Heat Stress Characterization in a Dairy Cattle Intensive Production Cluster under Arid Land Conditions: An Annual, Seasonal, Daily, and Minute-To-Minute, Big Data Approach
Abstract
:1. Introduction
2. Materials and Methods
2.1. Location of the Area of Study and Selected Representative Dairy Farms
2.2. Climate Data and THI
2.3. Days with Heat Stress Based on THI
2.4. Dynamic of the THI ≥ 68 Units according to Geographic Site, Year and Season
2.5. Relationship among the Daily Number of THI-Hours Causing Heat Stress across Years
2.6. Effect of THI Level on Milk Production
2.7. Statistical Analyses
3. Results
3.1. Days with Heat Stress Based on THI
3.2. Difference in THI ≥ 68 by Geographical Site, Year and Season
3.2.1. Differences according to Geographical Site (Farm)
3.2.2. Differences across Years
3.2.3. Differences across Seasons
3.2.4. Representative Farm–Year Environmental Values in the Comarca Lagunera
3.3. Effect of THI Level on Milk Production
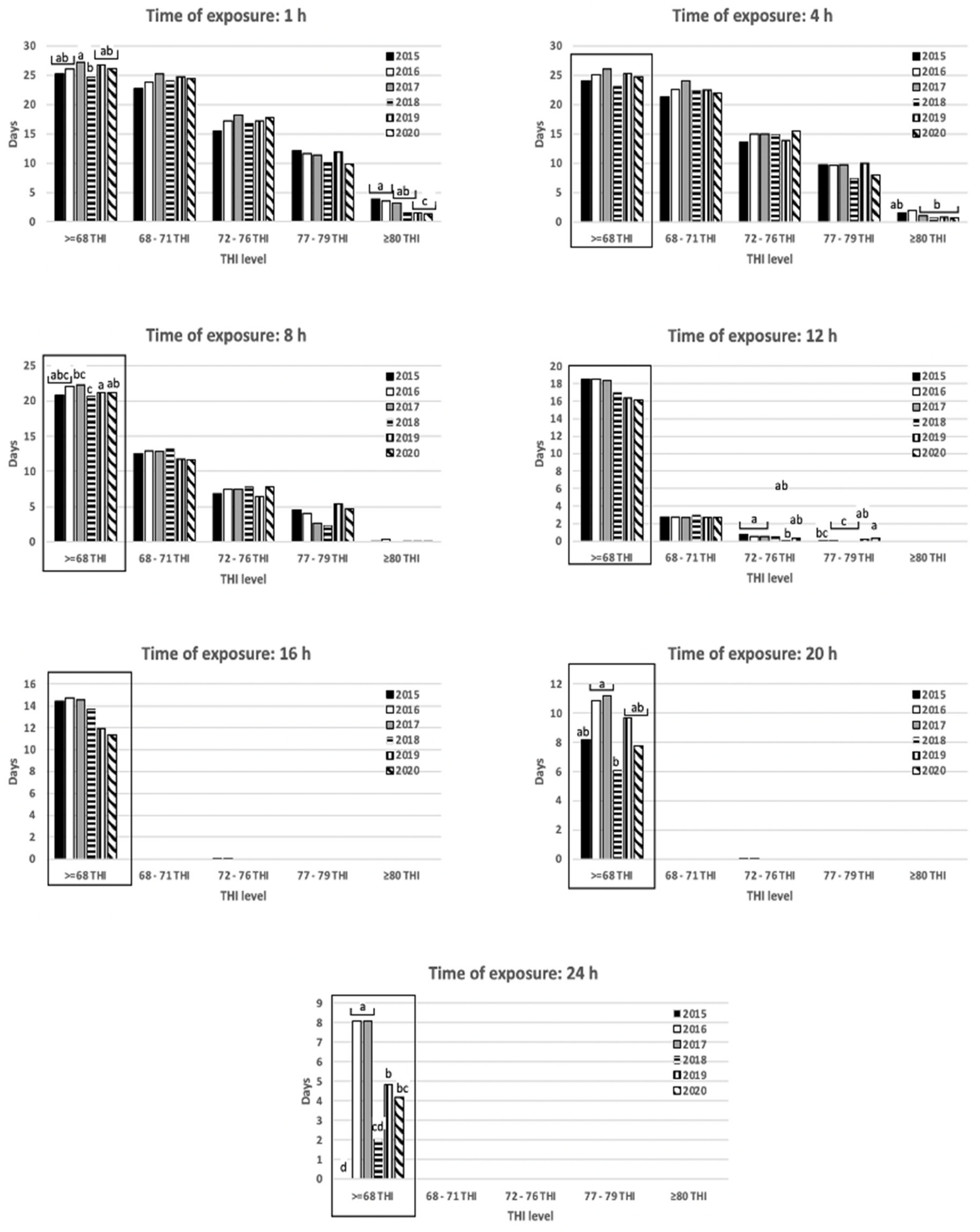
3.4. Relationship of Days with THI Levels with Heat Stress and the Year
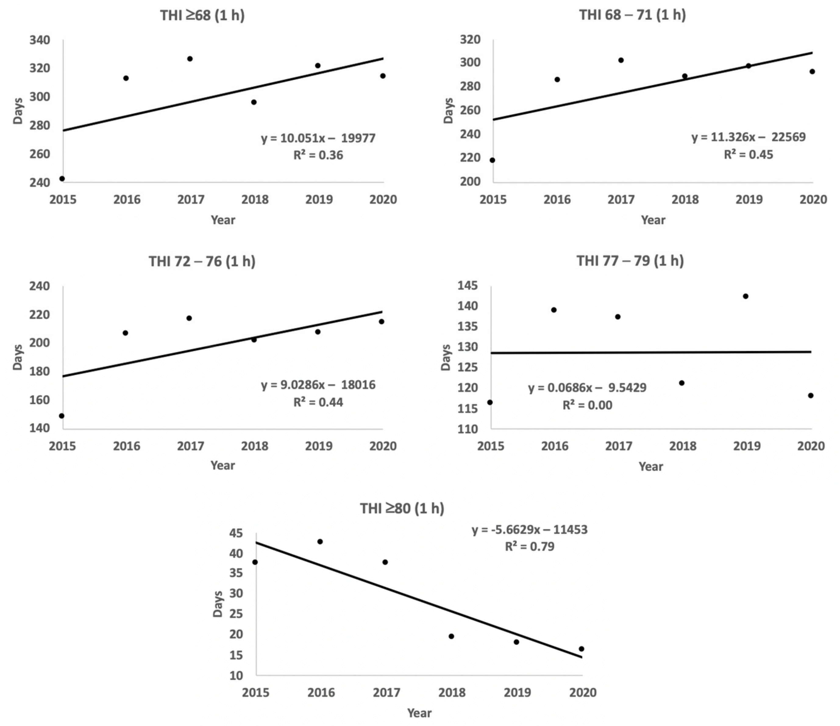
3.4.1. Relationship among Years and the THI—TOE-HS1h Subclass
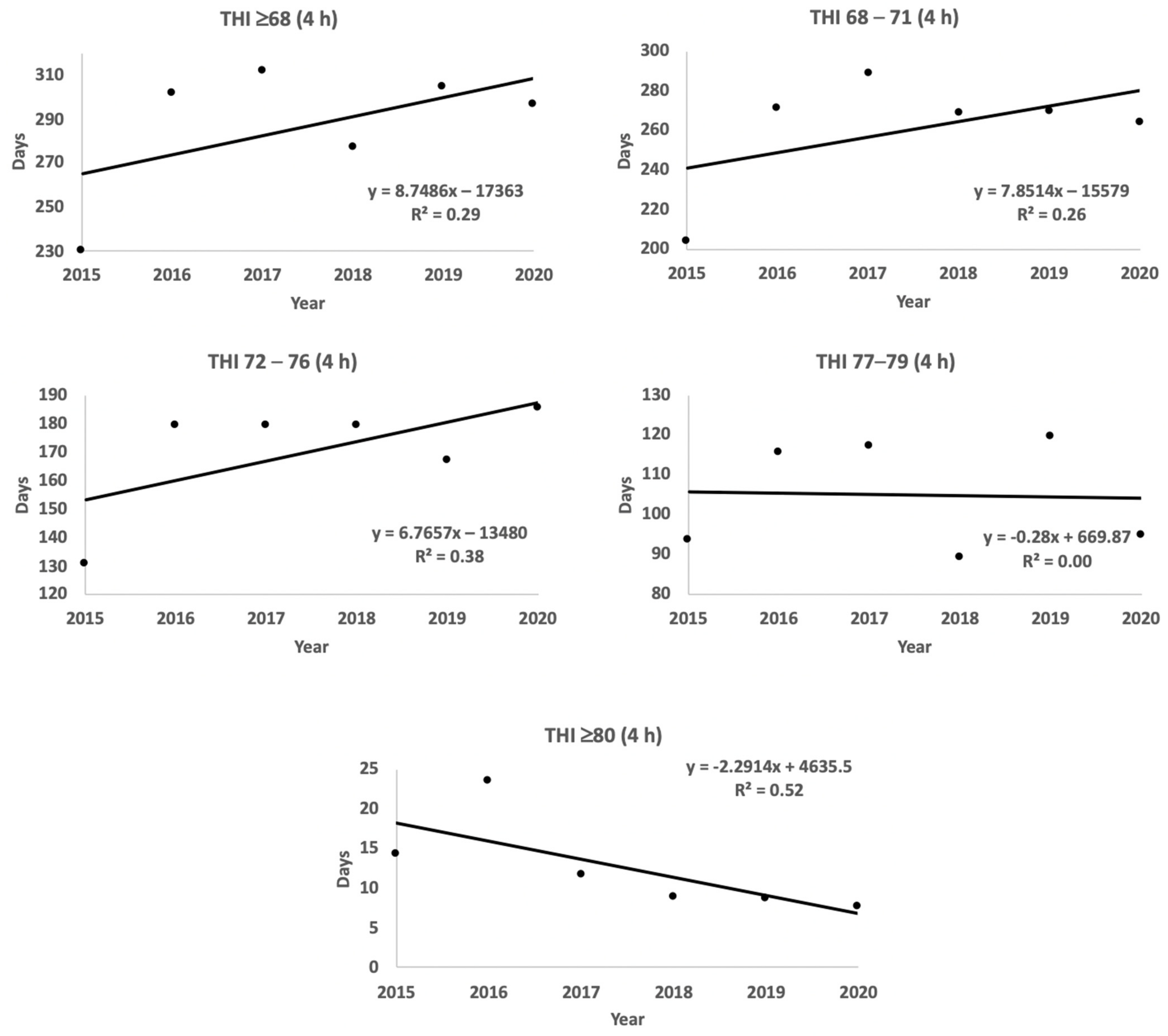
3.4.2. Relationship among Years and the THI—TOE-HS4h Subclass
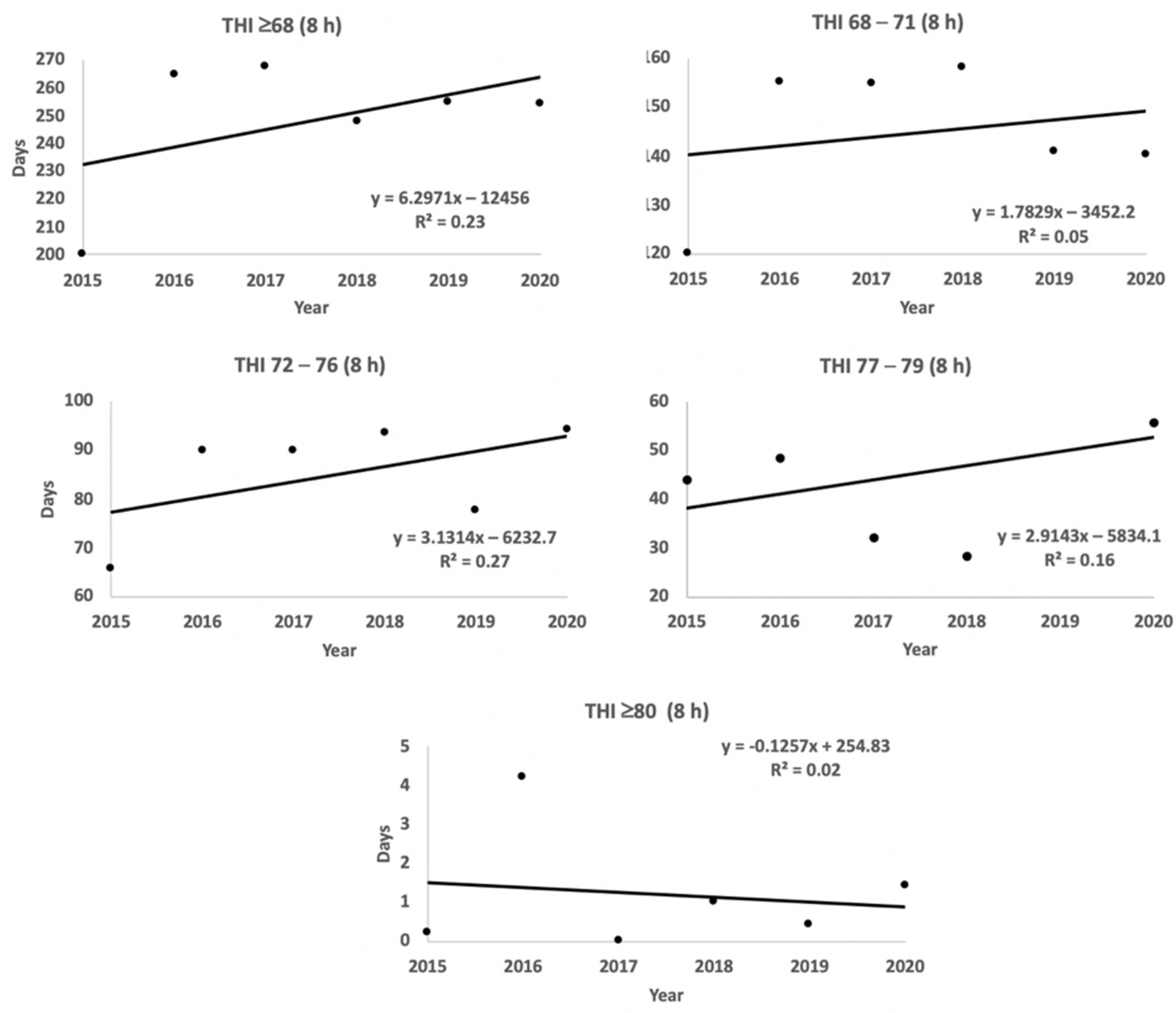
3.4.3. Relationship among Years and the THI—TOE-HS8h Subclass
3.4.4. Relationship among Year–THI value at TOE-HS8h and TOE-HS 16h Subclass
4. Discussion
4.1. Days with Heat Stress Based on THI
4.2. Effect of Geographic Site, Month, Season, and Year upon Variability of THI Levels ≥ 68
4.2.1. Differences by Geographic Point (Farm)
4.2.2. Differences across Years, Seasons and Months
4.3. Relationship among THI Levels, Days with Heat Stress, across Years
4.4. Effect of THI Level on Milk Production
5. Conclusions
Author Contributions
Funding
Institutional Review Board Statement
Informed Consent Statement
Data Availability Statement
Conflicts of Interest
References
