Identification of Prognostic Candidate Genes in Breast Cancer by Integrated Bioinformatic Analysis
Abstract
1. Introduction
2. Materials and Methods
2.1. Dataset Download
2.2. Data Preprocessing
2.3. Gene Coexpression Network Construction
2.4. Identification of Clinically Significant Modules
2.5. Candidate Hub Genes Identification
2.6. Network Analysis and Visualization
2.7. Pathway Enrichment Analysis and Gene Ontology
3. Results
3.1. Weighted Coexpression Network Construction and Key Modules Identification
3.2. Identification of Candidate Genes with High Weighted Degree Score
3.3. Pathway Enrichment Analysis and Gene Ontology
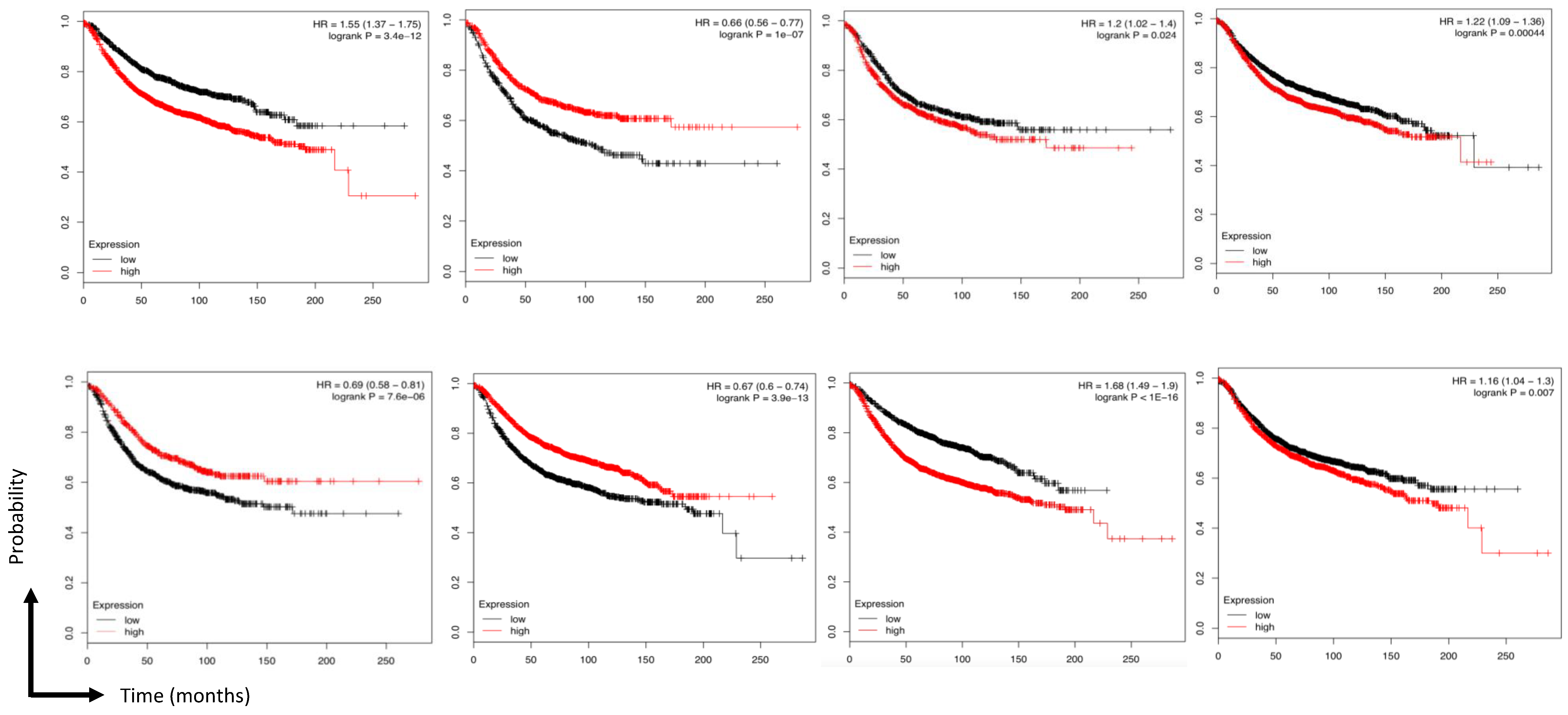
3.4. Identification and Validation of Hub Genes
4. Discussion
- (1)
- Construction and analysis of the gene coexpression network
- (2)
- Screening of differential genes
5. Conclusions
Supplementary Materials
Author Contributions
Funding
Conflicts of Interest
References
- Waks, A.G.; Winer, E.P. Breast Cancer Treatment: A Review. JAMA 2019, 321, 288–300. [Google Scholar] [CrossRef]
- Bhikoo, R.; Srinivasa, S.; Yu, T.C.; Moss, D.; Hill, A.G. Systematic review of breast cancer biology in developing countries (part 2): Asian subcontinent and South East Asia. Cancers 2011, 3, 2382–2401. [Google Scholar] [PubMed]
- Tang, J.; Kong, D.; Cui, Q.; Wang, K.; Zhang, D.; Gong, Y.; Wu, G. Prognostic Genes of Breast Cancer Identified by Gene Coexpression Network Analysis. Front. Oncol. 2018, 8, 374. [Google Scholar] [CrossRef] [PubMed]
- Fan, L.; Goss, P.E.; Strasser-Weippl, K. Current Status and Future Projections of Breast Cancer in Asia. Breast Care 2015, 10, 372–378. [Google Scholar] [CrossRef] [PubMed]
