Impact of Serum Phosphate on Hemoglobin Level: A Longitudinal Analysis on a Large Cohort of Dialysis Patients
Abstract
1. Introduction
2. Materials and Methods
2.1. Study Population Ad Laboratory Data
2.2. Data Collection
2.3. Statistical Analysis
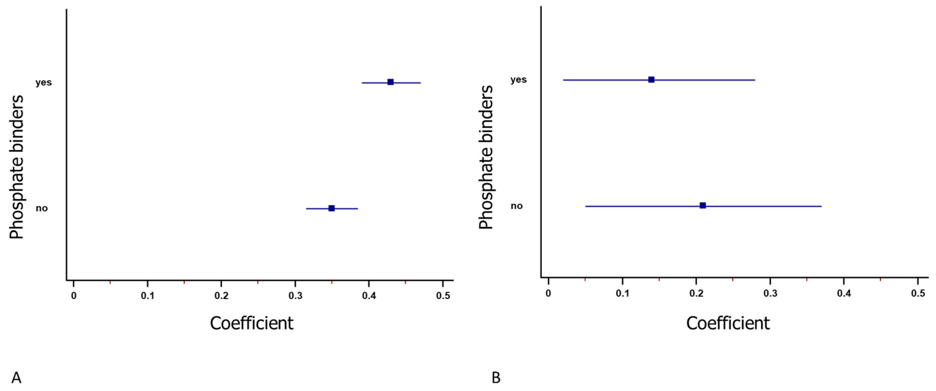
3. Results
3.1. Baseline Analysis
3.2. Longitudinal Analysis
4. Discussion
5. Conclusions
Supplementary Materials
Author Contributions
Funding
Institutional Review Board Statement
Informed Consent Statement
Data Availability Statement
Acknowledgments
Conflicts of Interest
References
- Rout, P.; Jialal, I. Hyperphosphatemia. In StatPearls [Internet]; StatPearls Publishing: Treasure Island, FL, USA, 2024. Available online: https://www.ncbi.nlm.nih.gov/books/NBK551586/ (accessed on 12 June 2023).
- Cernaro, V.; Santoro, D.; Lucisano, S.; Nicocia, G.; Lacquaniti, A.; Buemi, M. The future of phosphate binders: A perspective on novel therapeutics. Expert Opin. Investig. Drugs 2014, 23, 1459–1463. [Google Scholar] [CrossRef] [PubMed]
- Leifheit-Nestler, M.; Haffner, D. How FGF23 shapes multiple organs in chronic kidney disease. Mol. Cell. Pediatr. 2021, 8, 12. [Google Scholar] [CrossRef] [PubMed]
- Edmonston, D.; Wolf, M. FGF23 at the crossroads of phosphate, iron economy and erythropoiesis. Nat. Rev. Nephrol. 2020, 16, 7–19. [Google Scholar] [CrossRef] [PubMed]
- Fishbane, S.; Spinowitz, B. Update on Anemia in ESRD and Earlier Stages of CKD: Core Curriculum 2018. Am. J. Kidney Dis. Off. J. Natl. Kidney Found. 2018, 71, 423–435. [Google Scholar] [CrossRef] [PubMed]
- Ho, B.B.; Bergwitz, C. FGF23 signalling and physiology. J. Mol. Endocrinol. 2021, 66, R23–R32. [Google Scholar] [CrossRef]
- Ogawa, E.; Kobayashi, K.; Yoshiura, N.; Mukai, J. Bovine postparturient hemoglobinemia: Hypophosphatemia and metabolic disorder in red blood cells. Am. J. Vet. Res. 1987, 48, 1300–1303. [Google Scholar]
- Adams, L.G.; Hardy, R.M.; Weiss, D.J.; Bartges, J.W. Hypophosphatemia and hemolytic anemia associated with diabetes mellitus and hepatic lipidosis in cats. J. Vet. Intern. Med. 1993, 7, 266–271. [Google Scholar] [CrossRef]
- Melvin, J.D.; Watts, R.G. Severe hypophosphatemia: A rare cause of intravascular hemolysis. Am. J. Hematol. 2002, 69, 223–224. [Google Scholar] [CrossRef]
- Jacob, H.S.; Amsden, T. Acute hemolytic anemia with rigid red cells in hypophosphatemia. N. Engl. J. Med. 1971, 285, 1446–1450. [Google Scholar] [CrossRef]
- Young, J.A.; Lichtman, M.A.; Cohen, J. Reduced red cell 2,3-diphosphoglycerate and adenosine triphosphate, hypophosphatemia, and increased hemoglobin-oxygen affinity after cardiac surgery. Circulation 1973, 47, 1313–1318. [Google Scholar] [CrossRef]
- MacDonald, R. Red cell 2,3-diphosphoglycerate and oxygen affinity. Anaesthesia 1977, 32, 544–553. [Google Scholar] [CrossRef] [PubMed]
- Van Kempen TA, T.G.; Deixler, E.; Crook, M.A. Hypophosphatemia as a key factor in sudden infant death syndrome (SIDS)? Upsala J. Med. Sci. 2013, 118, 143–144. [Google Scholar] [CrossRef] [PubMed]
- Shepherd, J.R.; Dominelli, P.B.; Roy, T.K.; Secomb, T.W.; Hoyer, J.D.; Oliveira, J.L.; Joyner, M.J. Modelling the relationships between haemoglobin oxygen affinity and the oxygen cascade in humans. J. Physiol. 2019, 597, 4193–4202. [Google Scholar] [CrossRef] [PubMed]
