Patterns of Use of Residue Biomass in Cereal–Sheep Production Systems of North Africa: Case of Tunisia
Abstract
1. Introduction
- Literature review: BBN for analyzing natural resources management
2. Materials and Methods
2.1. Study Area
2.2. BBN Method
2.2.1. BBN Framework
2.2.2. BBN Scenario Building
- Scenario S1: simply check for posterior probabilities of a given set of variables (Table 1) which help to keep a high quantity of CR (>500 kg/ha) on the soil. In S1, we do not impose any prior condition on the rest of the parent and secondary nodes. We simply select the target node “CR left on the soil” particularly for its state “CR > 500 kg/ha” (Figure 2) and explore the different changes that accrue to the probability distributions of primary and secondary variables. This will help us understand the key elements on which we have to act if aiming to maximize the probability of having “CR > 500 kg/ha” left on the soil in the study area. The quantity of CR > 500 kg/ha was taken only as a benchmark since this is the best average value, we were able to record for the identified small farm groups. The recommended quantities of CR can go from 1000 kg up to 1500 kg per ha.
- Scenario S2: we fixed a prior condition of “CR > 500 kg/ha” (100% of probability) + prior condition of the “share of livestock income < 30%” (farms with small contribution of livestock to total revenue) (at 100% of probability).
- Scenario S3: we fixed a prior condition of “CR > 500 kg/ha” (100% of probability) + prior condition of the “share of livestock income of 30–60%” (farms with medium contribution of livestock to total revenue) (100% of probability).
- Scenario S4: we fixed a prior condition of “CR > 500 kg/ha” (100% of probability) + prior condition of the “share of livestock income > 60%” (farms with high contribution of livestock to total revenue) (100% of probability).
2.3. Quantification of CR Left on the Soil
3. Results
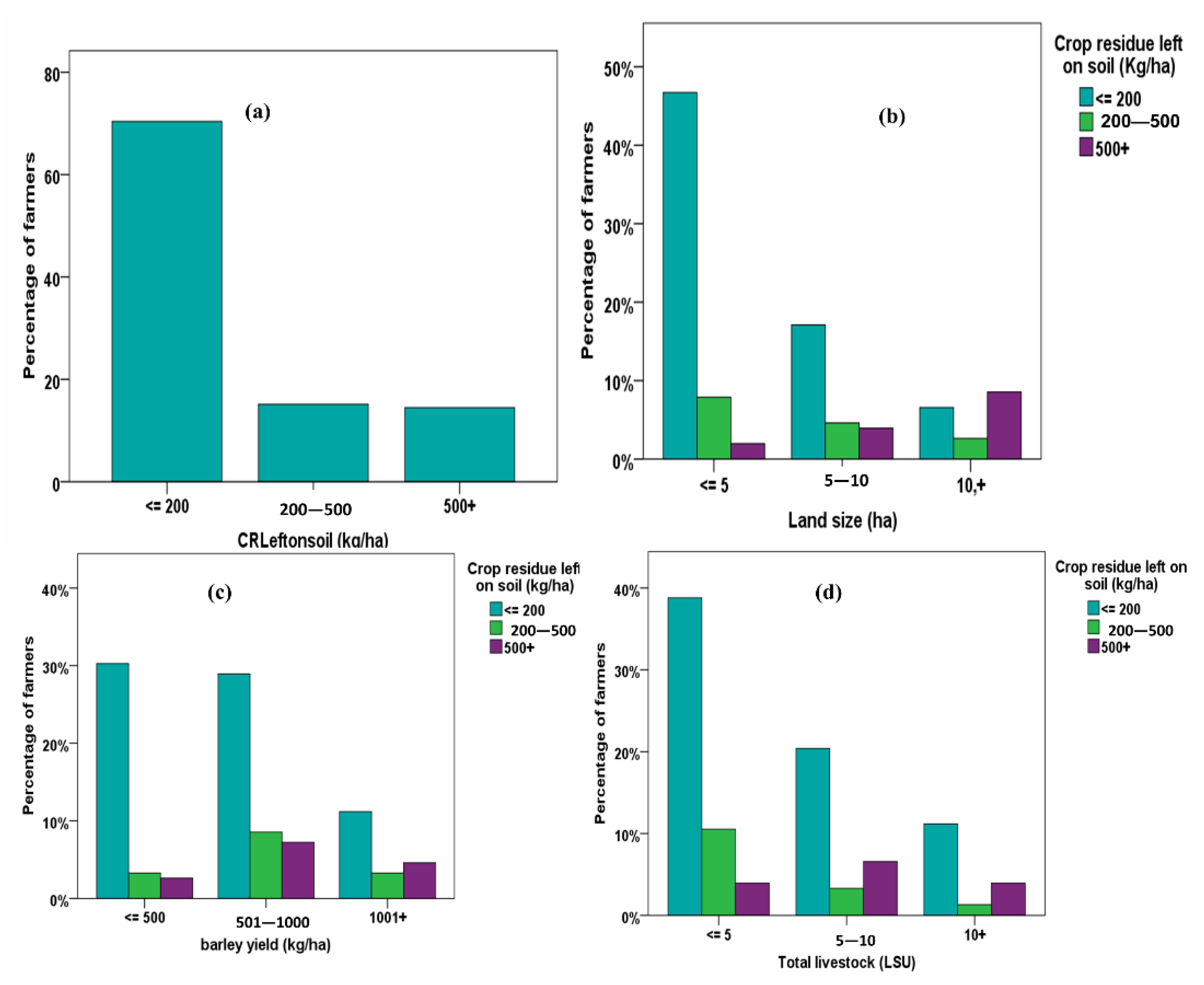
3.1. Quantification of CR Left on the Soil
3.2. Drivers of Different CR Allocations: Resulting Conditional Probabilities from BBN Analysis
- Scenario S1: increasing the quantity of CR left on the soil (>500 kg/ha)
- Scenario S2: increasing quantity of CR for farms with a share of livestock income less than 30%
- Scenario S3: increasing quantity of CR for farms with a share of livestock income of 30–60%
- Scenario S4: increasing quantity of CR within farms where the share of livestock income exceeds 60%
4. Discussion
5. Conclusions
Author Contributions
Funding
Conflicts of Interest
References
- Kassam, A.; Kueneman, E.; Kebe, B.; Ouedraogo, S.; Youdeowei, A. Enhancing Crop-Livestock Systems in Conservation Agriculture for Sustainable Production Intensification. Integr. Crop Manag. 2009, 7, 42. [Google Scholar]
- Bonaudo, T.; Bendahan, A.B.; Sabatier, R.; Ryschawy, J.; Bellon, S.; Leger, F.; Magda, D.; Tichit, M. Agroecological principles for the redesign of integrated crop–livestock systems. Eur. J. Agron. 2014, 57, 43–51. [Google Scholar] [CrossRef]
