Feasibility and Preliminary Effects of Adding Percutaneous Electrical Nerve Stimulation to a Pain Education and Exercise Program in Patients with Knee Osteoarthritis: A Pilot Randomized Controlled Trial
Abstract
1. Introduction
2. Materials and Methods
2.1. Study Design/Setting
2.2. Participants
2.3. Outcomes Measures
2.3.1. Visual Analogue Scale
2.3.2. Chronic Pain Grading Scale
2.3.3. Western Ontario and McMaster Universities Osteoarthritis Index Questionnaire
2.3.4. The Timed up and Go Test
2.3.5. Short Physical Performance Battery
2.3.6. Pressure Pain Thresholds
2.3.7. Conditioned Pain Modulation
2.3.8. Temporal Summation of Pain
2.4. Feasibility and Safety
2.5. Procedures and Intervention
2.5.1. Therapeutic Exercise
2.5.2. Pain Education
2.5.3. PENS
2.5.4. Control TENS
2.5.5. Sham PENS
2.6. Statistical Analysis
3. Results
3.1. Feasibility, Adherence and Safety
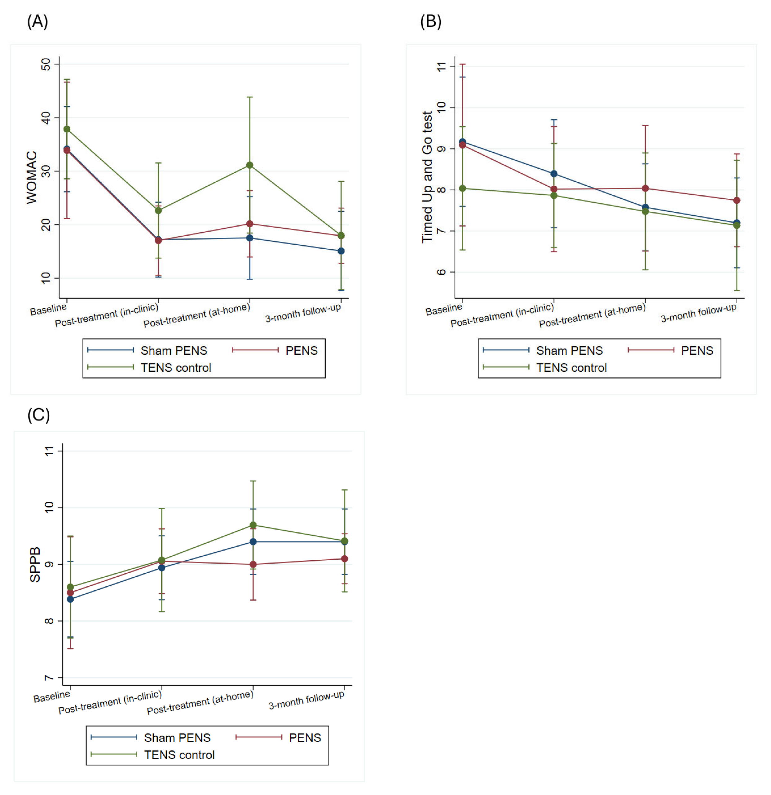
3.2. Effects on Pain Intensity and Function
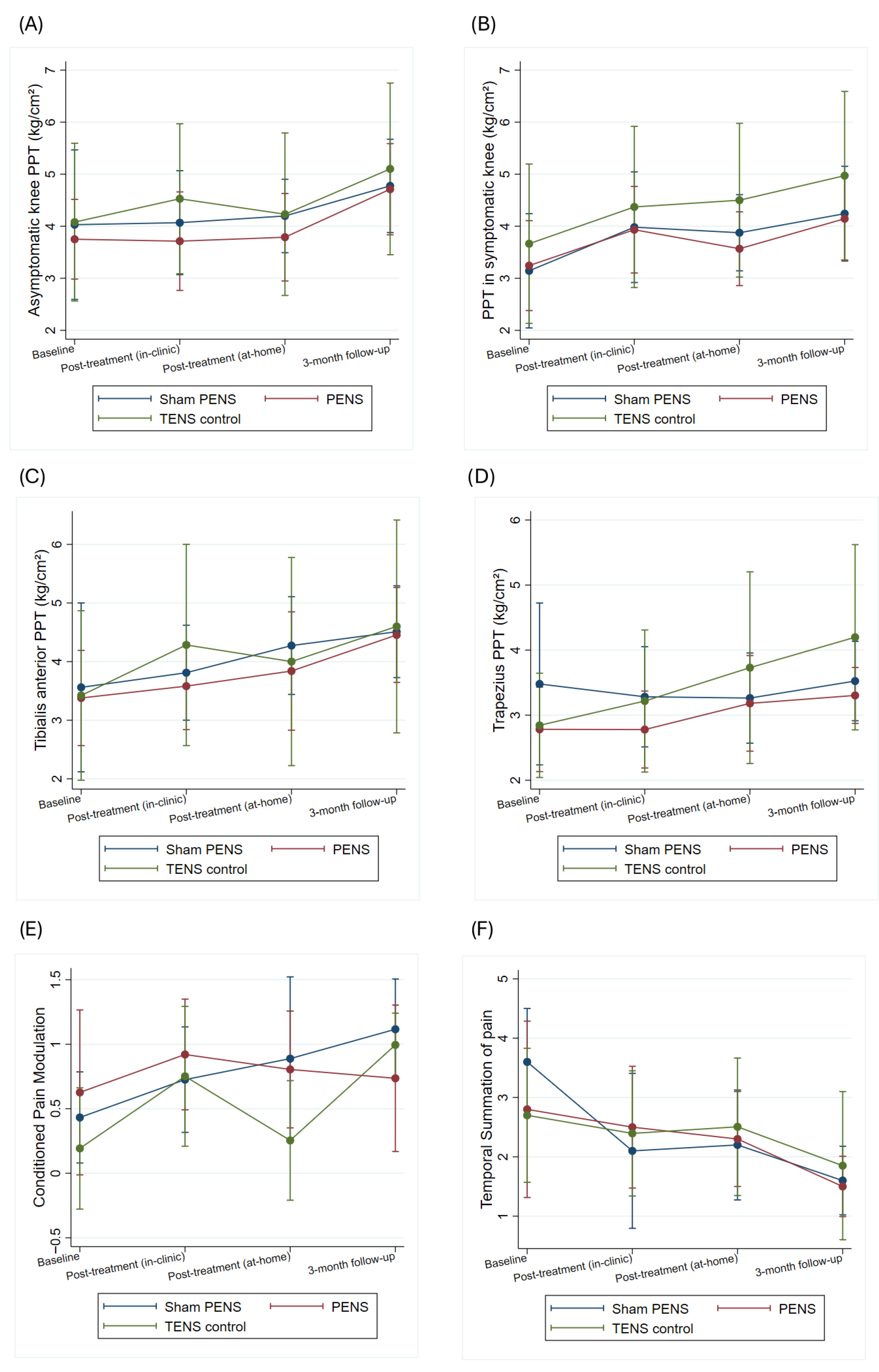
3.3. Effects on Pain Sensitization
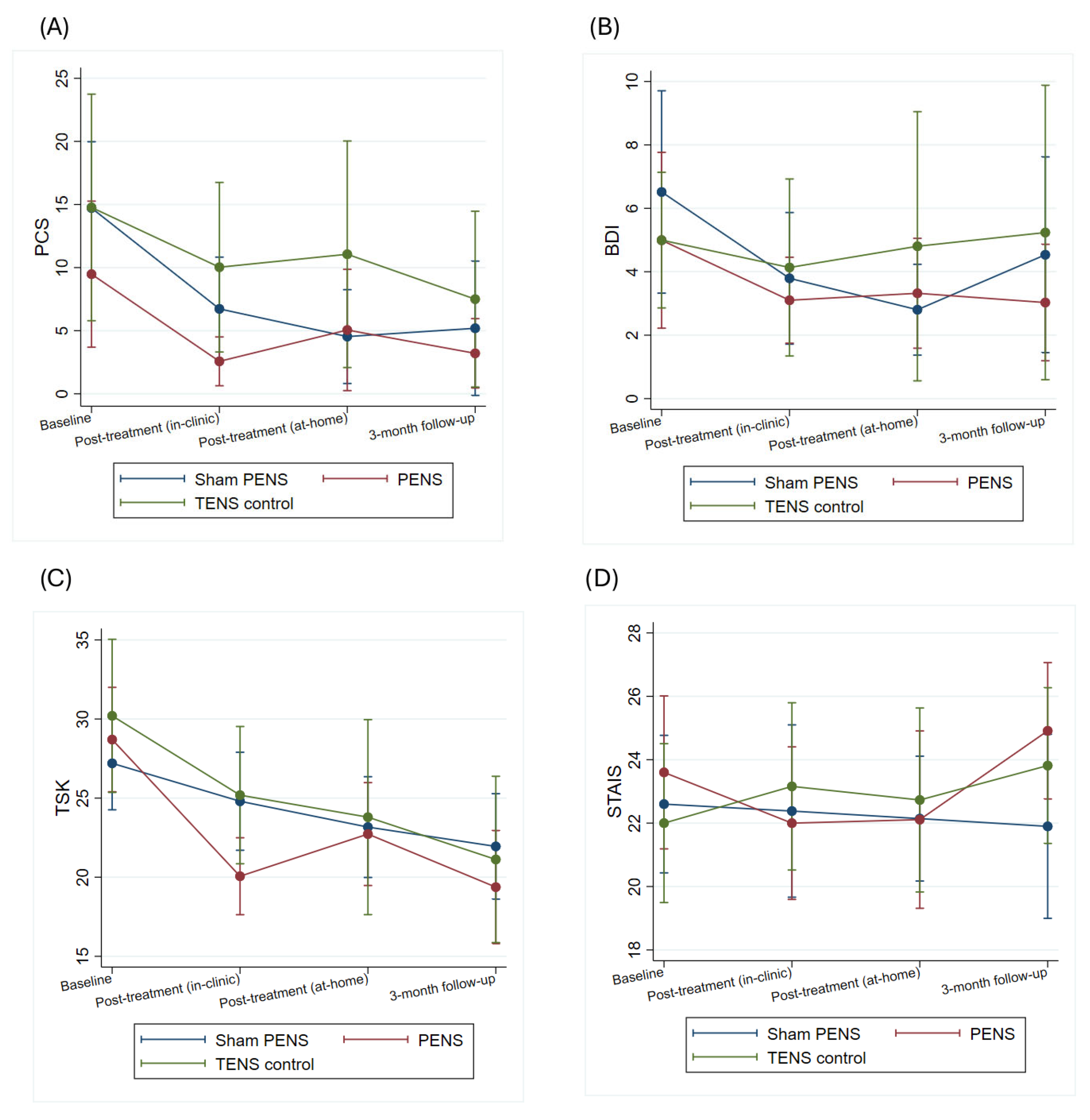
3.4. Effects on Psychological Factors
3.5. Success of Blinding
4. Discussion
4.1. Clinical Relevance
4.2. Strengths and Weaknesses
5. Conclusions
Supplementary Materials
Author Contributions
Funding
Institutional Review Board Statement
Informed Consent Statement
Data Availability Statement
Conflicts of Interest
Abbreviations
| PENS | Percutaneous electrical nerve stimulation |
| KOA | Knee osteoarthritis |
| TENS | Transcutaneous electrical nerve stimulation |
| WOMAC | Western Ontario and McMaster Universities Osteoarthritis Index |
| VAS | Visual Analogue Scale |
| CPGS | Chronic Pain Grading Scale |
| PPT | Pressure Pain Threshold |
| CPM | Conditioned Pain Modulation |
| TSP | Temporal Summation of Pain |
| TUG | Timed Up and Go |
| SPPB | Short Physical Performance Battery |
| STAI | State-Trait Anxiety Inventory |
| BDI-II | Beck Depression Inventory-II |
| PCS | Pain Catastrophizing Scale |
| TSK-11 | Tampa Scale for Kinesiophobia |
References
- Hunter, D.J.; Bierma-Zeinstra, S. Osteoarthritis. Lancet 2019, 393, 1745–1759. [Google Scholar] [CrossRef]
- da Prado, L.D.S.d.; Ramos, M.E.K.; Camargo, J.D.C.; Bertoncelo, G.L.; Reginatto, C.C.; Siqueira, L.d.O. Relationship between Pain, Functional Limitations, Dependence, Depression and Osteoarthritis in Older Adults. Fisioter. Mov. 2023, 36, e36202. [Google Scholar] [CrossRef]
- Hunter, D.J.; March, L.; Chew, M. Osteoarthritis in 2020 and beyond: A Lancet Commission. Lancet 2020, 396, 1711–1712. [Google Scholar] [CrossRef] [PubMed]
- Dieppe, P.A.; Lohmander, L.S. Pathogenesis and Management of Pain in Osteoarthritis. Lancet 2005, 365, 965–973. [Google Scholar] [CrossRef]
- Culvenor, A.G.; Øiestad, B.E.; Hart, H.F.; Stefanik, J.J.; Guermazi, A.; Crossley, K.M. Prevalence of Knee Osteoarthritis Features on Magnetic Resonance Imaging in Asymptomatic Uninjured Adults: A Systematic Review and Meta-Analysis. Br. J. Sports Med. 2019, 53, 1268–1278. [Google Scholar] [CrossRef] [PubMed]
