The Past, Present, and Future Perspective of Photodynamic Therapy for Age-Related Macular Degeneration
Abstract
1. Introduction
2. Introduction of PDT to Ophthalmology and Subsequent Changes
2.1. PDT for the Treatment of nAMD
2.2. Emergence of Anti-VEGF Therapy and the Decline in the Popularity of PDT
2.3. Anti-VEGF + PDT Combination Therapy for the Management of Polypoidal Choroidal Vasculopathy
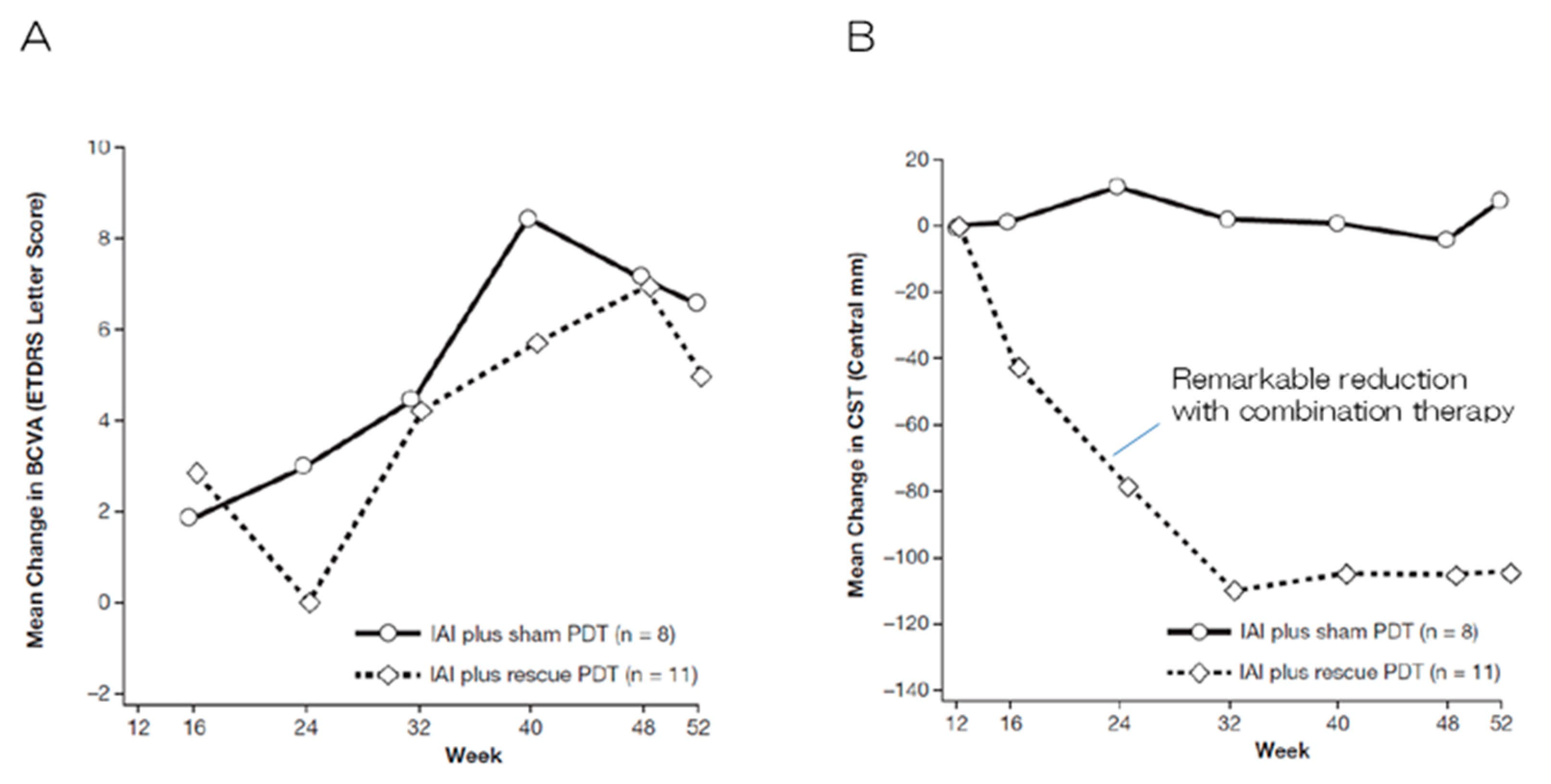
3. Current Conditions for Anti-VEGF + PDT Combination Therapy
4. Timing of PDT Combination
5. Standard vs. Reduced PDT
6. Long-Term Prognosis of Anti-VEGF + PDT Combination Therapy
7. PDT for the Management of PSD (Perspective of PDT)
8. Conclusions
Funding
Institutional Review Board Statement
Informed Consent Statement
Data Availability Statement
Conflicts of Interest
References
- Bressler, N.M.; Treatment of Age-Related Macular Degeneration with Photodynamic Therapy (TAP) Study Group. Photodynamic therapy of subfoveal choroidal neovascularization in age-related macular degeneration with verteporfin: Two-year results of 2 randomized clinical trials-tap report 2. Arch. Ophthalmol. 2001, 119, 198–207. [Google Scholar] [PubMed]
- Verteporfin In Photodynamic Therapy Study Group. Verteporfin therapy of subfoveal choroidal neovascularization in age-related macular degeneration: Two-year results of a randomized clinical trial including lesions with occult with no classic choroidal neovascularization--verteporfin in photodynamic therapy report 2. Am. J. Ophthalmol. 2001, 131, 541–560. [Google Scholar] [CrossRef] [PubMed]
- Japanese Age-Related Macular Degeneration Tial (JAT) Study Group. Japanese age-related macular degeneration trial: 1-year results of photodynamic therapy with verteporfin in Japanese patients with subfoveal choroidal neovascularization secondary to age-related macular degeneration. Am. J. Ophthalmol. 2003, 136, 1049–1061. [Google Scholar] [CrossRef] [PubMed]
- Tano, Y. Ophthalmic PDT Study Group. Guidelines for PDT in Japan. Ophthalmology 2008, 115, 585–585.E6. [Google Scholar] [CrossRef] [PubMed]
- Rosenfeld, P.J.; Brown, D.M.; Heier, J.S.; Boyer, D.S.; Kaiser, P.K.; Chung, C.Y.; Kim, R.Y.; MARINA Study Group. Ranibizumab for neovascular age-related macular degeneration. N. Engl. J. Med. 2006, 355, 1419–1431. [Google Scholar] [CrossRef] [PubMed]
- Brown, D.M.; Kaiser, P.K.; Michels, M.; Soubrane, G.; Heier, J.S.; Kim, R.Y.; Sy, J.P.; Schneider, S.; ANCHOR Study Group. Ranibizumab versus verteporfin for neovascular age-related macular degeneration. N. Engl. J. Med. 2006, 355, 1432–1444. [Google Scholar] [CrossRef] [PubMed]
- Quaranta, M.; Mauget-Faÿsse, M.; Coscas, G. Exudative idiopathic polypoidal choroidal vasculopathy and photodynamic therapy with verteporfin. Am. J. Ophthalmol. 2002, 134, 277–280. [Google Scholar] [CrossRef] [PubMed]