- FAO. Investing in Sustainable Agricultural Intensification. The Role of Conservation Agriculture. A Framework for Action; Food and Agriculture Organization of the United Nation: Rome, Italy, 2008. [Google Scholar]
- Giller, K.E.; Witter, E.; Corbeels, M.; Tittonell, P. Conservation agriculture and smallholder farming in Africa: The heretics’ view. Field Crop. Res. 2009, 114, 23–34. [Google Scholar] [CrossRef]
- Hobbs, P.R. Paper Presented at International Workshop on Increasing Wheat Yield Potential, CIMMYT, Obregon, Mexico, 20–24 March 2006 Conservation agriculture: What is it and why is it important for future sustainable food production? J. Agric. Sci. 2007, 145, 127. [Google Scholar] [CrossRef]
- Jaleta, M.; Kassie, M.; Shiferaw, B. Tradeoffs in crop residue utilization in mixed crop–livestock systems and implications for conservation agriculture. Agric. Syst. 2013, 121, 96–105. [Google Scholar] [CrossRef]
- Dumont, B.; Fortun-Lamothe, L.; Jouven, M.A.; Thomas, M.; Tichit, M. Prospects from agroecology and industrial ecology for animal production in the 21st century. Animal 2012, 7, 1028–1043. [Google Scholar] [CrossRef]
- Gliessman, S. Animals in Agroecosystems. Agroecology: The Ecology of Sustainable Food Systems; CRC Press: Boca Raton, FL, USA, 2006; pp. 269–285. [Google Scholar]
- Ibidhi, R.; Frija, A.; Jaouad, M.; Ben Salem, H. Typology analysis of sheep production, feeding systems and farmers strategies for livestock watering in Tunisia. Small Rumin. Res. 2018, 160, 44–53. [Google Scholar] [CrossRef]
- Hoagland, L.; Hodges, L.; Helmers, G.A.; Brandle, J.R.; Francis, C.A. Labor Availability in an Integrated Agricultural System. J. Sustain. Agric. 2010, 34, 532–548. [Google Scholar] [CrossRef]
- Lemaire, G.; Franzluebbers, A.; Carvalho, P.C.D.F.; Dedieu, B. Integrated crop–livestock systems: Strategies to achieve synergy between agricultural production and environmental quality. Agric. Ecosyst. Environ. 2014, 190, 4–8. [Google Scholar] [CrossRef]
- Baudron, F.; Jaleta, M.; Okitoi, O.; Tegegn, A. Conservation agriculture in African mixed crop-livestock systems: Expanding the niche. Agric. Ecosyst. Environ. 2014, 187, 171–182. [Google Scholar] [CrossRef]
- Herrero, M.; Thornton, P.K.; Notenbaert, A.M.O.; Wood, S.; Msangi, S.; Freeman, H.A.; Bossio, D.; Dixon, J.; Peters, M.; Van De Steeg, J.; et al. Smart Investments in Sustainable Food Production: Revisiting Mixed Crop-Livestock Systems. Science 2010, 327, 822–825. [Google Scholar] [CrossRef] [PubMed]
- Valbuena, D.; Erenstein, O.; Tui, S.H.-K.; Abdoulaye, T.; Claessens, L.; Duncan, A.J.; Gérard, B.; Rufino, M.C.; Teufel, N.; van Rooyen, A.; et al. Conservation Agriculture in mixed crop–livestock systems: Scoping crop residue trade-offs in Sub-Saharan Africa and South Asia. Field Crops Res. 2012, 132, 175–184. [Google Scholar] [CrossRef]
