Nitrogen Utilization from Ammonium Nitrate and Urea Fertilizer by Irrigated Sugarcane in Brazilian Cerrado Oxisol
Abstract
1. Introduction
2. Material and Methods
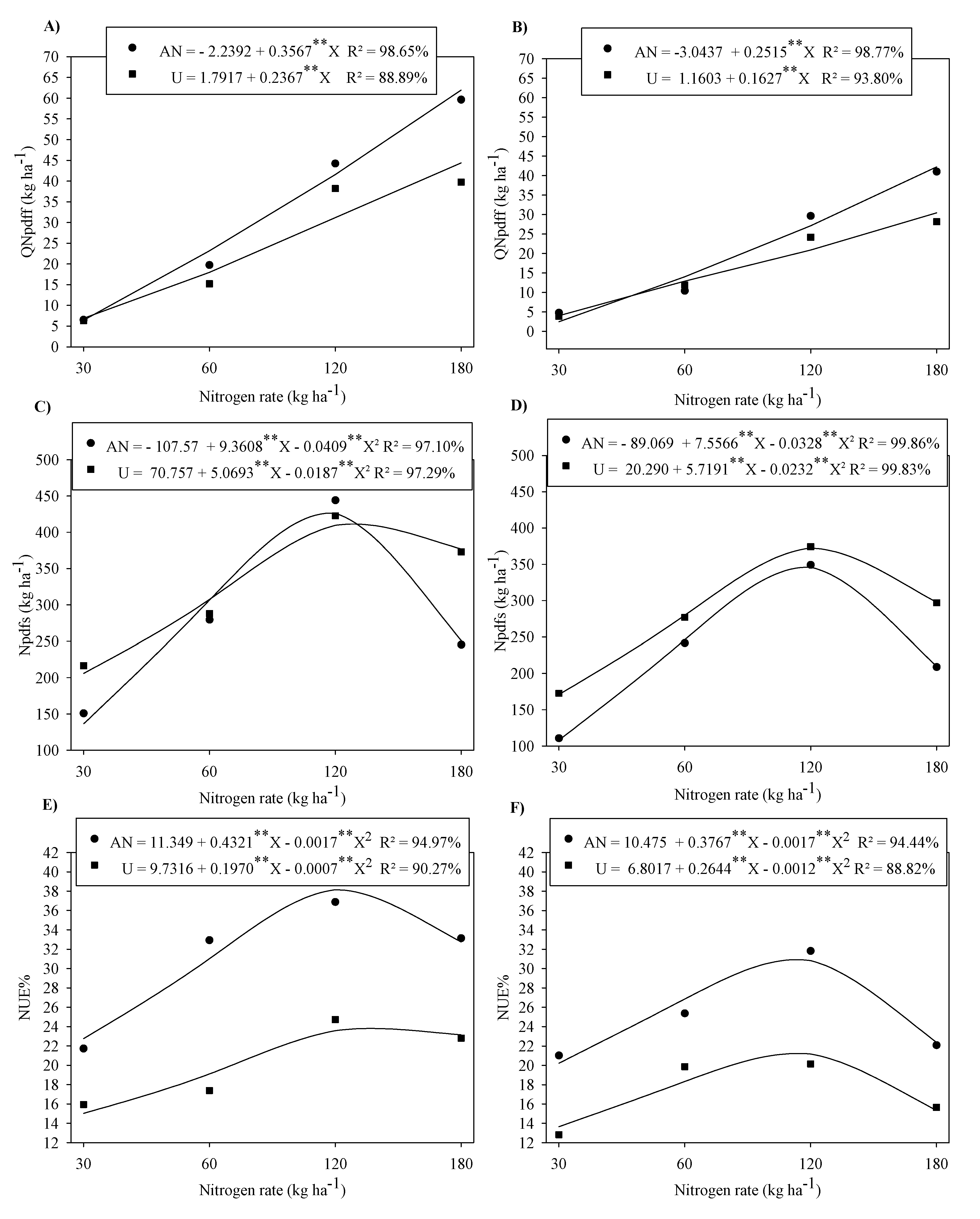
3. Results and Discussion
4. Conclusions
Author Contributions
Funding
Acknowledgments
Conflicts of Interest
References
- Companhia Nacional De Abastecimento (Conab). Acompanhamento da safra brasileira de cana-de-açúcar 2019/2020. Available online: https://www.conab.gov.br/info-agro/safras/cana (accessed on 12 March 2019).