- Finan, P.H.; Buenaver, L.F.; Bounds, S.C.; Hussain, S.; Park, R.J.; Haque, U.J.; Campbell, C.M.; Haythornthwaite, J.A.; Edwards, R.R.; Smith, M.T. Discordance between Pain and Radiographic Severity in Knee Osteoarthritis: Findings from Quantitative Sensory Testing of Central Sensitization. Arthritis Rheum. 2013, 65, 363–372. [Google Scholar] [CrossRef]
- Arendt-Nielsen, L.; Skou, S.T.; Nielsen, T.A.; Petersen, K.K. Altered Central Sensitization and Pain Modulation in the CNS in Chronic Joint Pain. Curr. Osteoporos. Rep. 2015, 13, 225–234. [Google Scholar] [CrossRef]
- Arendt-Nielsen, L.; Simonsen, O.; Laursen, M.B.; Roos, E.M.; Rathleff, M.S.; Rasmussen, S.; Skou, S.T. Pain and Sensitization after Total Knee Replacement or Nonsurgical Treatment in Patients with Knee Osteoarthritis: Identifying Potential Predictors of Outcome at 12 Months. Eur. J. Pain 2018, 22, 1088–1102. [Google Scholar] [CrossRef]
- Lluch, E.; Torres, R.; Nijs, J.; Van Oosterwijck, J. Evidence for Central Sensitization in Patients with Osteoarthritis Pain: A Systematic Literature Review. Eur. J. Pain 2014, 18, 1367–1375. [Google Scholar] [CrossRef]
- Suokas, A.K.; Walsh, D.A.; McWilliams, D.F.; Condon, L.; Moreton, B.; Wylde, V.; Arendt-Nielsen, L.; Zhang, W. Quantitative Sensory Testing in Painful Osteoarthritis: A Systematic Review and Meta-Analysis. Osteoarthr. Cartil. 2012, 20, 1075–1085. [Google Scholar] [CrossRef] [PubMed]
- Arant, K.R.; Katz, J.N.; Neogi, T. Quantitative Sensory Testing: Identifying Pain Characteristics in Patients with Osteoarthritis. Osteoarthr. Cartil. 2022, 30, 17–31. [Google Scholar] [CrossRef]
- Kurien, T.; Arendt-Nielsen, L.; Petersen, K.K.; Graven-Nielsen, T.; Scammell, B.E. Preoperative Neuropathic Pain-like Symptoms and Central Pain Mechanisms in Knee Osteoarthritis Predicts Poor Outcome 6 Months After Total Knee Replacement Surgery. J. Pain 2018, 19, 1329–1341. [Google Scholar] [CrossRef]
- Kosek, E.; Roos, E.M.; Ageberg, E.; Nilsdotter, A. Increased Pain Sensitivity but Normal Function of Exercise Induced Analgesia in Hip and Knee Osteoarthritis—Treatment Effects of Neuromuscular Exercise and Total Joint Replacement. Osteoarthr. Cartil. 2013, 21, 1299–1307. [Google Scholar] [CrossRef]
- Graven-Nielsen, T.; Wodehouse, T.; Langford, R.M.; Arendt-Nielsen, L.; Kidd, B.L. Normalization of Widespread Hyperesthesia and Facilitated Spatial Summation of Deep-Tissue Pain in Knee Osteoarthritis Patients after Knee Replacement. Arthritis Rheum. 2012, 64, 2907–2916. [Google Scholar] [CrossRef]
- Dahmani, D.; Taik, F.Z.; Berrichi, I.; Fourtassi, M.; Abourazzak, F.E. Impact of Central Sensitization on Pain, Disability and Psychological Distress in Patients with Knee Osteoarthritis and Chronic Low Back Pain. BMC Musculoskelet. Disord. 2023, 24, 877. [Google Scholar] [CrossRef]
- Gibbs, A.J.; Gray, B.; Wallis, J.A.; Taylor, N.F.; Kemp, J.L.; Hunter, D.J.; Barton, C.J. Recommendations for the Management of Hip and Knee Osteoarthritis: A Systematic Review of Clinical Practice Guidelines. Osteoarthr. Cartil. 2023, 31, 1280–1292. [Google Scholar] [CrossRef]