- Klapwijk, C.; van Wijk, M.; Rosenstock, T.; van Asten, P.; Thornton, P.; Giller, K. Analysis of trade-offs in agricultural systems: Current status and way forward. Curr. Opin. Environ. Sustain. 2014, 6, 110–115. [Google Scholar] [CrossRef]
- Baudron, F.; Delmotte, S.; Corbeels, M.; Herrera, J.M.; Tittonell, P. Multi-scale trade-off analysis of cereal residue use for livestock feeding vs. soil mulching in the Mid-Zambezi Valley, Zimbabwe. Agric. Syst. 2015, 134, 97–106. [Google Scholar] [CrossRef]
- Valbuena, D.; Tui, S.H.-K.; Erenstein, O.; Teufel, N.; Duncan, A.; Abdoulaye, T.; Swain, B.; Mekonnen, K.; Germaine, I.; Gérard, B. Identifying determinants, pressures and trade-offs of crop residue use in mixed smallholder farms in Sub-Saharan Africa and South Asia. Agric. Syst. 2015, 134, 107–118. [Google Scholar] [CrossRef]
- Mhlanga, B.; Muoni, T. Crop Residue Management in Conservation Agriculture Systems in Zimbabwe Smallholder Farming Sector: Importance, Management Challenges and Possible Solutions. Asian J. Agric. Rural Dev. 2014, 4, 333–340. [Google Scholar]
- Andersson, J.; D’Souza, S. From adoption claims to understanding farmers and contexts: A literature review of Conservation Agriculture (CA) adoption among smallholder farmers in southern Africa. Agric. Ecosyst. Environ. 2014, 187, 116–132. [Google Scholar] [CrossRef]
- Beuchelt, T.D.; Villa, T.C.C.; Göhring, L.; Rodríguez, V.M.H.; Hellin, J.; Sonder, K.; Erenstein, O. Social and income trade-offs of conservation agriculture practices on crop residue use in Mexico’s central highlands. Agric. Syst. 2015, 134, 61–75. [Google Scholar] [CrossRef]
- Blümmel, M.; Tui, S.H.-K.; Valbuena, D.; Duncan, A.; Herrero, M. Biomass in crop-livestock systems in the context of the livestock revolution. Sécheresse 2013, 24, 330–339. [Google Scholar] [CrossRef]
- Tui, S.H.-K.; Valbuena, D.; Masikati, P.; Descheemaeker, K.; Nyamangara, J.; Claessens, L.; Erenstein, O.; van Rooyen, A.; Nkomboni, D. Economic trade-offs of biomass use in crop-livestock systems: Exploring more sustainable options in semi-arid Zimbabwe. Agric. Syst. 2015, 134, 48–60. [Google Scholar] [CrossRef][Green Version]
- Rusinamhodzi, L.; Wijk, M.T.; Corbeels, M.; Rufino, M.; Giller, K.E. Maize crop residue uses and trade-offs on smallholder crop-livestock farms in Zimbabwe: Economic implications of intensification. Agric. Ecosyst. Environ. 2015, 214, 31–45. [Google Scholar] [CrossRef]
- McCann, R.K.; Marcot, B.G.; Ellis, R. Bayesian belief networks: Applications in ecology and natural resource management. Can. J. Res. 2006, 36, 3053–3062. [Google Scholar] [CrossRef]
- Campbell, D.; Chilton, S.; Clark, S.; Fitzsimmons, C.; Gazzola, P.; Hutchinson, G.; Metcalf, H.; Roe, M.; Rushton, S.; Schuchert, P.; et al. Bayesian Belief Networks as an Interdisciplinary Marine Governance and Policy Tool. Valuing Nat. Netw. Rep. 2012, 27, 1–27. [Google Scholar]
- Gonzalez-Redin, J.; Luque, S.; Poggio, L.; Smith, R.; Gimona, A. Spatial Bayesian belief networks as a planning decision tool for mapping ecosystem services trade-offs on forested landscapes. Environ. Res. 2016, 144, 15–26. [Google Scholar] [CrossRef] [PubMed]