- Agrostat (Estatísticas de Comercio Exterior do Agronegócio Brasileiro). Ministério da Agricultura Pecuária e Abastecimento. Available online: http://indicadores.agricultura.gov.br/agrostat/index.htm (accessed on 12 March 2019).
- Lassaletta, L.; Billen, G.; Garnier, J.; Bouwman, L.; Velazquez, E.; Mueller, N.D.; Gerber, J.S. Nitrogen use in the global food system: Past trends and future trajectories of agronomic performance, pollution, trade, and dietary demand. Environ. Res. Lett. 2016, 11, 095007. [Google Scholar] [CrossRef]
- Schils, R.; Olesen, J.E.; Kersebaum, K.C.; Rijk, B.; Oberforster, M.; Kalyada, V.; Khitrykau, M.; Gobin, A.; Kirchev, H.; Manolova, V.; et al. Cereal yield gaps across Europe. Eur. J. Agron. 2018, 101, 109–120. [Google Scholar] [CrossRef]
- Cantarella, H.; Trivelin, P.C.O.; Vitti, A.C. Nitrogênio e enxofre na cultura da cana-de-açúcar. In Nitrogênio e Enxofre na Agricultura Brasileira; Yamada, T., Abdalla, S.R.S., Vitti, G.C., Eds.; IPNI Brasil: Piracicaba, Brazil, 2007; pp. 355–412. [Google Scholar]
- Vitti, A.C.; Franco, H.C.J.; Trivelin, P.C.O.; Ferreira, D.A.; Otto, R.; Fortes, C.; Faroni, C.E. Nitrogênio proveniente da adubação nitrogenada e de resíduos culturais na nutrição da cana-planta. Pesqui. Agropecuária Bras. 2011, 46, 287–293. [Google Scholar] [CrossRef][Green Version]
- Holst, J.; Brackina, R.; Robinsona, N.; Lakshmananb, P.; Schmidta, S. Soluble inorganic and organic nitrogen in two Australian soils under sugarcane cultivation. Agric. Ecosyst. Environ. 2012, 155, 16–26. [Google Scholar] [CrossRef]
- Trivelin, P.C.O.; Franco, H.C.J.; Otto, R.; Ferreira, D.A.; Vitti, A.C.; Fortes, C.; Faroni, C.E.; Oliveira, E.C.A.; Cantarella, E. Impact of sugarcane trash on fertilizer requirements for São Paulo, Brazil. Sci. Agric. 2013, 70, 345–352. [Google Scholar] [CrossRef]
- Rosolem, C.A.; Ritz, K.; Cantarella, H.; Galdos, M.V.; Hawkesford, M.J.; Whalley, W.R.; Mooney, S.J. Enhanced Plant Rooting and Crop System Management for Improved N Use Efficiency. Adv. Agron. 2017, 146, 205–239. [Google Scholar] [CrossRef]
- Silva, A.G.B.; Sequeira, C.H.; Sermarini, R.A.; Otto, R. Urease Inhibitor NBPT on Ammonia Volatilization and Crop Productivity: A Meta-Analysis. Agron. J. 2017, 109, 1–13. [Google Scholar] [CrossRef]
- De Mira, A.B.; Cantarella, H.; Souza-Netto, G.; Moreira, L.; Kamogawa, M.; Otto, R. Optimizing urease inhibitor usage to reduce ammonia emission following urea application over crop residues. Agric. Ecosyst. Environ. 2017, 248, 105–112. [Google Scholar] [CrossRef]
- Cantarella, H.; Otto, R.; Soares, J.; Silva, A.G.D.B. Agronomic efficiency of NBPT as a urease inhibitor: A review. J. Adv. Res. 2018, 13, 19–27. [Google Scholar] [CrossRef]
