Altered Cortical Thickness-Based Individualized Structural Covariance Networks in Patients with Schizophrenia and Bipolar Disorder
Abstract
1. Introduction
2. Materials and Methods
2.1. Participants
2.2. Symptomatic and Psychological Measures
2.3. MRI Acquisition and SBM
2.4. Cortical Thickness-Based Individualized Structural Covariance Network Analysis
2.5. Statistical Analysis
3. Results
3.1. Demographic and Psychological Characteristics
3.2. Global- and Nodal-Level Differences in Cortical Functional Networks
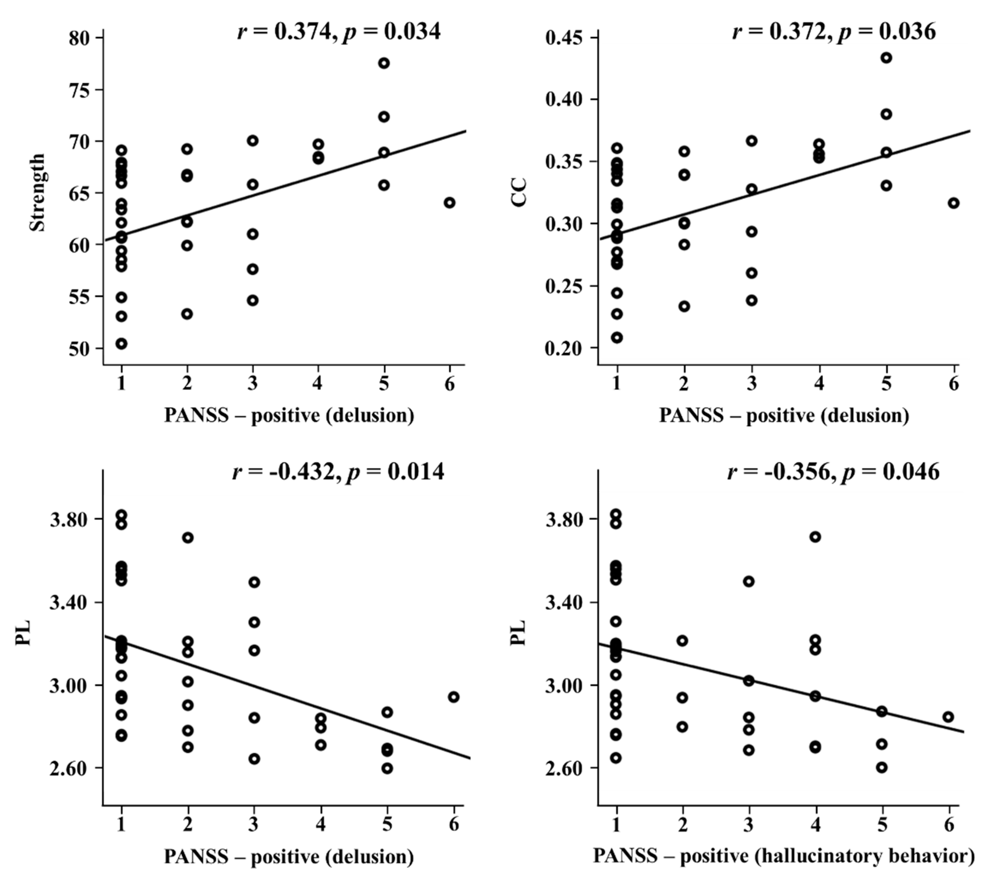
3.3. Correlations between Network Indices and Psychological Characteristics
4. Discussion
5. Conclusions
Author Contributions
Funding
Acknowledgments
Conflicts of Interest
References
- Calhoun, V.D.; Sui, J.; Kiehl, K.; Turner, J.A.; Allen, E.; Pearlson, G. Exploring the Psychosis Functional Connectome: Aberrant Intrinsic Networks in Schizophrenia and Bipolar Disorder. Front. Psychol. 2012, 2, 75. [Google Scholar] [CrossRef] [PubMed]
- Bora, E.; Pantelis, C. Social cognition in schizophrenia in comparison to bipolar disorder: A meta-analysis. Schizophr. Res. 2016, 175, 72–78. [Google Scholar] [CrossRef] [PubMed]
- Raven, M.; Singh, A.B.; Berk, M. Bipolar disorders. Aust. Prescr. 2008, 31, 115–118. [Google Scholar] [CrossRef]
- Shenton, M.E.; Dickey, C.C.; Frumin, M.; McCarley, R.W. A review of MRI findings in schizophrenia. Schizophr. Res. 2001, 49, 1–52. [Google Scholar] [CrossRef]
- Honea, R.; Crow, T.J.; Passingham, D.; Mackay, C.E. Regional Deficits in Brain Volume in Schizophrenia: A Meta-Analysis of Voxel-Based Morphometry Studies. Am. J. Psychiatry 2005, 162, 2233–2245. [Google Scholar] [CrossRef]
- Ellison-Wright, I.; Glahn, D.C.; Laird, A.R.; Thelen, S.M.; Bullmore, E.T. The anatomy of first-episode and chronic schizophrenia: An anatomical likelihood estimation meta-analysis. Am. J. Psychiatry 2008, 165, 1015–1023. [Google Scholar] [CrossRef]
- Nesvåg, R.; Lawyer, G.; Varnäs, K.; Fjell, A.M.; Walhovd, K.B.; Frigessi, A.; Jönsson, E.G.; Agartz, I. Regional thinning of the cerebral cortex in schizophrenia: Effects of diagnosis, age and antipsychotic medication. Schizophr. Res. 2008, 98, 16–28. [Google Scholar] [CrossRef]
- Goldman, A.L.; Pezawas, L.; Mattay, V.S.; Fischl, B.; Verchinski, B.A.; Chen, Q.; Weinberger, D.R.; Meyer-Lindenberg, A.; Doz, P. Widespread Reductions of Cortical Thickness in Schizophrenia and Spectrum Disorders and Evidence of Heritability. Arch. Gen. Psychiatry 2009, 66, 467–477. [Google Scholar] [CrossRef]
- Rimol, L.M.; Hartberg, C.B.; Nesvåg, R.; Fennema-Notestine, C.; Hagler, N.J.; Pung, C.J.; Jennings, R.G.; Haukvik, U.K.; Lange, E.; Nakstad, P.H.; et al. Cortical Thickness and Subcortical Volumes in Schizophrenia and Bipolar Disorder. Boil. Psychiatry 2010, 68, 41–50. [Google Scholar] [CrossRef]
- Bora, E.; Fornito, A.; Yucel, M.; Pantelis, C. Voxelwise Meta-Analysis of Gray Matter Abnormalities in Bipolar Disorder. Biol. Psychiatry 2010, 67, 1097–1105. [Google Scholar] [CrossRef]
- Ellison-Wright, I.; Bullmore, E.; Bullmore, E.T. Anatomy of bipolar disorder and schizophrenia: A meta-analysis. Schizophr. Res. 2010, 117, 1–12. [Google Scholar] [CrossRef] [PubMed]
- Rimol, L.M.; Nesvåg, R.; Hagler, D.J.; Bergmann, Ø.; Fennema-Notestine, C.; Hartberg, C.B.; Haukvik, U.K.; Lange, E.; Pung, C.J.; Server, A.; et al. Cortical Volume, Surface Area, and Thickness in Schizophrenia and Bipolar Disorder. Biol. Psychiatry 2012, 71, 552–560. [Google Scholar] [CrossRef] [PubMed]
- Knöchel, C.; Reuter, J.; Reinke, B.; Stäblein, M.; Marbach, K.; Feddern, R.; Kuhlmann, K.; Alves, G.; Prvulovic, D.; Wenzler, S.; et al. Cortical thinning in bipolar disorder and schizophrenia. Schizophr. Res. 2016, 172, 78–85. [Google Scholar] [CrossRef] [PubMed]