- Kleemann, J.; Celio, E.; Fürst, C. Reprint of Validation approaches of an expert-based Bayesian Belief Network in northern Ghana, West Africa. Ecol. Model 2018, 371, 101–118. [Google Scholar] [CrossRef]
- McNay, R.S.; Marcot, B.G.; Brumovsky, V.; Ellis, R. A Bayesian approach to evaluating habitat for woodland caribou in north-central British Columbia. Can. J. Res. 2006, 36, 3117–3133. [Google Scholar] [CrossRef]
- Smith, R.I.; Barton, D.N.; Dick, J.; Haines-Young, R.; Madsen, A.L.; Rusch, G.M.; Termansen, M.; Woods, H.; Carvalho, L.; Giucă, R.C.; et al. Operationalising ecosystem service assessment in Bayesian Belief Networks: Experiences within the OpenNESS project. Ecosyst. Serv. 2018, 29, 452–464. [Google Scholar] [CrossRef]
- Singto, C.; Fleskens, L.; Vos, J.; Quinn, C. Applying Bayesian belief networks (BBNs) with stakeholders to explore and codesign options for water resource interventions. Sustain. Water Resour. Manag. 2020, 6, 23. [Google Scholar] [CrossRef]
- Crossman, N.; Pollino, C.A. An ecosystem services and Bayesian modelling approach to assess the utility of water resource development in rangelands of north Australia. J. Arid Environ. 2018, 159, 34–44. [Google Scholar] [CrossRef]
- Carmona, G.; Varela-Ortega, C.; Bromley, J. Participatory modelling to support decision making in water management under uncertainty: Two comparative case studies in the Guadiana river basin, Spain. J. Environ. Manag. 2013, 128, 400–412. [Google Scholar] [CrossRef]
- Marcot, B.G. Natural resource assessment and risk management. In Rbeaux Bayisiens [Bayesian Networks]; Naim, P., Wuillemin, P.H., Leray, P., Pourret, O., Becker, A., Eds.; Editions Eyrolles: Paris, France, 2007. [Google Scholar]
- Aalders, I. Modeling Land-Use Decision Behavior with Bayesian Belief Networks. Ecol. Soc. 2008, 13. [Google Scholar] [CrossRef]
- Bashari, H.; Smith, C. Accommodating Uncertainty in Rangeland Condition Assessment Using Bayesian Belief Networks. In Bayesian Network; IntechOpen: London, UK, 2010. [Google Scholar]
- Stephenson, F.; Mill, A.C.; Scott, C.L.; Stewart, G.B.; Grainger, M.J.; Polunin, N.V.; Fitzsimmons, C. Socio-economic, technological and environmental drivers of spatio-temporal changes in fishing pressure. Mar. Policy 2018, 88, 189–203. [Google Scholar] [CrossRef]
- Yamada, Y. Can a regional-level forest management policy achieve sustainable forest management? For. Policy Econ. 2018, 90, 82–89. [Google Scholar] [CrossRef]
- Newton, C.A.; Young, S. Financial Implications of Glycemic Control: Results of an Inpatient Diabetes Management Program. Endocr. Pr. 2006, 12, 43–48. [Google Scholar] [CrossRef][Green Version]
- Ministère du Développement, de L’investissement et de la Cooprération International and Office de Développement du Nord-Ouest. Gouvernorat de Siliana en Chiffres. 2015. Available online: http://www.odno.nat.tn/upload/files/Siliana%20en%20Chiffres%202015%20.pdf (accessed on 18 May 2021).