- Li, J.; Zhou, D.; Qiu, W.; Shi, Y.; Yang, J.J.; Chen, S.; Wang, Q.; Pan, H. Application of Weighted Gene Coexpression Network Analysis for Data from Paired Design. Sci. Rep. 2018, 8, 622. [Google Scholar] [CrossRef] [PubMed]
- Yuan, L.; Chen, L.; Qian, K.; Qian, G.; Wu, C.L.; Wang, X.; Xiao, Y. Coexpression network analysis identified six hub genes in association with progression and prognosis in human clear cell renal cell carcinoma (ccRCC). Genom. Data 2017, 14, 132–140. [Google Scholar] [CrossRef]
- Stratton, M.R.; Campbell, P.J.; Futreal, P.A. The cancer genome. Nature 2009, 458, 719. [Google Scholar] [PubMed]
- Langfelder, P.; Horvath, S. WGCNA: An R package for weighted correlation network analysis. BMC Bioinform. 2008, 9, 559. [Google Scholar]
- Daemen, A.; Griffith, O.L.; Heiser, L.M.; Wang, N.J.; Enache, O.M.; Sanborn, Z.; Pepin, F.; Durinck, S.; Korkola, J.E.; Griffith, M.; et al. Modeling precision treatment of breast cancer. Genome Biol. 2013, 14, R110. [Google Scholar] [CrossRef]
- Durinck, S.; Moreau, Y.; Kasprzyk, A.; Davis, S.; De Moor, B.; Brazma, A.; Huber, W. BioMart and Bioconductor: A powerful link between biological databases and microarray data analysis. Bioinformatics 2005, 21, 3439–3440. [Google Scholar]
- Durinck, S.; Spellman, P.T.; Birney, E.; Huber, W. Mapping identifiers for the integration of genomic datasets with the R/Bioconductor package biomaRt. Nat. Protoc. 2009, 4, 1184–1191. [Google Scholar] [PubMed]
- Del Re, A.C.; Hoyt, W. MAd: Meta-Analysis with Mean Differences. 2011. Available online: https://www.researchgate.net/publication/215543946_MAd_Meta-Analysis_with_Mean_Differences (accessed on 25 June 2019).