- DeShazer, J.A.; Hahn, G.L.; Xin, H. Chapter 1: Basic Principles of the Thermal Environment and Livestock Energetics. In Agricultural and Biosystems; Agricultural and Biosystems Engineering Publications: St. Joseph, MI, USA, 2009; pp. 1–22. [Google Scholar]
- Armstrong, D.V. Heat Stress Interaction with Shade and Cooling. J. Dairy Sci. 1994, 77, 2044–2050. [Google Scholar] [CrossRef]
- Kadzere, C.T.; Murphy, M.R.; Silanikove, N.; Maltz, E. Heat Stress in Lactating Dairy Cows: A Review. Livest. Prod. Sci. 2002, 77, 59–91. [Google Scholar] [CrossRef]
- Amundson, J.L.; Mader, T.L.; Rasby, R.J.; Hu, Q.S. Environmental Effects on Pregnancy Rate in Beef Cattle1. J. Anim. Sci. 2006, 84, 3415–3420. [Google Scholar] [CrossRef] [PubMed] [Green Version]
- Mader, T.L.; Frank, K.L.; Harrington, J.A.; Hahn, G.L.; Nienaber, J.A. Potential Climate Change Effects on Warm-Season Livestock Production in the Great Plains. Clim. Chang. 2009, 97, 529–541. [Google Scholar] [CrossRef] [Green Version]
- Salem, M.; Ben, B.R. Heat Stress in Tunisia: Effects on Dairy Cows and Potential Means of Alleviating It. S. Afr. J. Anim. Sci. 2009, 39, 256–259. [Google Scholar]
- Gantner, V.; Mijic, P.; Kuterovac, K.; Barac, Z.; Klemen, P. Heat Stress and Milk Production in the First Parity Holsteins—Threshold Determination in Eastern Croatia. Poljoprivreda 2015, 21, 97–100. [Google Scholar] [CrossRef]
- Gantner, V.; Mijić, P.; Jovanovac, S.; Raguž, N.; Bobić, T.; Kuterovac, K. Influence of Temperature-Humidity Index (THI) on Daily Production of Dairy Cows in Mediterranean Region in Croatia. In Animal Farming and Environmental Interactions in the Mediterranean Region; Casasús, I., Rogošiç, J., Rosati, A., Štokoviç, I., Gabiña, D., Eds.; Wageningen Academic Publishers: Wageningen, The Netherlands, 2012; pp. 71–78. ISBN 978-90-8686-741-7. [Google Scholar]
- Tolkamp, B.J.; Haskell, M.J.; Langford, F.M.; Roberts, D.J.; Morgan, C.A. Are Cows More Likely to Lie down the Longer They Stand? Appl. Anim. Behav. Sci. 2010, 124, 1–10. [Google Scholar] [CrossRef]