- He, Y.; Chen, Z.; Evans, A. Structural insights into aberrant topological patterns of large-scale cortical networks in Alzheimer’s disease. J. Neurosci. 2008, 28, 4756–4766. [Google Scholar] [CrossRef]
- Seeley, W.W.; Crawford, R.K.; Zhou, J.; Miller, B.L.; Greicius, M.D. Neurodegenerative Diseases Target Large-Scale Human Brain Networks. Neuron 2009, 62, 42–52. [Google Scholar] [CrossRef]
- Raznahan, A.; Shaw, P.; LaLonde, F.; Stockman, M.; Wallace, G.L.; Greenstein, D.; Clasen, L.; Gogtay, N.; Giedd, J.N. How does your cortex grow? J. Neurosci. 2011, 31, 7174–7177. [Google Scholar] [CrossRef]
- Evans, A.C. Networks of anatomical covariance. NeuroImage 2013, 80, 489–504. [Google Scholar] [CrossRef]
- Chen, C.-H.; Gutierrez, E.D.; Thompson, W.; Panizzon, M.S.; Jernigan, T.L.; Eyler, L.T.; Fennema-Notestine, C.; Jak, A.J.; Neale, M.C.; Franz, C.E.; et al. Hierarchical Genetic Organization of Human Cortical Surface Area. Science 2012, 335, 1634–1636. [Google Scholar] [CrossRef]
- Alexander-Bloch, A.F.; Giedd, J.N.; Bullmore, E.T. Imaging structural co-variance between human brain regions. Nat. Rev. Neurosci. 2013, 14, 322–336. [Google Scholar] [CrossRef]
- Alexander-Bloch, A.F.; Raznahan, A.; Bullmore, E.T.; Giedd, J.N. The convergence of maturational change and structural covariance in human cortical networks. J. Neurosci. 2013, 33, 2889–2899. [Google Scholar] [CrossRef]
- He, Y.; Chen, Z.J.; Evans, A.C. Small-World Anatomical Networks in the Human Brain Revealed by Cortical Thickness from MRI. Cereb. Cortex 2007, 17, 2407–2419. [Google Scholar] [CrossRef] [PubMed]
- Bassett, D.S.; Bullmore, E.T.; Verchinski, B.A.; Mattay, V.S.; Weinberger, D.R.; Meyer-Lindenberg, A. Hierarchical Organization of Human Cortical Networks in Health and Schizophrenia. J. Neurosci. 2008, 28, 9239–9248. [Google Scholar] [CrossRef] [PubMed]
- Bernhardt, B.C.; Chen, Z.; He, Y.; Evans, A.C.; Bernasconi, N. Graph-Theoretical Analysis Reveals Disrupted Small-World Organization of Cortical Thickness Correlation Networks in Temporal Lobe Epilepsy. Cereb. Cortex 2011, 21, 2147–2157. [Google Scholar] [CrossRef] [PubMed]
- Zalesky, A.; Fornito, A.; Bullmore, E.; Bullmore, E.T. On the use of correlation as a measure of network connectivity. NeuroImage 2012, 60, 2096–2106. [Google Scholar] [CrossRef] [PubMed]
- Zhang, Y.; Lin, L.; Lin, C.-P.; Zhou, Y.; Chou, K.-H.; Lo, C.-Y.; Su, T.-P.; Jiang, T. Abnormal topological organization of structural brain networks in schizophrenia. Schizophr. Res. 2012, 141, 109–118. [Google Scholar] [CrossRef]
- Pereira, J.B.; Strandberg, T.O.; Palmqvist, S.; Volpe, G.; Van Westen, D.; Westman, E.; Hansson, O.; Initiative, F.T.A.D.N. Amyloid Network Topology Characterizes the Progression of Alzheimer’s Disease During the Predementia Stages. Cereb. Cortex 2017, 28, 340–349. [Google Scholar] [CrossRef]
- DeSouza, D.D.; Woldeamanuel, Y.W.; Sanjanwala, B.M.; Bissell, D.A.; Bishop, J.H.; Peretz, A.; Cowan, R.P. Altered structural brain network topology in chronic migraine. Brain Struct. Funct. 2019, 225, 161–172. [Google Scholar] [CrossRef]
- Rubinov, M.; Bullmore, E. Schizophrenia and abnormal brain network hubs. Dialog. Clin. Neurosci. 2013, 15, 339–349. [Google Scholar]
- Wheeler, A.L.; Wessa, M.; Szeszko, P.R.; Foussias, G.; Chakravarty, M.; Lerch, J.; DeRosse, P.; Remington, G.; Mulsant, B.H.; Linke, J.; et al. Further Neuroimaging Evidence for the Deficit Subtype of Schizophrenia. JAMA Psychiatry 2015, 72, 446. [Google Scholar] [CrossRef]
- Kennedy, D.N.; Lange, N.; Makris, N.; Bates, J.; Meyer, J.; Caviness, V.S. Gyri of the human neocortex: An MRI-based analysis of volume and variance. Cereb. Cortex 1998, 8, 372–384. [Google Scholar] [CrossRef]
