HTK Is a Viable UW Alternative for Hypothermic Oxygenated Machine Perfusion of Liver Grafts Supporting a Single-Solution Protocol
Abstract
1. Introduction
2. Materials and Methods
2.1. Patients
2.2. Hypothermic Machine Perfusion
2.3. Standard Institutional Procedures
2.4. Outcome Parameters
2.5. Statistical Analysis and Propensity Score Matching
3. Results
3.1. Propensity Score Matching
3.2. Machine Perfusion and Flow Characteristics
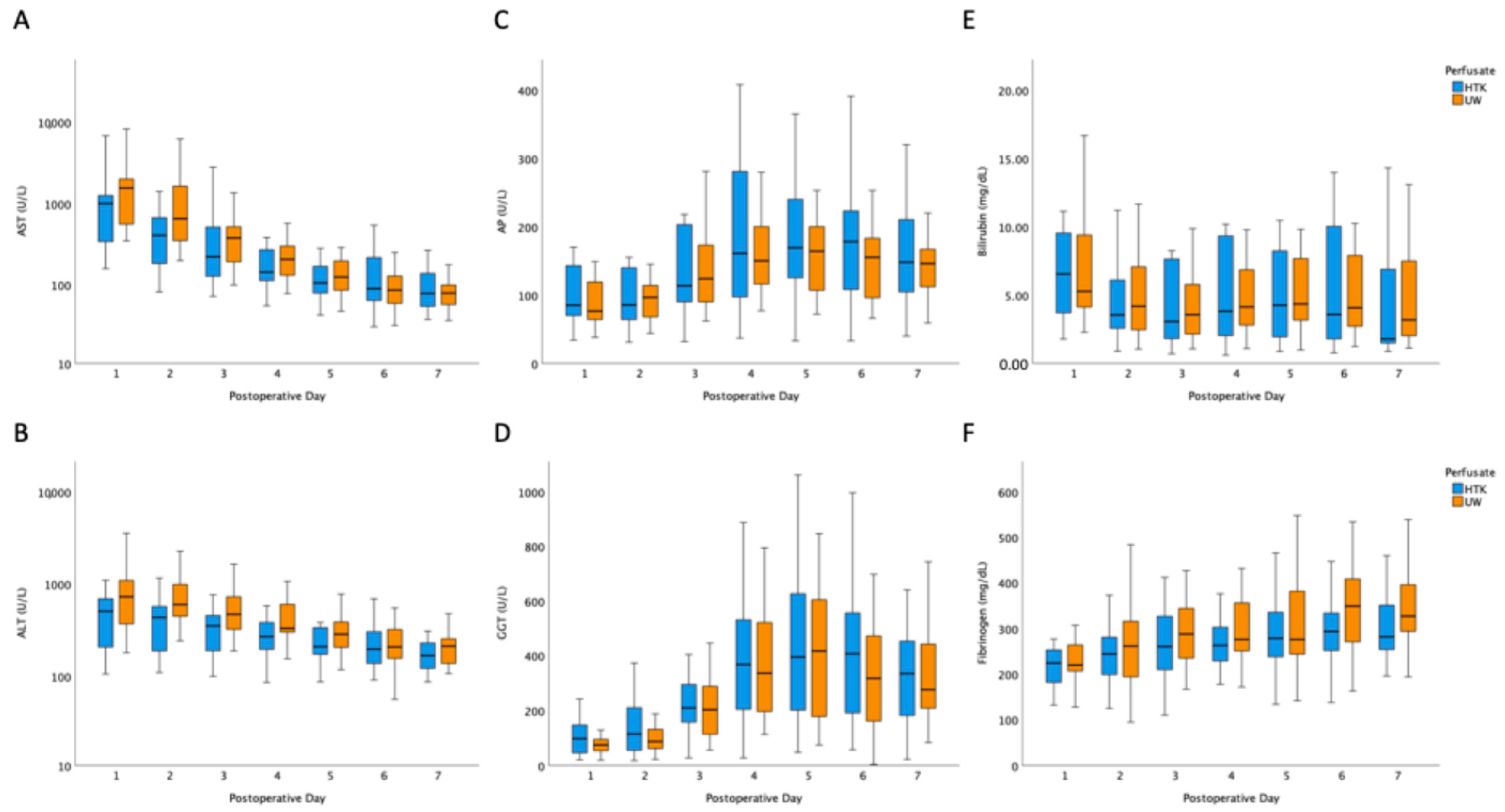
3.3. Postoperative Dynamics and Outcome
4. Discussion
Supplementary Materials
Author Contributions
Funding
Institutional Review Board Statement
Informed Consent Statement
Data Availability Statement
Conflicts of Interest
Abbreviations
| 95%CI | 95% confidence interval |
| AST | aspartate aminotransferase |
| ALT | alanine aminotransferase |
| AP | alkaline phosphatase |
| BMI | body mass index |
| CCI | comprehensive complication index |
| CIT | cold ischemia time |
| DBD | donation after brain death |
| EAD | early allograft dysfunction |
| GGT | gamma glutamyl transpeptidase |
| HTK | histidine-tryptophan-ketoglutarate |
| HOPE | hypothermic oxygenated machine perfusion |
| ICU | intensive care unit |
| MRCP | magnetic resonance cholangiopancreatography |
| Na-MELD | sodium model for end-stage liver disease |
| OR | odds ratio |
| SCS | static cold storage |
| UW | University of Wisconsin solution |
| UW–MPS | University of Wisconsin Machine Perfusion Solution |
References
- Czigany, Z.; Lurje, I.; Schmelzle, M.; Schöning, W.; Öllinger, R.; Raschzok, N.; Sauer, I.M.; Tacke, F.; Strnad, P.; Trautwein, C.; et al. Ischemia-Reperfusion Injury in Marginal Liver Grafts and the Role of Hypothermic Machine Perfusion: Molecular Mechanisms and Clinical Implications. J. Clin. Med. 2020, 9, 846. [Google Scholar] [CrossRef] [PubMed]
- Muller, X.; Schlegel, A.; Würdinger, M.; Wendt, M.; Kron, P.; Eshmuminov, D.; Müllhaupt, B.; Clavien, P.; Dutkowski, P. Can hypothermic oxygenated perfusion (HOPE) rescue futile DCD liver grafts? HPB Off. J. Int. Hepato Pancreato Biliary Assoc. 2019, 21, 1156–1165. [Google Scholar] [CrossRef] [PubMed]
- Eden, J.; Brüggenwirth, I.M.; Berlakovich, G.; Buchholz, B.M.; Botea, F.; Camagni, S.; Cescon, M.; Cillo, U.; Colli, F.; Compagnon, P.; et al. Long-term outcomes after hypothermic oxygenated machine perfusion and transplantation of 1,202 donor livers in a real-world setting (HOPE-REAL study). J. Hepatol. 2025, 82, 97–106. [Google Scholar] [CrossRef] [PubMed]