- Herbut, P.; Angrecka, S. Relationship between THI Level and Dairy Cows’ Behaviour during Summer Period. Ital. J. Anim. Sci. 2018, 17, 226–233. [Google Scholar] [CrossRef] [Green Version]
- Vasseur, E.; Rushen, J.; Haley, D.B.; de Passillé, A.M. Sampling Cows to Assess Lying Time for On-Farm Animal Welfare Assessment. J. Dairy Sci. 2012, 95, 4968–4977. [Google Scholar] [CrossRef] [Green Version]
- Herbut, P.; Angrecka, S. The Effect of Heat Stress on Time Spent Lying by Cows in a Housing System. Ann. Anim. Sci. 2018, 18, 825–833. [Google Scholar] [CrossRef] [Green Version]
- Chen, S.; Wang, J.; Peng, D.; Li, G.; Chen, J.; Gu, X. Exposure to Heat-Stress Environment Affects the Physiology, Circulation Levels of Cytokines, and Microbiome in Dairy Cows. Sci. Rep. 2018, 8, 14606. [Google Scholar] [CrossRef] [Green Version]
- Cincović, M.; Majkić, M.; Belić, B.; Plavša, N.; Lakić, I.; Radinović, M. Thermal Comfort of Cows and Temperature Humidity Index in Period of 2005-2016 in Vojvodina Region (Serbia). Acta Agric. Serbica 2017, 22, 133–145. [Google Scholar] [CrossRef]
- Cincovic, M.; Belic, B.; Toholj, B.; Radovic, I.; Vidovic, B. The Influence of THI Values at Different Periods of Lactation on Milk Quality and Characteristics of Lactation Curve. J. Agric. Sci. 2010, 55, 235–241. [Google Scholar] [CrossRef]
- Wijffels, G.; Sullivan, M.; Gaughan, J. Methods to Quantify Heat Stress in Ruminants: Current Status and Future Prospects. Methods 2021, 186, 3–13. [Google Scholar] [CrossRef]
- Ravagnolo, O.; Misztal, I.; Hoogenboom, G. Genetic Component of Heat Stress in Dairy Cattle, Development of Heat Index Function. J. Dairy Sci. 2000, 83, 2120–2125. [Google Scholar] [CrossRef]
- Hahn, G.L.; Mader, T.; Eigenberg, R.A. Perspective on Development of Thermal Indices for Animal Studies and Management. EAAP Tech. Ser. 2003, 7, 31–44. [Google Scholar]
- Da Silva, R.G.; Morais, D.A.E.F.; Guilhermino, M.M. Evaluation of Thermal Stress Indexes for Dairy Cows in Tropical Regions. Rev. Bras. Zootec. 2007, 36, 1192–1198. [Google Scholar] [CrossRef] [Green Version]