- Narr, K.L.; Bilder, R.; Toga, A.W.; Woods, R.P.; Rex, D.E.; Szeszko, P.R.; Robinson, D.G.; Sevy, S.; Gunduz-Bruce, H.; Wang, Y.-P.; et al. Mapping Cortical Thickness and Gray Matter Concentration in First Episode Schizophrenia. Cereb. Cortex 2004, 15, 708–719. [Google Scholar] [CrossRef] [PubMed]
- Salvador, R.; Suckling, J.; Coleman, M.R.; Pickard, J.D.; Menon, D.; Bullmore, E.; Bullmore, E.T. Neurophysiological Architecture of Functional Magnetic Resonance Images of Human Brain. Cereb. Cortex 2005, 15, 1332–1342. [Google Scholar] [CrossRef] [PubMed]
- Achard, S.; Salvador, R.; Whitcher, B.; Suckling, J.; Bullmore, E.T. A Resilient, Low-Frequency, Small-World Human Brain Functional Network with Highly Connected Association Cortical Hubs. J. Neurosci. 2006, 26, 63–72. [Google Scholar] [CrossRef]
- Bassett, D.S.; Bullmore, E.; Bullmore, E.T. Small-World Brain Networks. Neurosci. 2006, 12, 512–523. [Google Scholar] [CrossRef] [PubMed]
- Achard, S.; Bullmore, E.T. Efficiency and Cost of Economical Brain Functional Networks. PLoS Comput. Biol. 2007, 3, e17. [Google Scholar] [CrossRef]
- Chen, Z.J.; He, Y.; Rosa-Neto, P.; Germann, J.; Evans, A.C. Revealing Modular Architecture of Human Brain Structural Networks by Using Cortical Thickness from MRI. Cereb. Cortex 2008, 18, 2374–2381. [Google Scholar] [CrossRef]
- First, M.B.; Gibbon, M.; Spitzer, R.L.; Williams, J.B. User’s Guide for the Structured Clinical Interview for DSM-IV Axis I Disorders—Research Version; Biometrics Research Department, New York State Psychiatric Institute: New York, NY, USA, 1996. [Google Scholar]
- First, M.B.; Gibbon, M.; Spitzer, R.L.; Benjamin, L.S. User’s Guide for the Structured Clinical Interview for DSM-IV Axis II Personality Disorders: SCID-II; American Psychiatric Pub: Washington, DC, USA, 1997. [Google Scholar]
- Kay, S.R.; Fiszbein, A.; Opler, L.A. The Positive and Negative Syndrome Scale (PANSS) for Schizophrenia. Schizophr. Bull. 1987, 13, 261–276. [Google Scholar] [CrossRef]
- Young, R.C.; Biggs, J.T.; Ziegler, V.E.; Meyer, D.A. A Rating Scale for Mania: Reliability, Validity and Sensitivity. Br. J. Psychiatry 1978, 133, 429–435. [Google Scholar] [CrossRef]
- Lezak, M.D. Newer contributions to the neuropsychological assessment of executive functions. J. Head Trauma Rehabil. 1993, 8, 24–31. [Google Scholar] [CrossRef]
- Jung, J.H.; Kim, H.K. Deficits of Memory Function in Traumatic Brain Injury Patients: Using Rey-Kim Memory Test II. J. Spéc. Educ. Rehabil. Sci. 2015, 54, 385. [Google Scholar] [CrossRef]
- Kim, S.-G.; Lee, E.-H.; Hwang, S.-T.; Park, K.; Chey, J.; Hong, S.-H.; Kim, J. Estimation of K-WAIS-IV Premorbid Intelligence in South Korea: Development of the KPIE-IV. Clin. Neuropsychol. 2015, 29, 1–11. [Google Scholar] [CrossRef] [PubMed]
- Ashburner, J. A fast diffeomorphic image registration algorithm. NeuroImage 2007, 38, 95–113. [Google Scholar] [CrossRef] [PubMed]
- Ashburner, J.; Friston, K. Unified segmentation. NeuroImage 2005, 26, 839–851. [Google Scholar] [CrossRef] [PubMed]
- Dahnke, R.; Yotter, R.A.; Gaser, C. Cortical thickness and central surface estimation. NeuroImage 2013, 65, 336–348. [Google Scholar] [CrossRef]
- Destrieux, C.; Fischl, B.; Dale, A.; Halgren, E. Automatic parcellation of human cortical gyri and sulci using standard anatomical nomenclature. NeuroImage 2010, 53, 1–15. [Google Scholar] [CrossRef]
- Desikan, R.S.; Segonne, F.; Fischl, B.; Quinn, B.T.; Dickerson, B.; Blacker, D.; Buckner, R.L.; Dale, A.M.; Maguire, R.P.; Hyman, B.T.; et al. An automated labeling system for subdividing the human cerebral cortex on MRI scans into gyral based regions of interest. NeuroImage 2006, 31, 968–980. [Google Scholar] [CrossRef]