- Amanzadeh, J.; Reilly, R.F.J. Hypophosphatemia: An evidence-based approach to its clinical consequences and management. Nat. Clin. Pract. Nephrol. 2006, 2, 136–148. [Google Scholar] [CrossRef] [PubMed]
- Farrow, E.G.; Yu, X.; Summers, L.J.; Davis, S.I.; Fleet, J.C.; Allen, M.R.; Robling, A.G.; Stayrook, K.R.; Jideonwo, V.; Magers, M.J.; et al. Iron deficiency drives an autosomal dominant hypophosphatemic rickets (ADHR) phenotype in fibroblast growth factor-23 (Fgf23) knock-in mice. Proc. Natl. Acad. Sci. USA 2011, 108, E1146–E1155. [Google Scholar] [CrossRef]
- Clinkenbeard, E.L.; Farrow, E.G.; Summers, L.J.; Cass, T.A.; Roberts, J.L.; Bayt, C.A.; Lahm, T.; Albrecht, M.; Allen, M.R.; Peacock, M.; et al. Neonatal iron deficiency causes abnormal phosphate metabolism by elevating FGF23 in normal and ADHR mice. J. Bone Miner. Res. 2014, 29, 361–369. [Google Scholar] [CrossRef]
- Kommalapati, A.; Singhi, R.; Tella, S.H. Association between Iron-Deficiency Anemia and Hypophosphatemia. Am. J. Med. 2018, 131, e103–e104. [Google Scholar] [CrossRef]
- Maduell, F.; Navarro, V.; Alós, M.; Torregrosa, E.; Ventura, J.M.; Nicolas, J.; Sanz, M.; Moreno, A. Intradialysis hemolysis secondary to hypophosphatemia. Nefrologia 2003, 23, 85–88. [Google Scholar]
- Lichtman, M.A.; Miller, D.R.; Freeman, R.B. Erythrocyte adenosine triphosphate depletion during hypophosphatemia in a uremic subject. N. Engl. J. Med. 1969, 280, 240–244. [Google Scholar] [CrossRef]
- Centro Regionale Trapianti Sicilia. Available online: http://www.crtsicilia.it/PUBLIC/RegistroRSNDT/CentriDialisiETx.aspx (accessed on 6 July 2022).
- Czaya, B.; Faul, C. The Role of Fibroblast Growth Factor 23 in Inflammation and Anemia. Int. J. Mol. Sci. 2019, 20, 4195. [Google Scholar] [CrossRef] [PubMed]
- David, V.; Martin, A.; Isakova, T.; Spaulding, C.; Qi, L.; Ramirez, V.; Zumbrennen-Bullough, K.B.; Sun, C.C.; Lin, H.Y.; Babitt, J.L.; et al. Inflammation and functional iron deficiency regulate fibroblast growth factor 23 production. Kidney Int. 2016, 89, 135–146. [Google Scholar] [CrossRef] [PubMed]
- Smith, E.R.; Ford, M.L.; Tomlinson, L.A.; Rajkumar, C.; McMahon, L.P.; Holt, S.G. Phosphorylated fetuin-A-containing calciprotein particles are associated with aortic stiffness and a procalcific milieu in patients with pre-dialysis CKD. Nephrol. Dial. Transplant. 2012, 27, 1957–1966. [Google Scholar] [CrossRef]
- Bi, S.; Liang, Y.; Cheng, L.; Wang, Y.; Wang, T.; Han, Q.; Zhang, A. Hemodialysis is associated with higher serum FGF23 level when compared with peritoneal dialysis. Int. Urol. Nephrol. 2017, 49, 1653–1659. [Google Scholar] [CrossRef] [PubMed]
- Komaba, H.; Fukagawa, M. FGF23: A key player in mineral and bone disorder in CKD. Nefrologia 2009, 29, 392–396. [Google Scholar] [PubMed]
- Olauson, H.; Qureshi, A.R.; Miyamoto, T.; Barany, P.; Heimburger, O.; Lindholm, B.; Stenvinkel, P.; Larsson, T.E. Relation between serum fibroblast growth factor-23 level and mortality in incident dialysis patients: Are gender and cardiovascular disease confounding the relationship? Nephrol. Dial. Transplant. 2010, 25, 3033–3038. [Google Scholar] [CrossRef]
- Tran, L.; Batech, M.; Rhee, C.M.; Streja, E.; Kalantar-Zadeh, K.; Jacobsen, S.J.; Sim, J.J. Serum phosphorus and association with anemia among a large diverse population with and without chronic kidney disease. Nephrol. Dial. Transplant. 2016, 31, 636–645. [Google Scholar] [CrossRef]