- Fransen, M.; McConnell, S.; Harmer, A.R.; Van der Esch, M.; Simic, M.; Bennell, K.L. Exercise for Osteoarthritis of the Knee: A Cochrane Systematic Review. Br. J. Sports Med. 2015, 49, 1554–1557. [Google Scholar] [CrossRef]
- Foster, N.E.; Nicholls, E.; Holden, M.A.; Healey, E.L.; Hay, E.M.; BEEP Trial Team. Improving the Effectiveness of Exercise Therapy for Adults with Knee Osteoarthritis: A Pragmatic Randomized Controlled Trial (BEEP Trial). Arch. Rehabil. Res. Clin. Transl. 2023, 5, 100266. [Google Scholar] [CrossRef]
- Juhl, C.; Christensen, R.; Roos, E.M.; Zhang, W.; Lund, H. Impact of Exercise Type and Dose on Pain and Disability in Knee Osteoarthritis: A Systematic Review and Meta-Regression Analysis of Randomized Controlled Trials. Arthritis Rheumatol. 2014, 66, 622–636. [Google Scholar] [CrossRef]
- Wu, Y.; Zhu, F.; Chen, W.; Zhang, M. Effects of Transcutaneous Electrical Nerve Stimulation (TENS) in People with Knee Osteoarthritis: A Systematic Review and Meta-Analysis. Clin. Rehabil. 2022, 36, 472–485. [Google Scholar] [CrossRef]
- Weiner, D.K.; Rudy, T.E.; Morone, N.; Glick, R.; Kwoh, C.K. Efficacy of Periosteal Stimulation Therapy for the Treatment of Osteoarthritis-Associated Chronic Knee Pain: An Initial Controlled Clinical Trial. J. Am. Geriatr. Soc. 2007, 55, 1541–1547. [Google Scholar] [CrossRef]
- Shim, J.-W.; Jung, J.-Y.; Kim, S.-S. Effects of Electroacupuncture for Knee Osteoarthritis: A Systematic Review and Meta-Analysis. Evid. Based Complement. Altern. Med. 2016, 2016, 3485875. [Google Scholar] [CrossRef]
- Ding, Y.; Wang, Y.; Shi, X.; Luo, Y.; Gao, Y.; Pan, J. Effect of Ultrasound-Guided Acupotomy vs Electro-Acupuncture on Knee Osteoarthritis: A Randomized Controlled Study. J. Tradit. Chin. Med. 2016, 36, 450–455. [Google Scholar]
- Xin, Y.-Y.; Wang, J.-X.; Xu, A.-J. Electroacupuncture Ameliorates Neuroinflammation in Animal Models. Acupunct. Med. 2022, 40, 474–483. [Google Scholar] [CrossRef] [PubMed]
- Huang, C.; Huang, Z.-Q.; Hu, Z.-P.; Jiang, S.-Z.; Li, H.-T.; Han, J.-S.; Wan, Y. Electroacupuncture Effects in a Rat Model of Complete Freund’s Adjuvant-Induced Inflammatory Pain: Antinociceptive Effects Enhanced and Tolerance Development Accelerated. Neurochem. Res. 2008, 33, 2107–2111. [Google Scholar] [CrossRef] [PubMed]
- Vance, C.G.; Dailey, D.L.; Rakel, B.A.; Sluka, K.A. Using TENS for Pain Control: The State of the Evidence. Pain Manag. 2014, 4, 197–209. [Google Scholar] [CrossRef]
- da Graca-Tarragó, M.; Deitos, A.; Patrícia Brietzke, A.; Torres, I.L.S.; Cadore Stefani, L.; Fregni, F.; Caumo, W. Electrical Intramuscular Stimulation in Osteoarthritis Enhances the Inhibitory Systems in Pain Processing at Cortical and Cortical Spinal System. Pain Med. 2016, 17, 877–891. [Google Scholar] [CrossRef]
- da Graca-Tarragó, M.; Lech, M.; Angoleri, L.D.M.; Santos, D.S.; Deitos, A.; Brietzke, A.P.; Torres, I.L.; Fregni, F.; Caumo, W. Intramuscular Electrical Stimulus Potentiates Motor Cortex Modulation Effects on Pain and Descending Inhibitory Systems in Knee Osteoarthritis: A Randomized, Factorial, Sham-Controlled Study. J. Pain Res. 2019, 12, 209–221. [Google Scholar] [CrossRef]