- Langfelder, P.; Horvath, S. Fast R Functions for Robust Correlations and Hierarchical Clustering. J. Stat. Softw. 2012, 46. [Google Scholar] [CrossRef]
- Horvath, S.; Dong, J. Geometric Interpretation of Gene Coexpression Network Analysis. PLoS Comput. Biol. 2008, 4, e1000117. [Google Scholar] [CrossRef] [PubMed]
- Zhang, B.; Horvath, S. A general framework for weighted gene coexpression network analysis. Stat. Appl. Genet. Mol. Biol. 2005, 4. [Google Scholar] [CrossRef] [PubMed]
- Van Dam, S.; Vosa, U.; van der Graaf, A.; Franke, L.; de Magalhaes, J.P. Gene coexpression analysis for functional classification and gene–disease predictions. Brief. Bioinform. 2017, 19, 575–592. [Google Scholar]
- Freeman, L.C. Centrality in social networks conceptual clarification. Soc. Netw. 1978, 1, 215–239. [Google Scholar] [CrossRef]
- Azuaje, F.J. Selecting biologically informative genes in coexpression networks with a centrality score. Biol. Direct 2014, 9, 12. [Google Scholar] [CrossRef]
- Benito-Martin, A.; Peinado, H. FunRich proteomics software analysis, let the fun begin! Proteomics 2015, 15, 2555–2556. [Google Scholar]
- Miller, J.W.; Royalty, J.; Henley, J.; White, A.; Richardson, L.C. Breast and cervical cancers diagnosed and stage at diagnosis among women served through the National Breast and Cervical Cancer Early Detection Program. Cancer Causes Control 2015, 26, 741–747. [Google Scholar] [CrossRef]
- Qiu, J.; Du, Z.; Wang, Y.; Zhou, Y.; Zhang, Y.; Xie, Y.; Lv, Q. Weighted gene coexpression network analysis reveals modules and hub genes associated with the development of breast cancer. Medicine 2019, 98, e14345. [Google Scholar] [CrossRef]
- Trapnell, C.; Williams, B.A.; Pertea, G.; Mortazavi, A.; Kwan, G.; van Baren, M.J.; Salzberg, S.L.; Wold, B.J.; Pachter, L. Transcript assembly and quantification by RNA-Seq reveals unannotated transcripts and isoform switching during cell differentiation. Nat. Biotechnol. 2010, 28, 511–515. [Google Scholar] [CrossRef]
- Clarke, C.; Madden, S.F.; Doolan, P.; Aherne, S.T.; Joyce, H.; O’Driscoll, L.; Gallagher, W.M.; Hennessy, B.T.; Moriarty, M.; Crown, J.; et al. Correlating transcriptional networks to breast cancer survival: A large-scale coexpression analysis. Carcinogenesis 2013, 34, 2300–2308. [Google Scholar] [CrossRef]
- Chen, C.; Cheng, L.; Grennan, K.; Pibiri, F.; Zhang, C.; Badner, J.A.; Gershon, E.S.; Liu, C. Two gene coexpression modules differentiate psychotics and controls. Mol. Psychiatry 2013, 18, 1308–1314. [Google Scholar] [CrossRef]
- Feng, Y.; Li, Y.; Li, L.; Wang, X.; Chen, Z. Identification of specific modules and significant genes associated with colon cancer by weighted gene coexpression network analysis. Mol. Med. Rep. 2019, 20, 693–700. [Google Scholar]
- Filloux, C.; Cedric, M.; Romain, P.; Lionel, F.; Christophe, K.; Dominique, R.; Abderrahman, M.; Daniel, P. An integrative method to normalize RNA-Seq data. BMC Bioinform. 2014, 15, 188. [Google Scholar] [CrossRef]
- Shang, W.; Xie, Z.; Lu, F.; Fang, D.; Tang, T.; Bi, R.; Chen, L.; Jiang, L. Increased Thioredoxin-1 Expression Promotes Cancer Progression and Predicts Poor Prognosis in Patients with Gastric Cancer. Oxidative Med. Cell. Longev. 2019, 2019, 9291683. [Google Scholar] [CrossRef]
- Cho, S.Y.; Kim, S.; Son, M.J.; Rou, W.S.; Kim, S.H.; Eun, H.S.; Lee, B.S. Clinical Significance of the Thioredoxin System and Thioredoxin-Domain-Containing Protein Family in Hepatocellular Carcinoma. Dig. Dis. Sci. 2019, 64, 123–136. [Google Scholar] [CrossRef]
- Zhao, X.; Jiang, M.; Wang, Z. TPM4 promotes cell migration by modulating F-actin formation in lung cancer. Onco Targets Ther. 2019, 12, 4055–4063. [Google Scholar] [CrossRef]