- Martins, M.; Sant’Anna, S.; Zaman, M.; Santos, R.; Monteiro, R.; Alves, B.; Jantalia, C.; Boddey, R.; Urquiaga, S. Strategies for the use of urease and nitrification inhibitors with urea: Impact on N2O and NH3 emissions, fertilizer-15N recovery and maize yield in a tropical soil. Agric. Ecosyst. Environ. 2017, 247, 54–62. [Google Scholar] [CrossRef]
- Awale, R.; Chatterjee, A. Enhanced Efficiency Nitrogen Products Influence Ammonia Volatilization and Nitrous Oxide Emission from Two Contrasting Soils. Agron. J. 2017, 109, 47–57. [Google Scholar] [CrossRef]
- Snyder, C.S. Enhanced nitrogen fertilizer technologies support the ‘4R’ concept to inimize crop production and inimize environmental losses. Soil Res. 2017, 55, 463–472. [Google Scholar] [CrossRef]
- Fortes, C.; Trivelin, P.C.O.; Vitti, A.C.; Otto, R.; Franco, H.C.J.; Faroni, C.E. Stalk and sucrose yield in response to nitrogen fertilization of sugarcane under reduced tillage. Pesqui. Agropecuária Bras. 2013, 48, 88–96. [Google Scholar] [CrossRef]
- Franco, H.C.J.; Trivelin, P.C.O.; Eduardo, F.C.; Vitti, A.C.; Otto, R. Stalk yield and technological attributes of planted cane as related to nitrogen fertilization. Sci. Agric. 2010, 67, 579–590. [Google Scholar] [CrossRef]
- Franco, H.C.J.; Vitti, A.C.; Faroni, C.E.; Cantarella, H.; Trivelin, P.C.O. Estoque de nutrientes em resíduos culturais incorporados ao solo na reforma de áreas com cana-de-açúcar. STAB-Açúcar, Álcool e Subprodutos 2007, 25, 32–36. [Google Scholar]
- Vitti, A.C.; Trivelin, P.C.O.; Gava, G.J.C.; Penatti, C.P.; Bologna, I.R.; Faroni, C.E.; Franco, H.C.J. Produtividade da cana-de-açúcar relacionada ao nitrogênio residual da adubação e do sistema radicular. Pesqui. Agropecuária Bras. 2007, 42, 249–256. [Google Scholar] [CrossRef]
- Galindo, F.S.; Filho, M.T.; Buzetti, S.; Pagliari, P.H.; Santini, J.M.K.; Alves, C.J.; Megda, M.M.; Nogueira, T.A.R.; Andreotti, M.; Arf, O. Maize Yield Response to Nitrogen Rates and Sources Associated with Azospirillum brasilense. Agron. J. 2019, 111, 1985–1997. [Google Scholar] [CrossRef]
- Gil, J.D.B.; Garrett, R.D.; Rotz, A.; Daioglou, V.; Valentim, J.; Pires, G.F.; Costa, M.H.; Lopes, L.; Reis, J.C. Tradeoffs in the quest for climate smart agricultural intensification in Mato Grosso, Brazil. Environ. Res. Lett. 2018, 13, 064025. [Google Scholar] [CrossRef]
- Trivelin, P.C.O.; Victoria, R.L.; Rodrigues, J.C.S. Aproveitamento por soqueira de cana-de-açúcar de final de safra do nitrogênio da aquamônia-15N e ureia-15N aplicado ao solo em complemento à vinhaça. Pesquisa Agropecuária Brasileira 1995, 30, 1375–1385. [Google Scholar]
- Oliveira, E.C.A.D.; Freire, F.J.; Oliveira, R.I.D.; Oliveira, A.C.D.; Freire, M.B.G.D.S. Acúmulo e alocação de nutrientes em cana-de-açúcar. Revista Ciência Agronômica 2011, 42, 579–588. [Google Scholar]