- Villanueva, L.; Le Bars, D. The Activation of Bulbo-Spinal Controls by Peripheral Nociceptive Inputs: Diffuse Noxious Inhibitory Controls. Biol. Res. 1995, 28, 113–125. [Google Scholar]
- Plaza-Manzano, G.; Gómez-Chiguano, G.F.; Cleland, J.A.; Arías-Buría, J.L.; Fernández-de-Las-Peñas, C.; Navarro-Santana, M.J. Effectiveness of Percutaneous Electrical Nerve Stimulation for Musculoskeletal Pain: A Systematic Review and Meta-Analysis. Eur. J. Pain 2020, 24, 1023–1044. [Google Scholar] [CrossRef]
- Chen, N.; Wang, J.; Mucelli, A.; Zhang, X.; Wang, C. Electro-Acupuncture Is Beneficial for Knee Osteoarthritis: The Evidence from Meta-Analysis of Randomized Controlled Trials. Am. J. Chin. Med. 2017, 45, 965–985. [Google Scholar] [CrossRef]
- Langevin, H.M.; Schnyer, R.; MacPherson, H.; Davis, R.; Harris, R.E.; Napadow, V.; Wayne, P.M.; Milley, R.J.; Lao, L.; Stener-Victorin, E.; et al. Manual and Electrical Needle Stimulation in Acupuncture Research: Pitfalls and Challenges of Heterogeneity. J. Altern. Complement. Med. 2015, 21, 113–128. [Google Scholar] [CrossRef]
- Manheimer, E.; Cheng, K.; Linde, K.; Lao, L.; Yoo, J.; Wieland, S.; van der Windt, D.A.; Berman, B.M.; Bouter, L.M. Acupuncture for Peripheral Joint Osteoarthritis. Cochrane Database Syst. Rev. 2010, 2010, CD001977. [Google Scholar] [CrossRef]
- Rodriguez Lagos, L.; Arribas-Romano, A.; Fernández-Carnero, J.; González-Zamorano, Y.; Laguarta Val, S. Effects of Percutaneous and Transcutaneous Electrical Nerve Stimulation on Endogenous Pain Mechanisms in Patients with Musculoskeletal Pain: A Systematic Review and Meta-Analysis. Pain Med. 2023, 24, 397–414. [Google Scholar] [CrossRef]
- Parry, E.; Ogollah, R.; Peat, G. “Acute Flare-Ups” in Patients with, or at High Risk of, Knee Osteoarthritis: A Daily Diary Study with Case-Crossover Analysis. Osteoarthr. Cartil. 2019, 27, 1124–1128. [Google Scholar] [CrossRef]
- Dunning, J.; Butts, R.; Young, I.; Mourad, F.; Galante, V.; Bliton, P.; Tanner, M.; Fernández-de-Las-Peñas, C. Periosteal Electrical Dry Needling as an Adjunct to Exercise and Manual Therapy for Knee Osteoarthritis: A Multicenter Randomized Clinical Trial. Clin. J. Pain 2018, 34, 1149–1158. [Google Scholar] [CrossRef]
- Stanton, T.R.; Braithwaite, F.A.; Butler, D.; Moseley, G.L.; Hill, C.; Milte, R.; Ratcliffe, J.; Maher, C.; Tomkins-Lane, C.; Pulling, B.W.; et al. The EPIPHA-KNEE Trial: Explaining Pain to Target Unhelpful Pain Beliefs to Increase PHysical Activity in KNEE Osteoarthritis—A Protocol for a Multicentre, Randomised Controlled Trial with Clinical- and Cost-Effectiveness Analysis. BMC Musculoskelet. Disord. 2021, 22, 738. [Google Scholar] [CrossRef]
- Tubach, F.; Ravaud, P.; Baron, G.; Falissard, B.; Logeart, I.; Bellamy, N.; Bombardier, C.; Felson, D.; Hochberg, M.; van der Heijde, D.; et al. Evaluation of Clinically Relevant Changes in Patient Reported Outcomes in Knee and Hip Osteoarthritis: The Minimal Clinically Important Improvement. Ann. Rheum. Dis. 2005, 64, 29–33. [Google Scholar] [CrossRef]
