The Role of Cooperatives in Brazilian Agricultural Production
Abstract
:1. Introduction
2. Materials and Methods
2.1. Empirical Strategy
2.1.1. Generalized Propensity Score
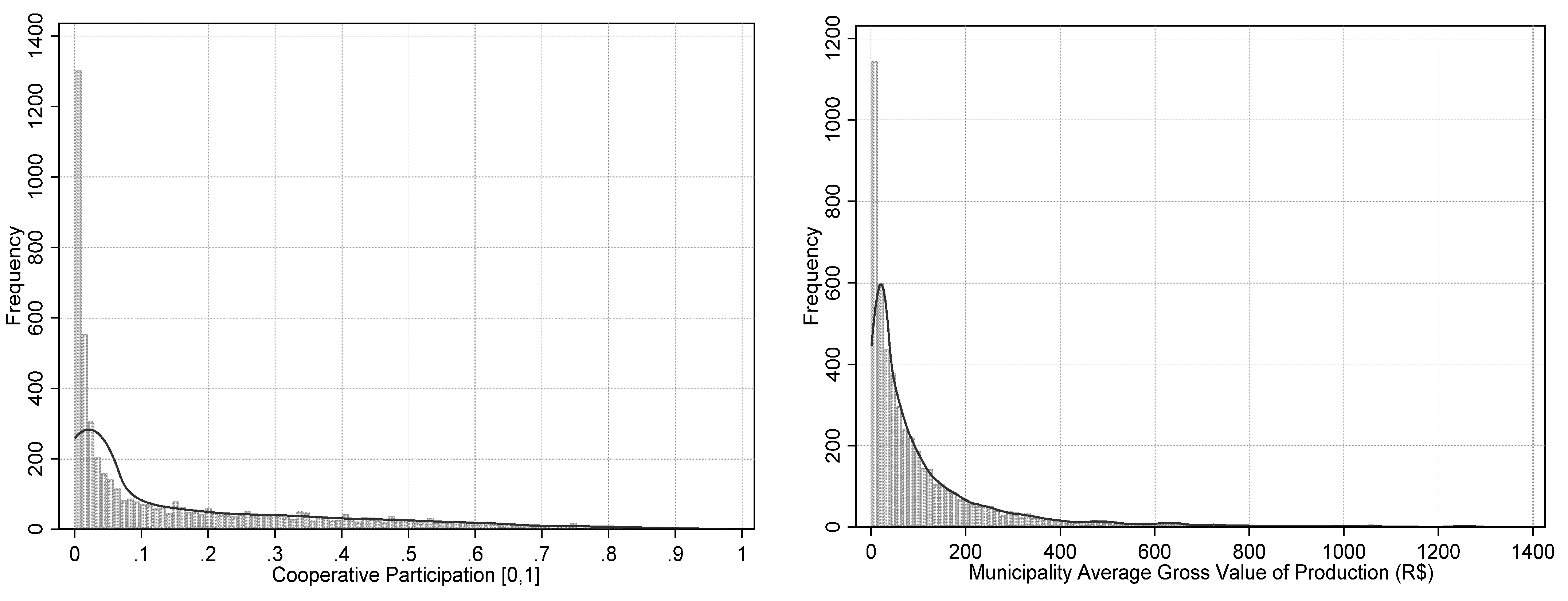
2.1.2. Data
3. Results and Discussion
3.1. Cooperative Membership in the 2017 Agricultural Census
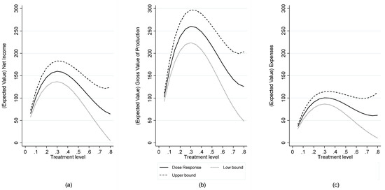
3.2. Econometric Results
4. Conclusions
Author Contributions
Funding
Institutional Review Board Statement
Informed Consent Statement
Acknowledgments
Conflicts of Interest
Appendix A
| Interval 1 | Interval 2 | Interval 3 | Interval 4 | |||||
|---|---|---|---|---|---|---|---|---|
| Mean Difference | t-Value | Mean Difference | t-Value | Mean Difference | t-Value | Mean Difference | t-Value | |
| Capital | 0.751 | 3.753 | 0.415 | 2.269 | −0.250 | −1.842 | −0.764 | −2.277 |
| Other Investments ($) | 45.439 | 3.846 | 30.718 | 2.842 | −51.770 | −6.157 | −20.581 | −1.176 |
| Land used (ha) | 7644.200 | 4.449 | 1804.300 | 1.196 | −2811.300 | −1.730 | 3330.300 | 0.911 |
| Labor (Age >14 years old) | 215.360 | 2.354 | 149.100 | 1.721 | 264.760 | 2.808 | 1062.100 | 4.757 |
| Landowner | 0.028 | 4.825 | 0.005 | 1.001 | −0.006 | −1.104 | −0.049 | −4.132 |
| Literate | 0.107 | 38.464 | 0.034 | 7.106 | −0.063 | −15.909 | −0.121 | −10.030 |
| College degree or higher | 0.037 | 10.886 | 0.001 | 0.376 | −0.027 | −11.625 | −0.012 | −2.189 |
| Experience | −0.002 | −4.733 | −0.0002 | −0.499 | 0.002 | 3.833 | 0.005 | 4.874 |
| Governmental Extension | 0.020 | 3.531 | 0.001 | 0.240 | 0.011 | 2.807 | −0.070 | −7.712 |
| Private Extension | 0.129 | 17.736 | 0.074 | 11.748 | −0.012 | −2.183 | −0.106 | −12.485 |
| Credit | 0.058 | 13.330 | 0.047 | 12.343 | −0.009 | −2.515 | −0.047 | −7.484 |
| North | −0.010 | −1.245 | −0.013 | −1.965 | −0.024 | −2.499 | 0.081 | 3.523 |
| Midwest | 0.032 | 2.504 | −0.041 | −4.088 | −0.063 | −7.132 | 0.027 | 1.200 |
| Southeast | 0.062 | 3.158 | 0.002 | 0.099 | −0.181 | −13.044 | 0.015 | 0.427 |
| Northeast | −0.293 | −33.780 | −0.055 | −4.455 | 0.200 | 15.918 | 0.289 | 7.941 |
| 0–5 ha | −0.017 | −4.092 | −0.006 | −1.329 | 0.017 | 3.522 | 0.018 | 1.600 |
| 5–20 ha | −0.050 | −3.229 | −0.058 | −4.036 | 0.135 | 9.732 | −0.062 | −1.912 |
| 20–100 ha | 0.019 | 0.931 | 0.030 | 1.631 | −0.037 | −2.197 | 0.002 | 0.062 |
| 100–500 ha | 0.039 | 2.219 | 0.039 | 2.523 | −0.104 | −7.693 | 0.029 | 0.954 |
| Variables | Av. Mun. Net Income | Av. Mun. Gross Value of Production | Av. Mun. Agricultural Expenses |
