The Effect of Lacticaseibacillus paracasei LPC100 and Lactiplantibacillus plantarum LP140 on Bone Mineral Density in Postmenopausal Women: A Multicenter, Randomized, Placebo-Controlled Study
Abstract
1. Introduction
2. Materials and Methods
2.1. Study Design
2.2. Inclusion and Exclusion Criteria
2.3. Intervention
2.4. Compliance
2.5. Outcomes
2.6. Safety of Intervention
2.7. Statistical Analyses
3. Results
3.1. Patient Characteristics
3.2. The Effect of Intervention on T-Score of Lumbar Spine
3.3. The Effect of Intervention on Secondary Outcomes
3.3.1. Serological Markers
3.3.2. BMI and Gastrointestinal Symptoms
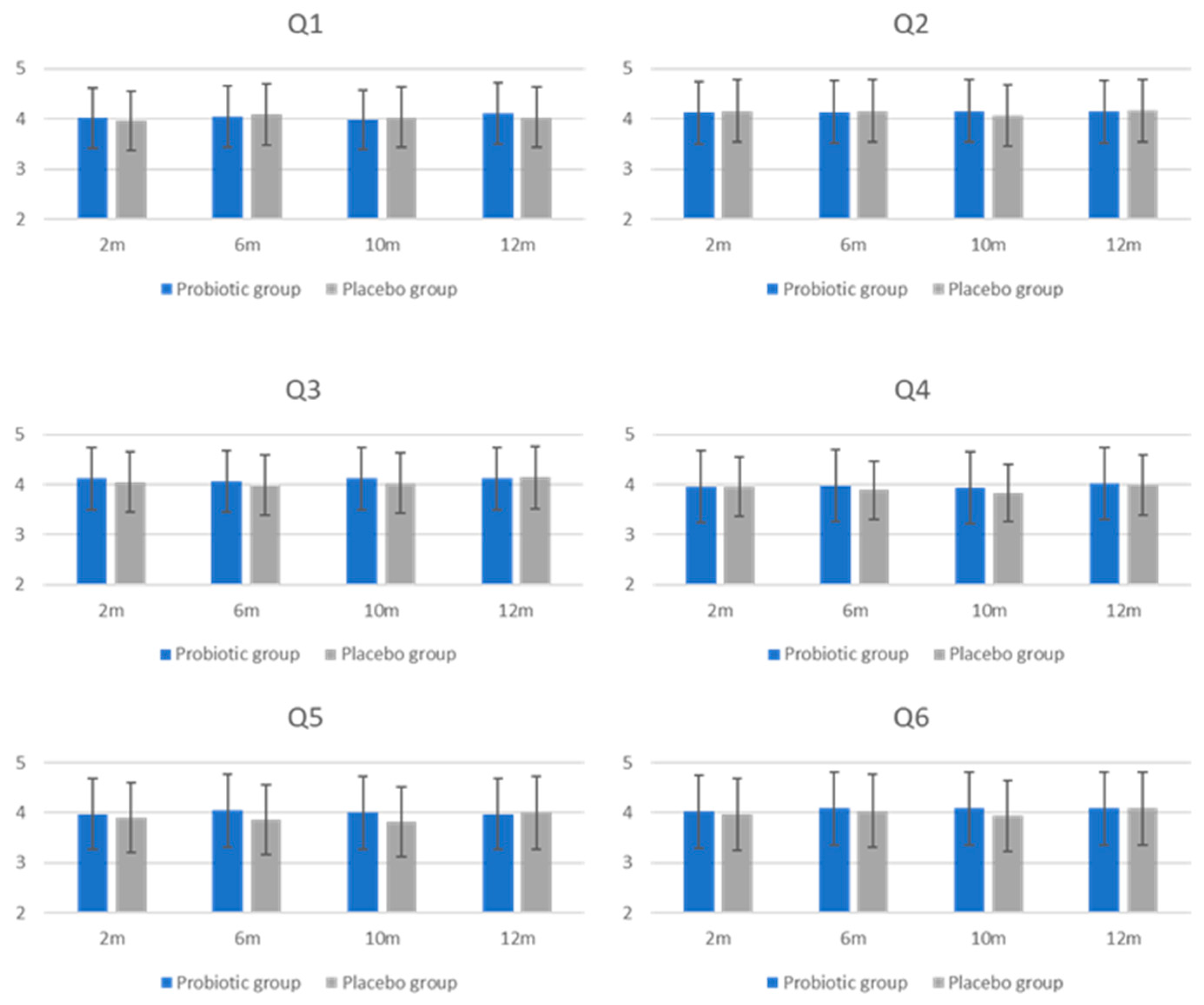
3.3.3. Satisfaction of the Intervention
3.4. Safety and Tolerance of Probiotic Preparation
4. Discussion
Strengths and Limitations of the Study
5. Conclusions
Author Contributions
Funding
Institutional Review Board Statement
Informed Consent Statement
Data Availability Statement
Conflicts of Interest
References
- Compston, J.E.; McClung, M.R.; Leslie, W.D. Osteoporosis. Lancet 2019, 393, 364–376. [Google Scholar] [CrossRef] [PubMed]
- Kanis, J.A.; Johnell, O.; Oden, A.; Jonsson, B.; De Laet, C.; Dawson, A. Risk of hip fracture according to the World Health Organization criteria for osteopenia and osteoporosis. Bone 2000, 27, 585–590. [Google Scholar] [CrossRef] [PubMed]
- Kanis, J.A.; Harvey, N.C.; McCloskey, E.; Bruyère, O.; Veronese, N.; Lorentzon, M.; Cooper, C.; Rizzoli, R.; Adib, G.; Al-Daghri, N.; et al. Algorithm for the management of patients at low, high and very high risk of osteoporotic fractures. Osteoporos. Int. 2020, 31, 1–12. [Google Scholar] [CrossRef] [PubMed]
- Borer, K.T. How to suppress mineral loss and stimulate anabolism in postmenopausal bones with appropriate timing of exercise and nutrients. Nutrients 2024, 16, 759. [Google Scholar] [CrossRef]
- Li, S.; Mao, Y.; Zhou, F.; Yang, H.; Shi, Q.; Meng, B. Gut microbiome and osteoporosis: A review. Bone Jt. Res. 2020, 9, 524–530. [Google Scholar] [CrossRef]
- Basak, S.; Hridayanka, K.S.N.; Duttaroy, A.K. Bioactives and their roles in bone metabolism of osteoarthritis: Evidence and mechanisms on gut-bone axis. Front. Immunol. 2024, 14, 1323233. [Google Scholar] [CrossRef]
- Sender, R.; Fuchs, S.; Milo, R. Revised estimates for the number of human and bacteria cells in the body. PLoS Biol. 2016, 14, e1002533. [Google Scholar] [CrossRef]
- Adak, A.; Khan, M.R. An insight into gut microbiota and its functionalities. Cell Mol. Life Sci. 2019, 76, 473–493. [Google Scholar] [CrossRef]