- Ferrer-Peña, R.; Gil-Martínez, A.; Pardo-Montero, J.; Jiménez-Penick, V.; Gallego-Izquierdo, T.; La Touche, R. Adaptation and Validation of the Spanish Version of the Graded Chronic Pain Scale. Reumatol. Clin. 2016, 12, 130–138. [Google Scholar] [CrossRef]
- Escobar, A.; Quintana, J.M.; Bilbao, A.; Azkárate, J.; Güenaga, J.I. Validation of the Spanish Version of the WOMAC Questionnaire for Patients with Hip or Knee Osteoarthritis. Western Ontario and McMaster Universities Osteoarthritis Index. Clin. Rheumatol. 2002, 21, 466–471. [Google Scholar] [CrossRef] [PubMed]
- Podsiadlo, D.; Richardson, S. The Timed “Up & Go”: A Test of Basic Functional Mobility for Frail Elderly Persons. J. Am. Geriatr. Soc. 1991, 39, 142–148. [Google Scholar] [CrossRef]
- Guralnik, J.M.; Simonsick, E.M.; Ferrucci, L.; Glynn, R.J.; Berkman, L.F.; Blazer, D.G.; Scherr, P.A.; Wallace, R.B. A Short Physical Performance Battery Assessing Lower Extremity Function: Association with Self-Reported Disability and Prediction of Mortality and Nursing Home Admission. J. Gerontol. 1994, 49, M85–M94. [Google Scholar] [CrossRef]
- Chesterton, L.S.; Sim, J.; Wright, C.C.; Foster, N.E. Interrater Reliability of Algometry in Measuring Pressure Pain Thresholds in Healthy Humans, Using Multiple Raters. Clin. J. Pain 2007, 23, 760–766. [Google Scholar] [CrossRef]
- Kennedy, D.L.; Kemp, H.I.; Ridout, D.; Yarnitsky, D.; Rice, A.S.C. Reliability of Conditioned Pain Modulation: A Systematic Review. Pain 2016, 157, 2410–2419. [Google Scholar] [CrossRef]
- Arendt-Nielsen, L.; Nie, H.; Laursen, M.B.; Laursen, B.S.; Madeleine, P.; Simonsen, O.H.; Graven-Nielsen, T. Sensitization in Patients with Painful Knee Osteoarthritis. Pain 2010, 149, 573–581. [Google Scholar] [CrossRef]
- Leemans, L.; Nijs, J.; Antonis, L.; Wideman, T.H.; Bandt, H.d.; Franklin, Z.; Mullie, P.; Moens, M.; Joos, E.; Beckwée, D. Do Psychological Factors Relate to Movement-Evoked Pain in People with Musculoskeletal Pain? A Systematic Review and Meta-Analysis. Braz. J. Phys. Ther. 2022, 26, 100453. [Google Scholar] [CrossRef]
- Holden, M.A.; Metcalf, B.; Lawford, B.J.; Hinman, R.S.; Boyd, M.; Button, K.; Collins, N.J.; Cottrell, E.; Henrotin, Y.; Larsen, J.B.; et al. Recommendations for the Delivery of Therapeutic Exercise for People with Knee and/or Hip Osteoarthritis. An International Consensus Study from the OARSI Rehabilitation Discussion Group. Osteoarthr. Cartil. 2023, 31, 386–396. [Google Scholar] [CrossRef]
- Ikeuchi, M.; Izumi, M.; Aso, K.; Sugimura, N.; Tani, T. Clinical Characteristics of Pain Originating from Intra-Articular Structures of the Knee Joint in Patients with Medial Knee Osteoarthritis. Springerplus 2013, 2, 628. [Google Scholar] [CrossRef]
- Rakel, B.; Cooper, N.; Adams, H.J.; Messer, B.R.; Frey Law, L.A.; Dannen, D.R.; Miller, C.A.; Polehna, A.C.; Ruggle, R.C.; Vance, C.G.T.; et al. A New Transient Sham TENS Device Allows for Investigator Blinding While Delivering a True Placebo Treatment. J. Pain 2010, 11, 230–238. [Google Scholar] [CrossRef]