- Dikmen, S.; Hansen, P.J. Is the Temperature-Humidity Index the Best Indicator of Heat Stress in Lactating Dairy Cows in a Subtropical Environment? J. Dairy Sci. 2009, 92, 109–116. [Google Scholar] [CrossRef] [Green Version]
- Zimbelman, R.; Rhoads, R.; Rhoads, M.; Duff, G.; Baumgard, L.; Collier, R. A Re-Evaluation of the Impact of Temperature Humidity Index (THI) and Black Globe Humidity Index (BGHI) on Milk Production in High Producing Dairy Cows. In Proceedings of the 24th Annual Southwest Nutrititon Management Conference, Tempe, AZ, USA, 26–27 February 2009. [Google Scholar]
- Reiczigel, J.; Solymosi, N.; Könyves, L.; Maróti-Agóts, Á.; Kern, A.; Bartyik, J. Examination of Heat Stress Caused Milk Production Loss by the Use of Temperature- Humidity Indices. Magy. Allatorvosok Lapja 2009, 131, 127–144. [Google Scholar]
- Dunn, R.J.H.; Mead, N.E.; Willett, K.M.; Parker, D.E. Analysis of Heat Stress in UK Dairy Cattle and Impact on Milk Yields. Environ. Res. Lett. 2014, 9. [Google Scholar] [CrossRef]
- Hempel, S.; Menz, C.; Pinto, S.; Galán, E.; Janke, D.; Estellés, F.; Müschner-Siemens, T.; Wang, X.; Heinicke, J.; Zhang, G.; et al. Heat Stress Risk in European Dairy Cattle Husbandry under Different Climate Change Scenarios-Uncertainties and Potential Impacts. Earth Syst. Dyn. 2019, 10, 859–884. [Google Scholar] [CrossRef] [Green Version]
- NCR. A Guide to Environmental Research on Animals; National Academies Press: Washington, DC, USA, 1971; ISBN 9780309018692. [Google Scholar]
- SAS Institute Inc. Introduccion a La Programacion En SAS®; SAS Institute Inc.: Cary, NC, USA, 2014; p. 18. [Google Scholar]
- Herbut, P.; Angrecka, S.; Walczak, J. Environmental Parameters to Assessing of Heat Stress in Dairy Cattle—A Review. Int. J. Biometeorol. 2018, 62, 2089–2097. [Google Scholar] [CrossRef] [Green Version]