- Czigany, Z.; Pratschke, J.; Froněk, J.; Guba, M.; Schöning, W.; Raptis, D.A.M.; Andrassy, J.; Kramer, M.; Strnad, P.; Tolba, R.H.; et al. Hypothermic Oxygenated Machine Perfusion Reduces Early Allograft Injury and Improves Post-transplant Outcomes in Extended Criteria Donation Liver Transplantation From Donation After Brain Death: Results From a Multicenter Randomized Controlled Trial (HOPE ECD-DBD). Ann. Surg. 2021, 274, 705–712. [Google Scholar] [PubMed]
- Eden, J.; Müller, P.C.; Kuemmerli, C.; Aegerter, N.; Brüggenwirth, I.M.; Berlakovich, G.; Buchholz, B.M.; Botea, F.; Camagni, S.; Cescon, M.; et al. Life Expectancy of Transplanted Livers: HOPE Against Aging? Ann. Surg. 2025, 282, 765–771. [Google Scholar] [CrossRef] [PubMed]
- Parente, A.; Dondossola, D.; Dutkowski, P.; Schlegel, A. Current evidence on the beneficial HOPE-effect based on systematic reviews and meta-analyses in liver transplantation. J. Hepatol. 2023, 80, e116–e119. [Google Scholar] [CrossRef] [PubMed]
- De Carlis, R.; Lauterio, A.; Schlegel, A.; Gringeri, E.; Patrono, D.; Camagni, S.; Dondossola, D.; Pezzati, D.; Olivieri, T.; Pagano, D.; et al. Are there any benefits of prolonged hypothermic oxygenated perfusion?: Results from a national retrospective study. Liver Transplant. 2025, 31, 70–84. [Google Scholar] [CrossRef] [PubMed]
- Muller, X.; Rossignol, G.; Couillerot, J.M.; Breton, A.M.; Hervieu, V.; Lesurtel, M.; Mohkam, K.; Mabrut, J.-Y. A Single Preservation Solution for Static Cold Storage and Hypothermic Oxygenated Perfusion of Marginal Liver Grafts: A Preclinical Study. Transplantation 2024, 108, 175–183. [Google Scholar] [CrossRef] [PubMed]
- Ramos, P.; Williams, P.; Salinas, J.; Vengohechea, J.B.; Lodge, J.P.A.; Fondevila, C.; Hessheimer, A.J. Abdominal Organ Preservation Solutions in the Age of Machine Perfusion. Transplantation 2023, 107, 326–340. [Google Scholar] [CrossRef] [PubMed]
- Iwata, H.; Matsuno, N.; Ishii, D.; Toriumi, A.; Otani, M.; Ohara, M.; Obara, H.; Nishikawa, Y.; Yokoo, H. Applicability of the histidine-tryptophan-ketoglutarate solution as a machine perfusion solution for marginal liver grafts. J. Gastroenterol. Hepatol. 2023, 38, 783–790. [Google Scholar] [CrossRef] [PubMed]