|---|---|---|---|
| MSCM | 814.31 *** | 1386.25 *** | 571.94 *** |
| (90.1) | (120.53) | (65.05) | |
| Squared MSCM | −1979.42 *** | −3346.27 *** | −1366.85 *** |
| (286.15) | (382.81) | (206.59) | |
| Cubic MSCM | 1176.76 *** | 2044.54 *** | 867.78 *** |
| (248.73) | (332.75) | (179.57) | |
| GPS | −732.09 *** | −948.79 *** | −216.7 |
| (264.94) | (354.44) | (191.28) | |
| Squared GPS | 2801.36 ** | 3668.12 ** | 866.76 |
| (1160.11) | (1552) | (837.57) | |
| Cubic GPS | −3135.1 ** | −4089.49 ** | −954.39 |
| (1461.54) | (1955.26) | (1055.2) | |
| Interaction MSCM—GPS | 413.21 *** | 728.88 *** | 315.67 *** |
| (110.36) | (147.65) | (79.68) | |
| Constant | 70.66 *** | 90.08 *** | 19.42 |
| (17.49) | (23.4) | (12.63) |
References
- Chaddad, F. The Economics and Organization of Brazilian Agriculture, 1st ed.; Elsevier: London, UK, 2016; ISBN 9780128016954. [Google Scholar]
- Barros, G.S.C. Agriculture, industry and the economy: From extensive farming to a global agro-food power. In Agricultural Development in Brazil: The Rise of a Global Agro-Food Power; Series: Routledge Studies in Agricultural Economics, 2019; Buainain, A.M., Lanna, R., Navarro, Z., Eds.; Routledge: New York, NY, USA, 2019; pp. 12–29. ISBN 9781351029742. [Google Scholar]
- Jayne, T.S.; Zulu, B.; Nijhoff, J.J. Stabilizing Food Markets in Eastern and Southern Africa. Food Policy 2006, 31, 328–341. [Google Scholar] [CrossRef]
- Zeuli, K.A.; Radel, J. Cooperatives as a Community Development Strategy: Linking Theory and Practice. J. Reg. Anal. Policy 2005, 35, 43–54. [Google Scholar]
- Bernard, T.; Taffesse, A.S.; Gabre-Madhin, E. Impact of Cooperatives on Smallholders’ Commercialization Behavior: Evidence from Ethiopia. Agric. Econ. 2008, 39, 147–161. [Google Scholar] [CrossRef]
- Fischer, E.; Qaim, M. Linking Smallholders to Markets: Determinants and Impacts of Farmer Collective Action in Kenya. World Dev. 2012, 40, 1255–1268. [Google Scholar] [CrossRef] [Green Version]
- Bizikova, L.; Nkonya, E.; Minah, M.; Hanisch, M.; Turaga, R.M.R.; Speranza, C.I.; Karthikeyan, M.; Tang, L.; Ghezzi-Kopel, K.; Kelly, J.; et al. A Scoping Review of the Contributions of Farmers’ Organizations to Smallholder Agriculture. Nat. Food 2020, 1, 620–630. [Google Scholar] [CrossRef]
- Batzios, A.; Kontogeorgos, A.; Chatzitheodoridis, F.; Sergaki, P. What Makes Producers Participate in Marketing Cooperatives? The Northern Greece Case. Sustainability 2021, 13, 1676. [Google Scholar] [CrossRef]
