Next Article in Journal
The Agro-Climatic Change Characteristics across China during the Latest Decades
Next Article in Special Issue
Genome-Wide Association Study Reveals Genetic Basis of Trace Elements Accumulation in Maize Kernels
Previous Article in Journal
Yellow Mealworm Composition after Convective and Freeze Drying—Preliminary Results
 
 
Font Type:
Arial Georgia Verdana
Font Size:
Aa Aa Aa
Line Spacing:
Column Width:
Background:
Article

Identification of Drought-Resistant Genes in Shanlan Upland Rice

1
College of Tropical Crops, Hainan University, Haikou 570228, China
2
Biotechnology Research Institute, Chinese Academy of Agricultural Sciences, Beijing 100081, China
3
Rice Research Institute, Guangdong Academy of Agricultural Sciences, Guangzhou 510640, China
*
Authors to whom correspondence should be addressed.
Agriculture 2022, 12(2), 150; https://doi.org/10.3390/agriculture12020150
Submission received: 14 November 2021 / Revised: 12 January 2022 / Accepted: 12 January 2022 / Published: 21 January 2022

Abstract

:
Shanlan upland rice is a kind of upland rice and is suitable for planting in the mountains and in hilly terrain. It is mainly found in China’s Hainan province. To discover the drought-resistant genes in Shanlan upland rice, two representative varieties—Baishanuo (BSN) and Dongfang Manpoxiang (MPX)—were selected for transcriptome sequencing, after which gene expression analysis was used to confirm their gene expression patterns. The results demonstrated that 2791 and 829 differentially expressed genes (DEGs) were identified for each variety, including 184 and 58 transcriptional factors, respectively. Expression analysis demonstrated that some genes with unknown functions, such as Os10g0505900, were highly expressed under drought stress treatment. The transcriptomic data and digital gene expression profiling data obtained in this study provide a basis for studying the drought-resistant mechanism in Shanlan upland rice.

1. Introduction

Drought is an important environmental factor affecting agricultural production. In recent years, climate change has increased the frequency of droughts, posing a significant threat to global food security [1]. Rice is one of the most important food crops, and uses more water than any other food crop [2]. China has limited water resources; per capita water resources are less than one-quarter of world averages. Additionally, population increase and climate change have made less water available for agriculture [3]. Therefore, developing water-saving and drought-resistant rice is an important way to ensure food security in China.
Upland rice (Oryza sativa L.) is a rice type that differs from irrigated rice and can adapt to both drought-stress and aerobic conditions [4]. Shanlan upland rice has a long history of cultivation on China’s Hainan Island. Shanlan upland rice was cultivated with the slash-and-burn method [5]. After a long period of domestication, it became a special type of upland rice suitable for cultivation on mountain slopes [6] and is resistant to drought, disease, and insects [7]. Usually, Shanlan upland rice has the following characteristics: high plant height, scattered panicles, large panicles, many grains, a high seed setting rate, a high 1000 grain weight, high per plant yields, and rich genetic diversity [8].
At present, most research on Shanlan upland rice has focused on its physiology and there is little research on drought-resistant genes. Liu cloned the HKT2 gene of Shanlan upland rice and studied the molecular mechanism of Na+ and K+ transport [9]. Liu studied the phenotypic traits and physiological differences between Shanlan upland rice and cultivated rice varieties at the seedling stage under drought stress [10]. By analyzing the differences between mulch dry farming and bare land dry farming of Shanlan upland rice, it was determined that mulch dry farming can effectively shorten the growth period of Shanlan upland rice. Analysis of three cultivation methods (direct seeding, throwing, and transplanting) indicated that direct seeding can improve the yield and shorten the growth period of Shanlan upland rice [11].
Transcriptome analysis has been widely used to discover the molecular mechanism of drought-resistant genes in rice [12,13]. Hou found that Osskipa (Os02g0759800) plays a specific function in the positive regulation of stress resistance in rice via transcriptional regulation of different stress-related genes [14]. Through a comprehensive analysis of the transcriptome of drought-tolerant rice variety IRAT109 and the drought-sensitive rice variety Zhenshan 97, Zhang found that genes related to the photosynthetic system played an important role in rice domestication and experienced strong positive selection in rice domestication [15]. Tian constructed the digital gene expression profiling of common wild rice under drought stress using transcriptome analysis and screened out several tissue-specific genes in response to drought stress [16]. According to the global RNA-seq transcriptome analysis, Yoo found that osphyB (Os03g0309200) negatively regulates plant tolerance to water shortage by controlling the total area of leaves and stomatal density [17].
Based on physiological studies of Shanlan upland rice, we identified two strongly drought-resistant varieties and performed transcriptome sequencing and qRT-PCR analysis to confirm the drought-resistant gene expression.

2. Materials and Methods

2.1. Materials

Ten Shanlan upland rice varieties were used as materials, including Changshan Manuo, Manpoxiang (MPX), Zinuo, ManpPozi, Changmaogu10, C36-13, Baishanuo (BSN), Wanling 1, Wanling 4, and Wanling 8. These varieties were collected and preserved by the Laboratory of Biodiversity and Rice Germplasm Innovation, School of Tropical Crops, Hainan University.

2.2. Methods

2.2.1. Drought Resistance Phenotype Identification

The seeds of Shanlan upland rice were germinated in Petri dishes and placed in an incubator (Jiangnan Instrument Factory, Ningbo, China) at 35 °C. The germinated seedlings were then placed in a soil culture pot under natural conditions. All plants were planted normally in sandy loam soil until the three-leaf stage. The control group (CK) was constantly watered, while the treatment group (D) was not watered for twenty-one days. The fresh and dry weight of the stems, leaves, and roots; the area of the penultimate leaf; Soil and Plant Analyzer Development (SPAD); and the leaf rolling degree of each group were investigated [18]. The water content of the stem, leaf, and root and stress coefficient were calculated as follows [19,20]:
Water content = (fresh weight − dry weight)/fresh weight × 100%
Stress coefficient = Stress value/reference value

2.2.2. Library Preparation and RNA Sequencing

The two Shanlan upland rice varieties, BSN and MPX, were hydroponically cultured in an incubator with a relative humidity of 50–70% under light for 16 h at 30 °C and 8 h in darkness at 26 °C. The hydroponic nutrient solution was prepared with Yoshida rice nutrient solution and changed every 2 days. The two varieties were planted until the three-leaf stage, and the control group was cultured in the nutrient solution, while 20% PEG-6000 medium was added to the treatment group to simulate drought stress. The second leaves were taken as samples at 0 h, 24 h, 48 h, and 72 h under stress, respectively. Each sample was set with three biological replicates (a total of 24 groups of samples) as materials in different stress periods. Total RNA was extracted using Trizol reagent (Invitrogen, Carlsbad, CA, USA) according to the manufacturer’s instructions. After the quality of the RNA samples was confirmed, rice samples from the control group (0 h in drought) and the treatment group (72 h in drought) were taken from the two varieties, and each sample was set with three biological replicates to construct 12 cDNA libraries. The cDNA libraries were sequenced using the Illumina Hiseq2500 platform (Allwegene, Nanjing, China).