- Lomnytska, M.I.; Becker, S.; Bodin, I.; Olsson, A.; Hellman, K.; Hellstrom, A.C.; Mints, M.; Hellman, U.; Auer, G.; Andersson, S. Differential expression of ANXA6, HSP27, PRDX2, NCF2, and TPM4 during uterine cervix carcinogenesis: Diagnostic and prognostic value. Br. J. Cancer 2011, 104, 110–119. [Google Scholar] [CrossRef]
- Tang, H.Y.; Beer, L.A.; Tanyi, J.L.; Zhang, R.; Liu, Q.; Speicher, D.W. Protein isoform-specific validation defines multiple chloride intracellular channel and tropomyosin isoforms as serological biomarkers of ovarian cancer. J. Proteom. 2013, 89, 165–178. [Google Scholar] [CrossRef]
- De Jong, O.G.; van der Waals, L.M.; Kools, F.R.W.; Verhaar, M.C.; van Balkom, B.W.M. Lysyl oxidase-like 2 is a regulator of angiogenesis through modulation of endothelial-to-mesenchymal transition. J. Cell. Physiol. 2019, 234, 10260–10269. [Google Scholar] [CrossRef]
- Shao, B.; Zhao, X.; Liu, T.; Zhang, Y.; Sun, R.; Dong, X.; Liu, F.; Zhao, N.; Zhang, D.; Wu, L.; et al. LOXL2 promotes vasculogenic mimicry and tumour aggressiveness in hepatocellular carcinoma. J. Cell. Mol. Med. 2019, 23, 1363–1374. [Google Scholar] [CrossRef]
- Tarnawski, L.; Reardon, C.; Caravaca, A.S.; Rosas-Ballina, M.; Tusche, M.W.; Drake, A.R.; Hudson, L.K.; Hanes, W.M.; Li, J.H.; Parrish, W.R.; et al. Adenylyl Cyclase 6 Mediates Inhibition of TNF in the Inflammatory Reflex. Front. Immunol. 2018, 9, 2648. [Google Scholar] [CrossRef]
- Fan, N.J.; Kang, R.; Ge, X.Y.; Li, M.; Liu, Y.; Chen, H.M.; Gao, C.F. Identification alpha-2-HS-glycoprotein precursor and tubulin beta chain as serology diagnosis biomarker of colorectal cancer. Diagn. Pathol. 2014, 9, 53. [Google Scholar] [CrossRef]
- Zhang, J.; Huang, J.; Wang, X.; Chen, W.; Tang, Q.; Fang, M.; Qian, Y. CMIP is oncogenic in human gastric cancer cells. Mol. Med. Rep. 2017, 16, 7277–7286. [Google Scholar] [CrossRef]
- Wang, B.; Wu, Z.S.; Wu, Q. CMIP Promotes Proliferation and Metastasis in Human Glioma. BioMed Res. Int. 2017, 2017, 5340160. [Google Scholar] [CrossRef]
- Tsai, F.C.; Kuo, G.H.; Chang, S.W.; Tsai, P.J. Ca2+ signaling in cytoskeletal reorganization, cell migration, and cancer metastasis. BioMed Res. Int. 2015, 2015, 409245. [Google Scholar] [CrossRef]







| Gene Name | Subtype | KEGG Pathways |
|---|---|---|
| TXN | Nonmalignant |
|
| ANXA2 | Nonmalignant |
|
| LOXL2 | Luminal |
|
| TPM4 | Luminal |
|
| TUBA1C | Basal |
|
| CMIP | Basal | No Data Available |
| TPRN | Claudin-low | No Data Available |
| ADCY6 | Claudin-low |
|
© 2019 by the authors. Licensee MDPI, Basel, Switzerland. This article is an open access article distributed under the terms and conditions of the Creative Commons Attribution (CC BY) license (http://creativecommons.org/licenses/by/4.0/).
Share and Cite
Wang, C.C.N.; Li, C.Y.; Cai, J.-H.; Sheu, P.C.-Y.; Tsai, J.J.P.; Wu, M.-Y.; Li, C.-J.; Hou, M.-F. Identification of Prognostic Candidate Genes in Breast Cancer by Integrated Bioinformatic Analysis. J. Clin. Med. 2019, 8, 1160. https://doi.org/10.3390/jcm8081160
Wang CCN, Li CY, Cai J-H, Sheu PC-Y, Tsai JJP, Wu M-Y, Li C-J, Hou M-F. Identification of Prognostic Candidate Genes in Breast Cancer by Integrated Bioinformatic Analysis. Journal of Clinical Medicine. 2019; 8(8):1160. https://doi.org/10.3390/jcm8081160
Chicago/Turabian StyleWang, Charles C.N., Chia Ying Li, Jia-Hua Cai, Phillip C.-Y. Sheu, Jeffrey J.P. Tsai, Meng-Yu Wu, Chia-Jung Li, and Ming-Feng Hou. 2019. "Identification of Prognostic Candidate Genes in Breast Cancer by Integrated Bioinformatic Analysis" Journal of Clinical Medicine 8, no. 8: 1160. https://doi.org/10.3390/jcm8081160
APA StyleWang, C. C. N., Li, C. Y., Cai, J.-H., Sheu, P. C.-Y., Tsai, J. J. P., Wu, M.-Y., Li, C.-J., & Hou, M.-F. (2019). Identification of Prognostic Candidate Genes in Breast Cancer by Integrated Bioinformatic Analysis. Journal of Clinical Medicine, 8(8), 1160. https://doi.org/10.3390/jcm8081160