- Gomi, F.; Ohji, M.; Sayanagi, K.; Sawa, M.; Sakaguchi, H.; Oshima, Y.; Ikuno, Y.; Tano, Y. One-year outcomes of photodynamic therapy in age-related macular degeneration and polypoidal choroidal vasculopathy in Japanese patients. Ophthalmology 2008, 115, 141–146. [Google Scholar] [CrossRef] [PubMed]
- Akaza, E.; Mori, R.; Yuzawa, M. Long-term results of photodynamic therapy of polypoidal choroidal vasculopathy. Retina 2008, 28, 717–722. [Google Scholar] [CrossRef] [PubMed]
- Saito, M.; Iida, T.; Nagayama, D. Photodynamic therapy with verteporfin for age-related macular degeneration or polypoidal choroidal vasculopathy: Comparison of the presence of serous retinal pigment epithelial detachment. Br. J. Ophthalmol. 2008, 92, 1642–1647. [Google Scholar] [CrossRef] [PubMed]
- Honda, S.; Imai, H.; Yamashiro, K.; Kurimoto, Y.; Kanamori-Matsui, N.; Kagotani, Y.; Tamura, Y.; Yamamoto, H.; Ohoto, S.; Takagi, H.; et al. Comparative assessment of photodynamic therapy for typical age-related macular degeneration and polypoidal choroidal vasculopathy: A multicenter study in Hyogo prefecture, Japan. Ophthalmologica 2009, 223, 333–338. [Google Scholar] [CrossRef] [PubMed]
- Oishi, A.; Kojima, H.; Mandai, M.; Honda, S.; Matsuoka, T.; Oh, H.; Kita, M.; Nagai, T.; Fujihara, M.; Bessho, N.; et al. Comparison of the effect of ranibizumab and verteporfin for polypoidal choroidal vasculopathy: 12-month LAPTOP study results. Am. J. Ophthalmol. 2013, 156, 644–651. [Google Scholar] [CrossRef] [PubMed]
- Oishi, A.; Miyamoto, N.; Mandai, M.; Honda, S.; Matsuoka, T.; Oh, H.; Kita, M.; Nagai, T.; Bessho, N.; Uenishi, M.; et al. LAPTOP study: A 24-month trial of verteporfin versus ranibizumab for polypoidal choroidal vasculopathy. Ophthalmology 2014, 121, 1151–1152. [Google Scholar] [CrossRef] [PubMed]
- Miyamoto, N.; Mandai, M.; Oishi, A.; Nakai, S.; Honda, S.; Hirashima, T.; Oh, H.; Matsumoto, Y.; Uenishi, M.; Kurimoto, Y. Long-term results of photodynamic therapy or ranibizumab for polypoidal choroidal vasculopathy in LAPTOP study. Br. J. Ophthalmol. 2019, 103, 844–848. [Google Scholar] [CrossRef]
- Mammo, Z.; Forooghian, F. Incidence of acute exudative maculopathy after reduced-fluence photodynamic therapy. Retin. Cases Brief. Rep. 2017, 11, 217–220. [Google Scholar] [CrossRef]
- Manayath, G.J.; Ranjan, R.; Vidhate, S.; Narendran, V. Photodynamic therapy-induced acute exudative maculopathy: Incidence, Clinical Features, and Long-Term Outcomes. Retina 2020, 40, 135–144. [Google Scholar] [CrossRef]
- Sumnicht, A.J.; Chalam, K.V.; Alset, A.E.; Sierpina, D.I. The role of oral steroids in the treatment of photodynamic therapy-associated exudative maculopathy, a case report and review of the literature. Photodiagn. Photodyn. Ther. 2021, 35, 102390. [Google Scholar] [CrossRef]
