Intercepted Photosynthetically Active Radiation (PAR) and Spatial and Temporal Distribution of Transmitted PAR under High-Density and Super High-Density Olive Orchards
Abstract
1. Introduction
- the PAR intercepted by the two systems (HD and SHD);
- the spatial distribution of transmitted PAR on the ground;
- the temporal variation during the day (class frequency distribution) of the transmitted PAR.
2. Materials and Methods
2.1. Experimental Site
2.2. Incident and Transmitted Photosynthetically Active Radiation (PAR) Measurements
2.3. Class Frequency Distribution of Transmitted PAR Values
2.4. Statistical Analyses
3. Results
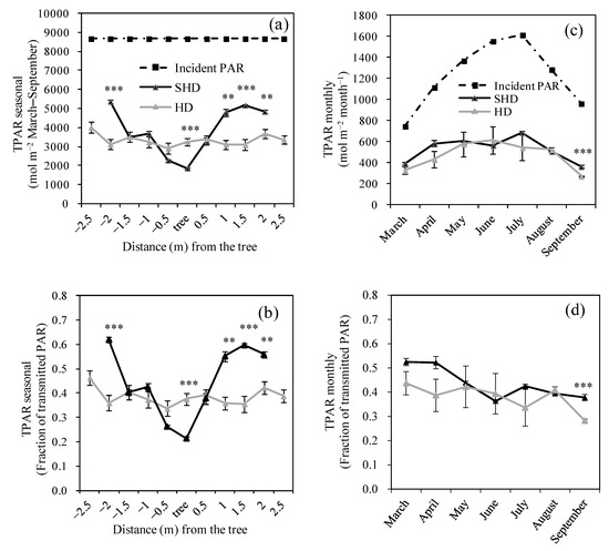
3.1. Spatial and Seasonal Patterns of Transmitted PAR
3.2. Class Frequency Distribution of Incident and Transmitted PAR Values
4. Discussion
4.1. Spatial distriButions of Transmitted PAR
4.2. Implications of Different Frequency Distributions of Transmitted PAR Values
5. Conclusions
Author Contributions
Funding
Institutional Review Board Statement
Acknowledgments
Conflicts of Interest
References
- Monteith, J.L. Light Interception and Radiative Exchange in Crop Stands. In ACSESS Publications; American Society of Agronomy; Crop Science Society of America: Madison, WI, USA, 1969; ISBN 978-0-89118-571-0. [Google Scholar]
- Fasheun, A.; Dennett, M.D. Interception of Radiation and Growth Efficiency in Field Beans (Vicia Faba L.). Agric. Meteorol. 1982, 26, 221–229. [Google Scholar] [CrossRef]
- Unsworth, M.H.; Lesser, V.M.; Heagle, A.S. Radiation Inteception and the Growth of Soybeans Exposed to Ozone in Open- Top Field Chambers. J. Appl. Ecol. 1984, 21, 1059–1079. [Google Scholar] [CrossRef]
- Hand, D.W.; Sweeney, D.G.; Hunt, R.; Wilson, J.W. Integrated Analysis of Growth and Light Interception in Winter Lettuce II. Differences between Cultivars. Ann. Bot. 1985, 56, 673–682. [Google Scholar] [CrossRef]
- Lakso, A.N. Environmental physiology of the apple. In Environmental Physiology of Fruit Crops. Vol 1. Temperate Crops; Schaffer, B., Andersen, P.C., Eds.; CRC Press: Boca Raton, FL, USA, 1994; pp. 3–42. [Google Scholar]
- Wünsche, J.N.; Lakso, A.N. The relationship between leaf area and light interception by spur and extension shoot leaves and apple orchard productivity. HortScience 2000, 35, 1202–1206. [Google Scholar] [CrossRef]
- Mariscal, M.J.; Orgaz, F.; Villalobos, F.J. Radiation-Use Efficiency and Dry Matter Partitioning of a Young Olive (Olea Europaea) Orchard. Tree Physiol. 2000, 20, 65–72. [Google Scholar] [CrossRef] [PubMed]
- Villalobos, F.J.; Testi, L.; Hidalgo, J.; Pastor, M.; Orgaz, F. Modelling Potential Growth and Yield of Olive (Olea Europaea L.) Canopies. Eur. J. Agron. 2006, 24, 296–303. [Google Scholar] [CrossRef]
- Monteith, J.L.; Moss, C.J.; Cooke, G.W.; Pirie, N.W.; Bell, G.D.H. Climate and the Efficiency of Crop Production in Britain. Philos. Trans. R. Soc. Lond. B Biol. Sci. 1977, 281, 277–294. [Google Scholar] [CrossRef]