- Olagunju, K.O.; Ogunniyi, A.I.; Oyetunde-Usman, Z.; Omotayo, A.O.; Awotide, B.A. Does Agricultural Cooperative Membership Impact Technical Efficiency of Maize Production in Nigeria: An Analysis Correcting for Biases from Observed and Unobserved Attributes. PLoS ONE 2021, 16, e0245426. [Google Scholar] [CrossRef]
- Merrett, C.D.; Walzer, N. A Cooperative Approach to Local Economic Development, 1st ed.; Quorum Books: Westport, CT, USA, 2001; ISBN 9781567203950. [Google Scholar]
- Zhang, J.; Goddard, E.; Lerohl, M. Estimating Pricing Games in the Wheat-handling Market in Saskatchewan: The Role of a Major Cooperative. In Cooperative Firms in Global Markets; Novkovic, S., Sena, V., Eds.; Emerald Group Publishing Limited: West Yorkshire, UK, 2007; ISBN 9780762313891. [Google Scholar]
- Valentinov, V. Why Are Cooperatives Important in Agriculture? An Organizational Economics Perspective. J. Inst. Econ. 2007, 3, 55–69. [Google Scholar] [CrossRef]
- Verhofstadt, E.; Maertens, M. Can Agricultural Cooperatives Reduce Poverty? Heterogeneous Impact of Cooperative Membership on Farmers’ Welfare in Rwanda. Appl. Econ. Perspect. Policy 2015, 37, 86–106. [Google Scholar] [CrossRef] [Green Version]
- Cechin, A. Cooperativas brasileiras nos mercados agroalimentares contemporâneos. In O Mundo Rural no Brasil do Século 21: A Formação de um Novo Padrão Agrário e Agrícola; Buainain, A.M., Alves, E., da Silveira, J.M., Navarro, Z., Eds.; Embrapa: Brasília, Brazil, 2014; pp. 479–507. [Google Scholar]
- Herrera, G.P.; Lourival, R.; da Costa, R.B.; Mendes, D.R.F.; Moreira, T.B.S.; de Abreu, U.G.P.; Constantino, M. Econometric Analysis of Income, Productivity and Diversification among Smallholders in Brazil. Land Use Policy 2018, 76, 455–459. [Google Scholar] [CrossRef]
- Ma, W.; Abdulai, A.; Goetz, R. Agricultural Cooperatives and Investment in Organic Soil Amendments and Chemical Fertilizer in China. Am. J. Agric. Econ. 2018, 100, 502–520. [Google Scholar] [CrossRef]
- Zhang, S.; Sun, Z.; Ma, W.; Valentinov, V. The Effect of Cooperative Membership on Agricultural Technology Adoption in Sichuan, China. China Econ. Rev. 2020, 62, 101334. [Google Scholar] [CrossRef]
- IBGE. Instituto Brasileiro de Geografia e Estatística. Microdados da Pesquisa Nacional por Amostra de Domicílios (PNAD). Available online: https://www.ibge.gov.br/estatisticas/sociais/populacao/9127-pesquisa-nacional-por-amostra-de-domicilios.html?edicao=9451&t=downloads (accessed on 22 May 2021).