2.2.3. Transcriptomic Data and Gene Expression Level Analysis

Raw reads in fastq format were first processed through in-house perl scripts. In this step, clean reads were obtained by removing reads containing adapters, reads containing ploy-N, and low-quality reads from raw data. The Q20, Q30, and GC content from the clean data was calculated. All the downstream analyses were based on clean data with high quality. Then, the Fragments Per Kilobase of exon model per Million mapped reads (FPKM) method was used to convert the number of read counts, and the expression level of genes was analyzed [21]. All of the raw data was submitted to the database with the code Bioproject: PRJNA770425.

2.2.4. Screening and Analysis of Differentially Expressed Genes

After obtaining the clean data, differential expression analysis for sequence count data (DESeq) was used to analyze gene expression levels. The thresholds were set as p-value < 0.05, |log2FoldChange| > 1. Then the Gene Ontology (GO, http://www.geneontology.org/, accessed on 22 July 2021) and Kyoto Encyclopedia of Genes and Genomes (KEGG, http://www.kegg.jp, accessed on 22 July 2021) were analyzed for the differentially expressed genes (DEGs).
To verify the reliability of the expression trend of DEGs, twelve DEGs were randomly selected and verified by qRT-PCR in samples obtained at 0 h, 24 h, 48 h, and 72 h in step 2.2.2. qRT-PCR was performed on an ABI 7500 Real-Time System (Applied Biosystems) using SYBR Green and the relative quantitative method [22], with OsActin (Os03g0718100) as an internal reference. Three known drought-resistant genes OsLEA3-2 (Os03g0322900) [23], RePRP2.2 (Os07g0418600) [24], and RAB21 (Os11g0454300) [25] were added. Primer information is listed in Table S1.

3. Results

3.1. Screening Drought Resistance of Different Shanlan Upland Rice Varieties

Ten Shanlan upland rice varieties were planted to the three-leaf stage, after which watering was withheld. After twenty-one days of drought, the relevant phenotypic data were measured. As shown in Figure 1, BSN and MPX varieties in the control group did not have the highest water content in stems and leaves, but they maintained the highest water content after drought treatment, 82.86% and 82.50%, respectively (Figure 1a,b). In terms of the water content of roots, BSN and MPX in the control group were slightly lower than other varieties, less than 90%, but after drought, they were higher, 86.84% and 80.00%, respectively (Figure 1c,d). After drought, the stress coefficients of the penultimate leaf area were 0.45 for BSN and 0.29 for MPX (Figure 1e). The stress coefficients BSN and MPX of SPAD were 0.95 and 0.74, respectively (Figure 1f). In these two indexes, the stress coefficient of the two varieties was higher. In ten varieties, the degree of leaf rolling was lowest in BSN and MPX after 21 days of drought stress, especially variety BSN (Table 1; Figure S1). After the comprehensive evaluation of these parameters, two varieties (MPX and BSN) were selected for further experiments.

3.2. Sample Collection and cDNA Library Construction for Sequencing

Samples of two Shanlan upland rice varieties were taken from the control group (drought 0 h) and the treatment group (drought 72 h), with three biological replicates per sample and a total of 12 samples. Total RNA was extracted using the TRIzol method and residual DNA was treated by DnaseI. The integrity and concentration of RNA samples were detected, and the quality of 12 samples all met the requirements of library sequencing. Then, 12 cDNA libraries were constructed by mRNA enrichment, cDNA synthesis via reverse transcription, double-stranded cDNA purification, and PCR amplification. Illumina HiSeq 2500 was used for high-throughput sequencing after qualified quality testing.

3.3. Transcriptomic Data Quality Analysis

Twelve cDNA libraries were generated from the two varieties of Shanlan upland rice (drought and control) using Illumina deep sequencing. After removing adapters and filtering the low-quality sequences, 6.73 million, 8.58 million, 7.13 million, and 7.76 million clean 100 bp reads were generated for the control MPX, control BSN, drought-treated MPX, and the drought-treated BSN libraries, respectively. Among them, the probability of sequencing errors in the twelve libraries was less than 0.05%, the GC content was approximately 50%, and the Q20 exceeded 95.00%. These results indicated that the sequencing results of these twelve cDNA libraries were accurate, reliable, and could be used for subsequent analysis. Regardless of whether the reads were taken before or after drought stress conditions, there were fewer reads from the MPX variety than from the BSN variety. Clean reads were compared with the reference sequence, and the results showed that the number of reads compared to the reference sequence accounted for approximately 94% of the total, indicating that it was appropriate to choose the reference sequence of variety Nipponbare. Among them, more than 91.3% of reads were compared to one site, less than 2.6% of reads were compared to multiple sites, and ~8% of clean reads were available for further study (Table 2).

3.4. Gene Expression Levels Analysis

When analyzing the gene expression of RNA-seq results, the gene expression level is usually indicated by the abundance of the transcript, that is, the number of reads corresponding to the transcript is compared. To make samples of different sequencing data volumes comparable, we used FPKM. We compared the distribution of gene FPKM density of the four groups of samples (Figure 2). There was a large overlap between the four groups of samples, indicating that the gene expression levels of MPX and BSN were similar before and after drought treatment. The non-overlapping part may be due to the changes in gene expression levels caused by the difference of the two Shanlan upland rice varieties and the different treatment methods.

3.5. Comparison of Gene Expression

DEGs analysis demonstrated that 829 MPX genes were differentially expressed under the drought stress, of which 423 genes were upregulated and 406 genes were down-regulated. Compared with known rice genomes, we identified 782 known genes and 47 new genes were predicted. There were 2791 DEGs in BSN under drought stress, of which 1669 genes were upregulated and 1122 genes were downregulated. We identified 2650 known genes, and 141 new genes were predicted; of them, 164 genes were upregulated differential genes from both varieties under drought stress and 159 genes were based on those currently known. In both varieties, 175 DEGs were downregulated under drought conditions, of which 166 were known (Figure 3).

3.6. GO Enrichment Analysis of the DEGs

To further study the relationship between the regulation of the genes of BSN and MPX varieties and drought stress, we used the GO Seq software to conduct GO enrichment analysis on DEGs under drought stress conditions based on NR functional annotation [26] (Figure 4a,b). A total of 2791 genes were differentially expressed in the BSN variety under drought conditions, and 1599 DEGs with GO annotations were assigned to 1524 GO terms functional groups. Most DEGs were related to biological processes and molecular functions, but there were few changes in gene expression related to cellular components. There were 25 terms related to stress response, and the largest proportion of terms was related to stimulus response (164, 10.26%), followed by a response to pressure (84, 5.25%). The proportion of other terms decreased in order: cell stimulus response, chemical stimulus, abiotic stimulus, oxidative stress, and water represented 70, 4.38%; 57, 3.56%; 0, 1.88%; 23, 1.44%; and 20, 1.25%, respectively.
There was a total of 829 DEGs in the MPX variety under drought stress, and 497 DEGs with GO annotations were assigned to 910 GO terms, functional groups. The largest proportion was biological processes and molecular functions, and there were relatively few changes in the expression of genes related to cellular components. We determined that 28 GO terms were related to stress response (the number and proportion of genes were 178 and 35.81% respectively, the same as below). The terms with the largest proportions were stimulus response (47, 9.46%), followed by stress response (28, 5.63%), and chemical stimulus response (18, 3.62%), cell response to stress, oxidative stress, and abiotic stimulus were (8, 1.61%), and the cell responses to water were (7, 1.41%).

