abdomen Girth
5. Conclusions
- (1)
- Based on the span distribution curve of continuous slices, a method for identifying the position and boundary of the leg region was proposed, and a method for key region extraction in the leg region was proposed to calculate the body dimensions. The shoulder, chest, abdomen, and buttock regions were accurately identified and extracted.
- (2)
- Based on the features of the key regions, the body oblique length, wither height, body width, chest girth, and abdominal girth were calculated, and the average measurement errors were 2.3%, 2.8%, 1.6%, 2.8%, and 2.6%, respectively. Compared with the method based on the “point” features, this method, focusing on the “region” features, is more suitable to deal with incomplete point clouds and poses limited requirements regarding animal postures, which shows its higher robustness.
Author Contributions
Funding
Institutional Review Board Statement
Data Availability Statement
Acknowledgments
Conflicts of Interest
References
- Malafaia, G.C.; Mores, G.D.V.; Casagranda, Y.G.; Barcellos, J.O.J.; Costa, F.P. The Brazilian beef cattle supply chain in the next decades. Livest. Sci. 2021, 253, 104704. [Google Scholar] [CrossRef]
- Cominotte, A.; Fernandes, A.F.A.; Dorea, J.R.R.; Rosa, G.J.M.; Ladeira, M.M.; van Cleef, E.H.C.B.; Pereira, G.L.; Baldassini, W.A.; Neto, O.R.M. Automated computer vision system to predict body weight and average daily gain in beef cattle during growing and finishing phases. Livest. Sci. 2020, 232, 103904. [Google Scholar] [CrossRef]
- Yao, Z.; Li, J.; Zhang, Z.; Chai, Y.; Liu, X.; Li, J.; Huang, Y.; Li, L.; Huang, W.; Yang, G.; et al. The relationship between MFN1 copy number variation and growth traits of beef cattle. Gene 2022, 811, 146071. [Google Scholar] [CrossRef] [PubMed]
- Rezagholivand, A.; Nikkhah, A.; Khabbazan, M.H.; Mokhtarzadeh, S.; Dehghan, M.; Mokhtabad, Y.; Sadighi, F.; Safari, F.; Rajaee, A. Feedlot performance, carcass characteristics and economic profits in four Holstein-beef crosses compared with pure-bred Holstein cattle. Livest. Sci. 2021, 244, 104358. [Google Scholar] [CrossRef]
- Nguyen, D.V.; Nguyen, O.C.; Malau-Aduli, A.E.O. Main regulatory factors of marbling level in beef cattle. Vet. Anim. Sci. 2021, 14, 100219. [Google Scholar] [CrossRef]
- Imaz, J.A.; Garcia, S.; González, L.A. Using automated in-paddock weighing to evaluate the impact of intervals between liveweight measures on growth rate calculations in grazing beef cattle. Comput. Electron. Agric. 2020, 178, 105729. [Google Scholar] [CrossRef]
- Ouédraogo, D.; Soudré, A.; Ouédraogo-Koné, S.; Zoma, B.L.; Yougbaré, B.; Khayatzadeh, N.; Burger, P.A.; Mészáros, G.; Traoré, A.; Mwai, O.A.; et al. Breeding objectives and practices in three local cattle breed production systems in Burkina Faso with implication for the design of breeding programs. Livest. Sci. 2020, 232, 103910. [Google Scholar] [CrossRef]
- Petherick, J.C.; Doogan, V.J.; Venus, B.K.; Holroyd, R.G.; Olsson, P. Quality of handling and holding yard environment, and beef cattle temperament: 2. Consequences for stress and productivity. Appl. Anim. Behav. Sci. 2009, 120, 28–38. [Google Scholar] [CrossRef]
- Augspurger, N.R.; Ellis, M. Weighing affects short-term feeding patterns of growing-finishing pigs. Can. J. Anim. Sci. 2002, 82, 445–448. [Google Scholar] [CrossRef]
- Mehtiö, T.; Pitkänen, T.; Leino, A.-M.; Mäntysaari, E.A.; Kempe, R.; Negussie, E.; Lidauer, M.H. Genetic analyses of metabolic body weight, carcass weight and body conformation traits in Nordic dairy cattle. Animal 2021, 15, 100398. [Google Scholar] [CrossRef]