- Fernández-Vigo, J.I.; Moreno-Morillo, F.J.; Valverde-Megías, A.; Burgos-Blasco, B.; López-Guajardo, L.; Donate-López, J. Acute exudative maculopathy and bacillary layer detachment in patients with central serous chorioretinopathy after photodynamic therapy. Retina 2022, 42, 859–866. [Google Scholar] [CrossRef]
- Honda, S.; Kohno, T.; Yamamoto, M.; Hirayama, K.; Kyo, A.; Hirabayashi, M.; Honda, S. Early anatomical changes and association with photodynamic therapy induced acute exudative maculopathy in patients with macular diseases. Sci. Rep. 2022, 12, 9105. [Google Scholar] [CrossRef]
- Husain, D.; Kim, I.; Gauthier, D.; Lane, A.M.; Tsilimbaris, M.K.; Ezra, E.; Connolly, E.J.; Michaud, N.; Gragoudas, E.S.; O’Neill, C.A.; et al. Safety and efficacy of intravitreal injection of ranibizumab in combination with verteporfin PDT on experimental choroidal neovascularization in the monkey. Arch. Ophthalmol. 2005, 123, 509–516. [Google Scholar] [CrossRef][Green Version]
- Antoszyk, A.N.; Tuomi, L.; Chung, C.Y.; Singh, A.; FOCUS Study Group. Ranibizumab combined with verteporfin photodynamic therapy in neovascular age-related macular degeneration (FOCUS): Year 2 results. Am. J. Ophthalmol. 2008, 145, 862–874. [Google Scholar] [CrossRef] [PubMed]
- Kaiser, P.K.; Boyer, D.S.; Cruess, A.F.; Slakter, J.S.; Pilz, S.; Weisberger, A.; DENALI Study Group. Verteporfin plus ranibizumab for choroidal neovascularization in age-related macular degeneration: Twelve-month results of the DENALI study. Ophthalmology 2012, 119, 1001–1010. [Google Scholar] [CrossRef] [PubMed]
- Larsen, M.; Schmidt-Erfurth, U.; Lanzetta, P.; Wolf, S.; Simader, C.; Tokaji, E.; Pilz, S.; Weisberger, A.; MONT BLANC Study Group. Verteporfin plus ranibizumab for choroidal neovascularization in age-related macular degeneration: Twelve-month MONT BLANC study results. Ophthalmology 2012, 119, 992–1000. [Google Scholar] [CrossRef] [PubMed]
- Koh, A.; Lee, W.K.; Chen, L.-J.; Chen, S.-J.; Hashad, Y.; Kim, H.; Lai, T.Y.; Pilz, S.; Ruamviboonsuk, P.; Tokaji, E.; et al. EVEREST study: Efficacy and safety of verteporfin photodynamic therapy in combination with ranibizumab or alone versus ranibizumab monotherapy in patients with symptomatic macular polypoidal choroidal vasculopathy. Retina 2012, 32, 1453–1464. [Google Scholar] [CrossRef] [PubMed]
- Koh, A.; Lai, T.Y.Y.; Takahashi, K.; Wong, T.Y.; Chen, L.J.; Ruamviboonsuk, P.; Tan, C.S.; Feller, C.; Margaron, P.; Lim, T.H.; et al. Efficacy and Safety of Ranibizumab with or Without Verteporfin Photodynamic Therapy for Polypoidal Choroidal Vasculopathy: A Randomized Clinical Trial. JAMA Ophthalmol. 2017, 135, 1206–1213. [Google Scholar] [CrossRef] [PubMed] [PubMed Central]