- Gava, G.J.C.; Kölln, O.T.; Uribe, R.A.M.; Trivelin, P.C.O.; Cantarella, H. Interação entre água e nitrogênio na produtividade de cana-de-açúcar (Saccharum sp.). In Tópicos em Ecofisiolgia da Cana-De-Açúcar, 1st ed.; FEPAF: Botucatu, Brazil, 2010; Volume 1, pp. 49–66. [Google Scholar]
- Teodoro, I. Respostas Técnico-Econômicas da Cana-De-Açúcar a Níveis de Irrigação e Adubação Nitrogenada. Ph.D. Thesis, Universidade Federal de Campina Grande, Campina Grande, Paraíba, Brazil, 2011; p. 100. [Google Scholar]
- Kölln, O.T. Interação Entre os Estresses de Nitrogênio e Disponibilidade Hídrica no Fracionamento Isotópico de 13C e na Produtividade em Soqueira de Cana-De-Açúcar. Master’s Thesis, Universidade de São Paulo, São Paulo, Brazil, 2012; p. 104. [Google Scholar]
- Basanta, M.; Dourado-Neto, D.; Reichardt, K.; Bacchi, O.; Oliveira, J.; Trivelin, P.; Timm, L.C.; Tominaga, T.; Correchel, V.; Pires, L.; et al. Management effects on nitrogen recovery in a sugarcane crop grown in Brazil. Geoderma 2003, 116, 235–248. [Google Scholar] [CrossRef]
- Oliveira, A.C. Interação da Adubação Nitrogenada e Molíbdica em Cana-De-Açúcar. Ph.D. Thesis, Universidade Federal Rural de Pernambuco, Recife, Pernambuco, Brazil, 2012; p. 96. [Google Scholar]
- Franco, H.C.J.; Trivelin, P.C.O.; Faroni, C.E.; Vitti, A.C.; Otto, R. Aproveitamento pela cana-de-açúcar da adubação nitrogenada de plantio. Rev. Bras. De Ciência Do Solo 2008, 32, 2763–2770. [Google Scholar] [CrossRef][Green Version]
- Köppen, W.; Geiger, R. Klimate der Erde; Verlag Justus Perthes: Gotha, Germany, 1928. [Google Scholar]
- Soil Survey Staff. Keys to Soil Taxonomy, 11th ed.; United States Department of Agriculture, Natural Resources Conservation Service: Washington, WA, USA, 2010; p. 338.
- Santos, H.G.; Jacomine, P.K.T.; Anjos, L.H.C.; Oliveira, V.A.; Lumbreras, J.F.; Coelho, M.R.; Almeida, J.A.; Cunha, T.J.F.; Oliveira, J.B. Sistema brasileiro de classificação de solos. In Centro Nacional de Pesquisa de Solos, 5th ed.; Embrapa Produção de Informação: Brasília, Brazil; Embrapa Solos: Rio de Janeiro, Brazil, 2018; p. 588. [Google Scholar]
- Sousa, D.M.G.; Lobato, E. (Eds.) Cerrado: Correção do Solo e adubação, 2nd ed.; Embrapa Informação Tecnológica/Embrapa-CPA: Brasília, Brazil, 2004; p. 416. [Google Scholar]
- Allen, R.G.; Jensen, M.E.; Wright, J.L.; Burman, R.D. Operational Estimates of Reference Evapotranspiration. Agron. J. 1907, 81, 650–662. [Google Scholar] [CrossRef]
- Rossetto, R. Maturação da Cana-De-Açúcar. 2012. Available online: http://www.agencia.cnptia.embrapa.br/gestor/cana-de-acucar/arvore/CONTAG01_90_22122006154841.html (accessed on 10 January 2017).