- Uchida, Y.; Irie, K.; Fukuhara, D.; Kataoka, K.; Hattori, T.; Ono, M.; Ekuni, D.; Kubota, S.; Morita, M. Affiliations expand Commensal microbiota enhance both osteoclast and osteoblast activities. Molecules 2018, 23, 1517. [Google Scholar] [CrossRef]
- Sjögren, K.; Engdahl, C.; Henning, P.; Lerner, U.H.; Tremaroli, V.; Lagerquist, M.K.; Bäckhed, F.; Ohlsson, C. The gut microbiota regulates bone mass in mice. J. Bone Miner. Res. 2012, 27, 1357–1367. [Google Scholar] [CrossRef]
- Wang, J.; Wu, S.; Zhang, Y.; Yang, J.; Hu, Z. Gut microbiota and calcium balance. Front. Microbiol. 2022, 13, 1033933. [Google Scholar] [CrossRef] [PubMed]
- Morozumi, A. High concentration of sodium butyrate suppresses osteoblastic differentiation and mineralized nodule formation in ROS17/2.8 cells. J. Oral Sci. 2011, 53, 509–516. [Google Scholar] [CrossRef] [PubMed]
- Lyu, Z.; Hu, Y.; Guo, Y.; Liu, D. Modulation of bone remodeling by the gut microbiota: A new therapy for osteoporosis. Bone Res. 2023, 11, 31. [Google Scholar] [CrossRef]
- Jeyaraman, M.; Nallakumarasamy, A.; Jain, V.K. Gut Microbiome—Should we treat the gut and not the bones? J. Clin. Orthop. Trauma 2023, 39, 102149. [Google Scholar] [CrossRef] [PubMed]
- Rizzoli, R.; Biver, E. Are probiotics the new calcium and vitamin D for bone health? Curr. Osteoporos. Rep. 2020, 18, 273–284. [Google Scholar] [CrossRef]
- Hill, C.; Guarner, F.; Reid, G.; Gibson, G.R.; Merenstein, D.J.; Pot, B.; Morelli, L.; Canani, R.B.; Flint, H.J.; Salminen, S.; et al. Expert consensus document: The International Scientific Association for Probiotics and Prebiotics consensus statement on the scope and appropriate use of the term probiotic. Nat. Rev. Gastroenterol. Hepatol. 2014, 11, 506–514. [Google Scholar] [CrossRef]
- Bose, S.; Sharan, K. Effect of probiotics on postmenopausal bone health: A preclinical meta-analysis. Br. J. Nutr. 2024, 131, 567–580. [Google Scholar] [CrossRef]
- Billington, E.O.; Mahajan, A.; Benham, J.L.; Raman, M. Effects of probiotics on bone mineral density and bone turnover: A systematic review. Crit. Rev. Food Sci. Nutr. 2023, 63, 4141–4152. [Google Scholar] [CrossRef] [PubMed]
- Riegler, G.; Esposito, I. Bristol scale stool form: A still valid help in medical practice and clinical research. Tech. Coloproctol. 2001, 5, 163–164. [Google Scholar] [CrossRef]