- Lim, T.H.; Lai, T.Y.Y.; Takahashi, K.; Wong, T.Y.; Chen, L.-J.; Ruamviboonsuk, P.; Tan, C.S.; Lee, W.K.; Cheung, C.M.G.; Ngah, N.F.; et al. Comparison of Ranibizumab With or Without Verteporfin Photodynamic Therapy for Polypoidal Choroidal Vasculopathy: The EVEREST II Randomized Clinical Trial. JAMA Ophthalmol. 2020, 138, 935–942. [Google Scholar] [CrossRef] [PubMed] [PubMed Central]
- Lee, W.K.; Iida, T.; Ogura, Y.; Chen, S.J.; Wong, T.Y.; Mitchell, P.; Cheung, G.C.M.; Zhang, Z.; Leal, S.; Ishibashi, T.; et al. Efficacy and Safety of Intravitreal Aflibercept for Polypoidal Choroidal Vasculopathy in the PLANET Study: A Randomized Clinical Trial. JAMA Ophthalmol. 2018, 136, 786–793, Erratum in JAMA Ophthalmol. 2018, 136, 840. https://doi.org/10.1001/jamaophthalmol.2018.2864. [Google Scholar] [CrossRef] [PubMed] [PubMed Central]
- Weng, H.Y.; Chen, F.T.; Wang, L.U.; Huang, T.L.; Ho, W.T.; Chang, P.Y.; Hsu, Y.R.; Chen, Y.J.; Wang, J.K. Comparison of One-Year Outcome of Intravitreal Aflibercept with or Without Photodynamic Therapy for Polypoidal Choroidal Vasculopathy. Medicina 2024, 60, 1311. [Google Scholar] [CrossRef]
- Nowak-Sliwinska, P.; van den Bergh, H.; Sickenberg, M.; Koh, A.H. Photodynamic therapy for polypoidal choroidal vasculopathy. Prog. Retin. Eye Res. 2013, 37, 182–199. [Google Scholar] [CrossRef] [PubMed]
- Takeuchi, J.; Ota, H.; Nakano, Y.; Horiguchi, E.; Taki, Y.; Ito, Y.; Terasaki, H.; Nishiguchi, K.M.; Kataoka, K. Predictive factors for outcomes of half-dose photodynamic therapy combined with aflibercept for pachychoroid neovasculopathy. Graefes Arch. Clin. Exp. Ophthalmol. 2023, 261, 2235–2243. [Google Scholar] [CrossRef]
- Honda, S. The past and present of photodynamic therapy in ophthalmology. J. Jpn. Soc. Laser Surg. Med. 2021, 42, 78–88. [Google Scholar] [CrossRef]
- Matsumiya, W.; Honda, S.; Otsuka, K.; Miki, A.; Nagai, T.; Imai, H.; Kusuhara, S.; Nakamura, M. One-year outcome of combination therapy with intravitreal aflibercept and verteporfin photodynamic therapy for polypoidal choroidal vasculopathy. Graefes Arch. Clin. Exp. Ophthalmol. 2017, 255, 541–548. [Google Scholar] [CrossRef] [PubMed]
- Mukai, R.; Matsumoto, H.; Miyakubo, T.; Akiyama, H. Reduced vascular density in the choroid after treatment with photodynamic therapy combined with aflibercept in patients with polypoidal choroidal vasculopathy. Retina 2021, 41, 156–161. [Google Scholar] [CrossRef]
- Miyata, M.; Ooto, S.; Yamashiro, K.; Tamura, H.; Hata, M.; Ueda-Arakawa, N.; Yoshikawa, M.; Numa, S.; Tsujikawa, A. Five-year visual outcomes after anti-VEGF therapy with or without photodynamic therapy for polypoidal choroidal vasculopathy. Br. J. Ophthalmol. 2019, 103, 617–622. [Google Scholar] [CrossRef]