- Barrie, A.; Prosser, S.J. Automated analysis of light-element stable isotopes by isotope ratio mass spectrometry. In Mass Spectrometry of Soils; Boutton, T.W., Yamasaki, S., Eds.; Marcel Dekker: New York, NY, USA, 1996; pp. 1–46. [Google Scholar]
- International Atomic Energy Agency—IAEA. Use of Isotope and Radiation Methods in Soil and Water Management and Crop Nutrition, Training course series No. 14; IAEA: Vienna, Austria, 2001. [Google Scholar]
- SAS Institute Incorporation. The SAS-System for Windows Release 8.02 (TS2M0) (Software); SAS Institute Inc.: Cary, NC, USA, 2001. [Google Scholar]
- Doorenbos, J.; Kassam, A.; Bentvelsen, C.; Uittenbogaard, G. Yield Response to Water. In Irrigation and Agricultural Development, paper 33; FAO: Rome, Italy, 1980; pp. 257–280. [Google Scholar]
- Oliveira, E.C.A.D.; Freire, F.J.; Oliveira, R.I.D.; Freire, M.B.G.D.S.; Neto, D.E.S.; Silva, S.A.M.D. Extração e exportação de nutrientes por variedades de cana-de-açúcar cultivadas sob irrigação plena. Rev. Bras. De Ciência Do Solo 2010, 34, 1343–1352. [Google Scholar] [CrossRef]
- Gava, G.J.C.; Trivelin, P.C.O.; Vitti, A.C.; Oliveira, M.W. Recuperação do nitrogênio (15N) da uréia e da palhada por soqueira de cana-de-açúcar (Saccharum spp.). Rev. Bras. De Ciência Do Solo 2003, 27, 621–630. [Google Scholar] [CrossRef][Green Version]
- Taiz, L.; Zeiger, E. Fisiologia Vegetal, 5th ed.; Artmed: Porto Alegre, Brazil, 2013; p. 954. [Google Scholar]
- Richardson, A.E.; Barea, J.M.; McNeill, A.M.; Prigent-Combaret, C. Acquisition of phosphorus and nitrogen in the rhizosphere and plant growth promotion by microorganisms. Plant Soil 2009, 321, 305–339. [Google Scholar] [CrossRef]
- Robinson, N.; Brackin, R.; Vinall, K.; Soper, F.; Holst, J.; Gamage, H.; Paungfoo-Lonhienne, C.; Renneberg, H.; Lakshmanan, P.; Schmidt, S. Nitrate Paradigm Does Not Hold Up for Sugarcane. PLoS ONE 2011, 6, e19045. [Google Scholar] [CrossRef]
- Dourado-Neto, D.; Powlson, D.; Abu Bakar, R.; Bacchi, O.O.S.; Basanta, M.; Cong, P.T.; Keerthisinghe, G.; Ismaili, M.; Rahman, S.M.; Reichardt, K.; et al. Multiseason Recoveries of Organic and Inorganic Nitrogen-15 in Tropical Cropping Systems. Soil Sci. Soc. Am. J. 2010, 74, 139–152. [Google Scholar] [CrossRef]
- Da Silva, N.F.; Cunha, F.N.; De Oliveira, R.C.; Moura, L.M.D.F.; De Moura, L.C.; Teixeira, M.B.; Bastos, F.J.D.C. Crescimento da cana-de-açúcar sob aplicação de nitrogênio via gotejamento subsuperficial. Rev. Bras. De Agric. Irrig. 2014, 8, 1–11. [Google Scholar] [CrossRef][Green Version]
- Liu, X.-E.; Li, X.G.; Guo, R.-Y.; Kuzyakov, Y.; Li, F. The effect of plastic mulch on the fate of urea-N in rain-fed maize production in a semiarid environment as assessed by 15N-labeling. Eur. J. Agron. 2015, 70, 71–77. [Google Scholar] [CrossRef]