- Kamil, K.R.; Anita, K.; Roman, K.K.; Konieczna, A. Evaluation of a different fertilisation in technology of corn for silage, sugar beet and meadow grasses production and their impact on the environment in Poland. Afr. J. Agric. Res. 2015, 10, 1351–1358. [Google Scholar] [CrossRef]
- Zhu, Z.J.A.; McBean, E. Selection of water treatment processes using Bayesian decision network analyses. J. Environ. Eng. Sci. 2007, 6, 95–102. [Google Scholar] [CrossRef]
- Wnuk, A.; Grzegorz, G.A.; Bocianowski, J.; Kozak, M. Visualizing harvest index in crops. Commun. Biometry Crop Sci. 2013, 8, 48–59. [Google Scholar]
- Mghirbi, Y.B.Z. Analyse des Compromis Entre la Production et L’efficience de L’eau et de L’azote Dans les Systèmes Céréaliers Méditerranéens à Base de Blé Dur. Ph.D. Thesis, l’Institut National d’Etudes Supérieures Agronomiques Montpellier SupAgro, Montpellier, France, 2017. [Google Scholar]
- Aouji, M.R.; Salem, M.B. Comportement Varietale de L’orge (hordeum vulgare l.) en Double Exploitation; Annales de l’INRAT: Beja, Tunisia, 2010. [Google Scholar]
- Boussen, H.; Asr, N.; Mechlia, N.B. Efficience d’utilisation de l’eau et de l’azote chez le blé dur!: Etude comparative de deux variétés à haut potentiel de production. Food Secur. Options Perspect. 2005, 1–11. [Google Scholar]
- Amal, B.M.; Boutheina, D.; Kalthoum, H. Yield Components of Barley on Different Climates Stages in the North of Tunisia. Acta Sci. Agric. 2019, 3, 138–141. [Google Scholar]
- Cherif, M.; Rezgui, S. Genotype× Environment Interactions and Heritability Estimates of Agronomic Traits in Selected Tunisian Barley Cultivars. J. Plant Breed. Crop Sci. 2010, 2, 110–116. [Google Scholar]
- Hajer, G.; Salah, B.Y.; Mohamed, C.; Darej, C.; Abidi, S.; Ben Salem, H.; Moujahed, N. Wheat Stubble from Conventional or Conservation Agriculture Grazed by Ewes: Biomass Dynamics and Animal Performances. Anim. Nutr. Feed Technol. 2020, 20, 187–200. [Google Scholar] [CrossRef]
- Moujahed, N.; Abidi, S.; Ben Youssef, S.; Darej, C.; Chakroun, M.; Ben Salem, H. Effect of stocking rate on biomass variation and lamb performances for barley stubble in Tunisian semi-arid region and under conservation agriculture conditions. Afr. J. Agric. Res. 2015, 10, 4584–4590. [Google Scholar]
- Moujahed, N. Perception and use of crop residues in CA practicing farms in CLCA II targeted project areas: Results of a field study and survey. In Proceedings of the CLCA-II Project Traveling Workshop: Integrating Livestock in CLCA Project, Siliana, Tunisia, 1–4 July 2019. [Google Scholar]
- Rekik, M.; Ridaura, S.L.; M’hamed, H.C.; Djender, Z.; Dhehibi, B.; Frija, A.; Wasti, M.D.; Rudiger, U.; Bonaiuti, E.; Najjar, D.; et al. Use of Conservation Agriculture in Crop-Livestock Systems (CLCA) in the Drylands for Enhanced Water Use Efficiency, Soil Fertility and Productivity in NEN and LAC Countries—Project Progress Report: Year I—April 2018 to March 2019; International Center for Agricultural Research in the Dry Areas (ICARDA): Tunis, Tunisia, 2019. [Google Scholar]