- Kremen, W.S.; Fennema-Notestine, C.; Eyler, L.T.; Panizzon, M.S.; Chen, C.-H.; Franz, C.E.; Lyons, M.J.; Thompson, W.K.; Dale, A.M. Genetics of brain structure: Contributions from the Vietnam Era Twin Study of Aging. Am. J. Med. Genet. Part B Neuropsychiatr. Genet. 2013, 162, 751–761. [Google Scholar] [CrossRef]
- Yun, J.-Y.; Jang, J.H.; Kim, S.N.; Jung, W.H.; Kwon, J.S. Neural Correlates of Response to Pharmacotherapy in Obsessive-Compulsive Disorder: Individualized Cortical Morphology-Based Structural Covariance. Prog. Neuropsychopharmacol. Biol. Psychiatry 2015, 63, 126–133. [Google Scholar] [CrossRef]
- Yun, J.; Kim, S.N.; Lee, T.Y.; Chon, M.-W.; Kwon, J.S. Individualized covariance profile of cortical morphology for auditory hallucinations in first-episode psychosis. Hum. Brain Mapp. 2015, 37, 1051–1065. [Google Scholar] [CrossRef]
- Bullmore, E.; Sporns, O.; Bullmore, E.T. Complex brain networks: Graph theoretical analysis of structural and functional systems. Nat. Rev. Neurosci. 2009, 10, 186–198. [Google Scholar] [CrossRef]
- Rubinov, M.; Sporns, O. Complex network measures of brain connectivity: Uses and interpretations. NeuroImage 2010, 52, 1059–1069. [Google Scholar] [CrossRef] [PubMed]
- Benjamini, Y.; Hochberg, Y. Controlling the False Discovery Rate: A Practical and Powerful Approach to Multiple Testing. J. R. Stat. Soc. Ser. B Stat Methodol. 1995, 57, 289–300. [Google Scholar] [CrossRef]
- Haukoos, J.S.; Lewis, R.J. Advanced statistics: Bootstrapping confidence intervals for statistics with “difficult” distributions. Acad. Emerg. Med. 2005, 12, 360–365. [Google Scholar] [CrossRef] [PubMed]
- Ruscio, J. Constructing Confidence Intervals for Spearman?s Rank Correlation with Ordinal Data: A Simulation Study Comparing Analytic and Bootstrap Methods. J. Mod. Appl. Stat. Methods 2008, 7, 416–434. [Google Scholar] [CrossRef]
- Pernet, C.; Wilcox, R.R.; Rousselet, G.A. Robust Correlation Analyses: False Positive and Power Validation Using a New Open Source Matlab Toolbox. Front. Psychol. 2013, 3, 606. [Google Scholar] [CrossRef] [PubMed]
- Sanabria-Diaz, G.; Melie-Garcia, L.; Iturria-Medina, Y.; Alemán-Gómez, Y.; Hernández-González, G.; Valdés-Urrutia, L.; Galán, L.; Valdés-Sosa, P. Surface area and cortical thickness descriptors reveal different attributes of the structural human brain networks. NeuroImage 2010, 50, 1497–1510. [Google Scholar] [CrossRef]
- Palaniyappan, L.; Liddle, P.F. Differential effects of surface area, gyrification and cortical thickness on voxel based morphometric deficits in schizophrenia. NeuroImage 2012, 60, 693–699. [Google Scholar] [CrossRef]
- Kim, S.; Jeon, H.; Jang, K.-I.; Kim, Y.-W.; Im, C.-H.; Lee, S.-H. Mismatch Negativity and Cortical Thickness in Patients With Schizophrenia and Bipolar Disorder. Schizophr. Bull. 2018, 45, 425–435. [Google Scholar] [CrossRef]
- Bezchlibnyk-Butler, K.Z.; Jeffries, J.J. Clinical Handbook of Psychotropic Drugs; Hogrefe Publishing Group: Boston, MA, USA, 2019. [Google Scholar]
- Heuvel, M.R.V.D.; Mandl, R.C.W.; Stam, C.J.; Kahn, R.S.; Pol, H.H. Aberrant Frontal and Temporal Complex Network Structure in Schizophrenia: A Graph Theoretical Analysis. J. Neurosci. 2010, 30, 15915–15926. [Google Scholar] [CrossRef]
- Wang, Q.; Su, T.-P.; Zhou, Y.; Chou, K.-H.; Chen, I.-Y.; Jiang, T.; Lin, C.-P. Anatomical insights into disrupted small-world networks in schizophrenia. NeuroImage 2012, 59, 1085–1093. [Google Scholar] [CrossRef]
- Leow, A.D.; Ajilore, O.; Zhan, L.; Arienzo, D.; GadElkarim, J.; Zhang, A.; Moody, T.; Van Horn, J.; Feusner, J.; Kumar, A.; et al. Impaired inter-hemispheric integration in bipolar disorder revealed with brain network analyses. Biol. Psychiatry 2012, 73, 183–193. [Google Scholar] [CrossRef] [PubMed]