- Smith, C.J.; Chalk, P.M. The residual value of fertilizer N in crop sequences: An appraisal of 60 years of research using 15N tracer. Field Crop. Res. 2018, 217, 66–74. [Google Scholar] [CrossRef]
- Carvalho, E.X. Ciclagem de Nitrogênio e Estimativa de Biomassa de Cana-De-Açúcar em Pernambuco. Ph.D. Thesis, Universidade Federal de Pernambuco, Recife, Brazil, 2015; p. 71. [Google Scholar]
- Moreira, F.M.S.; Siqueira, J.O. Microbiologia e Bioquímica do Solo; Editora UFLA: Lavras, Brzail, 2002; p. 625. [Google Scholar]
- Franco, H.C.J.; Otto, R.; Faroni, C.E.; Vitti, A.C.; Oliveira, E.C.A.D.; Trivelin, P.C.O. Nitrogen in sugarcane derived from fertilizer under Brazilian field conditions. Field Crop. Res. 2011, 121, 29–41. [Google Scholar] [CrossRef]
- Prasertsak, P.; Freney, J.; Denmead, O.; Saffigna, P.; Prove, B.; Reghenzani, J. Effect of fertilizer placement on nitrogen loss from sugarcane in tropical Queensland. Nutr. Cycl. Agroecosyst. 2002, 62, 229–239. [Google Scholar] [CrossRef]
- Otto, R.; Mulvaney, R.L.; Khan, S.A.; Trivelin, P.C.O. Quantifying soil nitrogen mineralization to improve fertilizer nitrogen management of sugarcane. Boil. Fertil. Soils 2013, 49, 893–904. [Google Scholar] [CrossRef]
- Megda, M.M.; Mariano, E.; Leite, J.M.; Franco, H.C.J.; Vitti, A.C.; Megda, M.M.; Khan, S.A.; Mulvaney, R.L.; Trivelin, P.C.O. Contribution of fertilizer nitrogen to the total nitrogen extracted by sugarcane under Brazilian field conditions. Nutr. Cycl. Agroecosyst. 2015, 101, 241–257. [Google Scholar] [CrossRef]
- Mariano, E.; Leite, J.M.; Megda, M.X.V.; Torres-Dorante, L.; Trivelin, P.C.O. Influence of Nitrogen Form Supply on Soil Mineral Nitrogen Dynamics, Nitrogen Uptake, and Productivity of Sugarcane. Agron. J. 2015, 107, 641–650. [Google Scholar] [CrossRef]
- Herridge, D.F.; Peoples, M.B.; Boddey, R.M. Global inputs of biological nitrogen fixation in agricultural systems. Plant Soil 2008, 311, 1–18. [Google Scholar] [CrossRef]
- Urquiaga, S.; Xavier, R.P.; De Morais, R.F.; Batista, R.B.; Schultz, N.; Leite, J.M.; E Sá, J.M.; Barbosa, K.P.; De Resende, A.S.; Alves, B.J.R.; et al. Evidence from field nitrogen balance and 15N natural abundance data for the contribution of biological N2 fixation to Brazilian sugarcane varieties. Plant Soil 2011, 356, 5–21. [Google Scholar] [CrossRef]
- Olk, D.C. Organic forms of soil nitrogen. In Nitrogen in Agricultural Systems, Agronomy Monograph, 49; Schepers, J.S., Raun, W.R., Eds.; ASA-CSSA-SSSA: Madison, WI, USA, 2008; pp. 57–100. [Google Scholar]
- McCray, J.M.; Morgan, K.T.; Baucum, L.; Ji, S. Sugarcane Yield Response to Nitrogen on Sand Soils. Agron. J. 2014, 106, 1461–1469. [Google Scholar] [CrossRef]