3.7. KEGG Enrichment Analysis of the DEGs

The KEGG is a database for the systematic analysis of gene function and genomic information, in which genes and expression information are studied as a whole network. Through KEGG enrichment analysis of DEGs in the two Shanlan upland rice varieties, pathways that were significantly enriched compared with the whole transcriptome background were identified to further understand the drought resistance mechanism of the two Shanlan upland rice varieties.
The KEGG pathway of the DEGs in BSN is significantly enriched in secondary metabolite biosynthesis, plant hormone signal transduction, and biosynthesis of keratin, cork, and wax (Figure 5a). The KEGG pathway of the DEGs of MPX is significantly enriched in photosynthetic-antenna protein, plant-circadian rhythm, carotenoid biosynthesis, diterpenoid biosynthesis, and secondary metabolite biosynthesis. The first three were significantly enriched and upregulated following drought stress, and the last two were significantly enriched in downregulation following drought stress (Figure 5b). After comparing significant KEGG enrichment, only the biosynthesis of secondary metabolites was co-enriched between the two varieties.

3.8. Differentially Expressed Transcription Factor Analysis

Drought-related transcription factors were screened from databases of two Shanlan upland rice varieties (Table 3). There were 184 differentially expressed transcription factors in BSN under drought stress. Of them, 17 MYB, 14 AP2/ERF, 14 NAC, and 10 bZIP family transcription factors were upregulated after drought stress. There were 58 differentially expressed transcription factors in MPX under drought stress. Among them, seven AP2/ERF, five MYB, four NAC, and one bZIP transcription factors were upregulated after drought stress. The number of upregulated transcription factors was highest in the ZnF family, reaching 41 in BSN and accounting for 35.65% of the total number of related up-regulated transcription factors; there were 14 in MPX, accounting for 42.42%.

3.9. Verification of DEGs by Quantitative Real-Time PCR

To verify the reliability of the sequencing results, we selected the drought stress-related genes RAB21, OsLEA3-2, and RePRP2.2, with defined functions as controls, and randomly selected 12 genes (seven genes from the BSN variety and five genes from the MPX variety) from the DEGs to perform qRT-PCR analysis. The annotation information and expression levels of genes in the library are shown in Table 4.
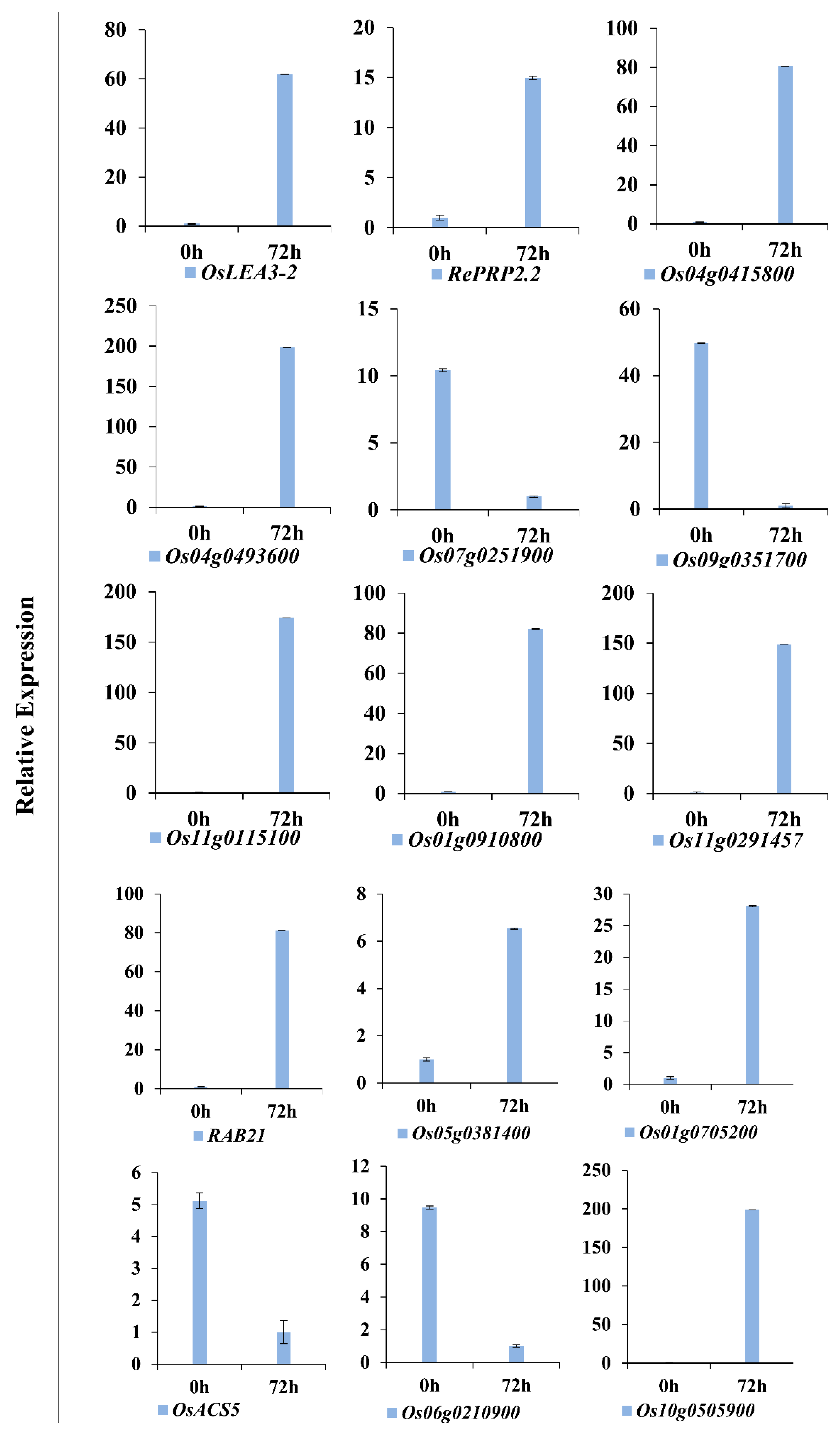
The expression levels of the drought-related genes OsLEA3-2, RePRP2.2, and RAB21 significantly increased under drought treatment. This means that our drought stress treatments for both MPX and BSN were sufficient. The information from the 12 differentially expressed genes was compared with the results of the qRT-PCR analysis, and the expression trend of the 12 genes was consistent with the sequencing results. This indicates that the data used in this study is reliable (Figure 6).
Next, we selected the DEGs shared by the two varieties and conducted a qRT-PCR test to detect the expression of these genes in the BSN and MPX varieties at different drought stress periods (0 h, 24 h, 48 h, and 72 h) (Figure 7). Os10g0505900 was the up-regulated unknown gene shared by both varieties, and Os07g0251900 was the downregulated gene shared by both varieties (leucine-rich repeat sequence, containing proteins in the N-terminal domain). The results demonstrated that the expression of Os10g0505900 increased gradually as the stress time increased, and drought stress-induced its expression. The expression of Os07g0251900 decreased gradually as the stress time increased, while drought stress inhibited its expression.