- Collin, G.; Heuvel, M.P.V.D.; Abramovic, L.; Vreeker, A.; De Reus, M.A.; Van Haren, N.E.; Boks, M.P.M.; Ophoff, R.A.; Kahn, R.S. Brain network analysis reveals affected connectome structure in bipolar I disorder. Hum. Brain Mapp. 2015, 37, 122–134. [Google Scholar] [CrossRef] [PubMed]
- Mladinov, M.; Sedmak, G.; Fuller, H.R.; Leko, M.B.; Mayer, D.; Kirincich, J.; Štajduhar, A.; Borovečki, F.; Hof, P.R.; Simic, G. Gene expression profiling of the dorsolateral and medial orbitofrontal cortex in schizophrenia. Transl. Neurosci. 2016, 7, 139–150. [Google Scholar] [CrossRef] [PubMed]
- Hoptman, M.J.; Volavka, J.; Weiss, E.M.; Czobor, P.; Szeszko, P.R.; Gerig, G.; Chakos, M.; Blocher, J.; Citrome, L.; Lindenmayer, J.-P.; et al. Quantitative MRI measures of orbitofrontal cortex in patients with chronic schizophrenia or schizoaffective disorder. Psychiatry Res. Neuroimaging 2005, 140, 133–145. [Google Scholar] [CrossRef] [PubMed]
- Larquet, M.; Coricelli, G.; Opolczynski, G.; Thibaut, F. Impaired decision making in schizophrenia and orbitofrontal cortex lesion patients. Schizophr. Res. 2010, 116, 266–273. [Google Scholar] [CrossRef] [PubMed]
- Venkatasubramanian, G.; Jayakumar, P.N.; Gangadhar, B.N.; Keshavan, M.S. Automated MRI parcellation study of regional volume and thickness of prefrontal cortex (PFC) in antipsychotic-naïve schizophrenia. Acta Psychiatr. Scand. 2008, 117, 420–431. [Google Scholar] [CrossRef]
- Walton, E.; Hibar, D.P.; Van Erp, T.G.M.; Potkin, S.G.; Roiz-Santiañez, R.; Crespo-Facorro, B.; Suarez-Pinilla, P.; Van Haren, N.E.; De Zwarte, S.M.C.; Kahn, R.S.; et al. Prefrontal cortical thinning links to negative symptoms in schizophrenia via the ENIGMA consortium. Psychol. Med. 2017, 48, 82–94. [Google Scholar] [CrossRef]
- Koechlin, E.; Basso, G.; Pietrini, P.; Panzer, S.; Grafman, J. The role of the anterior prefrontal cortex in human cognition. Nature 1999, 399, 148–151. [Google Scholar] [CrossRef]
- Braver, T.S.; Bongiolatti, S.R. The Role of Frontopolar Cortex in Subgoal Processing during Working Memory. NeuroImage 2002, 15, 523–536. [Google Scholar] [CrossRef]
- Burgess, P.W.; Veitch, E.; Costello, A.D.L.; Shallice, T. The cognitive and neuroanatomical correlates of multitasking. Neuropsychology 2000, 38, 848–863. [Google Scholar] [CrossRef]
- Schultz, C.C.; Koch, K.; Wagner, G.; Roebel, M.; Schachtzabel, C.; Gaser, C.; Nenadic, I.; Reichenbach, J.R.; Sauer, H.; Schlösser, R.G. Reduced cortical thickness in first episode schizophrenia. Schizophr. Res. 2010, 116, 204–209. [Google Scholar] [CrossRef] [PubMed]
- Tully, L.; Lincoln, S.H.; Liyanage-Don, N.; Hooker, C.I. Impaired cognitive control mediates the relationship between cortical thickness of the superior frontal gyrus and role functioning in schizophrenia. Schizophr. Res. 2014, 152, 358–364. [Google Scholar] [CrossRef] [PubMed]
- Öngür, D.; Lundy, M.; Greenhouse, I.; Shinn, A.K.; Menon, V.; Cohen, B.M.; Renshaw, P.F. Default mode network abnormalities in bipolar disorder and schizophrenia. Psychiatry Res. Neuroimaging 2010, 183, 59–68. [Google Scholar] [CrossRef] [PubMed]
- Curtis, V.A.; Bullmore, E.T.; Brammer, M.; Wright, I.C.; Williams, S.C.; Morris, R.G.; Sharma, T.; Murray, R.M.; McGuire, P. Attenuated Frontal Activation During a Verbal Fluency Task in Patients with Schizophrenia. Am. J. Psychiatry 1998, 155, 1056–1063. [Google Scholar] [CrossRef] [PubMed]
- Shapleske, J.; Rossell, S.L.; Chitnis, X.A.; Suckling, J.; Simmons, A.; Bullmore, E.T.; Woodruff, P.W.; David, A. A computational morphometric MRI study of schizophrenia: Effects of hallucinations. Cereb. Cortex 2002, 12, 1331–1341. [Google Scholar] [CrossRef]