- Skrzydło-Radomańska, B.; Prozorow-Król, B.; Cichoż -Lach, H.; Majsiak, E.; Bierła, J.B.; Kosikowski, W.; Szczerbiński, M.; Gantzel, J.; Cukrowska, B. The effectiveness of synbiotic preparation containing Lactobacillus and Bifidobacterium probiotic strains and short chain fructooligosaccharides in patients with diarrhea predominant irritable bowel syndrome-a randomized double-blind, placebo-controlled study. Nutrients 2020, 12, 1999. [Google Scholar] [CrossRef]
- Zheng, J.; Wittouck, S.; Salvetti, E.; Franz, C.M.A.P.; Harris, H.M.B.; Mattarelli, P.; O’Toole, P.W.; Pot, B.; Vandamme, P.; Walter, J.; et al. A taxonomic note on the genus Lactobacillus: Description of 23 novel genera, emended description of the genus Lactobacillus Beijerinck 1901, and union of Lactobacillaceae and Leuconostocaceae. Int. J. Syst. Evol. Microbiol 2020, 70, 2782–2858. [Google Scholar] [CrossRef] [PubMed]
- Jansson, P.A.; Curiac, D.; Ahren, I.L.; Hansson, F.; Niskanen, T.M.; Sjogren, K.; Ohlsson, C. Probiotic treatment using a mix of three Lactobacillus strains for lumbar spine bone loss in postmenopausal women: A randomized, double-blind, placebo-controlled, multicentre trial. Lancet Rheumatol. 2019, 1, e154–e162. [Google Scholar] [CrossRef]
- Yu, J.; Cao, G.; Yuan, S.; Luo, C.; Yu, J.; Cai, M. Probiotic supplements and bone health in postmenopausal women: A meta-analysis of randomised controlled trials. BMJ Open 2021, 11, e041393. [Google Scholar] [CrossRef]
- Nilsson, A.G.; Sundh, D.; Bäckhed, F.; Lorentzon, M. Lactobacillus reuteri reduces bone loss in older women with low bone mineral density: A randomized, placebo-controlled, double-blind, clinical trial. J. Intern. Med. 2018, 284, 307–317. [Google Scholar] [CrossRef] [PubMed]
- Takimoto, T.; Hatanaka, M.; Hoshino, T.; Takara, T.; Tanaka, K.; Shimizu, A.; Morita, H.; Nakamura, T. Effect of Bacillus subtilis C-3102 on bone mineral density in healthy postmenopausal Japanese women: A randomized, placebo-controlled, double-blind clinical trial. Biosci. Microbiota Food Health 2018, 37, 87–96. [Google Scholar] [CrossRef]
- Vanitchanont, M.; Vallibhakara, S.A.; Sophonsritsuk, A.; Vallibhakara, O. Effects of multispecies probiotic supplementation on serum bone turnover markers in postmenopausal women with osteopenia: A randomized, double-blind, placebo-controlled trial. Nutrients 2024, 16, 461. [Google Scholar] [CrossRef] [PubMed]