- IBGE. Instituto Brasileiro de Geografia e Estatística. SIDRA - Sistema IBGE de Recuperação Automática: Censo Agropecuário. 2017. Available online: https://sidra.ibge.gov.br/pesquisa/censo-agropecuario/censo-agropecuario-2017 (accessed on 22 April 2020).
- Homma, A.K.O.; Lima, J.R.F.; Vieira, P.A. Structural heterogeneity in rural Brazil: Three regional cases. In Agricultural Development in Brazil: The Rise of a Global Agro-Food Power; Buainain, A.M., Lanna, R., Navarro, Z., Eds.; Routledge: New York, NY, USA, 2019; pp. 189–207. [Google Scholar]
- Neves, M.C.R.; Castro, L.S.; Freitas, C.O. Cooperatives and Brazilian Agricultural Production: A Spatial Analysis. In Proceedings of the 46th Brazilian Economics Meeting, Rio de Janeiro, Brazil, 11–14 December 2018. ANPEC—Associação Nacional dos Centros de Pós-graduação em Economia [Brazilian Association of Post-Graduate Programs in Economics]. [Google Scholar]
- Cazzuffi, C. Small Scale Farmers in the Market and the Role of Processing and Marketing Cooperatives: A Case Study of Italian Dairy Farmers. Ph.D. Thesis, University of Sussex, Brighton, UK, 2012. [Google Scholar]
- Jardine, S.L.; Lin, C.Y.C.; Sanchirico, J.N. Measuring Benefits from a Marketing Cooperative in the Copper River Fishery. Am. J. Agric. Econ. 2014, 96, 1084–1101. [Google Scholar] [CrossRef]
- Ortega, D.L.; Bro, A.S.; Clay, D.C.; Lopez, M.C.; Tuyisenge, E.; Church, R.A.; Bizoza, A.R. Cooperative Membership and Coffee Productivity in Rwanda’s Specialty Coffee Sector. Food Secur. 2019, 11, 967–979. [Google Scholar] [CrossRef]
- Kumse, K.; Suzuki, N.; Sato, T.; Demont, M. The Spillover Effect of Direct Competition between Marketing Cooperatives and Private Intermediaries: Evidence from the Thai Rice Value Chain. Food Policy 2021, 101, 102051. [Google Scholar] [CrossRef]
- Helfand, S.; Levine, E. Farm Size and the Determinants of Productive Efficiency in the Brazilian Center-West. Agric. Econ. 2004, 31, 241–249. [Google Scholar] [CrossRef]
- Wollni, M.; Brümmer, B. Productive Efficiency of Specialty and Conventional Coffee Farmers in Costa Rica: Accounting for Technological Heterogeneity and Self-Selection. Food Policy 2012, 37, 67–76. [Google Scholar] [CrossRef] [Green Version]
- Costa, R.A.; Vizcaino, C.A.C.; Costa, E.M. Participação em Cooperativas e Eficiência Técnica entre Agricultores Familiares no Brasil. In Uma Jornada Pelos Contrastes do Brasil: Cem anos de Censo Agropecuário; Vieira Filho, J.E.R., Gasques, J.G., Eds.; IPEA: Brasília, Brazil, 2020; pp. 243–255. ISBN 9786556350110. [Google Scholar]
- Neves, M.D.C.R.; Castro, L.S.D.; Freitas, C.O.D. O Impacto das Cooperativas na Produção Agropecuária Brasileira: Uma Análise Econométrica Espacial. Rev. Econ. Sociol. Rural. 2019, 57, 559–576. [Google Scholar] [CrossRef]
- OCB. Organização das Cooperativas Brasileiras. Anuário do Cooperativismo Brasileiro 2020; OCB: Hochiminh City, Vietnam, 2020. [Google Scholar]
- Imbens, G. The Role of the Propensity Score in Estimating Dose-Response Functions; Biometrika: Cambridge, MA, USA, 1999. [Google Scholar]
- Hirano, K.; Imbens, G.W. The Propensity Score with Continuous Treatments. In Applied Bayesian Modeling and Causal Inference from Incomplete-Data Perspectives; John Wiley & Sons: Hoboken, NJ, USA, 2004. [Google Scholar]
- Rosenbaum, P.R.; Rubin, D.B. The Central Role of the Propensity Score in Observational Studies for Causal Effects. Biometrika 1983, 70, 41–55. [Google Scholar] [CrossRef]
- Helfand, S.M.; Magalhães, M.M.; Rada, N.E. Brazil’s Agricultural Total Factor Productivity Growth by Farm Size; IDB Working Paper Series; Inter-American Development Bank: Washington, DC, USA, 2015. [Google Scholar]
- Buainain, A.M.; Gonzáles, M.G.; Souza Filho, H.M.; Vieira, A.C.P. Alternativas de Financiamento Agropecuário: Experiências no Brasil e na América Latina; Buainain, A.M., Gonzáles, M.G., Eds.; IICA: Brasília, Brazil, 2007. [Google Scholar]
- de Araújo, M.L.S.; Sano, E.E.; Bolfe, E.L.; Santos, J.R.N.; dos Santos, J.S.; Silva, F.B. Spatiotemporal Dynamics of Soybean Crop in the Matopiba Region, Brazil (1990–2015). Land Use Policy 2019, 80, 57–67. [Google Scholar] [CrossRef]
- Silva, L.D.J.D.S.; Pinheiro, J.O.C.; Dos Santos, E.M.; Da Costa, J.I.; Meneghetti, G.A. O Cooperativismo Como Instrumento Para a Autonomia de Comunidades Rurais da Amazônia: A Experiência dos Agricultores Extrativistas do Municipio de Lábrea, AM. Boletín Asoc. Int. Derecho Coop. 2019, 55, 199–226. [Google Scholar] [CrossRef] [Green Version]
- Futemma, C.; de Castro, F.; Brondizio, E.S. Farmers and Social Innovations in Rural Development: Collaborative Arrangements in Eastern Brazilian Amazon. Land Use Policy 2020, 99, 104999. [Google Scholar] [CrossRef]
- Alves, E.; Souza, G.D.S.; Rocha, D.D.P. Lucratividade da Agricultura. Rev. Política Agrícola 2012, 21, 45–63. [Google Scholar]
- Helfand, S.M.; Rada, N.E.; Magalhães, M.M. L’agriculture Brésilienne: S’agit-Il Uniquement de Grandes Exploitations? EuroChoices 2017, 16, 17–22. [Google Scholar] [CrossRef]
- Gasques, J.G.; Bacchi, M.R.P.; Bastos, E.T. Nota Técnica IV-Crescimento e Produtividade da Agricultura Brasileira de 1975 a 2016. Carta Conjunt. 2018, 1–9. [Google Scholar]
- Rada, N.; Helfand, S.; Magalhães, M. Agricultural Productivity Growth in Brazil: Large and Small Farms Excel. Food Policy 2019, 84, 176–185. [Google Scholar] [CrossRef]
- Bia, M.; Mattei, A. A Stata Package for the Estimation of the Dose-Response Function through Adjustment for the Generalized Propensity Score. Stata J. Promot. Commun. Stat. Stata 2008, 8, 354–373. [Google Scholar] [CrossRef] [Green Version]
- Iliopoulos, C.; Cook, M.L. The Efficiency of Internal Resource Allocation Decisions in Customer-Owned Firms: The Influence Costs Problem. In Proceedings of the Annals of 3rd Annual Conference of the International Society for New Institutional Economics, Washington, DC, USA, 16–18 September 1999. [Google Scholar]
- Cechin, A.; Bijman, J.; Pascucci, S.; Zylbersztajn, D.; Omta, O. Drivers of Pro-Active Member Participation in Agricultural Cooperatives: Evidence from Brazil. Ann. Public Coop. Econ. 2013, 84, 443–468. [Google Scholar] [CrossRef]