- Rekik, M.; Loudi, Z.; Ridaura, S.L.; Frija, A. Use of Conservation Agriculture in Crop-Livestock Systems (CLCA) in the Drylands for Enhanced Water Use Efficiency, Soil Fertility and Productivity in NEN and LAC Countries—Project Progress Report: Year (II)—April 2019 to March 2020; International Center for Agricultural Research in the Dry Areas (ICARDA): Beirut, Lebanon, 2021. [Google Scholar]
- Erenstein, O.; Sayre, K.; Wall, P.; Hellin, J.; Dixon, J. Conservation Agriculture in Maize- and Wheat-Based Systems in the (Sub)tropics: Lessons from Adaptation Initiatives in South Asia, Mexico, and Southern Africa. J. Sustain. Agric. 2012, 36, 180–206. [Google Scholar] [CrossRef]
- Wall, P.C. Tailoring conservation agriculture to the needs of small farmers in developing countries: An analysis of issues. J. Crop Improv. 2007, 19, 137–155. [Google Scholar] [CrossRef]







| Variable Names | Variable Discretizations | Group Descriptions | p Value | Post Hoc Test (LSD Test) (sig) | |
|---|---|---|---|---|---|
| Crop residues left on the soil (CR; kg/ha) | CR ≤ 200 | Low | |||
| 200 < CR < 500 | Medium | ||||
| CR ≥ 500 | High | ||||
| Share of livestock income (Shli; %) | Shli < 30% | Low | 0.042 | Meduim | 0.03 ** |
| High | 0.04 ** | ||||
| 30% ≤ Shli ≤ 60% | Medium | Low | 0.03 ** | ||
| High | 0.025 ** | ||||
| Shli > 60% | High | Low | 0.04 ** | ||
| Meduim | 0.025 ** | ||||
| Off-farm income (OFI; TND) | OFI < 1000 TND | Low | 0.022 | Meduim | 0.09 * |
| High | 0.05 ** | ||||
| 1000 ≤ OFI ≤ 2500 TND | Medium | Low | 0.09 * | ||
| High | 0.024 ** | ||||
| OFI> 2500 TND | High | Low | 0.05 ** | ||
| Meduim | 0.024 ** | ||||
| Rented area (RA; ha) 1 | RA ≤ 1 ha | Low | 0.022 | ||
| RA > 1 ha | Moderate | ||||
| Cost of livestock feed (CLF; DT/LSU/year) X | CLF < 600 | Low | 0.01 | Meduim | 0.098 * |
| High | 0.03 ** | ||||
| 600 ≤ CLF ≤ 1000 | Medium | Low | 0.098 * | ||
| High | 0.054 * | ||||
| CLF > 1000 | High | Low | 0.03 ** | ||
| Meduim | 0.054 * | ||||
| Livestock herds (LH; LSU/ha) | LH ≤ 1 | Low | 0.01 | ||
| LH > 1 | Moderate | ||||
| Area of crop residues grazed 2 (AG; ha) | AG < 15 ha | Low | 0.05 | Meduim | 0.002 ** |
| High | 0.015 *** | ||||
| 15 ≤ AG ≤ 30 | Medium | Low | 0.002 *** | ||
| High | 0.069 * | ||||
| AG > 30 ha | High | Low | 0.015 ** | ||
| Meduim | 0.069 * | ||||
| Total livestock (TL; LSU) | TL ≤ 5 | Low | 0.001 | Meduim | 0.05 ** |
| High | 0.001 *** | ||||
| 5 < TL ≤ 10 | Medium | Low | 0.09 * | ||
| High | 0.001 *** | ||||
| TL > 10 | High | Low | 0.09 * | ||
| Meduim | 0.05 ** | ||||
| Rangeland area (RGA; ha) | RGA < 5 ha | Low | 0.015 | Meduim | 0.09 * |
| High | 0.004 *** | ||||
| 5 ≤ RGA ≤ 10 ha | Medium | Low | 0.09 * | ||