- Desco, M.; Gispert, J.D.; Reig, S.; Sanz, J.; Pascau, J.; Sarramea, F.; Benito, C.; Santos, A.; Palomo, T.; Molina, V. Cerebral metabolic patterns in chronic and recent-onset schizophrenia. Psychiatry Res. Neuroimaging 2003, 122, 125–135. [Google Scholar] [CrossRef]
- Duggal, H.S.; Muddasani, S.; Keshavan, M.S. Insular volumes in first-episode schizophrenia: Gender effect. Schizophr. Res. 2005, 73, 113–120. [Google Scholar] [CrossRef]
- Okugawa, G.; Tamagaki, C.; Agartz, I. Frontal and temporal volume size of grey and white matter in patients with schizophrenia. Eur. Arch. Psychiatry Clin. Neurosci. 2007, 257, 304–307. [Google Scholar] [CrossRef]
- Yamasaki, S.; Yamasue, H.; Abe, O.; Yamada, H.; Iwanami, A.; Hirayasu, Y.; Nakamura, M.; Furukawa, S.-I.; Rogers, M.; Tanno, Y.; et al. Reduced planum temporale volume and delusional behaviour in patients with schizophrenia. Eur. Arch. Psychiatry Clin. Neurosci. 2007, 257, 318–324. [Google Scholar] [CrossRef]
- McIntosh, A.M.; Whalley, H.C.; McKirdy, J.; Hall, J.; Sussmann, J.E.; Shankar, P.; Johnstone, E.C.; Lawrie, S.M. Prefrontal Function and Activation in Bipolar Disorder and Schizophrenia. Am. J. Psychiatry 2008, 165, 378–384. [Google Scholar] [CrossRef]
- Brooks, J.O.; Wang, P.W.; Bonner, J.C.; Rosen, A.C.; Hoblyn, J.; Hill, S.J.; Ketter, T.A. Decreased prefrontal, anterior cingulate, insula, and ventral striatal metabolism in medication-free depressed outpatients with bipolar disorder. J. Psychiatr. Res. 2008, 43, 181–188. [Google Scholar] [CrossRef] [PubMed]
- Shirtcliff, E.A.; Vitacco, M.J.; Graf, A.R.; Gostisha, A.J.; Merz, J.L.; Zahn-Waxler, C. Neurobiology of empathy and callousness: Implications for the development of antisocial behavior. Behav. Sci. Law 2009, 27, 137–171. [Google Scholar] [CrossRef] [PubMed]
- Pressler, M.; Nopoulos, P.C.; Ho, B.-C.; Andreasen, N. Insular cortex abnormalities in schizophrenia: Relationship to symptoms and typical neuroleptic exposure. Biol. Psychiatry 2005, 57, 394–398. [Google Scholar] [CrossRef] [PubMed]
- Eickhoff, S.B.; Laird, A.R.; Grefkes, C.; Wang, L.E.; Zilles, K.; Fox, P.T. Coordinate-based activation likelihood estimation meta-analysis of neuroimaging data: A random-effects approach based on empirical estimates of spatial uncertainty. Hum. Brain Mapp. 2009, 30, 2907–2926. [Google Scholar] [CrossRef] [PubMed]
- Deshpande, G.; Santhanam, P.; Hu, X. Instantaneous and causal connectivity in resting state brain networks derived from functional MRI data. NeuroImage 2010, 54, 1043–1052. [Google Scholar] [CrossRef]
- Straube, T.; Miltner, W.H.R. Attention to aversive emotion and specific activation of the right insula and right somatosensory cortex. NeuroImage 2011, 54, 2534–2538. [Google Scholar] [CrossRef]
- Adank, P. The neural bases of difficult speech comprehension and speech production: Two Activation Likelihood Estimation (ALE) meta-analyses. Brain Lang. 2012, 122, 42–54. [Google Scholar] [CrossRef]
- Crespo-Facorro, B. Insular cortex abnormalities in schizophrenia: A structural magnetic resonance imaging study of first-episode patients. Schizophr. Res. 2000, 46, 35–43. [Google Scholar] [CrossRef]
- Cascella, N.G.; Gerner, G.J.; Fieldstone, S.C.; Sawa, A.; Schretlen, D.J. The insula–claustrum region and delusions in schizophrenia. Schizophr. Res. 2011, 133, 77–81. [Google Scholar] [CrossRef]
- Grasby, P.; Frith, C.; Friston, K.; Simpson, J.; Fletcher, P.C.; Frackowiak, R.; Dolan, R.J. A graded task approach to the functional mapping of brain areas implicated in auditory—Verbal memory. Brain 1994, 117, 1271–1282. [Google Scholar] [CrossRef]