- Jafarnejad, S.; Djafarian, K.; Fazeli, M.R.; Yekaninejad, M.S.; Rostamian, A.; Keshavarz, S.A. Effects of a multispecies probiotic supplement on bone health in osteopenic postmenopausal women: A randomized, double-blind, controlled trial. J. Am. Coll. Nutr. 2017, 36, 497–506. [Google Scholar] [CrossRef]
- Lambert, M.N.T.; Thybo, C.B.; Lykkeboe, S.; Rasmussen, L.M.; Frette, X.; Christensen, L.P.; Jeppesen, P.B. Combined bioavailable isoflavones and probiotics improve bone status and estrogen metabolism in postmenopausal osteopenic women: A randomized controlled trial. Am. J. Clin. Nutr. 2017, 106, 909–920. [Google Scholar] [CrossRef]
- Jones, M.L.; Martoni, C.J.; Prakash, S. Oral supplementation with probiotic L. reuteri NCIMB 30242 increases mean circulating 25-hydroxyvitamin D: A post hoc analysis of a randomized controlled trial. J. Clin. Endocrinol. Metab 2013, 98, 2944–2951. [Google Scholar] [CrossRef]
- Głogowska-Szeląg, J.; Bełz, A.; Kajdaniuk, D.; Kos-Kudła, B.; Marek, B.; Nowak, M.; Siemińska, I. Relationship between body mass index-BMI and Vitamin D concentrations in women with postmenopausal osteoporosis. Curr. Women’s Health Rev. 2021, 17, 316–320. [Google Scholar] [CrossRef]
- Christakos, S.; Dhawan, P.; Porta, A.; Mady, L.J.; Seth, T. Vitamin D and intestinal calcium absorption. Mol. Cell Endocrinol. 2011, 347, 25–29. [Google Scholar] [CrossRef] [PubMed]
- Rivière, A.; Selak, M.; Lantin, D.; Leroy, F.; De Vuyst, L. Bifidobacteria and butyrate-producing colon bacteria: Importance and strategies for their stimulation in the human gut. Front. Microbiol. 2016, 7, 979. [Google Scholar] [CrossRef] [PubMed]
- Szczepankowska, A.K.; Cukrowska, B.; Aleksandrzak-Piekarczyk, T. Complete genome sequence of the probiotic Lacticaseibacillus paracasei LPC100 strain from NORDBIOTIC™ collection isolated from a human fecal sample. Microbiol. Resour. Announc. 2024, 13, e0034424. [Google Scholar] [CrossRef] [PubMed]
- Szczepankowska, A.K.; Cukrowska, B.; Aleksandrzak-Piekarczyk, T. Whole genome sequencing of the potentially probiotic cheese isolate Lactiplantibacillus plantarum LP140 from the NORDBIOTIC™ collection. Microbiol. Resour. Announc. 2024; accepted for publication. [Google Scholar]
- Das, U.N. Is there a role for essential fatty acids in osteoporosis? Eur. J. Clin. Nutr. 2024, 5, 659–662. [Google Scholar] [CrossRef]
- Li, J.Y.; Yu, M.; Pal, S.; Tyagi, A.M.; Dar, H.; Adams, J.; Weitzmann, M.N.; Jones, R.M.; Pacifici, R. Parathyroid hormone-dependent bone formation requires butyrate production by intestinal microbiota. J. Clin. Investig. 2020, 130, 1767–1781. [Google Scholar] [CrossRef]