- Rao, F.; Yang, J.; Gong, C.; Huang, R.; Wang, Q.; Shen, J. Systematic review of preservation solutions for allografts for liver transplantation based on a network meta-analysis. Int. J. Surg. 2018, 54, 1–6. [Google Scholar] [CrossRef] [PubMed]
- Olthoff, K.M.; Kulik, L.; Samstein, B.; Kaminski, M.; Abecassis, M.; Emond, J.; Shaked, A.; Christie, J.D. Validation of a current definition of early allograft dysfunction in liver transplant recipients and analysis of risk factors. Liver Transplant. 2010, 16, 943–949. [Google Scholar] [CrossRef] [PubMed]
- Endo, C.; van Rijn, R.; Huurman, V.; Schurink, I.; Berg, A.v.D.; Murad, S.D.; van Hoek, B.; de Meijer, V.E.; de Jonge, J.; van der Hilst, C.S.; et al. Cost-effectiveness of Dual Hypothermic Oxygenated Machine Perfusion Versus Static Cold Storage in DCD Liver Transplantation. Transplantation 2025, 109, e101–e108. [Google Scholar] [CrossRef] [PubMed]
- Boteon, Y.L.; Hessheimer, A.J.; Brüggenwirth, I.M.A.; Boteon, A.P.C.S.; Padilla, M.; de Meijer, V.E.; Domínguez-Gil, B.; Porte, R.J.; Perera, M.T.P.R.; Martins, P.N. The economic impact of machine perfusion technology in liver transplantation. Artif. Organs 2022, 46, 191–200. [Google Scholar] [CrossRef] [PubMed]
- Welling, T.H.; Heidt, D.G.; Englesbe, M.J.; Magee, J.C.; Sung, R.S.; Campbell, D.A.; Punch, J.D.; Pelletier, S.J. Biliary complications following liver transplantation in the model for end-stage liver disease era: Effect of donor, recipient, and technical factors. Liver Transplant. 2008, 14, 73–80. [Google Scholar] [CrossRef] [PubMed]
- Brüggenwirth, I.M.; Mueller, M.; Lantinga, V.A.; Camagni, S.; De Carlis, R.; De Carlis, L.; Colledan, M.; Dondossola, D.; Drefs, M.; Eden, J.; et al. Prolonged preservation by hypothermic machine perfusion facilitates logistics in liver transplantation: A European observational cohort study. Am. J. Transplant. 2022, 22, 1842–1851. [Google Scholar] [CrossRef] [PubMed]



| Parameter | UW N = 23 | HTK N = 23 | p * |
|---|---|---|---|
| Median (IQR) | Median (IQR) | ||
| Recipient age [years] | 60.0 (55.5–63.5) | 58.0 (52.5–64.0) | 0.50 |
| Recipient sex Male | 17 | 15 | 0.75 |
| Recipient sex Female | 6 | 8 | |
| Na-MELD [score] | 17.0 (13.5–19) | 16.0 (14–20) | 0.85 |
| Donor age [years] | 58.0 (52.0–68.0) | 57.0 (45.5–69.5) | 0.62 |
| Donor BMI [kg/m2] | 26.0 (23.0–28.0) | 25.0 (23.3–26.0) | 0.32 |