- Ross, J. The Radiation Regime and Architecture of Plant Stands; Springer Science & Business Media: Berlin/Heidelberg, Germany, 1981. [Google Scholar]
- Mariscal, M.J.; Orgaz, F.; Villalobos, F.J. Modelling and Measurement of Radiation Interception by Olive Canopies. Agric. For. Meteorol. 2000, 100, 183–197. [Google Scholar] [CrossRef]
- Connor, D.J.; Fereres, E. The Physiology of Adaptation and Yield Expression in Olive. Hortic. Rev. 2005, 31, 155–229. [Google Scholar]
- Guillén-Climent, M.L.; Zarco-Tejada, P.J.; Villalobos, F.J. Estimating Radiation Interception in an Olive Orchard Using Physical Models and Multispectral Airborne Imagery. Isr. J. Plant Sci. 2012, 60, 107–121. [Google Scholar] [CrossRef]
- Connor, D.J.; Gómez-del-Campo, M.; Rousseaux, M.C.; Searles, P.S. Structure, Management and Productivity of Hedgerow Olive Orchards: A Review. Sci. Hortic. 2014, 169, 71–93. [Google Scholar] [CrossRef]
- Tous, J.; Romero, A.; Hermoso, J.F. New Trends in Olive Orchard Design for Continuous Mechanical Harvesting. Adv. Hortic. Sci. 2010, 43–52. [Google Scholar]
- Proietti, P.; Nasini, L.; Ilarioni, L. Photosynthetic Behavior of Spanish Arbequina and Italian Maurino Olive (Olea Europaea L.) Cultivars under Super-Intensive Grove Conditions. Photosynthetica 2012, 50, 239–246. [Google Scholar] [CrossRef]
- Pastor, M.; García-Vila, M.; Soriano, M.A.; Vega, V.; Fereres, V. Productivity of Olive Orchards in Response to Tree Density. J. Hortic. Sci. Biotechnol. 2007, 82, 555–562. [Google Scholar] [CrossRef]
- Cherbiy-Hoffmann, S.U.; Searles, P.S.; Hall, A.J.; Rousseaux, M.C. Influence of Light Environment on Yield Determinants and Components in Large Olive Hedgerows Following Mechanical Pruning in the Subtropics of the Southern Hemisphere. Sci. Hortic. 2012, 137, 36–42. [Google Scholar] [CrossRef]
- Gregoriou, K.; Pontikis, K.; Vemmos, S. Effects of Reduced Irradiance on Leaf Morphology, Photosynthetic Capacity, and Fruit Yield in Olive (Olea Europaea L.). Photosynthetica 2007, 45, 172–181. [Google Scholar] [CrossRef]
- Proietti, P. Effect of Fruiting on Leaf Gas Exchange in Olive (Olea Europaea L.). Photosynthetica 2000, 38, 397–402. [Google Scholar] [CrossRef]
- Tombesi, A.; Boco, M.; Pilli, M. Influence of light exposure on olive fruit growth and composition. Acta Hortic. 1999, 255–260. [Google Scholar] [CrossRef]
- Proietti, P.; Tombesi, A.; Boco, M. Influence of leaf shading and defoliation on oil synthesis and growth of olive fruits. Acta Hortic. 1994, 272–277. [Google Scholar] [CrossRef]
- Cherbiy-Hoffmann, S.U.; Hall, A.J.; Rousseaux, M.C. Fruit, Yield, and Vegetative Growth Responses to Photosynthetically Active Radiation during Oil Synthesis in Olive Trees. Sci. Hortic. 2013, 150, 110–116. [Google Scholar] [CrossRef]
- Connor, D.J.; Gómez-del-Campo, M.; Trentacoste, E.R. Relationships between Olive Yield Components and Simulated Irradiance within Hedgerows of Various Row Orientations and Spacings. Sci. Hortic. 2016, 198, 12–20. [Google Scholar] [CrossRef]
- Connor, D.J.; Centeno, A.; Gómez-del-Campo, M. Yield Determination in Olive Hedgerow Orchards. II. Analysis of Radiation and Fruiting Profiles. Crop Pasture Sci. 2009, 60, 443–452. [Google Scholar] [CrossRef]
- Connor, D.J. Towards Optimal Designs for Hedgerow Olive Orchards. Aust. J. Agric. Res. 2006, 57, 1067. [Google Scholar] [CrossRef]
- Connor, D.J.; Gómez-del-Campo, M.; Comas, J. Yield Characteristics of N–S Oriented Olive Hedgerow Orchards, Cv. Arbequina. Sci. Hortic. 2012, 133, 31–36. [Google Scholar] [CrossRef]
- Trentacoste, E.R. Olive Fruit Growth, Tissue Development and Composition as Affected by Irradiance Received in Different Hedgerow Positions and Orientations. Sci. Hortic. 2016, 198, 284–293. [Google Scholar] [CrossRef]
- Larbi, A.; Vázquez, S.; El-Jendoubi, H.; Msallem, M.; Abadía, J.; Abadía, A.; Morales, F. Canopy Light Heterogeneity Drives Leaf Anatomical, Eco-Physiological, and Photosynthetic Changes in Olive Trees Grown in a High-Density Plantation. Photosynth. Res. 2015, 123, 141–155. [Google Scholar] [CrossRef]
- Proietti, P.; Palliotti, A. Contribution of the Adaxial and Abaxial Surfaces of Olive Leaves to Photosynthesis. Photosynthetica 1997, 33, 63–69. [Google Scholar] [CrossRef]
- Jackson, J.E. Utilization of light resources by HDP systems, In Symposium on High Density Planting 65. Acta Hortic. 1978, 65, 61–70. [Google Scholar] [CrossRef]
- Faust, M. Physiology of Temperate Zone Fruit Trees; John Wiley & Sons, Inc.: Hoboken, NJ, USA, 1989. [Google Scholar]
- Jackson, J.E.; Palmer, J.W. A computer model study of light interception by orchards in relation to mechanised harvesting and management. Sci. Hortic. 1980, 13, 1–7. [Google Scholar] [CrossRef]
- Casanova-Gascón, J.; Figueras-Panillo, M.; Iglesias-Castellarnau, I.; Martín-Ramos, P. Comparison of SHD and open-center training systems in Almond Tree Orchards cv.‘Soleta’. Agronomy 2019, 9, 874. [Google Scholar] [CrossRef]
- Hirose, T.; Bazzaz, F.A. Trade-off Between Light- and Nitrogen-Use Efficiency in Canopy Photosynthesis. Ann. Bot. 1998, 82, 195–202. [Google Scholar] [CrossRef][Green Version]
- Rosati, A.; Dejong, T.M. Estimating Photosynthetic Radiation Use Efficiency Using Incident Light and Photosynthesis of Individual Leaves. Ann. Bot. 2003, 91, 869–877. [Google Scholar] [CrossRef]
- Rosati, A.; Wolz, K.J.; Murphy, L.; Ponti, L.; Jose, S. Modeling Light below Tree Canopies Overestimates Net Photosynthesis and Radiation Use Efficiency in Understory Crops by Averaging Light in Space and Time. Agric. For. Meteorol. 2020, 284, 107892. [Google Scholar] [CrossRef]
- De Witt, C.T. Photosynthesis of Leaf Canopies; Centre for Agricultural Publishing and Documentation: Wageningen, The Netherlands, 1965. [Google Scholar]
- Charles-Edwards, D.A. Physiological Determinants of Crop Growth; Academic Press: London, UK, 1982; Volume 1. [Google Scholar]