- Hu, M.; Alashkar Alhamwe, B.; Santner-Nanan, B.; Miethe, S.; Harb, H.; Renz, H.; Potaczek, D.P.; Nanan, R.K. Short-chain fatty acids augment differentiation and function of human induced regulatory T cells. Int. J. Mol. Sci. 2022, 23, 5740. [Google Scholar] [CrossRef]
- Skrzydło-Radomańska, B.; Prozorow-Król, B.; Cichoż-Lach, H.; Majsiak, E.; Bierła, J.B.; Kanarek, E.; Sowińska, A.; Cukrowska, B. The effectiveness and safety of multi-strain probiotic preparation in patients with diarrhea-predominant irritable bowel syndrome: A randomized controlled study. Nutrients 2021, 13, 756. [Google Scholar] [CrossRef]
- Akinsuyi, O.S.; Roesch, L.F.W. Meta-Analysis Reveals Compositional and Functional Microbial Changes Associated with Osteoporosis. Microbiol. Spectr. 2023, 11, e0032223. [Google Scholar] [CrossRef]





| Species | Strain | DSM Number * | CFUs/Capsule |
|---|---|---|---|
| Lacticaseibacillus paracasei [Lactobacillus paracasei] | LPC100 | 33793 | 1.5 × 109 |
| Lactiplantibacillus plantarum [Lactobacillus plantarum] | LP140 | 33804 | 3.5 × 109 |
| Probiotic Group (n = 84) | Placebo Group (n = 83) | p-Value between Groups * | |
|---|---|---|---|
| Age (years) | 56.3 ± 6.8 [56.6; 37.4–69.7] | 57.0 ± 7.8 [57.2; 38.2–68.8] | 0.896 |
| Height (m) | 1.65 ± 0.1 [1.64; 1.49–1.82] | 1.64 ± 0.1 [1.64; 1.49–1.95] | 0.997 |
| Body weight (kg) | 70.54 ± 9.9 [70.5; 48.0–87.0] | 70.0 ± 10.0 [69.0; 46.0–88.8] | 0.846 |
| BMI | 26.0 ± 2.9 [26.4; 18.7–30.0] | 25.9 ± 3.3 [26.6; 18.4–30.0] | 0.995 |
| Comorbidities | 61 (72.6%) | 61 (73.5%) | 0.899 |
| T-score | 0.19 ± 0.99 [0.30; −1.50–3.20] | 0.06 ± 1.04 [−0.20; −1.50–3.60] | 0.222 |
| Laboratory tests: | |||
| ESR (mm/h) | 9.9 ± 7.5 [9.0; 2.0–34.0] | 10.9 ± 10.4 [8.0; 2.0–65.0] | 0.961 |
| CRP (mg/L) | 3.2 ± 4.2 [1.8; 0.1–30.1] | 3.0 ± 4.8 [1.6; 0–38.7] | 0.198 |
| Ca (mg/dL) | 9.1 ± 2.4 [10.1; 7.7–10.3] | 9.4 ± 2.2 [10.3; 8.1–10.4] | 0.914 |
| P (mg/dL) | 3.9 ± 0.7 [3.4; 1.0–5.2] | 3.3 ± 0.6 [3.4; 1.1–4.6] | 0.662 |
| Vitamin D (ng/mL) | 41.1 ± 12.3 [36.6; 31.0–93.0] | 40.2 ± 12.2 [35.9; 31.0–83.4] | 0.471 |
| Alkaline phosphatase (U/L) | 71.5 ± 19.8 [69.5; 34–124] | 74.6 ± 26.0 [70.0; 23.0–161] | 0.680 |
| Groups | T-Score at Baseline | T-Score after 12-Month Intervention | p-Value | |||
|---|---|---|---|---|---|---|
| Mean ± SD | Median [Range] | Mean ± SD | Median [Range] | Within Groups | Between Groups | |
| Probiotic (n = 84) | 0.19 ± 0.99 | 0.3 [−1.5–3.2] | −0.08 ± 1.05 | 0 [−2.9–1.9] | 0.125 | 0.089 |