| CIT [min] | 301.0 (237.5–331.5) | 318.0 (284.5–353.0) | 0.21 |
| Perfusion time [min] | 209.0 (127.5–285.0) | 182.0 (155.0–237.5) | 0.75 |
| Total preservation [min] | 508.0 (440.0–609.5) | 476.0 (417.5–556.5) | 0.19 |
Disclaimer/Publisher’s Note: The statements, opinions and data contained in all publications are solely those of the individual author(s) and contributor(s) and not of MDPI and/or the editor(s). MDPI and/or the editor(s) disclaim responsibility for any injury to people or property resulting from any ideas, methods, instructions or products referred to in the content. |
© 2025 by the authors. Licensee MDPI, Basel, Switzerland. This article is an open access article distributed under the terms and conditions of the Creative Commons Attribution (CC BY) license.
Share and Cite
Dingfelder, J.; Pereyra, D.; Riha, M.; Becker, N.; Rauter, L.; Hackl, H.; Müller, J.F.; Hammer-Purgstall-Bernd, F.; Aiad, M.; Eichelter, J.; et al. HTK Is a Viable UW Alternative for Hypothermic Oxygenated Machine Perfusion of Liver Grafts Supporting a Single-Solution Protocol. J. Clin. Med. 2026, 15, 112. https://doi.org/10.3390/jcm15010112
Dingfelder J, Pereyra D, Riha M, Becker N, Rauter L, Hackl H, Müller JF, Hammer-Purgstall-Bernd F, Aiad M, Eichelter J, et al. HTK Is a Viable UW Alternative for Hypothermic Oxygenated Machine Perfusion of Liver Grafts Supporting a Single-Solution Protocol. Journal of Clinical Medicine. 2026; 15(1):112. https://doi.org/10.3390/jcm15010112
Chicago/Turabian StyleDingfelder, Jule, David Pereyra, Moriz Riha, Nikolaus Becker, Laurin Rauter, Hubert Hackl, Julian Flavio Müller, Felix Hammer-Purgstall-Bernd, Monika Aiad, Jakob Eichelter, and et al. 2026. "HTK Is a Viable UW Alternative for Hypothermic Oxygenated Machine Perfusion of Liver Grafts Supporting a Single-Solution Protocol" Journal of Clinical Medicine 15, no. 1: 112. https://doi.org/10.3390/jcm15010112
APA StyleDingfelder, J., Pereyra, D., Riha, M., Becker, N., Rauter, L., Hackl, H., Müller, J. F., Hammer-Purgstall-Bernd, F., Aiad, M., Eichelter, J., Starlinger, P., Silberhumer, G. R., Salat, A., Berlakovich, G. A., Györi, G., & Soliman, T. (2026). HTK Is a Viable UW Alternative for Hypothermic Oxygenated Machine Perfusion of Liver Grafts Supporting a Single-Solution Protocol. Journal of Clinical Medicine, 15(1), 112. https://doi.org/10.3390/jcm15010112