4. Discussions

4.1. Phenotypic Analysis of Shanlan Upland Rice

The drought resistance of plants is determined by many factors, including its genomes, growth periods, growth environments, and the use of different measurement indexes [27]. The key to identifying drought resistance is using the proper drought resistance index and performing sound analysis. Plants with strong drought resistance can typically maintain the water potential of plants under hyperosmotic conditions by using morphological structures such as stems, leaves, and roots to ensure the normal operation of physiological functions. Therefore, identifying drought resistance is often performed by analyzing the water content of plants. When plants are stressed by water deficiency, the normal growth and development of leaves are affected, the speed of cell division and differentiation slows down, and the leaf area is significantly reduced [19]. Drought stress also increases the leaf temperature and accelerates chlorophyll decomposition, resulting in the yellowing of leaves and the loss of photosynthetic function [28]. Our results demonstrate that the BSN was able to retain water better than the MPX variety under natural drought stress conditions. Additionally, there were fewer changes in the penultimate leaf area of BSN variety under drought stress than in the MPX variety, and the green leaves survived for longer in the BSN than in the MPX variety. Based on these indicators, the BSN variety is more drought-resistant than the MPX variety. There are some shortcomings in identifying drought resistance with a single index, and only a comprehensive analysis of yield, morphology, physiology, biochemistry, and other indexes can produce a more reliable result. The drought resistance coefficient is widely used to assess the drought resistance of crops. Therefore, in this research, the water content in the stem, leaf, and the root, the stress coefficient of the penultimate leaf area, and the SPAD value combined with a leaf-rolling degree were used to identify and assess the drought resistance of Shanlan upland rice varieties and produce relatively reliable results.

4.2. Transcriptome Identification and Analysis of Shanlan Upland Rice Varieties

Specific gene expression plays an important role in plants adapting to environmental changes, and greater variation in gene expression can confer higher evolutionary potential [29]. In this study, the DEGs of two varieties were analyzed before and after drought stress. Our results demonstrated that the DEGs in the MPX variety were less than that in the BSN variety after drought stress, which suggested that BSN transcriptomes could be more sensitive under drought stress environments. By comparing the responses of the two varieties to drought stress, 164 genes were upregulated and 175 genes were down-regulated in both varieties after drought conditions. The ones that did not overlap were specifically expressed genes found only in one variety, which indicated that the two varieties had different drought resistance mechanism and therefore different drought tolerances.
The transcription factors can typically occur as a response to environmental changes. Drought-resistant transcription factors can initiate the reaction in signal transduction that produces corresponding drought-resistant cells characteristics, which resist various stresses and pressures. The following categories of transcription factors are associated with drought stress in rice: bZIP, NAC, DREB/CBFs, Zinc finger, MYB, and HSP [30,31,32,33,34,35]. In this study, we identified a total of 58 differentially expressed transcription factors in the MPX variety, which was less than the 184 found in the BSN variety. This suggests that BSN mobilized more transcription factors in response to drought stress. Of them, the ZnF family transcription factors accounted for the largest proportion of all the up-regulated transcription factors in the two varieties. The upregulated transcription factors were similar to the differentially expressed transcription factors obtained by Tian in Hainan wild rice [16] and Huang in cultured rice H471 [36]. The differentially expressed transcription factors in Shanlan upland rice under drought stress were more than that of the Hainan wild rice and cultured rice H471, which demonstrates that Shanlan upland rice has stronger drought resistance.

4.3. GO Analysis of Genes Related to Drought Resistance in Shanlan Upland Rice

The results of the GO analysis of the two Shanlan upland rice varieties identified differences in the drought resistance mechanisms between the two varieties. The GO of the MPX variety was significantly enriched in categories related to photosynthesis, light reaction, and light capture, while the GO of the BSN variety was not enriched in these categories. In general, photosynthesis is decreased in rice under drought stress [37], even in drought-resistant upland rice [38]. However, this study shows that the MPX variety can maintain relatively higher gene expression level in photosynthesis-related pathways and accumulate more biomass by improving light capture efficiency, which can enhance drought resistance. The BSN variety was significantly enriched in terms of protein phosphorylation, abiotic stress response, chitin catabolism, protein kinase activity, metal ion binding, and chitinase activity. Protein kinase mainly plays a role in catalyzing protein phosphorylation, which is related to the signal transduction of plant drought, high salinity conditions, low temperatures, hormones, and other reactions [39]. Most chitinases can also be induced by abiotic factors, and their induced expression is a typical plant response to stresses [40]. Metal ions such as K+, Ca2+, and Mg2+ are not only closely related to drought tolerance of crops, but are also the main ions maintaining osmotic pressure in crop cells [41]. These results demonstrated that the above pathways are related to drought resistance, which is consistent with our results.

4.4. KEGG Analysis of Drought Related Genes in Shanlan Upland Rice

In the KEGG pathway analysis of differential genes in the MPX variety, the photosynthesis antenna, the plant circadian rhythm, and carotenoid biosynthesis were significantly enriched and upregulated under drought stress, while the two terpenoids in biological synthesis and biosynthesis of secondary metabolites were significantly enriched and downregulated under drought stress. This suggests that while MPX can enhance light response through the rapid transmission of light energy by active antenna proteins, it can achieve the best match with the external drought environment by regulating its circadian rhythm to resist drought stress. Carotenoids can be used as antioxidants and peroxide scavengers to resist drought stress [42]. Diterpenoids can inhibit seed germination and seedling growth under drought stress [43]. This indicates that MPX reduces diterpenoid synthesis under drought stress conditions, which reduces its inhibitory effect on plant growth and maintains normal plant growth. The DEGs of the BSN variety were significantly enriched in the keratin, cork, wax, and secondary metabolites biosynthesis pathways. Plant hormones are tracing organic substances that can significantly affect growth and development. Under drought stress, various plant hormones regulate drought resistance both individually and synergistically [44]. The cuticle covers the uppermost surface layer of plants and consists of horny and waxy material, protects plants from environmental stress during growth and development, and enables above-ground tissues to adapt to drought stress and other non-biological and biological stresses. The results of our study confirm this point. Under drought stress, the concentration of secondary metabolites in plant tissues often increases, which includes cyanosides, sulfides, terpenoids, alkaloids, tannins, and organic acids [45]. Our results indicate that BSN can resist drought stress primarily through substances related to osmosis (such as metal ions), keratin wax protection, and hormone regulation.
In conclusion, the two Shanlan upland rice varieties demonstrated different drought resistances, which could be related to differences in their drought resistance mechanisms. We believe that the BSN can reduce the damage caused by drought stress primarily through osmotic regulatory substances such as metal ions, leaf keratin wax protection, and plant hormone regulation. However, drought stress in the MPX variety enhanced the expression of photosynthesis-related genes that aided in drought resistance.