- Kull, O.; Jarvis, P.G. The Role of Nitrogen in a Simple Scheme to Scale up Photosynthesis from Leaf to Canopy. Plant Cell Environ. 1995, 18, 1174–1182. [Google Scholar] [CrossRef]
- Rosati, A.; Metcalf, S.G.; Lampinen, B.D. A Simple Method to Estimate Photosynthetic Radiation Use Efficiency of Canopies. Ann. Bot. 2004, 93, 567–574. [Google Scholar] [CrossRef] [PubMed][Green Version]
- Trentacoste, E.R.; Connor, D.J.; Gómez-del-Campo, M. Effect of Olive Hedgerow Orientation on Vegetative Growth, Fruit Characteristics and Productivity. Sci. Hortic. 2015, 192, 60–69. [Google Scholar] [CrossRef]
- Trentacoste, E.R.; Connor, D.J.; Gómez-del-Campo, M. Effect of Row Spacing on Vegetative Structure, Fruit Characteristics and Oil Productivity of N–S and E–W Oriented Olive Hedgerows. Sci. Hortic. 2015, 193, 240–248. [Google Scholar] [CrossRef]
- Gucci, R.; Minchin, P.E.H. Translocation of Newly-Assimilated Carbon in the Vegetative Shoot of Olive. Acta Hort. 2000, 586, 461–463. [Google Scholar] [CrossRef]
- Tombesi, A.; Proietti, P. Translocation of Assimilates and Source-Sink Influences on Productive Characteristics of the Olive Tree. Translocat. Assim. Source-Sink Influ. Product. Charact. Olive Tree 1996, 1000–1004. Available online: https://www.torrossa.com/en/resources/an/2209200 (accessed on 10 February 2021).
- Suarez, M.P.; Rallo, L. Seasonal Distribution of Dry Matter within the Olive Fruitbearing Limb. Seas. Distrib. Dry Matter Olive Fruitbearing Limb 1989, 1000–1005. [Google Scholar] [CrossRef]
- Márquez, J.A.; Benlloch, M.; Rallo, L. Seasonal Changes of Glucose, Potassium and Rubidium in ‘Gordal Sevillana’Olive in Relation to Fruitfulness. Acta Horticult. 1990, 286, 191–194. [Google Scholar] [CrossRef]








| Data Subset | PAR Class | |||||||||||
|---|---|---|---|---|---|---|---|---|---|---|---|---|
| HD Cloudy | 0–50 | 50–200 | 200–400 | 400–600 | 600–800 | 800–1000 | 1000–1200 | 1200–1400 | 1400–1600 | 1600–1800 | >1800 | |
| p level | * | *** | ns | *** | *** | *** | *** | *** | ns | *** | *** | |
| Alley center | ab | b | a | a | a | a | a | a | a | a | a | |
| − | 2 m | b | b | a | a | a | a | a | a | a | a | a |
| − | 1.5 m | b | b | a | a | a | a | a | a | a | a | a |
| − | 1 m | b | b | a | a | a | a | a | a | a | a | a |
| − | 0.5 m | b | b | a | a | a | a | a | a | a | a | a |
| Tree | b | b | a | a | a | a | a | a | a | a | a | |
| Incident PAR | a | a | a | b | b | b | b | b | a | b | b | |
| SHD Cloudy | 0–50 | 50–200 | 200–400 | 400–600 | 600–800 | 800–1000 | 1000–1200 | 1200–1400 | 1400–1600 | 1600–1800 | >1800 | |
| p level | ** | *** | *** | * | * | ** | ns | ** | * | ns | *** | |
| Alley center | a | a | c | b | b | c | a | b | ab | a | c | |
| − | 1.5 m | b | a | c | ab | a | b | a | a | b | a | a |
| − | 1 m | b | a | c | ab | a | ab | a | a | a | a | b |
| − | 0.5 m | b | b | b | a | a | a | a | a | a | a | a |