- Kawai, K.; Miyata, M.; Ooto, S.; Tamura, H.; Ueda-Arakawa, N.; Takahashi, A.; Uji, A.; Muraoka, Y.; Miyake, M.; Yamashiro, K.; et al. Macular atrophy at 5 years after photodynamic therapy for polypoidal choroidal vasculopathy. Eye 2023, 37, 1067–1072. [Google Scholar] [CrossRef]
- Sakurada, Y.; Sugiyama, A.; Tanabe, N.; Kikushima, W.; Kume, A.; Iijima, H. Choroidal Thickness as a Prognostic Factor of Photodynamic Therapy with Aflibercept or Ranibizumab for Polypoidal Choroidal Vasculopathy. Retina 2017, 37, 1866–1872. [Google Scholar] [CrossRef] [PubMed]
- Gomi, F.; Oshima, Y.; Mori, R.; Kano, M.; Saito, M.; Yamashita, A.; Iwata, E.; Maruko, R.; Fujisan Study Group. Initial Versus Delayed Photodynamic Therapy in Combination with Ranibizumab for Treatment of Polypoidal Choroidal Vasculopathy: The Fujisan Study. Retina 2015, 35, 1569–1576. [Google Scholar] [CrossRef] [PubMed]
- Dugel, P.U.; Singh, R.P.; Koh, A.; Ogura, Y.; Weissgerber, G.; Gedif, K.; Jaffe, G.J.; Tadayoni, R.; Schmidt-Erfurth, U.; Holz, F.G. HAWK and HARRIER: Ninety-Six-Week Outcomes from the Phase 3 Trials of Brolucizumab for Neovascular Age-Related Macular Degeneration. Ophthalmology 2021, 128, 89–99, Erratum in Ophthalmology 2022, 129, 593–596. https://doi.org/10.1016/j.ophtha.2022.02.022. [Google Scholar] [CrossRef]
- Heier, J.S.; Khanani, A.M.; Ruiz, C.Q.; Basu, K.; Ferrone, P.J.; Brittain, C.; Figueroa, M.S.; Lin, H.; Holz, F.G.; Patel, V.; et al. Efficacy, durability, and safety of intravitreal faricimab up to every 16 weeks for neovascular age-related macular degeneration (TENAYA and LUCERNE): Two randomised, double-masked, phase 3, non-inferiority trials. Lancet 2022, 399, 729–740. [Google Scholar] [CrossRef]
- Lanzetta, P.; Korobelnik, J.-F.; Heier, J.S.; Leal, S.; Holz, F.G.; Clark, W.L.; Eichenbaum, D.; Iida, T.; Xiaodong, S.; Berliner, A.J.; et al. Intravitreal aflibercept 8 mg in neovascular age-related macular degeneration (PULSAR): 48-week results from a randomised, double-masked, non-inferiority, phase 3 trial. Lancet 2024, 403, 1141–1152. [Google Scholar] [CrossRef]
- Ogura, Y.; Jaffe, G.J.; Cheung, C.M.G.; Kokame, G.T.; Iida, T.; Takahashi, K.; Lee, W.K.; Chang, A.A.; Monés, J.; D’Souza, D.; et al. Efficacy and safety of brolucizumab versus aflibercept in eyes with polypoidal choroidal vasculopathy in Japanese participants of HAWK. Br. J. Ophthalmol. 2022, 106, 994–999. [Google Scholar] [CrossRef] [PubMed]
- Cho, H.J.; Kang, K.H.; Yoon, W.; Lee, J.; Kim, C.G.; Kim, J.W. Intravitreal Brolucizumab and Aflibercept for Polypoidal Choroidal Vasculopathy. J. Ocul. Pharmacol. Ther. 2023, 39, 653–660. [Google Scholar] [CrossRef] [PubMed]