- Bogin, E.; Massry, S.G.; Levi, J.; Djaldeti, M.; Bristol, G.; Smith, J. Effect of parathyroid hormone on osmotic fragility of human erythrocytes. J. Clin. Investig. 1982, 69, 1017–1025. [Google Scholar] [CrossRef]
- Ureña, P.; Eckardt, K.U.; Sarfati, E.; Zingraff, J.; Zins, B.; Roullet, J.B.; Roland, E.; Drüeke, T.; Kurtz, A. Serum erythropoietin and erythropoiesis in primary and secondary hyperparathyroidism: Effect of parathyroidectomy. Nephron 1991, 59, 384–393. [Google Scholar] [CrossRef]
- Zingraff, J.; Drüeke, T.; Marie, P.; Man, N.K.; Jungers, P.; Bordier, P. Anemia and secondary hyperparathyroidism. Arch. Intern. Med. 1978, 138, 1650–1652. [Google Scholar] [CrossRef]
- Bal, Z.; Demirci, B.G.; Karakose, S.; Tutal, E.; Erkmen Uyar, M.; Acar, N.O.; Sezer, S. Factors Influencing Hemoglobin Variability and Its Association with Mortality in Hemodialysis Patients. Sci. World J. 2018, 2018, 8065691. [Google Scholar] [CrossRef] [PubMed]
- García-Erce, J.A.; Lorente-Aznar, T.; Rivilla-Marugán, L. Influence of gender, age and residence altitude on haemoglobin levels and the prevalence of anaemia. Med. Clin. 2019, 153, 424–429. [Google Scholar] [CrossRef] [PubMed]
- Gómez Ramírez, S.; Remacha Sevilla, Á.F.; Muñoz Gómez, M. Anaemia in the elderly. Med. Clin. 2017, 149, 496–503. [Google Scholar] [CrossRef] [PubMed]
- Blum, L.V.; Schmitt, E.; Choorapoikayil, S.; Baumhove, O.; Bayer, A.; Friederich, P.; Friedrich, J.; Geisen, C.; Gruenewald, M.; Gutjahr, M.; et al. Association of anaemia, co-morbidities and red blood cell transfusion according to age groups: Multicentre sub-analysis of the German Patient Blood Management Network Registry. BJS Open 2022, 6, zrac128. [Google Scholar] [CrossRef]
- Robalo Nunes, A.; Fonseca, C.; Marques, F.; Belo, A.; Brilhante, D.; Cortez, J. Prevalence of anemia and iron deficiency in older Portuguese adults: An EMPIRE substudy. Geriatr. Gerontol. Int. 2017, 17, 1814–1822. [Google Scholar] [CrossRef]
- Guralnik, J.M.; Eisenstaedt, R.S.; Ferrucci, L.; Klein, H.G.; Woodman, R.C. Prevalence of anemia in persons 65 years and older in the United States: Evidence for a high rate of unexplained anemia. Blood 2004, 104, 2263–2268. [Google Scholar] [CrossRef]
- Diskin, C.J.; Stokes, T.J.; Dansby, L.M.; Radcliff, L.; Carter, T.B. Can acidosis and hyperphosphataemia result in increased erythropoietin dosing in haemodialysis patients? Nephrology 2006, 11, 394–399. [Google Scholar] [CrossRef]
- Kalantar-Zadeh, K.; Lee, G.H.; Miller, J.E.; Streja, E.; Jing, J.; Robertson, J.A.; Kovesdy, C.P. Predictors of hyporesponsiveness to erythropoiesis-stimulating agents in hemodialysis patients. Am. J. Kidney Dis. 2009, 53, 823–834. [Google Scholar] [CrossRef]
- McMurray, J.; Parfrey, P.; Adamson, J.W.; Aljama, P.; Berns, J.S.; Bohlius, J.; Drüeke, T.B.; Finkelstein, F.O.; Fishbane, S.; Ganz, T.; et al. Kidney Disease: Improving Global Outcomes (KDIGO) Anemia Work Group—KDIGO Clinical Practice Guideline for Anemia in Chronic Kidney Disease. Kidney Int. Suppl. 2012, 2, 279–335. [Google Scholar]
- Vaziri, N.D.; Nunes, A.C.; Said, H.; Khazaeli, M.; Liu, H.; Zhao, Y.; Jing, W.; Cogburn, K.; Alikhani, L.; Lau, W.L. Route of intestinal absorption and tissue distribution of iron contained in the novel phosphate binder ferric citrate. Nephrol. Dial. Transplant. 2020, 35, 1136–1144. [Google Scholar] [CrossRef]
- Maruyama, N.; Otsuki, T.; Yoshida, Y.; Nagura, C.; