Comparison of Two Viscoelastic Testing Devices in a Parturient Population
Abstract
1. Introduction
2. Materials and Methods
2.1. Participants
2.2. Measurements
2.3. Statistical Methods
3. Results
3.1. Tissue Factor-Triggered Viscoelastic Assays
3.1.1. Clot Initiation
3.1.2. Clot Firmness
3.2. Ellagic Acid-Triggered Viscoelastic Assays
3.2.1. Clot Initiation
3.2.2. Clot Firmness
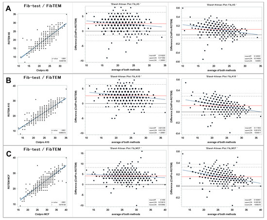
3.3. Fibrin Polymerization Assays
Clot Firmness
3.4. AUC Analysis and Best-Cutoff Calculations
4. Discussion
Limitations
5. Conclusions
Author Contributions
Funding
Institutional Review Board Statement
Informed Consent Statement
Data Availability Statement
Acknowledgments
Conflicts of Interest
References
- Bugaev, N.; Como, J.J.; Golani, G.; Freeman, J.J.; Sawhney, J.S.; Vatsaas, C.J.; Yorkgitis, B.K.D.; Kreiner, L.A.; Garcia, N.M.; Aziz, H.A.M.; et al. Thromboelastography and rotational thromboelastometry in bleeding patients with coagulopathy: Practice management guideline from the Eastern Association for the Surgery of Trauma. J. Trauma Inj. Infect. Crit. Care 2020, 89, 999–1017. [Google Scholar] [CrossRef]
- Gratz, J.; Güting, H.; Thorn, S.; Brazinova, A.; Görlinger, K.; Schäfer, N.; Schöchl, H.; Stanworth, S.; Maegele, M. Protocolised thromboelastometric-guided haemostatic management in patients with traumatic brain injury: A pilot study. Anaesthesia 2019, 74, 883–890. [Google Scholar] [CrossRef] [PubMed]
- Volod, O.; Runge, A. Measurement of Blood Viscoelasticity Using Thromboelastography. Methods Mol. Biol. 2023, 2663, 709–724. [Google Scholar] [CrossRef] [PubMed]
- Zhu, Z.; Yu, Y.; Hong, K.; Luo, M.; Ke, Y. Utility of viscoelastic hemostatic assay to guide hemostatic resuscitation in trauma patients: A systematic review. World J. Emerg. Surg. 2022, 17, 48. [Google Scholar] [CrossRef]
- Zipperle, J.; Schmitt, F.C.; Schöchl, H. Point-of-care, goal-directed management of bleeding in trauma patients. Curr. Opin. Crit. Care 2023, 29, 702–712. [Google Scholar] [CrossRef] [PubMed]
- McNamara, H.; Kenyon, C.; Smith, R.; Mallaiah, S.; Barclay, P. Four years’ experience of a ROTEM®-guided algorithm for treatment of coagulopathy in obstetric haemorrhage. Anaesthesia 2019, 74, 984–991. [Google Scholar] [CrossRef] [PubMed]
- Perelman, A.D.; Limaye, M.; Blakemore, J.; Hoskins, I.A. Thromboelastography versus Standard Coagulation Assays in Patients with Postpartum Hemorrhage. Am. J. Perinatol. 2022, 1098–8785. [Google Scholar] [CrossRef] [PubMed]
- Snegovskikh, D.; Souza, D.; Walton, Z.; Dai, F.; Rachler, R.; Garay, A.; Snegovskikh, V.V.; Braveman, F.R.; Norwitz, E.R. Point-of-care viscoelastic testing improves the outcome of pregnancies complicated by severe postpartum hemorrhage. J. Clin. Anesth. 2018, 44, 50–56. [Google Scholar] [CrossRef]
- Schöchl, H.; Voelckel, W.; Grassetto, A.; Schlimp, C.J. Practical application of point-of-care coagulation testing to guide treatment decisions in trauma. J. Trauma Inj. Infect. Crit. Care 2013, 74, 1587–1598. [Google Scholar] [CrossRef]
- Gonzalez, E.; Moore, E.E.; Moore, H.B.; Chapman, M.P.; Chin, T.L.; Ghasabyan, A.; Wohlauer, M.V.; Barnett, C.C.; Bensard, D.D.; Biffl, W.L.; et al. Goal-directed Hemostatic Resuscitation of Trauma-induced Coagulopathy: A Pragmatic Randomized Clinical Trial Comparing a Viscoelastic Assay to Conventional Coagulation Assays. Ann. Surg. 2016, 263, 1051–1059. [Google Scholar] [CrossRef]
- Drotarova, M.; Zolkova, J.; Belakova, K.M.; Brunclikova, M.; Skornova, I.; Stasko, J.; Simurda, T. Basic Principles of Rotational Thromboelastometry (ROTEM®) and the Role of ROTEM—Guided Fibrinogen Replacement Therapy in the Management of Coagulopathies. Diagnostics 2023, 13, 3219. [Google Scholar] [CrossRef]
- Hartmann, J.; Hermelin, D.; Levy, J.H. Viscoelastic testing: An illustrated review of technology and clinical applications. Res. Prac. Thromb. Haemost. 2023, 7, 100031. [Google Scholar] [CrossRef]
- Ziegler, B.; Voelckel, W.; Zipperle, J.; Grottke, O.; Schöchl, H. Comparison between the new fully automated viscoelastic coagulation analysers TEG 6s and ROTEM Sigma in trauma patients: A prospective observational study. Eur. J. Anaesthesiol. 2019, 36, 834–842. [Google Scholar] [CrossRef] [PubMed]
- Infanger, L.; Dibiasi, C.; Schaden, E.; Ulbing, S.; Wiegele, M.; Lacom, C.; Gratz, J. Comparison of the New Viscoelastic Coagulation Analyzer ClotPro® with ROTEM® Delta and Conventional Coagulation Tests in Critically Ill Patients with COVID-19. Front. Med. 2021, 8, 777145. [Google Scholar] [CrossRef] [PubMed]
- Oberladstätter, D.; Voelckel, W.; Schlimp, C.; Zipperle, J.; Ziegler, B.; Grottke, O.; Schöchl, H. A prospective observational study of the rapid detection of clinically-relevant plasma direct oral anticoagulant levels following acute traumatic injury. Anaesthesia 2021, 76, 373–380. [Google Scholar] [CrossRef]
- Yoshii, R.; Sawa, T.; Kawajiri, H.; Amaya, F.; Tanaka, K.A.; Ogawa, S. A comparison of the ClotPro system with rotational thromboelastometry in cardiac surgery: A prospective observational study. Sci. Rep. 2022, 12, 17269. [Google Scholar] [CrossRef] [PubMed]
- Fong, A.Y.Y.; Tiong, L.L.; Tan, S.S.N.; Geruka, D.; Apil, G.G.; Choo, C.W.; Ong, T.K. Effect of Dabigatran on Clotting Time in the Clotpro Ecarin Clotting Assay: A Prospective, Single-Arm, Open-Label Study. Clin. Appl. Thromb. 2020, 26, 1076029620972473. [Google Scholar] [CrossRef]
- Laukova, K.; Petrikova, V.; Poloniova, L.; Babulicova, L.; Wsolova, L.; Haas, T. Determination of reference ranges for the ClotPro(R) thromboelastometry device in paediatric patients. Br. J. Anaesth. 2023, 130, 183–190. [Google Scholar] [CrossRef] [PubMed]
- Gruneberg, D.; Braun, P.; Schöchl, H.; Nachtigall-Schmitt, T.; von der Forst, M.; Tourelle, K.; Dietrich, M.; Wallwiener, M.; Wallwiener, S.; Weigand, M.A.; et al. Fibrinolytic potential as a risk factor for postpartum hemorrhage. Front. Med. 2023, 10, 1208103. [Google Scholar] [CrossRef]
- Lang, T.; Johanning, K.; Metzler, H.; Piepenbrock, S.; Solomon, C.; Rahe-Meyer, N.; Tanaka, K.A. The effects of fibrinogen levels on thromboelastometric variables in the presence of thrombocytopenia. Obstet. Anesth. Dig. 2009, 108, 751–758. [Google Scholar] [CrossRef]
- Chan, Y.H. Biostatistics 104: Correlational analysis. Singapore Med. J. 2003, 44, 614–619. [Google Scholar]
- Solomon, C.; Baryshnikova, E.; Schlimp, C.J.; Schöchl, H.; Asmis, L.M.; Ranucci, M. FIBTEM PLUS provides an improved thromboelastometry test for measurement of fibrin-based clot quality in cardiac surgery patients. Obstet. Anesth. Dig. 2013, 117, 1054–1062. [Google Scholar] [CrossRef]
- Schlimp, C.J.; Solomon, C.; Ranucci, M.; Hochleitner, G.; Redl, H.; Schöchl, H. The effectiveness of different functional fibrinogen polymerization assays in eliminating platelet contribution to clot strength in thromboelastometry. Obstet. Anesth. Dig. 2014, 118, 269–276. [Google Scholar] [CrossRef]
- Gratz, J.; Schlimp, C.J.; Honickel, M.; Hochhausen, N.; Schöchl, H.; Grottke, O. Sufficient Thrombin Generation Despite 95% Hemodilution: An In Vitro Experimental Study. J. Clin. Med. 2020, 9, 3805. [Google Scholar] [CrossRef]
- Schochl, H.; Cotton, B.; Inaba, K.; Nienaber, U.; Fischer, H.; Voelckel, W.; Solomon, C. FIBTEM provides early prediction of massive transfusion in trauma. Crit. Care 2011, 15, R265. [Google Scholar] [CrossRef] [PubMed]
- Schöchl, H.; Nienaber, U.; Hofer, G.; Voelckel, W.; Jambor, C.; Scharbert, G.; Kozek-Langenecker, S.; Solomon, C. Goal-directed coagulation management of major trauma patients using thromboelastometry (ROTEM®)-guided administration of fibrinogen concentrate and prothrombin complex concentrate. Crit. Care 2010, 14, R55. [Google Scholar] [CrossRef] [PubMed]
- Weber, C.F.; Görlinger, K.; Meininger, D.; Herrmann, E.; Bingold, T.; Moritz, A.; Cohn, L.H.; Zacharowski, K. Point-of-Care Testing: A prospective, randomized clinical trial of efficacy in coagulopathic cardiac surgery patients. Anesthesiology 2012, 117, 531–547. [Google Scholar] [CrossRef] [PubMed]
- Groene, P.; Wagner, D.; Kammerer, T.; Kellert, L.; Giebl, A.; Massberg, S.; Schäfer, S.T. Viscoelastometry for detecting oral anticoagulants. Thromb. J. 2021, 19, 18. [Google Scholar] [CrossRef] [PubMed]
- Oberladstätter, D.; Schlimp, C.J.; Zipperle, J.; Osuchowski, M.F.; Voelckel, W.; Grottke, O.; Schöchl, H. Impact of Idarucizumab and Andexanet Alfa on DOAC Plasma Concentration and ClotPro® Clotting Time: An Ex Vivo Spiking Study in A Cohort of Trauma Patients. J. Clin. Med. 2021, 10, 3476. [Google Scholar] [CrossRef]
- Heubner, L.; Greiner, M.; Vicent, O.; Beyer-Westendorf, J.; Tiebel, O.; Scholz, U.; Güldner, A.; Mirus, M.; Fries, D.; Koch, T.; et al. Predictive ability of viscoelastic testing using ClotPro® for short-term outcome in patients with severe Covid-19 ARDS with or without ECMO therapy: A retrospective study. Thromb. J. 2022, 20, 48. [Google Scholar] [CrossRef]
- Núñez-Jurado, D.; Santotoribio, J.D.; Noval-Padillo, J. ClotPro Viscoelastometry Evaluation in Cardiac Surgery with Cardiopulmonary Bypass. J. Cardiothorac. Vasc. Anesth. 2023, 37, 392–398. [Google Scholar] [CrossRef] [PubMed]
- Collins, P. Point-of-care coagulation testing for postpartum haemorrhage. Best Prac. Res. Clin. Anaesthesiol. 2022, 36, 383–398. [Google Scholar] [CrossRef] [PubMed]
- Jokinen, S.; Kuitunen, A.; Uotila, J.; Yli-Hankala, A. Thromboelastometry-guided treatment algorithm in postpartum haemorrhage: A randomised, controlled pilot trial. Br. J. Anaesth. 2023, 130, 165–174. [Google Scholar] [CrossRef] [PubMed]
- Fahrendorff, M.; Oliveri, R.S.; Johansson, P.I. The use of viscoelastic haemostatic assays in goal-directing treatment with allogeneic blood products—A systematic review and meta-analysis. Scand. J. Trauma Resusc. Emerg. Med. 2017, 25, 39. [Google Scholar] [CrossRef]
- Hans, G.A.; Besser, M.W. The place of viscoelastic testing in clinical practice. Br. J. Haematol. 2016, 173, 37–48. [Google Scholar] [CrossRef]
- Wikkelsø, A.; Wetterslev, J.; Møller, A.M.; Afshari, A. Thromboelastography (TEG) or thromboelastometry (ROTEM) to monitor haemostatic treatment versus usual care in adults or children with bleeding. Cochrane Database Syst. Rev. 2016, 2016, CD007871. [Google Scholar] [CrossRef]




| Total n = 217 | |
|---|---|
| Age [y] | 34 (30–37) |
| Gestation age [wk] | 39 (38–40) |
| Gemini | 10 (4.6%) |
| Gravidity | 2 (1–3) |