- Chan, W.Y.; Chia, M.Y.; Yang, G.L.; Woon, P.S.; Sitoh, Y.Y.; Collinson, S.L.; Nowinski, W.L.; Sim, K. Duration of illness, regional brain morphology and neurocognitive correlates in schizophrenia. Ann. Acad. Med. Singap. 2009, 38, 388–395. [Google Scholar] [PubMed]
- Gao, B.; Wang, Y.; Liu, W.; Chen, Z.; Zhou, H.; Yang, J.; Cohen, Z.; Zhu, Y.; Zang, Y. Spontaneous Activity Associated with Delusions of Schizophrenia in the Left Medial Superior Frontal Gyrus: A Resting-State fMRI Study. PLoS ONE 2015, 10, e0133766. [Google Scholar] [CrossRef] [PubMed]
- Cui, D.; Gao, W.; Jiao, Q.; Cao, W.; Guo, Y.; Chen, F.; Lu, D.; Xiao, Q.; Su, L.-Y.; Lu, G.; et al. Abnormal Resting-State Regional Homogeneity Relates to Cognitive Dysfunction in Manic Bipolar Disorder Adolescents: An fMRI Study. J. Med. Imaging Health Inform. 2016, 6, 1673–1678. [Google Scholar] [CrossRef]
- O’Donoghue, S.; Kilmartin, L.; O’Hora, D.; Emsell, L.; Langan, C.; McInerney, S.; Forde, N.J.; Leemans, A.; Jeurissen, B.; Barker, G.J.; et al. Anatomical integration and rich-club connectivity in euthymic bipolar disorder. Psychol. Med. 2017, 47, 1609–1623. [Google Scholar] [CrossRef] [PubMed]
- Scheuerecker, J.; Frodl, T.; Koutsouleris, N.; Zetzsche, T.; Wiesmann, M.; Kleemann, A.; Brückmann, H.; Schmitt, G.; Möller, H.-J.; Meisenzahl, E. Cerebral Differences in Explicit and Implicit Emotional Processing—An fMRI Study. Neuropsychobiology 2007, 56, 32–39. [Google Scholar] [CrossRef]
- Mei, L.; Xue, G.; Chen, C.; Xue, F.; Zhang, M.; Dong, Q. The “visual word form area” is involved in successful memory encoding of both words and faces. NeuroImage 2010, 52, 371–378. [Google Scholar] [CrossRef]
- Schraa-Tam, C.K.L.; Rietdijk, W.J.R.; Verbeke, W.J.M.I.; Dietvorst, R.C.; Berg, W.E.V.D.; Bagozzi, R.P.; De Zeeuw, C.I. fMRI Activities in the Emotional Cerebellum: A Preference for Negative Stimuli and Goal-Directed Behavior. Cerebellum 2012, 11, 233–245. [Google Scholar] [CrossRef]
- Nesvåg, R.; Saetre, P.; Lawyer, G.; Jönsson, E.G.; Agartz, I. The relationship between symptom severity and regional cortical and grey matter volumes in schizophrenia. Prog. Neuropsychopharmacol. Biol. Psychiatry 2009, 33, 482–490. [Google Scholar] [CrossRef]
- Volpe, U.; Mucci, A.; Quarantelli, M.; Galderisi, S.; Maj, M. Dorsolateral prefrontal cortex volume in patients with deficit or nondeficit schizophrenia. Prog. Neuropsychopharmacol. Biol. Psychiatry 2012, 37, 264–269. [Google Scholar] [CrossRef]
- Heuvel, M.R.V.D.; Sporns, O.; Collin, G.; Scheewe, T.; Mandl, R.C.; Cahn, W.; Goñi, J.; Pol, H.H.; Kahn, R.S. Abnormal Rich Club Organization and Functional Brain Dynamics in Schizophrenia. JAMA Psychiatry 2013, 70, 783–792. [Google Scholar] [CrossRef]
- Goghari, V.M.; Smith, G.N.; Honer, W.G.; Kopala, L.C.; Thornton, A.; Su, W.; MacEwan, G.W.; Lang, D.J. Effects of eight weeks of atypical antipsychotic treatment on middle frontal thickness in drug-naïve first-episode psychosis patients. Schizophr. Res. 2013, 149, 149–155. [Google Scholar] [CrossRef] [PubMed]
- Seol, J.J.; Kim, M.; Lee, K.H.; Hur, J.-W.; Cho, K.I.K.; Lee, T.Y.; Chung, C.K.; Kwon, J.S. Is There an Association Between Mismatch Negativity and Cortical Thickness in Schizophrenia Patients? Clin. EEG Neurosci. 2017, 48, 383–392. [Google Scholar] [CrossRef] [PubMed]


| Schizophrenia a (n = 39) | Bipolar Disorder b (n = 37) | Healthy Controls c (n = 32) | p | Post-Hoc (LSD) | |
|---|---|---|---|---|---|
| Age (years) | 43.62 ± 11.11 | 40.24 ± 12.72 | 44.59 ± 12.51 | 0.286 | |
| Sex | 0.182 | ||||
| Male | 17 (43.6) | 10 (27.0) | 15 (46.9) | ||
| Female | 22 (56.4) | 27 (73.0) | 17 (53.1) | ||
| Premorbid IQ | 100.60 ± 10.17 | 97.73 ± 8.19 | 107.03 ± 9.38 | <0.001 | a < c, b < c |