- Qiao, Y.; Kong, H.; Clark, C.; Lomax, S.; Su, D.; Eiffert, S.; Sukkarieh, S. Intelligent perception for cattle monitoring: A review for cattle identification, body condition score evaluation, and weight estimation. Comput. Electron. Agric. 2021, 185, 106143. [Google Scholar] [CrossRef]
- Ruchay, A.; Kober, V.; Dorofeev, K.; Kolpakov, V.; Miroshnikov, S. Accurate body measurement of live cattle using three depth cameras and non-rigid 3-D shape recovery. Comput. Electron. Agric. 2020, 179, 105821. [Google Scholar] [CrossRef]
- Kwon, K.; Mun, D. Iterative offset-based method for reconstructing a mesh model from the point cloud of a pig. Comput. Electron. Agric. 2022, 198, 106996. [Google Scholar] [CrossRef]
- Weber, V.A.D.M.; Weber, F.D.L.; Gomes, R.D.C.; Oliveira Junior, A.D.S.; Menezes, G.V.; Abreu, U.G.P.D.; de Souza Belete, N.A.; Pistori, H. Prediction of Girolando cattle weight by means of body measurements extracted from images. Rev. Bras. Zootec. 2020, 49. [Google Scholar] [CrossRef] [Green Version]
- Abramoff, M.D.; Magalhaes, P.J.; Ram, S.J. Image Processing with ImageJ. Biophotonics Int. 2004, 11, 36–42. [Google Scholar]
- Guo, H.; Ma, X.; Ma, Q.; Wang, K.; Su, W.; Zhu, D. LSSA_CAU: An interactive 3d point clouds analysis software for body measurement of livestock with similar forms of cows or pigs. Comput. Electron. Agric. 2017, 138, 60–68. [Google Scholar] [CrossRef]
- Kuzuhara, Y.; Kawamura, K.; Yoshitoshi, R.; Tamaki, T.; Sugai, S.; Ikegami, M.; Kurokawa, Y.; Obitsu, T.; Okita, M.; Sugino, T.; et al. A preliminarily study for predicting body weight and milk properties in lactating Holstein cows using a three-dimensional camera system. Comput. Electron. Agric. 2015, 111, 186–193. [Google Scholar] [CrossRef]
- Xu, H.X. Intelligent Measurement Algorithm of Cattle Body dimensions based on Improved CenterNet. Infrared Laser Eng. 2022, 1–7. (In Chinese) [Google Scholar]
- Weales, D.; Moussa, M.; Tarry, C. A robust machine vision system for body measurements of beef calves. Smart Agric. Technol. 2021, 1, 100024. [Google Scholar] [CrossRef]
- Wang, K.; Zhu, D.; Guo, H.; Ma, Q.; Su, W.; Su, Y. Automated calculation of heart girth measurement in pigs using body surface point clouds. Comput. Electron. Agric. 2019, 156, 565–573. [Google Scholar] [CrossRef]
- Guo, H.; Li, Z.; Ma, Q.; Zhu, D.; Su, W.; Wang, K.; Marinello, F. A bilateral symmetry based pose normalization framework applied to livestock body measurement in point clouds. Comput. Electron. Agric. 2019, 160, 59–70. [Google Scholar] [CrossRef]
- Yin, L.; Cai, G.; Tian, X.; Sun, A.; Shi, S.; Zhong, H.; Liang, S. Three dimensional point cloud reconstruction and body size measurement of pigs based on multi-view depth camera. Trans. Chin. Soc. Agric. Eng. 2019, 35, 201–208. [Google Scholar]
- Shi, S.; Yin, L.; Liang, S.; Zhong, H.; Tian, X.; Liu, C.; Sun, A.; Liu, H. Research on 3D surface reconstruction and body dimensions measurement of pigs based on multi-view RGB-D cameras. Comput. Electron. Agric. 2020, 175, 105543. [Google Scholar] [CrossRef]
- Li, G.; Liu, X.; Ma, Y.; Wang, B.; Zheng, L.; Wang, M. Body dimensions measurement and live body weight estimation for pigs based on back surface point clouds. Biosyst. Eng. 2022, 218, 10–22. [Google Scholar] [CrossRef]
- Li, J.; Ma, W.; Li, Q.; Zhao, C.; Tulpan, D.; Yang, S.; Ding, L.; Gao, R.; Yu, L.; Wang, Z. Multi-view real-time acquisition and 3D reconstruction of point clouds for beef cattle. Comput. Electron. Agric. 2022, 197, 106987. [Google Scholar] [CrossRef]