| Tree | c | b | a | a | a | a | a | a | a | a | a | |
| HD Sunny | 0–50 | 50–200 | 200–400 | 400–600 | 600–800 | 800–1000 | 1000–1200 | 1200–1400 | 1400–1600 | 1600–1800 | >1800 | |
| p level | *** | * | * | ns | ns | ns | ns | ns | ns | *** | *** | |
| Alley center | b | b | b | a | a | a | a | a | a | a | a | |
| − | 2 m | b | b | b | a | a | a | a | a | a | a | a |
| − | 1.5 m | b | b | b | a | a | a | a | a | a | a | a |
| − | 1 m | b | b | b | a | a | a | a | a | a | a | a |
| − | 0.5 m | b | b | b | a | a | a | a | a | a | a | a |
| Tree | b | b | b | a | a | a | a | a | a | a | a | |
| Incident PAR | a | a | a | a | a | a | a | a | a | b | b | |
| SHD Cloudy | 0–50 | 50–200 | 200–400 | 400–600 | 600–800 | 800–1000 | 1000–1200 | 1200–1400 | 1400–1600 | 1600–1800 | >1800 | |
| p level | *** | *** | ns | ** | ** | *** | ns | * | ** | ** | *** | |
| Alley center | ab | b | a | a | ab | ab | ab | ab | ab | ab | b | |
| − | 1.5 m | b | bc | a | a | a | a | ab | ab | b | a | a |
| − | 1 m | b | bc | a | a | ab | a | a | ab | ab | ab | a |
| − | 0.5 m | b | c | a | ab | bc | bc | ab | ab | ab | a | a |
| Tree | b | c | a | ab | bc | bc | ab | a | a | a | a | |
| Incident PAR | a | a | a | b | c | c | b | b | b | b | b | |
Publisher’s Note: MDPI stays neutral with regard to jurisdictional claims in published maps and institutional affiliations. |
© 2021 by the authors. Licensee MDPI, Basel, Switzerland. This article is an open access article distributed under the terms and conditions of the Creative Commons Attribution (CC BY) license (https://creativecommons.org/licenses/by/4.0/).
Share and Cite
Rosati, A.; Marchionni, D.; Mantovani, D.; Ponti, L.; Famiani, F. Intercepted Photosynthetically Active Radiation (PAR) and Spatial and Temporal Distribution of Transmitted PAR under High-Density and Super High-Density Olive Orchards. Agriculture 2021, 11, 351. https://doi.org/10.3390/agriculture11040351
Rosati A, Marchionni D, Mantovani D, Ponti L, Famiani F. Intercepted Photosynthetically Active Radiation (PAR) and Spatial and Temporal Distribution of Transmitted PAR under High-Density and Super High-Density Olive Orchards. Agriculture. 2021; 11(4):351. https://doi.org/10.3390/agriculture11040351
Chicago/Turabian StyleRosati, Adolfo, Damiano Marchionni, Dario Mantovani, Luigi Ponti, and Franco Famiani. 2021. "Intercepted Photosynthetically Active Radiation (PAR) and Spatial and Temporal Distribution of Transmitted PAR under High-Density and Super High-Density Olive Orchards" Agriculture 11, no. 4: 351. https://doi.org/10.3390/agriculture11040351
APA StyleRosati, A., Marchionni, D., Mantovani, D., Ponti, L., & Famiani, F. (2021). Intercepted Photosynthetically Active Radiation (PAR) and Spatial and Temporal Distribution of Transmitted PAR under High-Density and Super High-Density Olive Orchards. Agriculture, 11(4), 351. https://doi.org/10.3390/agriculture11040351