5. Conclusions

Under drought stress conditions, 829 genes were differentially expressed in the MPX variety, of which 332 were unannotated. In the BSN variety, there were 2791 genes that were differentially expressed, of which 1192 were unannotated. A total of 58 differentially expressed transcription factors were identified in the MPX variety and 184 differentially expressed transcription factors were identified in the BSN variety. Of them, the ZnF family transcription factors were the most commonly upregulated after drought stress in both varieties. However, there were differences in drought tolerance and the drought resistance mechanism between the two rice varieties. The MPX variety resisted drought primarily by improving the gene expression of photosynthesis-related pathways and improving antioxidant activity under drought stress, while the BSN variety resisted drought via plant hormones, increasing keratin resistance, and regulating osmotic pressure.

Supplementary Materials

The following supporting information can be downloaded at: https://www.mdpi.com/article/10.3390/agriculture12020150/s1, Figure S1: Leaf-rolling degree of 10 Shanlan upland rice varieties after 21 days of drought; Table S1: qRT-PCR primer design information.

Author Contributions

Conceptualization, Q.Y. and X.P.; methodology, X.N.; software, X.N. and N.Z.; validation, X.N., X.Y. and C.L.; formal analysis, X.N.; investigation, L.W.; resources, P.Q.; data curation, M.S. and N.Z.; writing—original draft preparation, X.N.; writing—review and editing, Q.Y. and X.P.; visualization, W.L., Q.Y. and X.P.; supervision, Q.Y. and X.P.; project administration, Q.Y. and X.P.; funding acquisition, Q.Y. and X.P.. All authors have read and agreed to the published version of the manuscript.

Funding

This research was supported by Hainan Major Science and Technology Project (No. ZDKJ202002 & ZDKJ202001-03) and the National High Priority R&D Program: 2016ZX08011-001.

Informed Consent Statement

Our research did not involve any human or animal subjects, material, or data. The plant materials used in this study were conserved in the Laboratory of Biodiversity and Rice Germplasm Innovation, College of Tropical Crops, Hainan University.

Data Availability Statement

The raw RNA-Seq data of two Shanlan upland rice varieties under normal and drought conditions can be obtained in NCBI database. The BioProject Numbers for PRJNA770425 (https://www.ncbi.nlm.nih.gov/bioproject/?term=PRJNA770425 accessed on 22 July 2021).

Conflicts of Interest

The authors declare no conflict of interest.