- Bologna-Campbell, I. Balanço de Nitrogênio e Enxofre no Sistema Solo-Cana-de-Açúcar no Ciclo de Cana-Planta. Ph.D. Thesis, Universidade de São Paulo, São Paulo, Brazil, 2007; p. 112. [Google Scholar]
- Rossetto, R.; Dias, F.L.F.; Landell, M.G.A.; Cantarella, H.; Tavares, S.; Vitti, A.C.; Perecin, D. N and K fertilisation of sugarcane ratoons harvested without burning. In Proceedings of the International Society of Sugar Cane Technologists, Veracruz, Mexico, 7–11 March 2010; Volume 27, pp. 1–8. [Google Scholar]
- Júnior, A.S.D.A.; Bastos, E.A.; Ribeiro, V.Q.; Duarte, J.A.L.; Braga, D.L.; Noleto, D.H. Níveis de água, nitrogênio e potássio por gotejamento subsuperficial em cana-de-açúcar. Pesqui. Agropecuária Bras. 2012, 47, 76–84. [Google Scholar] [CrossRef][Green Version]
- Wood, A.W.; Muchow, R.C.; Robertson, M.J. Growth of sugarcane under high input conditions in tropical Australia. III. Accumulation, partitioning and use of nitrogen. Field Crop. Res. 1996, 48, 223–233. [Google Scholar] [CrossRef]
- Kumar, N.; Kumar, V. Production Potential and Nitrogen Fractionation of Sugarcane-Based Cropping System as Influenced by Planting Materials and Nitrogen Nutrition. Sugar Tech 2020, 1–8. [Google Scholar] [CrossRef]
- Coale, F.J.; Sanchez, C.A.; Izuno, F.T.; Bottcher, A.B. Nutrient Accumulation and Removal by Sugarcane Grown on Everglades Histosols. Agron. J. 1907, 85, 310–315. [Google Scholar] [CrossRef]




| Layers | pH | O.M. | PResin | S | K | Ca | Mg | Al |
|---|---|---|---|---|---|---|---|---|
| m | CaCl2 | g dm−3 | ---mg dm−3--- | --------mmolc dm−3-------- | ||||
| 0–0.10 | 5.9 | 72 | 45 | 13 | 9.9 | 53 | 22 | <1 |
| 0.10–0.20 | 5.6 | 46 | 13 | 26 | 12.1 | 31 | 12 | <1 |
| 0.20–0.40 | 5.2 | 41 | 8 | 91 | 8.9 | 15 | 6 | <1 |
| Layers | H + Al | CEC | V | B | Cu | Fe | Mn | Zn |
| m | mmolc dm−3 | % | ------------mg dm−3 ------------ | |||||
| 0–0.10 | 22 | 106.9 | 79 | 0.28 | 1.2 | 39 | 3.4 | 2.1 |
| 0.10–0.20 | 28 | 83.1 | 66 | 0.17 | 1.6 | 36 | 1.6 | 1.0 |
| 0.20–0.40 | 21 | 60.9 | 49 | 0.12 | 1.4 | 25 | 0.7 | 0.3 |
| Layers | Granulometry (g kg1) | Textural classification | θCC | θPMP | ||||
| m | Sand | Silt | Clay | cm3. cm−3 | ||||
| 0–0.10 | 96 | 82 | 822 | Clayey | 46.3 | 22.6 | ||
| 0.10–0.20 | 97 | 82 | 822 | Clayey | ||||
| 0.20–0.40 | 85 | 71 | 845 | Clayey | 45.8 | 22.6 | ||
| N Source | NA (kg ha−1) | |||
|---|---|---|---|---|
| 30 kg ha−1 | 60 kg ha−1 | 120 kg ha−1 | 180 kg ha−1 | |
| Stalk | ||||
| Urea | 222.75 a | 299.32 | 460.86 | 412.78 a |
| Ammonium nitrate | 157.38 b | 303.19 | 488.44 | 305.00 b |
| Pointer | ||||
| Urea | 176.38 a | 288.86 | 398.43 | 325.17 a |
| Ammonium nitrate | 115.49 b | 252.03 | 378.86 | 249.83 b |
| %Npdff | ||||
| Stalk | ||||
| Urea | 2.83 b | 5.10 b | 8.34 | 9.63 b |
| Ammonium nitrate | 4.14 a | 6.60 a | 9.06 | 19.50 a |