- Wada, I.; Shiose, S.; Ishikawa, K.; Kano, K.; Notomi, S.; Mori, K.; Akiyama, M.; Nakao, S.; Sonoda, K.H. One-year efficacy of “rescue photodynamic therapy” for patients with typical age-related macular degeneration, polypoidal choroidal vasculopathy, and pachychoroid neovasculopathy refractory to anti-vascular endothelial growth factor therapy. Graefes Arch. Clin. Exp. Ophthalmol. 2022, 260, 2029–2036. [Google Scholar] [CrossRef] [PubMed]
- Park, U.C.; Kim, B.H.; Choe, H.R.; Yeon, D.Y.; Yu, H.G. Long-term results of rescue photodynamic therapy for type 1 neovascularization refractory to anti-vascular endothelial growth factor. Acta Ophthalmol. 2021, 99, e899–e907. [Google Scholar] [CrossRef]
- Liu, Y.; Zhu, M.; Gong, R.; Wang, X.; Li, L.; Xu, G. Pre-treatment With Ranibizumab Aggravates PDT Injury and Alleviates Inflammatory Response in Choroid-Retinal Endothelial Cells. Front. Cell Dev. Biol. 2020, 8, 608. [Google Scholar] [CrossRef]
- Otani, A.; Sasahara, M.; Yodoi, Y.; Aikawa, H.; Tamura, H.; Tsujikawa, A.; Yoshimura, N. Indocyanine green angiography: Guided photodynamic therapy for polypoidal choroidal vasculopathy. Am. J. Ophthalmol. 2007, 144, 7–14. [Google Scholar] [CrossRef]
- Yamashita, A.; Shiraga, F.; Shiragami, C.; Ono, A.; Tenkumo, K. One-year results of reduced-fluence photodynamic therapy for polypoidal choroidal vasculopathy. Am. J. Ophthalmol. 2010, 149, 465–471.e1. [Google Scholar] [CrossRef]
- Ngo, W.K.; Chee, W.K.; Tan, C.S.; Lim, T.H. Comparing efficacy of reduced-fluence and standard-fluence photodynamic therapy in the treatment of polypoidal choroidal vasculopathy. BMC Ophthalmol. 2020, 20, 150. [Google Scholar] [CrossRef]
- Lee, J.H.; Lee, W.K. Half-dose photodynamic therapy combined with bevacizumab for polypoidal choroidal vasculopathy. Retina 2015, 35, 1561–1568. [Google Scholar] [CrossRef]
- Wong, I.Y.; Shi, X.; Gangwani, R.; Zhao, P.; Iu, L.P.; Li, Q.; Ng, A.; Li, X. 1-year results of combined half-dose photodynamic therapy and ranibizumab for polypoidal choroidal vasculopathy. BMC Ophthalmol. 2015, 15, 66. [Google Scholar] [CrossRef]
- Wong, I.Y.; Shi, X.; Gangwani, R.; Iu, L.P.; Fung, N.; Li, Q.; Ng, A.L.K.; Li, X. One-year results of half- versus standard-dose photodynamic therapy combined with ranibizumab for polypoidal choroidal vasculopathy. Retina 2018, 38, 725–730. [Google Scholar] [CrossRef] [PubMed]
- Teo, K.Y.C.; Park, K.H.; Ngah, N.F.; Chen, S.J.; Ruamviboonsuk, P.; Mori, R.; Kondo, N.; Lee, W.K.; Rajagopalan, R.; Obata, R.; et al. Six-Year Outcomes in Subjects with Polypoidal Choroidal Vasculopathy in the EVEREST II Study. Ophthalmol. Ther. 2024, 13, 935–954. [Google Scholar] [CrossRef] [PubMed]
- Jain, P.; Anantharaman, G.; Gopalakrishnan, M.; Goyal, A. Long-term efficacy and safety of verteporfin photodynamic therapy in combination with anti-vascular endothelial growth factor for polypoidal choroidal vasculopathy. Indian J. Ophthalmol. 2018, 66, 1119–1127. [Google Scholar] [CrossRef] [PubMed] [PubMed Central]