References

  1. Spracklen, D.V. Global warming: China’s contribution to climate change. Nature 2016, 531, 310–312. [Google Scholar] [CrossRef] [PubMed]
  2. Kay, J.E. Early climate models successfully predicted global warming. Nature 2020, 578, 45–46. [Google Scholar] [CrossRef] [Green Version]
  3. Chaves, M.M.; Oliveira, M.M. Mechanisms underlying plant resilience to water deficits: Prospects for water-saving agriculture. J. Exp. Bot. 2004, 55, 2365–2384. [Google Scholar] [CrossRef] [PubMed] [Green Version]
  4. Pang, Z.; Zhao, Y.; Xu, P.; Yu, D. Microbial diversity of upland rice roots and their influence on rice growth and drought tolerance. Microorganisms 2020, 8, 1329. [Google Scholar] [CrossRef]
  5. Yuan, N.N.; Wei, X.; Xue, D.Y.; Yang, Q.W. The origin and evolution of upland rice in Li ethnic communities in Hainan province. J. Plant Genet. Resour. 2013, 14, 202–207. [Google Scholar]
  6. Liu, H.Z.; Ji, C.D. Conservation and utilization of Shanlan upland rice germplasm resources in Hainan province. Chin. J. Trop. Agric. 2016, 36, 49–51. [Google Scholar]
  7. Huang, C.Y.; Luo, W.Q.; Wang, B.; Yang, X.B. Germplasm resource and conservative model of upland rice (Shanlan rice) in south-central Hainan. Guihaia 2015, 35, 905–912. [Google Scholar]
  8. Yang, J.; Xu, J.X. Research progress on drought resistance of Shanlan upland rice in Hainan province. Chin. J. Trop. Agric. 2018, 38, 64–68. [Google Scholar]
  9. Liu, X.X.; Xu, L.X.; Yuan, Q.H. Cloning and sequence biological analysis of HKT2 gene from Shanlan upland rice in Hainan. Guangdong Agric. Sci. 2013, 40, 128–132. [Google Scholar]
  10. Liu, W.J.; Xu, L.X.; He, M.D.; Wen, Z.Z.; Zhang, J.N.; Yuan, Q.H. The differences in morphological and physiological traits between Shanlan upland rice and cultivated rice under drought stress. J. Trop. Biol. 2014, 5, 260–264. [Google Scholar]
  11. He, G.L.; Zhao, J.F.; He, M.D.; Ke, Z.; Yuan, Q.H. Effects of cultivation in different mulching patterns on the agronomic traits of Shanlan upland rice and weed control. J. Trop. Biol. 2018, 9, 344–349. [Google Scholar]
  12. Jo, K.; Kwon, H.B.; Kim, S. Time-series RNA-seq analysis package (TRAP) and its application to the analysis of rice, Oryza sativa L. ssp. Japonica, upon drought stress. Methods 2014, 67, 364–372. [Google Scholar] [CrossRef] [PubMed]
  13. Xia, H.; Ma, X.; Xu, K.; Wang, L.; Liu, H.; Chen, L.; Luo, L. Temporal transcriptomic differences between tolerant and susceptible genotypes contribute to rice drought tolerance. BMC Genom. 2020, 21, 776. [Google Scholar] [CrossRef] [PubMed]
  14. Hou, X.; Xie, K.; Yao, J.; Qi, Z.; Xiong, L. A homolog of human ski-interacting protein in rice positively regulates cell viability and stress tolerance. Proc. Natl. Acad. Sci. USA 2009, 106, 6410–6415. [Google Scholar] [CrossRef] [Green Version]
  15. Zhang, Z.F.; Li, Y.Y.; Xiao, B.Z. Comparative transcriptome analysis highlights the crucial roles of photosynthetic system in drought stress adaptation in upland rice. Sci. Rep. 2016, 6, 19349. [Google Scholar] [CrossRef] [Green Version]
  16. Tian, X.J.; Long, Y.; Wang, J.; Zhang, J.W.; Wang, Y.Y.; Li, W.M.; Peng, Y.F.; Yuan, Q.H.; Pei, X.W. De novo transcriptome assembly of common wild rice (Oryza rufipogon griff.) and discovery of drought-response genes in root tissue based on transcriptomic data. PLoS ONE 2015, 10, e131455. [Google Scholar] [CrossRef] [PubMed]
  17. Yoo, Y.H.; Nalini Chandran, A.K.; Park, J.C.; Gho, Y.S.; Lee, S.W.; An, G.; Jung, K.H. OsPhyB-mediating novel regulatory pathway for drought tolerance in rice root identified by a global RNA-Seq transcriptome analysis of rice genes in response to water deficiencies. Front. Plant Sci. 2017, 8, 580. [Google Scholar] [CrossRef]
  18. Han, B.; Wang, J.; Li, Y.; Ma, X.; Jo, S.; Cui, D. Identification of quantitative trait loci associated with drought tolerance traits in rice (Oryza sativa L.) under PEG and field drought stress. Euphytica 2018, 214, 1–16. [Google Scholar] [CrossRef]
  19. Wang, B.; Xu, B.; Liu, Y.; Chen, X.; Liu, J.; Zhi, W.; Xing, Y.; Yang, B.; Li, J.; Chi, M.; et al. Variation of drought resistance of rice genotypes released in different years in China. J. Sci. Food Agric. 2019, 99, 4430–4438. [Google Scholar] [CrossRef] [PubMed]
  20. Wang, C.L.; Zhang, L.; Luo, L.X.; Wang, H.; Guo, T.; Liu, Y.Z.; Zhou, J.Y.; Chen, Z.Q.; Xiao, W.M. Response analysis of rice gene NAL11 to abiotic stresses at the stage of seedling. Acta Agric. Boreali-Sin. 2020, 35, 120–128. [Google Scholar]
  21. Zhao, S.; Ye, Z.; Stanton, R. Misuse of RPKM or TPM normalization when comparing across samples and sequencing protocols. RNA 2020, 26, 903–909. [Google Scholar] [CrossRef] [PubMed] [Green Version]
  22. Quail, M.A.; Kozarewa, I.; Smith, F.; Scally, A.; Stephens, P.J.; Durbin, R.; Swerdlow, H.; Turner, D.J. A large genome center’s improvements to the Illumina sequencing system. Nat. Methods 2008, 5, 1005–1010. [Google Scholar] [CrossRef] [Green Version]
  23. Duan, J.; Cai, W. OsLEA3-2, an abiotic stress induced gene of rice plays a key role in salt and drought tolerance. PLoS ONE 2012, 7, e45117. [Google Scholar] [CrossRef] [Green Version]
  24. Tseng, I.C.; Hong, C.Y.; Yu, S.M.; Ho, T.H. Abscisic acid- and stress-induced highly proline-rich glycoproteins regulate root growth in rice. Plant Physiol. 2013, 163, 118–134. [Google Scholar] [CrossRef] [PubMed] [Green Version]
  25. Mundy, J.; Chua, N.H. Abscisic acid and water-stress induce the expression of a novel rice gene. EMBO J. 1988, 7, 2279–2286. [Google Scholar] [CrossRef]
  26. Young, M.D.; Wakefield, M.J.; Smyth, G.K.; Oshlack, A. Gene ontology analysis for RNA-seq: Accounting for selection bias. Genome Biol. 2010, 11, R14. [Google Scholar] [CrossRef] [PubMed] [Green Version]
  27. Luo, L.J.; Mei, H.W.; Yu, X.Q.; Xia, H.; Chen, L.; Liu, H.Y.; Zhang, A.N.; Xu, K.; Wei, H.B.; Liu, G.L.; et al. Water-saving and drought-resistance rice: From the concept to practice and theory. Mol. Breed. 2019, 39, 1–15. [Google Scholar] [CrossRef]
  28. Wang, L.; Yu, C.; Chen, C.; He, C.; Zhu, Y.; Huang, W. Identification of rice Di19 family reveals OsDi19-4 involved in drought resistance. Plant Cell Rep. 2014, 33, 2047–2062. [Google Scholar] [CrossRef] [PubMed]
  29. Luo, Z.; Xiong, J.; Xia, H.; Ma, X.; Gao, M.; Wang, L.; Liu, G.; Yu, X.; Luo, L. Transcriptomic divergence between upland and lowland ecotypes contributes to rice adaptation to a drought-prone agroecosystem. Evol. Appl. 2020, 13, 2484–2496. [Google Scholar] [CrossRef] [PubMed]
  30. Wu, X.; Shiroto, Y.; Kishitani, S.; Ito, Y.; Toriyama, K. Enhanced heat and drought tolerance in transgenic rice seedlings overexpressing OsWRKY11 under the control of HSP101 promoter. Plant Cell Rep. 2009, 28, 21–30. [Google Scholar] [CrossRef] [PubMed]
  31. Das, P.; Lakra, N.; Nutan, K.K.; Singla-Pareek, S.L.; Pareek, A. A unique bZIP transcription factor imparting multiple stress tolerance in Rice. Rice 2019, 12, 58. [Google Scholar] [CrossRef] [Green Version]
  32. Hong, Y.; Zhang, H.; Huang, L.; Huang, L.; Li, D.; Song, F. Overexpression of a stress responsive NAC transcription factor gene ONAC022 improves drought and salt tolerance in rice. Front. Plant Sci. 2016, 7, 4. [Google Scholar] [CrossRef] [PubMed]
  33. Dubouzet, J.G.; Sakuma, Y.; Ito, Y.; Kasuga, M.; Dubouzet, E.G.; Miura, S.; Seki, M.; Shinozaki, K.; Yamaguchi-Shinozaki, K. OsDREB genes in rice, Oryza sativa L., encode transcription activators that function in drought-, high-salt- and cold-responsive gene expression. Plant J. 2003, 33, 751–763. [Google Scholar] [CrossRef]
  34. Yuan, X.; Huang, P.; Wang, R.; HLi Lv, X.; Duan, M.; Tang, H.; Zhang, H.; Huang, J. A zinc finger transcriptional repressor confers pleiotropic effects on rice growth and drought tolerance by down-regulating stress-responsive genes. Plant Cell Physiol. 2018, 59, 2129–2142. [Google Scholar] [CrossRef]
  35. Tang, Y.; Bao, X.; Zhi, Y.; Wu, Q.; Guo, Y.; Yin, X.; Zeng, L.; Li, J.; Zhang, J.; He, W.; et al. Overexpression of a MYB family gene, OsMYB6, increases drought and salinity stress tolerance in transgenic rice. Front. Plant Sci. 2019, 10, 168. [Google Scholar] [CrossRef] [PubMed] [Green Version]
  36. Huang, L.Y. Comparative Transcriptome Analysis of Drought Tolerance and Function Characterization of OsDRAPI in Rice; Chinese Academy of Agricultural Sciences: Beijing, China, 2014. [Google Scholar]
  37. Gu, J.; Yin, X.; Struik, P.C.; Stomph, T.J.; Wang, H. Using chromosome introgression lines to map quantitative trait loci for photosynthesis parameters in rice (Oryza sativa L.) leaves under drought and well-watered field conditions. J. Exp. Bot. 2012, 63, 455–469. [Google Scholar] [CrossRef] [PubMed] [Green Version]
  38. Chaves, M.M.; Pereira, J.S.; Maroco, J.; Rodrigues, M.L.; Ricardo, C.P.; Carvalho, I.; Faria, T.; Pinheira, C. How plants cope with water stress in the field? Photosynthesis and growth. Ann. Bot. 2002, 89, 907–916. [Google Scholar] [CrossRef] [Green Version]
  39. Huang, G.T.; Ma, S.L.; Bai, L.P.; Zhang, L.; Ma, H.; Jia, P.; Liu, J.; Zhong, M.; Guo, Z.F. Signal transduction during cold, salt, and drought stresses in plants. Mol. Biol. Rep. 2012, 39, 969–987. [Google Scholar] [CrossRef] [PubMed]
  40. Cletus, J.; Balasubramanian, V.; Vashisht Sakthivel, N.D. Transgenic expression of plant chitinases to enhance disease resistance. Biotechnol. Lett. 2013, 35, 1719–1732. [Google Scholar] [CrossRef] [PubMed]
  41. Zhu, J.K. Abiotic stress signaling and responses in plants. Cell 2016, 167, 313–324. [Google Scholar] [CrossRef] [Green Version]
  42. Othman Zaifuddin, F.A.M.; Hassan, N.M. Carotenoid biosynthesis regulatory mechanisms in plants. J. Oleo Sci. 2014, 63, 753–760. [Google Scholar] [CrossRef] [PubMed] [Green Version]