| Pointer | ||||
| Urea | 2.18 b | 4.13 a | 6.07 b | 8.66 b |
| Ammonium nitrate | 4.14 a | 4.14 a | 7.83 a | 16.43 a |
| N Source | Npdff (kg ha−1) | |||
|---|---|---|---|---|
| 30 kg ha−1 | 60 kg ha−1 | 120 kg ha−1 | 180 kg ha−1 | |
| Stalk | ||||
| Urea | 6.30 | 15.22 a | 38.20 b | 39.74 b |
| Ammonium nitrate | 6.52 | 19.75 a | 44.24 a | 59.64 a |
| Pointer | ||||
| Urea | 3.85 | 10.44 | 24.18 b | 28.16 b |
| Ammonium nitrate | 4.78 | 11.92 | 29.66 a | 41.04 a |
| Npdfs (kg ha−1) | ||||
| Stalk | ||||
| Urea | 216.44 a | 287.97 | 422.67 | 373.03 a |
| Ammonium nitrate | 150.86 b | 279.57 | 429.66 | 245.36 b |
| Pointer | ||||
| Urea | 172.53 a | 241.59 a | 349.20 | 297.01 a |
| Ammonium nitrate | 110.70 b | 276.94 a | 374.25 | 208.77 b |
| NUE (%) | ||||
| Stalk | ||||
| Urea | 21.02 | 25.37 b | 31.83 b | 22.08 b |
| Ammonium nitrate | 21.72 | 32.92 a | 36.87 a | 33.13 a |
| Pointer | ||||
| Urea | 12.83 b | 17.39 | 20.15 b | 15.65 b |
| Ammonium nitrate | 15.94 a | 19.86 | 24.71 a | 22.80 a |
© 2020 by the authors. Licensee MDPI, Basel, Switzerland. This article is an open access article distributed under the terms and conditions of the Creative Commons Attribution (CC BY) license (http://creativecommons.org/licenses/by/4.0/).
Share and Cite
Furtado da Silva, N.; Cabral da Silva, E.; Muraoka, T.; Batista Teixeira, M.; Antonio Loureiro Soares, F.; Nobre Cunha, F.; Adu-Gyamfi, J.; Cavalcante, W.S.d.S. Nitrogen Utilization from Ammonium Nitrate and Urea Fertilizer by Irrigated Sugarcane in Brazilian Cerrado Oxisol. Agriculture 2020, 10, 323. https://doi.org/10.3390/agriculture10080323
Furtado da Silva N, Cabral da Silva E, Muraoka T, Batista Teixeira M, Antonio Loureiro Soares F, Nobre Cunha F, Adu-Gyamfi J, Cavalcante WSdS. Nitrogen Utilization from Ammonium Nitrate and Urea Fertilizer by Irrigated Sugarcane in Brazilian Cerrado Oxisol. Agriculture. 2020; 10(8):323. https://doi.org/10.3390/agriculture10080323
Chicago/Turabian StyleFurtado da Silva, Nelmício, Edson Cabral da Silva, Takashi Muraoka, Marconi Batista Teixeira, Frederico Antonio Loureiro Soares, Fernando Nobre Cunha, Joseph Adu-Gyamfi, and Wendson Soares da Silva Cavalcante. 2020. "Nitrogen Utilization from Ammonium Nitrate and Urea Fertilizer by Irrigated Sugarcane in Brazilian Cerrado Oxisol" Agriculture 10, no. 8: 323. https://doi.org/10.3390/agriculture10080323
APA StyleFurtado da Silva, N., Cabral da Silva, E., Muraoka, T., Batista Teixeira, M., Antonio Loureiro Soares, F., Nobre Cunha, F., Adu-Gyamfi, J., & Cavalcante, W. S. d. S. (2020). Nitrogen Utilization from Ammonium Nitrate and Urea Fertilizer by Irrigated Sugarcane in Brazilian Cerrado Oxisol. Agriculture, 10(8), 323. https://doi.org/10.3390/agriculture10080323