- Kikushima, W.; Sakurada, Y.; Sugiyama, A.; Yoneyama, S.; Tanabe, N.; Matsubara, M.; Mabuchi, F.; Iijima, H. Comparison of two-year outcomes after photodynamic therapy with ranibizumab or aflibercept for polypoidal choroidal vasculopathy. Sci. Rep. 2017, 7, 16461. [Google Scholar] [CrossRef] [PubMed] [PubMed Central]
- Nakai, S.; Matsumiya, W.; Keiko, O.; Miki, A.; Nakamura, M.; Honda, S. The 24-month outcomes of intravitreal aflibercept combined with photodynamic therapy for polypoidal choroidal vasculopathy. Jpn. J. Ophthalmol. 2019, 63, 100–108. [Google Scholar] [CrossRef] [PubMed]
- Wataru, K.; Sugiyama, A.; Yoneyama, S.; Matsubara, M.; Fukuda, Y.; Parikh, R.; Sakurada, Y. Five-year outcomes of photodynamic therapy combined with intravitreal injection of ranibizumab or aflibercept for polypoidal choroidal vasculopathy. PLoS ONE 2020, 15, e0229231, Erratum in PLoS ONE 2020, 15, e0230505. [Google Scholar] [CrossRef]
- Liu, L.; Tham, Y.C.; Wu, J.; Yue, S.; Cheng, C.Y. Photodynamic therapy in combination with ranibizumab versus ranibizumab monotherapy for polypoidal choroidal vasculopathy: A systematic review and meta-analysis. Photodiagn. Photodyn. Ther. 2017, 20, 215–220. [Google Scholar] [CrossRef] [PubMed]
- Han, L.H.; Yuan, L.F.; Liang, X.; Jia, X.; Zhang, M.L. Combined therapy versus anti-vascular endothelial growth factor monotherapy for polypoidal choroidal vasculopathy: A Meta-analysis. Int. J. Ophthalmol. 2017, 10, 1280–1289. [Google Scholar] [CrossRef] [PubMed] [PubMed Central]
- Bhagat, D.; Kirby, B.; Bhatt, H.; Jager, R.; George, M.; Sheth, V. Patient Preferences Associated with Anti-Vascular Endothelial Growth Factor Therapies for Neovascular Age-Related Macular Degeneration and Diabetic Macular Edema. Clin. Ophthalmol. 2020, 14, 2975–2982. [Google Scholar] [CrossRef]
- Pang, C.E.; Freund, K.B. Pachychoroid neovasculopathy. Retina 2015, 35, 1–9. [Google Scholar] [CrossRef] [PubMed]
- Cheung, C.M.G.; Lee, W.K.; Koizumi, H.; Dansingani, K.; Lai, T.Y.Y.; Freund, K.B. Pachychoroid disease. Eye 2019, 33, 14–33. [Google Scholar] [CrossRef] [PubMed] [PubMed Central]
- Matsumoto, H.; Mukai, R.; Kikuchi, Y.; Morimoto, M.; Akiyama, H. One-year outcomes of half-fluence photodynamic therapy combined with intravitreal injection of aflibercept for pachychoroid neovasculopathy without polypoidal lesions. Jpn. J. Ophthalmol. 2020, 64, 203–209. [Google Scholar] [CrossRef] [PubMed]
- Kitajima, Y.; Maruyama-Inoue, M.; Ito, A.; Sato, S.; Inoue, T.; Yamane, S.; Kadonosono, K. One-year outcome of combination therapy with intravitreal anti-vascular endothelial growth factor and photodynamic therapy in patients with pachychoroid neovasculopathy. Graefes Arch. Clin. Exp. Ophthalmol. 2020, 258, 1279–1285. [Google Scholar] [CrossRef] [PubMed]