  43. Zhang, Q.J.; Zhang, A.H.; Sun, J.B.; Zhang, L.X. Advances of research on allelopathic potencial of terpenoids in plants. Ecol. Environ. Sci. 2012, 21, 187–193. [Google Scholar]
  44. Ullah, A.; Manghwar, H.; Shaban, M.; Khan, A.H.; Akbar, A.; Ali, U.; Ali, E.; Fahad, S. Phytohormones enhanced drought tolerance in plants: A coping strategy. Environ. Sci. Pollut. Res. 2018, 25, 33103–33118. [Google Scholar] [CrossRef] [PubMed]
  45. Yang, L.; Wen, K.S.; Ruan, X.; Zhao, Y.X.; Wei, F.; Wang, Q. Response of plant secondary metabolites to environmental factors. Molecules 2018, 23, 762. [Google Scholar] [CrossRef] [PubMed] [Green Version]
Figure 1. Identification of morphological indexes of ten Shanlan upland rice varieties. (a) Dry and fresh weight and water content of stems and leaves in the control. (b) Dry and fresh weight and water content of stems and leaves under drought treatment. (c) Dry and fresh weight and water content of roots in the control. (d) Dry and fresh weight and water content of roots under drought treatment. (e) Penultimate leaf area and stress coefficient under drought treatment and the control. (f) SPAD and stress coefficient under drought treatment and the control.
Figure 1. Identification of morphological indexes of ten Shanlan upland rice varieties. (a) Dry and fresh weight and water content of stems and leaves in the control. (b) Dry and fresh weight and water content of stems and leaves under drought treatment. (c) Dry and fresh weight and water content of roots in the control. (d) Dry and fresh weight and water content of roots under drought treatment. (e) Penultimate leaf area and stress coefficient under drought treatment and the control. (f) SPAD and stress coefficient under drought treatment and the control.
Agriculture 12 00150 g001
Figure 2. Gene FPKM density under 4 test conditions. Transcript abundance indicates the level of gene expression. Overlapped parts indicate similar gene expression levels, while non-overlapped parts indicate differences in gene expression levels.
Figure 2. Gene FPKM density under 4 test conditions. Transcript abundance indicates the level of gene expression. Overlapped parts indicate similar gene expression levels, while non-overlapped parts indicate differences in gene expression levels.
Agriculture 12 00150 g002
Figure 3. Venn diagrams of differential genes. (a) Venn diagram of shared and non-shared upregulated number of genes in MPX and BSN of the treatment group and the control after 21 days of drought. (b) Similar to panel (a) but for downregulated genes.
Figure 3. Venn diagrams of differential genes. (a) Venn diagram of shared and non-shared upregulated number of genes in MPX and BSN of the treatment group and the control after 21 days of drought. (b) Similar to panel (a) but for downregulated genes.
Agriculture 12 00150 g003
Figure 4. Histogram of GO enrichment of differential genes. Green indicates biological processes, and orange indicates molecular functions. Among them, the term is the basic unit of GO, and each term corresponds to a function, with “*” as the significantly enriched GO term. (a) Histogram of GO enrichment of differential genes in MPX treatment group and the control after 21 days of drought; (b) Similar to panel (a) but for the BSN variety.
Figure 4. Histogram of GO enrichment of differential genes. Green indicates biological processes, and orange indicates molecular functions. Among them, the term is the basic unit of GO, and each term corresponds to a function, with “*” as the significantly enriched GO term. (a) Histogram of GO enrichment of differential genes in MPX treatment group and the control after 21 days of drought; (b) Similar to panel (a) but for the BSN variety.
Agriculture 12 00150 g004
Figure 5. KEGG enrichment of the differential genes. The color and size of the points in the figure indicate the q-value range and the number of differentially expressed genes. The closer the q-value is to zero, the more significant the degree of enrichment. Rich factor refers to the differential expression enriched in the pathway. The ratio of the number of genes to the number of annotated genes is proportional to the degree of enrichment. (a) KEGG enrichment of differential genes in the MPX treatment group and the control after 21 days of drought. (b) Similar to panel (a) but of the BSN.
Figure 5. KEGG enrichment of the differential genes. The color and size of the points in the figure indicate the q-value range and the number of differentially expressed genes. The closer the q-value is to zero, the more significant the degree of enrichment. Rich factor refers to the differential expression enriched in the pathway. The ratio of the number of genes to the number of annotated genes is proportional to the degree of enrichment. (a) KEGG enrichment of differential genes in the MPX treatment group and the control after 21 days of drought. (b) Similar to panel (a) but of the BSN.
Agriculture 12 00150 g005
Figure 6. Confirmation of the transcriptomic profiles of selected genes by qRT-PCR. The x-axis shows the different periods of drought stress; the y-axis shows the relative quantitative expression level of each unigene.
Figure 6. Confirmation of the transcriptomic profiles of selected genes by qRT-PCR. The x-axis shows the different periods of drought stress; the y-axis shows the relative quantitative expression level of each unigene.
Agriculture 12 00150 g006
Figure 7. Expression characteristics of two selected unigenes of PEG-treated plants at 0 h, 24 h, 48 h, and 72 h. The relative expression value was calculated using the 2−ΔΔCt method.
Figure 7. Expression characteristics of two selected unigenes of PEG-treated plants at 0 h, 24 h, 48 h, and 72 h. The relative expression value was calculated using the 2−ΔΔCt method.
Agriculture 12 00150 g007
Table 1. Visual score of leaf rolling in Shanlan upland rice under drought stress.
Table 1. Visual score of leaf rolling in Shanlan upland rice under drought stress.
Variety Leaf Rolling Score
Day0Day7Day15Day21
BSN---+
MPX---++
Changshan-Manuo--+++
C36-13--+++
Wanling1--+++
Wanling4--+++++
Wanling8-+++++++
ManPozi-+++++++++
Changmaogu10-+++++++++++
Zinuo-+++++++++++
(-) sign indicates leaf rolling has not started yet; (+) sign indicates leaf rolling has just started; more (+) signs indicate a higher degree of leaf rolling.
Table 2. Shanlan upland rice clean reads compared with Nipponbare series.
Table 2. Shanlan upland rice clean reads compared with Nipponbare series.
Sample NameClean ReadsTotal MappedUniquely MappedMultiple MappedNon-Splice ReadsSplice Reads
CK-MPX_121,987,73241,444,762
94.25%
40,214,334
91.45%
1,230,428
2.8%
25,355,296
57.66%
14,859,038
33.79%
CK-MPX_221,468,08740,629,408
94.63%
39,601,202
92.23%
1,028,206
2.39%
24,861,263
57.9%
14,739,939
34.33%
CK-MPX_324,166,22045,762,210
94.68%
44,623,664
92.33%
1,138,546
2.36%
30,685,049
63.49%
13,938,615
28.84%
D-MPX_124,485,25946,524,502
95.01%
45,551,600
93.02%
972,902
1.99%
28,555,559
58.31%
16,996,041
34.71%
D-MPX_222,420,57542,315,692
94.37%
41,307,648
92.12%
1,008,004
2.25%
26,086,901
58.18%
15,220,747
33.94%
D-MPX_324,358,31146,429,204
95.3%
45,500,000
93.4%
929,204
1.91%
29,353,793
60.25%
16,146,207
33.14%
CK-BSN_132,875,66661,508,950
93.55%
59,799,194
90.95%
1,709,756
2.6%
38,504,957
58.56%
21,294,237
32.39%
CK-BSN_229,814,31056,666,020
95.03%
55,275,174
92.7%
1,390,846
2.33%
35,184,648
59.01%
20,090,526
33.69%
CK-BSN_323,114,05842,871,330
92.74%
41,749,732
90.31%
1,121,598
2.43%
26,794,172
57.96%
14,955,560
32.35%
D-BSN_127,025,30451,254,708
94.83%
50,153,446
92.79%
1,101,262
2.04%
32,620,538
60.35%
17,532,908
32.44%
D-BSN_224,713,67347,035,774
95.16%
46,077,454
93.22%
958,320
1.94%
29,253,860
59.19%
16,823,594
34.04%
D-BSN_325,863,16348,457,128
93.68%
47,434,590
91.7%
1,022,538
1.98%
30,195,571
58.38%
17,239,019
33.33%
Note: One clean read only compares the readings of one exon; multiple exons: one clean read compares the readings of multiple exons.
Table 3. Transcription factors related to drought stress in Shanlan upland rice varieties.
Table 3. Transcription factors related to drought stress in Shanlan upland rice varieties.
TF FamilyUpregulatedDownregulatedPercentage (%)
MPX_DvsMPX_CKBSN_DvsBSN_CKMPX_DvsMPX_CKBSN_DvsBSN_CKMPX_DvsMPX_CKBSN_DvsBSN_CK
Znf (RING-finger)62261620.6520.69
Znf1441124814.1320.69
Znf (WRKY)0122413.593.45
Aux/IAA1162611.965.17
NAC4141711.418.62
MYB/MYC517519.7817.24
AP2/ERF714239.2415.52
bZIP110237.075.17
HD-ZIP12001.091.72
HSF00010.540.00
DREB01100.541.72
Table 4. Differentially expressed gene information before and after drought treatment.
Table 4. Differentially expressed gene information before and after drought treatment.
Gene_IDDescriptionReadcount
CKD
Os04g0415800Similar to OSIGBa0092M08.2 protein. 0.28992.69
Os04g0493600Similar to Lectin-C precursor (PL-C). 2.827596.22
Os07g0251900Leucine-rich repeat, N-terminal domain-containing protein. 829.3520.05
Os09g0351700Protein kinase, catalytic domain-containing protein. 169.762.51
Os11g0115100Similar to Lipid transfer protein. 0.421909.17
Os01g0910800Conserved hypothetical protein.2.583210.34
Os11g0291475Hypothetical protein.2.04676.33
Os05g0381400AWPM-19-like protein, Stress tolerance through ABA-dependent pathway 8.36105.17
Os01g0705200Late embryogenesis abundant protein repeat-containing protein. 6.30406.94
Os01g01929001-aminocyclopropane-1-carboxylate synthase family protein. 176.4411.81
Os06g0210900Lipase, class 3 family protein. 155.166.43
Os10g0505900Conserved hypothetical protein.18.46828.22
Publisher’s Note: MDPI stays neutral with regard to jurisdictional claims in published maps and institutional affiliations.