- Rossettini, G.; Camerone, E.M.; Carlino, E.; Benedetti, F.; Testa, M. Context Matters: The Psychoneurobiological Determinants of Placebo, Nocebo and Context-Related Effects in Physiotherapy. Arch. Physiother. 2020, 10, 11. [Google Scholar] [CrossRef]
- Rodríguez-Lagos, L.; Fernández-Carnero, J.; Laguarta-Val, S.; Serrano-García, B.; Martín-Vera, D.; Runge, N.; Arribas-Romano, A. Conditioned Pain Modulation and Temporal Summation in Patients with Knee Osteoarthritis: A Systematic Review and Meta-Analysis. J. Pain 2025, 33, 105464. [Google Scholar] [CrossRef]
- Gooberman-Hill, R.; Woolhead, G.; Mackichan, F.; Ayis, S.; Williams, S.; Dieppe, P. Assessing Chronic Joint Pain: Lessons from a Focus Group Study. Arthritis Rheum. 2007, 57, 666–671. [Google Scholar] [CrossRef]
- Bellamy, N.; Sothern, R.B.; Campbell, J. Rhythmic Variations in Pain Perception in Osteoarthritis of the Knee. J. Rheumatol. 1990, 17, 364–372. [Google Scholar]
- Thibault, P.; Loisel, P.; Durand, M.-J.; Catchlove, R.; Sullivan, M.J.L. Psychological Predictors of Pain Expression and Activity Intolerance in Chronic Pain Patients. Pain 2008, 139, 47–54. [Google Scholar] [CrossRef]
- Bowden, J.L.; Kobayashi, S.; Hunter, D.J.; Mills, K.; Peat, G.; Guillemin, F.; Parry, E.; Thomas, M.J.; Eyles, J.P. Best-Practice Clinical Management of Flares in People with Osteoarthritis: A Scoping Review of Behavioral, Lifestyle and Adjunctive Treatments. Semin. Arthritis Rheum. 2021, 51, 749–760. [Google Scholar] [CrossRef]
- Zhu, B.; Ba, H.; Kong, L.; Fu, Y.; Ren, J.; Zhu, Q.; Fang, M. The Effects of Manual Therapy in Pain and Safety of Patients with Knee Osteoarthritis: A Systematic Review and Meta-Analysis. Syst. Rev. 2024, 13, 91. [Google Scholar] [CrossRef]
- Bricca, A.; Harris, L.K.; Jäger, M.; Smith, S.M.; Juhl, C.B.; Skou, S.T. Benefits and Harms of Exercise Therapy in People with Multimorbidity: A Systematic Review and Meta-Analysis of Randomised Controlled Trials. Ageing Res. Rev. 2020, 63, 101166. [Google Scholar] [CrossRef]
- Skou, S.T.; Pedersen, B.K.; Abbott, J.H.; Patterson, B.; Barton, C. Physical Activity and Exercise Therapy Benefit More Than Just Symptoms and Impairments in People with Hip and Knee Osteoarthritis. J. Orthop. Sports Phys. Ther. 2018, 48, 439–447. [Google Scholar] [CrossRef]
- Cuenca-Martínez, F.; Suso-Martí, L.; Calatayud, J.; Ferrer-Sargues, F.J.; Muñoz-Alarcos, V.; Alba-Quesada, P.; Biviá-Roig, G. Pain Neuroscience Education in Patients with Chronic Musculoskeletal Pain: An Umbrella Review. Front. Neurosci. 2023, 17, 1272068. [Google Scholar] [CrossRef]
- Tarragó, M.d.G.L.; Deitos, A.; Brietzke, A.P.; Vercelino, R.; Torres, I.L.S.; Fregni, F.; Caumo, W. Descending Control of Nociceptive Processing in Knee Osteoarthritis Is Associated with Intracortical Disinhibition: An Exploratory Study. Medicine 2016, 95, e3353. [Google Scholar] [CrossRef]
- Okifuji, A.; Hare, B.D. The Association between Chronic Pain and Obesity. J. Pain Res. 2015, 8, 399–408. [Google Scholar] [CrossRef] [PubMed]