- Bernard, T.; Spielman, D.J. Reaching the Rural Poor through Rural Producer Organizations? A Study of Agricultural Marketing Cooperatives in Ethiopia. Food Policy 2009, 34, 60–69. [Google Scholar] [CrossRef]
- Abate, G.T. Drivers of Agricultural Cooperative Formation and Farmers’ Membership and Patronage Decisions in Ethiopia. J. Co-Oper. Organ. Manag. 2018, 6, 53–63. [Google Scholar] [CrossRef]
- de Freitas, C.O.; Silva, F.D.F.; Braga, M.J.; Neves, M.D.C.R. Rural Extension and Technical Efficiency in the Brazilian Agricultural Sector. Int. Food Agribus. Manag. Rev. 2021, 24, 215–232. [Google Scholar] [CrossRef]
- Costa, B.A.L.; Junior, P.C.G.A.; Da Silva, M.G. As Cooperativas de Agricultura Familiar e o Mercado de Compras Governamentais Em Minas Gerais. Rev. Econ. Sociol. Rural. 2015, 53, 109–126. [Google Scholar] [CrossRef] [Green Version]
- Rios, G.S.L. Pré-cooperativismo: Etapa queimada. In A Problemática Cooperativista no Desenvolvimento Econômico; Uwe, J., Ed.; Fundação Friedrich Naumann: São Paulo, Brazil, 1973; pp. 315–347. [Google Scholar]
- Silva, E.S.; Salomão, I.L.; McIntyre, J.P.; Guerreiro, J.; Pires, M.L.L.S.; Albuquerque, P.P.; Bergonsi, S.; Vaz, S.C. Panorama do Cooperativismo Brasileiro: História, Cenários e Tendências. Rev. uniRcoop 2003, 1, 75–102. [Google Scholar]
- Höhler, J.; Kühl, R. Dimensions of member heterogeneity in cooperatives and their impact on organization—A literature review. Ann. Public Coop. Econ. 2018, 89, 697–712. [Google Scholar] [CrossRef]
- Wiggins, S.; Kirsten, J.; Llambí, L. The Future of Small Farms. World Dev. 2010, 38, 1341–1348. [Google Scholar] [CrossRef]
- Wossen, T.; Abdoulaye, T.; Alene, A.; Haile, M.G.; Feleke, S.; Olanrewaju, A.; Manyong, V. Impacts of Extension Access and Cooperative Membership on Technology Adoption and Household Welfare. J. Rural. Stud. 2017, 54, 223–233. [Google Scholar] [CrossRef] [PubMed]
- Hoken, H.; Su, Q. Measuring the Effect of Agricultural Cooperatives on Household Income: Case Study of a Rice-Producing Cooperative in China. Agribusiness 2018, 34, 831–846. [Google Scholar] [CrossRef]
- Liu, Y.; Ma, W.; Renwick, A.; Fu, X. The Role of Agricultural Cooperatives in Serving as a Marketing Channel: Evidence from Low-Income Regions of Sichuan Province in China. Int. Food Agribus. Manag. Rev. 2019, 22, 265–282. [Google Scholar] [CrossRef]
- Kumar, A.; Saroj, S.; Joshi, P.K.; Takeshima, H. Does Cooperative Membership Improve Household Welfare? Evidence from a Panel Data Analysis of Smallholder Dairy Farmers in Bihar, India. Food Policy 2018, 75, 24–36. [Google Scholar] [CrossRef] [Green Version]
- Michalek, J.; Ciaian, P.; Pokrivcak, J. The Impact of Producer Organizations on Farm Performance: The Case Study of Large Farms from Slovakia☆. Food Policy 2018, 75, 80–92. [Google Scholar] [CrossRef]
- Giannakas, K.; Fulton, M. Process Innovation Activity in a Mixed Oligopoly: The Role of Cooperatives. Am. J. Agric. Econ. 2005, 87, 406–422. [Google Scholar] [CrossRef]
- BNDES. Banco Nacional de Desenvolvimento Econômico e Social. PROCAP-Agro. Available online: https://www.bndes.gov.br/wps/portal/site/home/financiamento/produto/procap-agro (accessed on 3 February 2021).