Share and Cite

MDPI and ACS Style

Niu, X.; Zhai, N.; Yang, X.; Su, M.; Liu, C.; Wang, L.; Qu, P.; Liu, W.; Yuan, Q.; Pei, X. Identification of Drought-Resistant Genes in Shanlan Upland Rice. Agriculture 2022, 12, 150. https://doi.org/10.3390/agriculture12020150

AMA Style

Niu X, Zhai N, Yang X, Su M, Liu C, Wang L, Qu P, Liu W, Yuan Q, Pei X. Identification of Drought-Resistant Genes in Shanlan Upland Rice. Agriculture. 2022; 12(2):150. https://doi.org/10.3390/agriculture12020150

Chicago/Turabian Style

Niu, Xiaoling, Nanxin Zhai, Xinsen Yang, Meng Su, Caiyue Liu, Liu Wang, Pengzheng Qu, Wuge Liu, Qianhua Yuan, and Xinwu Pei. 2022. "Identification of Drought-Resistant Genes in Shanlan Upland Rice" Agriculture 12, no. 2: 150. https://doi.org/10.3390/agriculture12020150

APA Style

Niu, X., Zhai, N., Yang, X., Su, M., Liu, C., Wang, L., Qu, P., Liu, W., Yuan, Q., & Pei, X. (2022). Identification of Drought-Resistant Genes in Shanlan Upland Rice. Agriculture, 12(2), 150. https://doi.org/10.3390/agriculture12020150

Note that from the first issue of 2016, this journal uses article numbers instead of page numbers. See further details here.

Article Metrics

Back to TopTop