| PENS (n = 10) | Control TENS (n = 10) | Sham PENS (n = 10) | Differences Between Groups | ||
|---|---|---|---|---|---|
| Statistic | p Value | ||||
| Sex | |||||
| Female, No. (%) | 8 (80) | 7 (40) | 6 (60) | Chi2 = 0.95 | 0.621 |
| Male, No. (%) | 2 (20) | 3 (30) | 4 (40) | ||
| Age (y), mean (SD) | 68.39 (10.24) | 66.81 (7.85) | 66.00 (6.19) | F = 0.22 | 0.808 |
| Weight (kg), mean (SD) | 77.30 (12.14) | 73.30 (11.23) | 76.60 (12.56) | F = 0.32 | 0.731 |
| Height (m), mean (SD) | 1.64 (0.09) | 1.65 (0.08) | 1.65 (0.10) | F = 0.03 | 0.968 |
| BMI (kg/m2), mean (SD) | 28.74 (3.81) | 26.88 (3.35) | 28.26 (3.95) | F = 0.68 | 0.5160 |
| Marital status | Chi2 = 2.59 | 0.858 | |||
| Single, No. (%) | 0 (0) | 1 (10) | 0 (0) | ||
| Married, No. (%) | 7 (70) | 7 (70) | 8 (80) | ||
| Separated or divorced | 2 (20) | 1 (10) | 1 (10) | ||
| Widowed, No. (%) | 1 (10) | 1 (10) | 1 (10) | ||
| Cohabitation | Chi2 = 1.88 | 0.759 | |||
| Alone, No. (%) | 1 (10) | 2 (20) | 2 (20) | ||
| Pair, No. (%) | 6 (60) | 5 (50) | 7 (70) | ||
| Family, No. (%) | 3 (30) | 3 (30) | 1 (10) | ||
| Support for daily living activities | Chi2 = 2.07 | 0.355 | |||
| No, No. (%) | 10 (100) | 10 (100) | 9 (90) | ||
| Yes, No. (%) | 0 (0) | 0 (0) | 1 (10) | ||
| Level of education | Chi2 = 12.60 | 0.126 | |||
| Elementary school, No. (%) | 7 (70) | 5 (50) | 3 (30) | ||
| Secondary, No. (%) | 0 (0) | 2 (20) | |||
| Bachelor’s degree or Professional training, No. (%) | 3 (30) | 0 (0) | 4 (40) | ||
| University, No. (%) | 0 (0) | 3 (30) | 1 (10) | ||
| Take painkillers | Chi2 = 2.07 | 0.355 | |||
| No, No. (%) | 9 (90) | 10 (100) | 10 (100) | ||
| Yes, No. (%) | 1 (10) | 0 (0) | 0 (0) | ||
| Previously treated with PENS | Chi2 = 0.373 | 0.830 | |||
| No, No. (%) | 10 (100) | 9 (90) | 8 (80) | ||
| Yes, No. (%) | 0 (0) | 1 (10) | 2 (20) | ||
| Previously treated with TENS | Chi2 = 2.22 | 0.329 | |||
| No, No. (%) | 8 (80) | 2 (20) | 8 (80) | ||
| Yes, No. (%) | 2 (20) | 8 (80) | 2 (20) | ||
| Pain duration (mo), mean (SD) | 75.70 (92.05) | 77.40 (48.37) | 80.80 (82.71) | Chi2 = 0.70 | 0.703 |
| Previous sessions, mean (SD) | 4.40 (5.23) | 5.60 (4.20) | 4.80 (5.69) | Chi2 = 1.75 | 0.417 |
| Exercise (days per week), mean (SD) | 4.30 (2.36) | 3.30 (2.58) | 2.80 (2.25) | F = 1.01 | 0.377 |
| Pain intensity (0–100 cm) | |||||
| Current, mean (SD) | 40.20 (27.03) | 19.90 (16.22) | 34.10 (26.22) | F = 1.94 | 0.164 |
| Mean in the last week, mean (SD) | 40.60 (19.10) | 35.50 (19.05) | 42.40 (24.50) | F = 0.29 | 0.751 |
| Worst in the last week, mean (SD) | 66.20 (22.13) | 49.20 (22.71) | 60.40 (26.85) | F = 1.30 | 0.290 |
| WOMAC, mean (SD) | 36.90 (21.57) | 39.30 (14.50) | 35.30 (12.79) | F = 0.14 | 0.866 |
| TUG (s), mean (SD) | 9.74 (4.54) | 8.41 (2.79) | 9.52 (2.75) | Chi2 = 2.27 | 0.321 |
| SPPB, mean (SD) | 8.50 (1.65) | 8.60 (1.51) | 8.25 (1.04) | Chi2 = 1.515 | 0.469 |
| PPT (kg/cm2) | |||||
| Symptomatic Knee, mean (SD) | 3.39 (1.39) | 4.07 (3.21) | 3.39 (1.71) | Chi2 = 0.37 | 0.832 |