- Miki, A.; Kusuhara, S.; Otsuji, T.; Kawashima, Y.; Miki, K.; Imai, H.; Nakamura, M.; Tsujikawa, A. Photodynamic therapy combined with anti-vascular endothelial growth factor therapy for pachychoroid neovasculopathy. PLoS ONE 2021, 16, e0248760. [Google Scholar] [CrossRef] [PubMed] [PubMed Central]
- Nomura, Y.; Aoki, S.; Kitamoto, K.; Ueda, K.; Azuma, K.; Inoue, T.; Obata, R. Three-year outcome of photodynamic therapy combined with VEGF inhibitor for pachychoroid neovasculopathy. Graefes Arch. Clin. Exp. Ophthalmol. 2024, 262, 3191–3200. [Google Scholar] [CrossRef] [PubMed]
- Sartini, F.; Figus, M.; Casini, G.; Nardi, M.; Posarelli, C. Pachychoroid neovasculopathy: A type-1 choroidal neovascularization belonging to the pachychoroid spectrum-pathogenesis, imaging and available treatment options. Int. Ophthalmol. 2020, 40, 3577–3589. [Google Scholar] [CrossRef]
- Mazzeo, T.J.M.M.; Leber, H.M.; da Silva, A.G.; Freire, R.C.M.; Barbosa, G.C.S.; Criado, G.G.; Jacob, G.A.V.; Machado, C.G.; Gomes, A.M.V. Pachychoroid disease spectrum: Review article. Graefes Arch. Clin. Exp. Ophthalmol. 2022, 260, 723–735. [Google Scholar] [CrossRef]







Disclaimer/Publisher’s Note: The statements, opinions and data contained in all publications are solely those of the individual author(s) and contributor(s) and not of MDPI and/or the editor(s). MDPI and/or the editor(s) disclaim responsibility for any injury to people or property resulting from any ideas, methods, instructions or products referred to in the content. |
© 2025 by the author. Licensee MDPI, Basel, Switzerland. This article is an open access article distributed under the terms and conditions of the Creative Commons Attribution (CC BY) license (https://creativecommons.org/licenses/by/4.0/).
Share and Cite
Honda, S. The Past, Present, and Future Perspective of Photodynamic Therapy for Age-Related Macular Degeneration. J. Clin. Med. 2025, 14, 1240. https://doi.org/10.3390/jcm14041240
Honda S. The Past, Present, and Future Perspective of Photodynamic Therapy for Age-Related Macular Degeneration. Journal of Clinical Medicine. 2025; 14(4):1240. https://doi.org/10.3390/jcm14041240
Chicago/Turabian StyleHonda, Shigeru. 2025. "The Past, Present, and Future Perspective of Photodynamic Therapy for Age-Related Macular Degeneration" Journal of Clinical Medicine 14, no. 4: 1240. https://doi.org/10.3390/jcm14041240
APA StyleHonda, S. (2025). The Past, Present, and Future Perspective of Photodynamic Therapy for Age-Related Macular Degeneration. Journal of Clinical Medicine, 14(4), 1240. https://doi.org/10.3390/jcm14041240