| Parity | 1 (0–1) |
| Nullipara | 104 (47.9%) |
| Prior abortions | 0 (0–1) |
| Spontaneous birth [n] | 109 (50.2%) |
| Primary cesarian [n] | 70 (32.3%) |
| Secondary cesarian [n] | 38 (17.5%) |
| Uterine atony | 4 (1.8%) |
| Coagulopathy (all kinds) | 11 (5.1%) |
| vWD | 3 (1.4%) |
| Factor V Leiden mutation | 4 (1.8%) |
| Factor XII deficiency | 2 (0.9%) |
| HELLP/preeclampsia | 5 (2.3%) |
| Birth injury | 87 (40.1%) |
| N | AUC (95% CL) | Best Cutoff | Youden Index | Sens. | Spec. | PPV | NPV | |
|---|---|---|---|---|---|---|---|---|
| PT < 100% vs. ClotPro® Ex-test CT [s] | 29 vs. 634 | 0.7074 (0.63–0.79) | 42 s | 0.37 | 89.7% | 47.5% | 0.08 | 0.99 |
| PT < 100% vs. ROTEM® EXTEM CT [s] | 29 vs. 602 | 0.6748 (0.59–0.76) | 49 s | 0.31 | 82.8% | 47.8% | 0.07 | 0.93 |
| Fibrinogen < 4 g/L vs. ClotPro® Fib-test A10 [mm] | 146 vs. 485 | 0.8387 (0.80–0.87) | 23 mm | 0.52 | 78.1% | 73.8% | 0.47 | 0.92 |
| Fibrinogen < 4 g/L vs. ROTEM® FIBTEM A10 [mm] | 146 vs. 485 | 0.8164 (0.78–0.86) | 20 mm | 0.49 | 74.6% | 74.6% | 0.56 | 0.87 |
| Platelets < 150/nL vs. ClotPro® Platelet contribution [mm] | 74 vs. 557 | 0.8023 (0.75–0.85) | 135 mm | 0.47 | 77.0% | 70.0% | 0.28 | 0.96 |
| Platelets < 150/nL vs. ROTEM® Platelet contribution [mm] | 74 vs. 557 | 0.8140 (0.77–0.86) | 183 mm | 0.49 | 81.1% | 68.0% | 0.13 | 1.00 |
| ClotPro® Parameters | Mean Difference to Respective ROTEM® Parameter |
|---|---|
| Ex-test CT | ↓ (−6 s) |
| In-test CT | ↓ (−11 s) |
| Ex-test A10 | ↓ (−2 mm) |
| Fib-test A10 | ↑ (+3 mm) |
Disclaimer/Publisher’s Note: The statements, opinions and data contained in all publications are solely those of the individual author(s) and contributor(s) and not of MDPI and/or the editor(s). MDPI and/or the editor(s) disclaim responsibility for any injury to people or property resulting from any ideas, methods, instructions or products referred to in the content. |
© 2024 by the authors. Licensee MDPI, Basel, Switzerland. This article is an open access article distributed under the terms and conditions of the Creative Commons Attribution (CC BY) license (https://creativecommons.org/licenses/by/4.0/).
Share and Cite
Gruneberg, D.; Hofer, S.; Schöchl, H.; Zipperle, J.; Oberladstätter, D.; Decker, S.O.; Von der Forst, M.; Tourelle, K.M.; Dietrich, M.; Weigand, M.A.; et al. Comparison of Two Viscoelastic Testing Devices in a Parturient Population. J. Clin. Med. 2024, 13, 692. https://doi.org/10.3390/jcm13030692
Gruneberg D, Hofer S, Schöchl H, Zipperle J, Oberladstätter D, Decker SO, Von der Forst M, Tourelle KM, Dietrich M, Weigand MA, et al. Comparison of Two Viscoelastic Testing Devices in a Parturient Population. Journal of Clinical Medicine. 2024; 13(3):692. https://doi.org/10.3390/jcm13030692
Chicago/Turabian StyleGruneberg, Daniel, Stefan Hofer, Herbert Schöchl, Johannes Zipperle, Daniel Oberladstätter, Sebastian O. Decker, Maik Von der Forst, Kevin Michel Tourelle, Maximilian Dietrich, Markus A. Weigand, and et al. 2024. "Comparison of Two Viscoelastic Testing Devices in a Parturient Population" Journal of Clinical Medicine 13, no. 3: 692. https://doi.org/10.3390/jcm13030692
APA StyleGruneberg, D., Hofer, S., Schöchl, H., Zipperle, J., Oberladstätter, D., Decker, S. O., Von der Forst, M., Tourelle, K. M., Dietrich, M., Weigand, M. A., & Schmitt, F. C. F. (2024). Comparison of Two Viscoelastic Testing Devices in a Parturient Population. Journal of Clinical Medicine, 13(3), 692. https://doi.org/10.3390/jcm13030692