- Nardone, A.; Ronchi, B.; Lacetera, N.; Ranieri, M.S.; Bernabucci, U. Effects of Climate Changes on Animal Production and Sustainability of Livestock Systems. Livest. Sci. 2010, 130, 57–69. [Google Scholar] [CrossRef]
- St-Pierre, N.R.; Cobanov, B.; Schnitkey, G. Economic Losses from Heat Stress by US Livestock Industries1. J. Dairy Sci. 2003, 86, E52–E77. [Google Scholar] [CrossRef] [Green Version]
- Bernabucci, U.; Biffani, S.; Buggiotti, L.; Vitali, A.; Lacetera, N.; Nardone, A. The Effects of Heat Stress in Italian Holstein Dairy Cattle. J. Dairy Sci. 2014, 97, 471–486. [Google Scholar] [CrossRef] [PubMed]
- Becker, C.A.; Stone, A.E. Graduate Student Literature Review: Heat Abatement Strategies Used to Reduce Negative Effects of Heat Stress in Dairy Cows. J. Dairy Sci. 2020, 103, 9667–9675. [Google Scholar] [CrossRef] [PubMed]
- Roth, Z. Reproductive Physiology and Endocrinology Responses of Cows Exposed to Environmental Heat Stress—Experiences from the Past and Lessons for the Present. Theriogenology 2020, 155, 150–156. [Google Scholar] [CrossRef]
- Gebremedhin, K.G. Heat Stress and Evaporative Cooling. In Environmental Physiology of Livestock; John Wiley & Sons, Ltd.: Hoboken, NJ, USA, 2012; pp. 35–48. ISBN 9781119949091. [Google Scholar]
- Theusme, C.; Avendaño-Reyes, L.; Macías-Cruz, U.; Correa-Calderón, A.; García-Cueto, R.O.; Mellado, M.; Vargas-Villamil, L.; Vicente-Pérez, A. Climate Change Vulnerability of Confined Livestock Systems Predicted Using Bioclimatic Indexes in an Arid Region of México. Sci. Total Environ. 2021, 751, 1–11. [Google Scholar] [CrossRef]
- Tian, H.; Zheng, N.; Wang, W.; Cheng, J.; Li, S.; Zhang, Y.; Wang, J. Integrated Metabolomics Study of the Milk of Heat-Stressed Lactating Dairy Cows. Sci. Rep. 2016, 6, 24208. [Google Scholar] [CrossRef]
- Becker, C.A.; Collier, R.J.; Stone, A.E. Invited Review: Physiological and Behavioral Effects of Heat Stress in Dairy Cows. J. Dairy Sci. 2020, 103, 6751–6770. [Google Scholar] [CrossRef]
- IPCC. IPPC (International Plant Protection Convention) Annual Report 2018; FAO: Rome, Italy, 2019. [Google Scholar]
- Roth, Z. Influence of Heat Stress on Reproduction in Dairy Cows-Physiological and Practical Aspects. J. Anim. Sci. 2020, 98, S80–S87. [Google Scholar] [CrossRef]
- Gantner, V.; Bobic, T.; Gantner, R.; Gregic, M.; Kuterovac, K.; Novakovic, J.; Potocnik, K. Differences in Response to Heat Stress Due to Production Level and Breed of Dairy Cows. Int. J. Biometeorol. 2017, 61, 1675–1685. [Google Scholar] [CrossRef]
- Fabris, T.F.; Laporta, J.; Skibiel, A.L.; Corra, F.N.; Senn, B.D.; Wohlgemuth, S.E.; Dahl, G.E. Effect of Heat Stress during Early, Late, and Entire Dry Period on Dairy Cattle. J. Dairy Sci. 2019, 102, 5647–5656. [Google Scholar] [CrossRef]
- Nogoy, K.M.C.; Park, J.; Chon, S.-I.; Sivamani, S.; Park, M.J.; Cho, J.P.; Hong, H.K.; Lee, D.H.; Choi, S.H. Precision Detection of Real-Time Conditions of Dairy Cows Using an Advanced Artificial Intelligence Hub. Appl. Sci. 2021, 11, 12043. [Google Scholar] [CrossRef]
- Gernand, E.; König, S.; Kipp, C. Influence of On-Farm Measurements for Heat Stress Indicators on Dairy Cow Productivity, Female Fertility, and Health. J. Dairy Sci. 2019, 102, 6660–6671. [Google Scholar] [CrossRef]
= no data;
= THI < 68;
= THI 68–71;
= THI 72–76;
= THI 77–79;
= THI ≥ 80. Note: Upper margin; each black and white line denotes one month. Left margin; each black and white line represent one hour.
= no data;
= THI < 68;
= THI 68–71;
= THI 72–76;
= THI 77–79;
= THI ≥ 80. Note: Upper margin; each black and white line denotes one month. Left margin; each black and white line represent one hour.
; Heat stress
.
; Heat stress
.
; h THI ≥ 68
; h THI 68–71
; h THI 72–76
; h THI 77–79
and
h THI ≥ 80.
; h THI ≥ 68
; h THI 68–71
; h THI 72–76
; h THI 77–79
and
h THI ≥ 80.








| Farm | Year | |||||
|---|---|---|---|---|---|---|
| 2015 | 2016 | 2017 | 2018 | 2019 | 2020 | |
| Any THI value ≥ 68 | ||||||
| Campanario | 303 | 325 | 325 | 297 | 321 | 317 |
| Gilio | 303 | 308 | 327 | 294 | 321 | 314 |
| Lucero | 303 | 309 | 325 | 291 | 317 | 309 |