- MAPA. Ministério da Agricultura, Pecuária e Abastecimento. Programa Brasil Mais Cooperativo. Available online: https://www.gov.br/agricultura/pt-br/assuntos/agricultura-familiar/brasil-mais-cooperativo (accessed on 3 February 2021).



| North | Northeast | Southeast | South | Midwest | Brazil | |
|---|---|---|---|---|---|---|
| Municipalities (#) | 450 | 1797 | 1668 | 1191 | 467 | 5570 |
| Population (#) | 17,936,201 | 57,254,159 | 86,949,714 | 29,644,948 | 15,875,907 | 207,660,929 |
| Farms (#) | 580,613 | 2,322,719 | 969,415 | 853,314 | 347,263 | 5,073,324 |
| Members of cooperatives (#) | 20,309 | 33,592 | 165,630 | 313,763 | 46,144 | 579,438 |
| MSCM (%) | 3.50 | 1.45 | 17.09 | 36.77 | 13.29 | 11.42 |
| Gross value of production (%) | 6.72 | 11.58 | 28.23 | 26.41 | 27.07 | 100 |
| Municipality Share of Cooperative Membership | ||||||
|---|---|---|---|---|---|---|
| Overall | 0.0 | <0.01 | 0.01–0.05 | 0.05–0.2 | >0.2 | |
| Net Income ($) 1 | 84.77 | 40.08 | 20.29 | 45.23 | 105.92 | 150.35 |
| Gross Value of Production ($) 1 | 141.93 | 57.88 | 30.96 | 69.94 | 171.66 | 263.43 |
| Ag. Expenses ($) 1 | 57.16 | 17.81 | 10.67 | 24.71 | 65.74 | 113.09 |
| Land used (ha) | 18,190.00 | 8669.45 | 13,413.73 | 16,751.39 | 23,599.24 | 20,157.60 |
| Labor (Age > 14 years old) 2 | 2645.13 | 1614.10 | 3701.33 | 3142.27 | 2372.89 | 1891.37 |
| Capital (units) 3 | 1.06 | 0.41 | 0.16 | 0.44 | 1.40 | 2.02 |
| Other Investments ($) 4 | 56.24 | 14.50 | 10.24 | 23.91 | 64.18 | 112.55 |
| Group of Area | ||||||
| 0–5 ha | 0.02 | 0.05 | 0.06 | 0.02 | <0.01 | <0.01 |
| 5–20 ha | 0.21 | 0.23 | 0.35 | 0.27 | 0.13 | 0.13 |
| 20–100 ha | 0.54 | 0.53 | 0.46 | 0.49 | 0.57 | 0.60 |
| 100–500 ha | 0.21 | 0.18 | 0.13 | 0.18 | 0.26 | 0.25 |
| 500+ ha (base) | 0.02 | 0.02 | 0.01 | 0.03 | 0.04 | 0.01 |
| Landowner | 0.82 | 0.77 | 0.77 | 0.81 | 0.82 | 0.85 |
| Literate | 0.82 | 0.66 | 0.66 | 0.76 | 0.89 | 0.95 |
| College degree or higher | 0.09 | 0.05 | 0.04 | 0.07 | 0.12 | 0.13 |
| Experience 5 | 0.01 | 0.02 | 0.02 | 0.02 | 0.01 | 0.01 |
| Governmental Extension 6 | 0.10 | 0.08 | 0.06 | 0.08 | 0.12 | 0.14 |
| Private Extension 6 | 0.17 | 0.04 | 0.04 | 0.07 | 0.17 | 0.36 |
| Credit 6 | 0.10 | 0.03 | 0.06 | 0.07 | 0.10 | 0.18 |
| Regions | ||||||
| North | 0.08 | 0.09 | 0.11 | 0.16 | 0.08 | <0.01 |
| Northeast | 0.32 | 0.74 | 0.74 | 0.48 | 0.10 | 0.01 |
| Southeast | 0.30 | 0.14 | 0.11 | 0.22 | 0.45 | 0.39 |