- Chen, H.; Liang, M.; Liu, W.; Wang, W.; Liu, P.X. An approach to boundary detection for 3D point clouds based on DBSCAN clustering. Pattern Recognit. 2022, 124, 108431. [Google Scholar] [CrossRef]
- Thurnhofer-Hemsi, K.; López-Rubio, E.; Blázquez-Parra, E.B.; Ladrón-de-Guevara-Muñoz, M.C.; de-Cózar-Macías, Ó.D. Ensemble ellipse fitting by spatial median consensus. Inf. Sci. 2021, 579, 310–324. [Google Scholar] [CrossRef]






















| Parameters | Symbol | Measurement Standard |
|---|---|---|
| Wither height | BH | The length of the vertical line from the beef stinger to the ground |
| Body oblique length | BL | Distance from shoulder to the ischial end of beef cattle |
| Body width | BW | Maximum horizontal width at beef wither |
| Chest girth | BC | Perimeter of the vertical body axis at the back of the wither |
| Abdominal girth | BS | Maximum vertical circumference of the belly of beef cattle |
| Beef Cattle Id | Oblique Length | Body Width | Wither Height | Chest Girth | Abdominal Girth | ||||||||||
|---|---|---|---|---|---|---|---|---|---|---|---|---|---|---|---|
| M | A | E | M | A | E | M | A | E | M | A | E | M | A | E | |
| 1 | 160 | 158 | 2.8% | 47 | 47 | 2.6% | 130 | 129 | 3.0% | 184 | 188 | 3.0% | 208 | 213 | 3.0% |
| 2 | 158 | 158 | 2.4% | 45 | 45 | 1.5% | 133 | 133 | 2.4% | 195 | 199 | 2.9% | 209 | 212 | 2.6% |
| 3 | 159 | 159 | 2.1% | 43 | 43 | 1.5% | 131 | 132 | 2.5% | 182 | 187 | 3.4% | 192 | 197 | 3.1% |
| 4 | 156 | 157 | 2.2% | 46 | 46 | 1.3% | 129 | 129 | 3.3% | 182 | 183 | 2.3% | 201 | 204 | 2.5% |
| 5 | 162 | 160 | 3.0% | 36 | 36 | 2.2% | 132 | 133 | 2.5% | 165 | 170 | 3.6% | 193 | 197 | 2.8% |
| 6 | 157 | 157 | 2.5% | 39 | 39 | 1.7% | 125 | 125 | 2.7% | 158 | 160 | 2.8% | 196 | 200 | 2.7% |
| 7 | 169 | 168 | 2.4% | 44 | 45 | 1.3% | 130 | 131 | 2.9% | 185 | 189 | 2.9% | 223 | 228 | 3.1% |
| 8 | 147 | 149 | 2.4% | 48 | 48 | 0.8% | 127 | 129 | 3.4% | 192 | 197 | 3.3% | 204 | 210 | 2.9% |
| 9 | 153 | 152 | 2.2% | 39 | 39 | 1.7% | 124 | 124 | 2.6% | 169 | 173 | 3.5% | 189 | 192 | 2.5% |
| 10 | 155 | 158 | 2.5% | 38 | 38 | 2.0% | 123 | 126 | 3.9% | 164 | 166 | 1.8% | 190 | 191 | 2.0% |
Publisher’s Note: MDPI stays neutral with regard to jurisdictional claims in published maps and institutional affiliations. |
© 2022 by the authors. Licensee MDPI, Basel, Switzerland. This article is an open access article distributed under the terms and conditions of the Creative Commons Attribution (CC BY) license (https://creativecommons.org/licenses/by/4.0/).
Share and Cite
Li, J.; Li, Q.; Ma, W.; Xue, X.; Zhao, C.; Tulpan, D.; Yang, S.X. Key Region Extraction and Body Dimension Measurement of Beef Cattle Using 3D Point Clouds. Agriculture 2022, 12, 1012. https://doi.org/10.3390/agriculture12071012
Li J, Li Q, Ma W, Xue X, Zhao C, Tulpan D, Yang SX. Key Region Extraction and Body Dimension Measurement of Beef Cattle Using 3D Point Clouds. Agriculture. 2022; 12(7):1012. https://doi.org/10.3390/agriculture12071012
Chicago/Turabian StyleLi, Jiawei, Qifeng Li, Weihong Ma, Xianglong Xue, Chunjiang Zhao, Dan Tulpan, and Simon X. Yang. 2022. "Key Region Extraction and Body Dimension Measurement of Beef Cattle Using 3D Point Clouds" Agriculture 12, no. 7: 1012. https://doi.org/10.3390/agriculture12071012
APA StyleLi, J., Li, Q., Ma, W., Xue, X., Zhao, C., Tulpan, D., & Yang, S. X. (2022). Key Region Extraction and Body Dimension Measurement of Beef Cattle Using 3D Point Clouds. Agriculture, 12(7), 1012. https://doi.org/10.3390/agriculture12071012