| Education (years) | 13.28 ± 2.68 | 12.73 ± 2.70 | 13.59 ± 3.77 | 0.490 | |
| Number of hospitalizations | 3.28 ± 4.09 | 2.47 ± 2.63 | 0.316 | ||
| Duration of illness (years) | 13.46 ± 9.54 | 9.50 ± 6.90 | 0.053 | ||
| Onset age (years) | 29.23 ± 10.71 | 30.94 ± 12.93 | 0.551 | ||
| Dosage of medication (CPZ equivalent, mg) | 395.90 ± 480.77 | 253.53 ± 316.99 | |||
| Dosage of medication (equivalent to sodium valproate dose, mg) | 101.28 ± 250.39 | 790.49 ± 530.04 | |||
| PANSS | |||||
| Positive | 13.74 ± 7.16 | 8.95 ± 2.05 | |||
| Delusion | 2.21 ± 1.51 | 1.16 ± 0.44 | |||
| Conceptual disorganization | 2.23 ± 1.51 | 1.19 ± 0.52 | |||
| Hallucinatory behavior | 2.23 ± 1.55 | 1.08 ± 0.36 | |||
| Excitement | 1.54 ± 0.94 | 1.86 ± 0.86 | |||
| Grandiosity | 1.49 ± 0.97 | 1.35 ± 0.72 | |||
| Suspiciousness/persecution | 2.46 ± 1.39 | 1.57 ± 0.65 | |||
| Hostility | 1.59 ± 0.85 | 1.19 ± 0.52 | |||
| Negative | 17.28 ± 6.76 | 9.03 ± 2.69 | |||
| General | 31.28 ± 10.91 | 24.03 ± 6.03 | |||
| Total | 62.31 ± 22.22 | 42.00 ± 8.86 | |||
| YMRS | 5.78 ± 3.00 | ||||
| Verbal fluency | 15.21 ± 4.95 | 14.57 ± 5.37 | 18.90 ± 5.96 | 0.003 | a < c, b < c |
| K-AVLT-trial 5 | 8.77 ± 2.77 | 10.22 ± 2.84 | 11.50 ± 1.78 | <0.001 | a < b, a < c, b < c |
| Schizophrenia a (n = 39) | Bipolar Disorder b (n = 37) | Healthy Controls c (n = 32) | Effect Size (η2) | p * | Post-Hoc (LSD) | |
|---|---|---|---|---|---|---|
| Strength | 63.19 ± 6.18 | 64.61 ± 7.10 | 68.81 ± 5.56 | 0.135 | 0.001 | a < c, b < c |
| CC | 0.31 ± 0.05 | 0.32 ± 0.06 | 0.36 ± 0.05 | 0.132 | 0.001 | a < c, b < c |
| PL | 3.08 ± 0.34 | 3.02 ± 0.43 | 2.74 ± 0.24 | 0.171 | <0.001 | a > c, b > c |
| Efficiency | 0.50 ± 0.03 | 0.51 ± 0.04 | 0.53 ± 0.03 | 0.137 | 0.001 | a < c, b < c |
| Schizophrenia a (n = 39) | Bipolar Disorder b (n = 37) | Healthy Controls c (n = 32) | Effect Size (η2) | p * | Post-Hoc (LSD) | |
|---|---|---|---|---|---|---|
| Left suborbital sulcus | 0.25 ± 0.13 | 0.34 ± 0.12 | 0.37 ± 0.13 | 0.135 | 0.037 | a < b, a < c |
| Right superior frontal sulcus | 0.24 ± 0.15 | 0.31 ± 0.13 | 0.36 ± 0.13 | 0.130 | 0.037 | a < b, a < c |
| Right long insular gyrus and central insular sulcus | 0.23 ± 0.13 | 0.26 ± 0.15 | 0.36 ± 0.11 | 0.154 | <0.001 | a < c, b < c |
| Left superior occipital gyrus | 0.24 ± 0.16 | 0.24 ± 0.15 | 0.36 ± 0.13 | 0.175 | <0.001 | a < c, b < c |
© 2020 by the authors. Licensee MDPI, Basel, Switzerland. This article is an open access article distributed under the terms and conditions of the Creative Commons Attribution (CC BY) license (http://creativecommons.org/licenses/by/4.0/).
Share and Cite
Kim, S.; Kim, Y.-W.; Jeon, H.; Im, C.-H.; Lee, S.-H. Altered Cortical Thickness-Based Individualized Structural Covariance Networks in Patients with Schizophrenia and Bipolar Disorder. J. Clin. Med. 2020, 9, 1846. https://doi.org/10.3390/jcm9061846
Kim S, Kim Y-W, Jeon H, Im C-H, Lee S-H. Altered Cortical Thickness-Based Individualized Structural Covariance Networks in Patients with Schizophrenia and Bipolar Disorder. Journal of Clinical Medicine. 2020; 9(6):1846. https://doi.org/10.3390/jcm9061846
Chicago/Turabian StyleKim, Sungkean, Yong-Wook Kim, Hyeonjin Jeon, Chang-Hwan Im, and Seung-Hwan Lee. 2020. "Altered Cortical Thickness-Based Individualized Structural Covariance Networks in Patients with Schizophrenia and Bipolar Disorder" Journal of Clinical Medicine 9, no. 6: 1846. https://doi.org/10.3390/jcm9061846
APA StyleKim, S., Kim, Y.-W., Jeon, H., Im, C.-H., & Lee, S.-H. (2020). Altered Cortical Thickness-Based Individualized Structural Covariance Networks in Patients with Schizophrenia and Bipolar Disorder. Journal of Clinical Medicine, 9(6), 1846. https://doi.org/10.3390/jcm9061846