| Madero | 302 | 308 | 327 | 297 | 323 | 315 |
| Noacan | nd | 308 | 327 | 294 | 323 | 323 |
| THI 68–71 | ||||||
| Campanario | 272 | 302 | 302 | 289 | 298 | 294 |
| Gilio | 272 | 278 | 302 | 288 | 298 | 293 |
| Lucero | 272 | 279 | 302 | 288 | 295 | 291 |
| Madero | 272 | 278 | 302 | 289 | 298 | 335 |
| Noacan | nd | 278 | 302 | 288 | 298 | 292 |
| THI 72–76 | ||||||
| Campanario | 186 | 220 | 220 | 201 | 211 | 219 |
| Gilio | 186 | 201 | 220 | 200 | 211 | 218 |
| Lucero | 186 | 202 | 221 | 201 | 196 | 213 |
| Madero | 185 | 200 | 213 | 204 | 211 | 212 |
| Noacan | nd | 200 | 213 | 204 | 208 | 210 |
| THI 77–79 | ||||||
| Campanario | 146 | 140 | 140 | 123 | 154 | 130 |
| Gilio | 146 | 153 | 136 | 119 | 154 | 128 |
| Lucero | 146 | 156 | 141 | 118 | 129 | 131 |
| Madero | 143 | 149 | 134 | 124 | 140 | 105 |
| Noacan | nd | 149 | 134 | 115 | 133 | 96 |
| THI ≥ 80 | ||||||
| Campanario | 51 | 44 | 44 | 15 | 32 | 20 |
| Gilio | 47 | 54 | 37 | 24 | 32 | 28 |
| Lucero | 49 | 64 | 46 | 25 | 6 | 25 |
| Madero | 40 | 47 | 31 | 22 | 7 | 4 |
| Noacan | nd | 45 | 30 | 20 | 13 | 4 |
| Time Exposure (h) | Days | Months |
|---|---|---|
| 1 | 21 | 10.5 |
| 6 | 17 | 8.4 |
| 12 | 15 | 7.7 |
| 18 | 14 | 7.1 |
| 24 | 12 | 6.0 |
| THI level | ||
| ≥ 68 | 21 | 10.5 |
| 68–71 | 19 | 9.7 |
| 72–76 | 16 | 8.0 |
| 77–79 | 9 | 4.4 |
| ≥ 80 | 4 | 2.0 |
| Season | Temperature (°C) | Relative Humidity (%) | THI (Units) | ||||||
|---|---|---|---|---|---|---|---|---|---|
| Avg | Max | Min | Avg | Max | Min | Avg | Max | Min | |
| Winter | 19.18 | 34.10 | 1.10 | 34.91 | 99.00 | 2.00 | 61.88 | 75 | 35 |
| Autumn | 21.39 | 34.20 | 6.10 | 49.77 | 96.00 | 0.00 | 66.00 | 80 | 43 |
| Spring | 27.97 | 38.90 | 11.70 | 34.96 | 91.00 | 0.00 | 72.53 | 82 | 54 |
| Summer | 27.97 | 38.1 | 18.3 | 52.59 | 100.00 | 15.00 | 74.77 | 82 | 64 |
| TOE-HS (h) | Percentage |
|---|---|
| 1 | 84.1 |
| 4 | 73.3 |
| 8 | 68.4 |
| 12 | 64.2 |
| 16 | 61.8 |
| 20 | 57.6 |
| 24 | 50.3 |
| THI Level | Percentage |