| South (base) | 0.22 | <0.01 | 0.01 | 0.05 | 0.21 | 0.54 |
| Midwest | 0.08 | 0.03 | 0.02 | 0.10 | 0.16 | 0.06 |
| Variables | Parameter | Standard Error | t-Test | p-Value |
|---|---|---|---|---|
| Capital | 0.005 | 0.003 | 1.84 | 0.07 |
| Other Investments ($) | 0.001 | 5.12 × 10−5 | 4.19 | <0.01 |
| Land used (ha) | −2.49 × 10−7 | 2.86 × 10−7 | −0.87 | 0.38 |
| Labor (Age > 14 years old) | 7.37 × 10−6 | 5.03 × 10−6 | 1.46 | 0.14 |
| Landowner | −0.001 | 0.086 | −0.02 | 0.99 |
| Literate | 2.098 | 0.154 | 13.65 | <0.01 |
| College degree or higher | 1.701 | 0.217 | 7.83 | <0.01 |
| Experience | 2.023 | 1.096 | 1.85 | 0.065 |
| Governmental Extension | 0.716 | 0.106 | 6.74 | <0.01 |
| Private Extension | 2.227 | 0.096 | 23.29 | <0.01 |
| Credit | 1.776 | 0.140 | 12.69 | <0.01 |
| North | −1.221 | 0.063 | −19.39 | <0.01 |
| Midwest | −0.716 | 0.060 | −11.9 | <0.01 |
| Southeast | −0.599 | 0.040 | −14.82 | <0.01 |
| Northeast | −1.299 | 0.062 | −21.12 | <0.01 |
| 0–5 ha | 0.136 | 0.130 | 1.04 | 0.27 |
| 5–20 ha | 0.360 | 0.102 | 3.53 | <0.01 |
| 20–100 ha | 0.407 | 0.096 | 4.22 | <0.01 |
| 100–500 ha | 0.428 | 0.091 | 4.69 | <0.01 |
| Constant | −4.984 | 0.183 | −27.25 | <0.01 |
Publisher’s Note: MDPI stays neutral with regard to jurisdictional claims in published maps and institutional affiliations. |
© 2021 by the authors. Licensee MDPI, Basel, Switzerland. This article is an open access article distributed under the terms and conditions of the Creative Commons Attribution (CC BY) license (https://creativecommons.org/licenses/by/4.0/).
Share and Cite
Neves, M.d.C.R.; Silva, F.d.F.; Freitas, C.O.d.; Braga, M.J. The Role of Cooperatives in Brazilian Agricultural Production. Agriculture 2021, 11, 948. https://doi.org/10.3390/agriculture11100948
Neves MdCR, Silva FdF, Freitas COd, Braga MJ. The Role of Cooperatives in Brazilian Agricultural Production. Agriculture. 2021; 11(10):948. https://doi.org/10.3390/agriculture11100948
Chicago/Turabian StyleNeves, Mateus de Carvalho Reis, Felipe de Figueiredo Silva, Carlos Otávio de Freitas, and Marcelo José Braga. 2021. "The Role of Cooperatives in Brazilian Agricultural Production" Agriculture 11, no. 10: 948. https://doi.org/10.3390/agriculture11100948
APA StyleNeves, M. d. C. R., Silva, F. d. F., Freitas, C. O. d., & Braga, M. J. (2021). The Role of Cooperatives in Brazilian Agricultural Production. Agriculture, 11(10), 948. https://doi.org/10.3390/agriculture11100948