| High | 0.096 * | ||||
| RGA > 10 ha | High | Low | 0.004 *** | ||
| Meduim | 0.09 * | ||||
| Barley area (BA; ha) | BA < 2 | Low | 0 | Meduim | 0.00 *** |
| High | 0.00 *** | ||||
| 2 ≤ BA ≤ 5 | Medium | Low | 0.00 *** | ||
| High | 0.00 *** | ||||
| BA > 5 | High | Low | 0.00 *** | ||
| Meduim | 0.00 *** | ||||
| Quantity of concentrate consumed (QC; kg/LSU/year) | QC < 200 | Low | 0.035 | Meduim | 0.09 * |
| High | 0.018 * | ||||
| 200 ≤ QC ≤400 | Medium | Low | 0.09 * | ||
| High | 0.079 * | ||||
| QC > 400 | High | Low | 0.018 ** | ||
| Meduim | 0.079 * | ||||
| Number of bales of straw (NBS; LSU/year) | NBS < 30 | Low | 0.018 | Meduim | 0.09 * |
| High | 0.005 *** | ||||
| 30 ≤ NBS ≤ 60 | Medium | Low | 0.09 * | ||
| High | 0.09 * | ||||
| NBS > 60 | High | Low | 0.005 *** | ||
| Meduim | 0.09 * | ||||
| Barley yield (BY; kg/ha) | BY < 400 | Low | 0.002 | Meduim | 0.09 * |
| High | 0.001 *** | ||||
| 400 ≤ BY ≤ 800 | Meduim | Low | 0.09 * | ||
| High | 0.014 ** | ||||
| BY > 800 | High | Low | 0.001 *** | ||
| Meduim | 0.014 ** | ||||
| Oat area (OA; ha) | OA ≤ 1 | Low | 0 | ||
| OA > 1 | Moderate | ||||
| Total area (TA; ha) | TA < 5 | Low | 0 | Meduim | 0.054 * |
| High | 0.00 *** | ||||
| 5 ≤ TA ≤ 10 | Medium | Low | 0.054 * | ||
| High | 0.0 *** | ||||
| TA > 10 | High | Low | 0.0 *** | ||
| Meduim | 0.0 *** | ||||
| S1 | S2 | S3 | S4 | |
|---|---|---|---|---|
| Condition 1: CR ≥ 500 kg/ha | X | X | X | X |
| Condition 2: Share of livestock income (Shli) | Shli < 30% | 30% ≤ Shli ≤ 60% | Shli > 60% |
Publisher’s Note: MDPI stays neutral with regard to jurisdictional claims in published maps and institutional affiliations. |
© 2021 by the authors. Licensee MDPI, Basel, Switzerland. This article is an open access article distributed under the terms and conditions of the Creative Commons Attribution (CC BY) license (https://creativecommons.org/licenses/by/4.0/).
Share and Cite
Ameur, W.; Frija, A.; Abdeladhim, M.A.; Thabet, C. Patterns of Use of Residue Biomass in Cereal–Sheep Production Systems of North Africa: Case of Tunisia. Agriculture 2021, 11, 612. https://doi.org/10.3390/agriculture11070612
Ameur W, Frija A, Abdeladhim MA, Thabet C. Patterns of Use of Residue Biomass in Cereal–Sheep Production Systems of North Africa: Case of Tunisia. Agriculture. 2021; 11(7):612. https://doi.org/10.3390/agriculture11070612
Chicago/Turabian StyleAmeur, Wafa, Aymen Frija, Mohamed Arbi Abdeladhim, and Chokri Thabet. 2021. "Patterns of Use of Residue Biomass in Cereal–Sheep Production Systems of North Africa: Case of Tunisia" Agriculture 11, no. 7: 612. https://doi.org/10.3390/agriculture11070612
APA StyleAmeur, W., Frija, A., Abdeladhim, M. A., & Thabet, C. (2021). Patterns of Use of Residue Biomass in Cereal–Sheep Production Systems of North Africa: Case of Tunisia. Agriculture, 11(7), 612. https://doi.org/10.3390/agriculture11070612