|---|---|
| ≥68 | 84.1 |
| 69–71 | 80.9 |
| 72–76 | 66.7 |
| 77–79 | 36.5 |
| ≥80 | 16.3 |
Publisher’s Note: MDPI stays neutral with regard to jurisdictional claims in published maps and institutional affiliations. |
© 2022 by the authors. Licensee MDPI, Basel, Switzerland. This article is an open access article distributed under the terms and conditions of the Creative Commons Attribution (CC BY) license (https://creativecommons.org/licenses/by/4.0/).
Share and Cite
Rodriguez-Venegas, R.; Meza-Herrera, C.A.; Robles-Trillo, P.A.; Angel-Garcia, O.; Rivas-Madero, J.S.; Rodriguez-Martínez, R. Heat Stress Characterization in a Dairy Cattle Intensive Production Cluster under Arid Land Conditions: An Annual, Seasonal, Daily, and Minute-To-Minute, Big Data Approach. Agriculture 2022, 12, 760. https://doi.org/10.3390/agriculture12060760
Rodriguez-Venegas R, Meza-Herrera CA, Robles-Trillo PA, Angel-Garcia O, Rivas-Madero JS, Rodriguez-Martínez R. Heat Stress Characterization in a Dairy Cattle Intensive Production Cluster under Arid Land Conditions: An Annual, Seasonal, Daily, and Minute-To-Minute, Big Data Approach. Agriculture. 2022; 12(6):760. https://doi.org/10.3390/agriculture12060760
Chicago/Turabian StyleRodriguez-Venegas, Rafael, Cesar A. Meza-Herrera, Pedro A. Robles-Trillo, Oscar Angel-Garcia, Jesus S. Rivas-Madero, and Rafael Rodriguez-Martínez. 2022. "Heat Stress Characterization in a Dairy Cattle Intensive Production Cluster under Arid Land Conditions: An Annual, Seasonal, Daily, and Minute-To-Minute, Big Data Approach" Agriculture 12, no. 6: 760. https://doi.org/10.3390/agriculture12060760
APA StyleRodriguez-Venegas, R., Meza-Herrera, C. A., Robles-Trillo, P. A., Angel-Garcia, O., Rivas-Madero, J. S., & Rodriguez-Martínez, R. (2022). Heat Stress Characterization in a Dairy Cattle Intensive Production Cluster under Arid Land Conditions: An Annual, Seasonal, Daily, and Minute-To-Minute, Big Data Approach. Agriculture, 12(6), 760. https://doi.org/10.3390/agriculture12060760