| Asymptomatic Knee, mean (SD) | 3.85 (1.22) | 4.43 (3.07) | 4.35 (2.15) | Chi2 = 1.58 | 0.453 |
| Tibialis anterior, mean (SD) | 3.50 (1.40) | 3.81 (2.85) | 3.93 (2.51) | Chi2 = 1.55 | 0.46 |
| Trapezius, mean (SD) | 2.78 (1.09) | 2.84 (1.34) | 3.48 (2.08) | F = 0.61 | 0.550 |
| CPM, mean (SD) | 0.63 (1.07) | 0.19 (0.79) | 0.43 (0.59) | F = 0.67 | 0.519 |
| TSP, mean (SD) | 2.80 (2.49) | 2.70 (1.89) | 3.60 (1.51) | F = 0.61 | 0.552 |
| PCS (0–52), mean (SD) | 11.70 (10.57) | 18.20 (14.88) | 15.90 (7.65) | F = 0.83 | 0.446 |
| BDI-II (0–63), mean (SD) | 6.30 (5.01) | 5.50 (4.38) | 8.60 (6.40) | Chi2 = 0.31 | 0.857 |
| STAI (0–60), mean (SD) | 23.60 (4.03) | 22.00 (4.19) | 22.60 (3.63) | F = 0.42 | 0.663 |
| TSK (0–44), mean (SD) | 28.70 (5.52) | 30.20 (8.09) | 27.20 (4.92) | F = 0.56 | 0.577 |
Disclaimer/Publisher’s Note: The statements, opinions and data contained in all publications are solely those of the individual author(s) and contributor(s) and not of MDPI and/or the editor(s). MDPI and/or the editor(s) disclaim responsibility for any injury to people or property resulting from any ideas, methods, instructions or products referred to in the content. |
© 2026 by the authors. Licensee MDPI, Basel, Switzerland. This article is an open access article distributed under the terms and conditions of the Creative Commons Attribution (CC BY) license.
Share and Cite
Rodríguez-Lagos, L.; Arribas-Romano, A.; Laguarta-Val, S.; García, B.S.; Martín-Vera, D.; Menéndez-Torre, A.; Fernández-Carnero, J. Feasibility and Preliminary Effects of Adding Percutaneous Electrical Nerve Stimulation to a Pain Education and Exercise Program in Patients with Knee Osteoarthritis: A Pilot Randomized Controlled Trial. J. Clin. Med. 2026, 15, 624. https://doi.org/10.3390/jcm15020624
Rodríguez-Lagos L, Arribas-Romano A, Laguarta-Val S, García BS, Martín-Vera D, Menéndez-Torre A, Fernández-Carnero J. Feasibility and Preliminary Effects of Adding Percutaneous Electrical Nerve Stimulation to a Pain Education and Exercise Program in Patients with Knee Osteoarthritis: A Pilot Randomized Controlled Trial. Journal of Clinical Medicine. 2026; 15(2):624. https://doi.org/10.3390/jcm15020624
Chicago/Turabian StyleRodríguez-Lagos, Leonardo, Alberto Arribas-Romano, Sofía Laguarta-Val, Beatriz Serrano García, Daniel Martín-Vera, Angela Menéndez-Torre, and Josué Fernández-Carnero. 2026. "Feasibility and Preliminary Effects of Adding Percutaneous Electrical Nerve Stimulation to a Pain Education and Exercise Program in Patients with Knee Osteoarthritis: A Pilot Randomized Controlled Trial" Journal of Clinical Medicine 15, no. 2: 624. https://doi.org/10.3390/jcm15020624
APA StyleRodríguez-Lagos, L., Arribas-Romano, A., Laguarta-Val, S., García, B. S., Martín-Vera, D., Menéndez-Torre, A., & Fernández-Carnero, J. (2026). Feasibility and Preliminary Effects of Adding Percutaneous Electrical Nerve Stimulation to a Pain Education and Exercise Program in Patients with Knee Osteoarthritis: A Pilot Randomized Controlled Trial. Journal of Clinical Medicine, 15(2), 624. https://doi.org/10.3390/jcm15020624