| Placebo (n = 83) | 0.06 ± 1.04 | −0.2 [−1.5–3.6] | −0.28 ± 1.12 | −0.4 [−2.4–3.9] | 0.041 | |
Disclaimer/Publisher’s Note: The statements, opinions and data contained in all publications are solely those of the individual author(s) and contributor(s) and not of MDPI and/or the editor(s). MDPI and/or the editor(s) disclaim responsibility for any injury to people or property resulting from any ideas, methods, instructions or products referred to in the content. |
© 2024 by the authors. Licensee MDPI, Basel, Switzerland. This article is an open access article distributed under the terms and conditions of the Creative Commons Attribution (CC BY) license (https://creativecommons.org/licenses/by/4.0/).
Share and Cite
Głogowska-Szeląg, J.; Palka-Kisielowska, I.; Porawska, W.; Bierła, J.B.; Szczepankowska, A.K.; Aleksandrzak-Piekarczyk, T.; Cukrowska, B. The Effect of Lacticaseibacillus paracasei LPC100 and Lactiplantibacillus plantarum LP140 on Bone Mineral Density in Postmenopausal Women: A Multicenter, Randomized, Placebo-Controlled Study. J. Clin. Med. 2024, 13, 5977. https://doi.org/10.3390/jcm13195977
Głogowska-Szeląg J, Palka-Kisielowska I, Porawska W, Bierła JB, Szczepankowska AK, Aleksandrzak-Piekarczyk T, Cukrowska B. The Effect of Lacticaseibacillus paracasei LPC100 and Lactiplantibacillus plantarum LP140 on Bone Mineral Density in Postmenopausal Women: A Multicenter, Randomized, Placebo-Controlled Study. Journal of Clinical Medicine. 2024; 13(19):5977. https://doi.org/10.3390/jcm13195977
Chicago/Turabian StyleGłogowska-Szeląg, Joanna, Ilona Palka-Kisielowska, Wiesława Porawska, Joanna B. Bierła, Agnieszka K. Szczepankowska, Tamara Aleksandrzak-Piekarczyk, and Bożena Cukrowska. 2024. "The Effect of Lacticaseibacillus paracasei LPC100 and Lactiplantibacillus plantarum LP140 on Bone Mineral Density in Postmenopausal Women: A Multicenter, Randomized, Placebo-Controlled Study" Journal of Clinical Medicine 13, no. 19: 5977. https://doi.org/10.3390/jcm13195977
APA StyleGłogowska-Szeląg, J., Palka-Kisielowska, I., Porawska, W., Bierła, J. B., Szczepankowska, A. K., Aleksandrzak-Piekarczyk, T., & Cukrowska, B. (2024). The Effect of Lacticaseibacillus paracasei LPC100 and Lactiplantibacillus plantarum LP140 on Bone Mineral Density in Postmenopausal Women: A Multicenter, Randomized, Placebo-Controlled Study. Journal of Clinical Medicine, 13(19), 5977. https://doi.org/10.3390/jcm13195977

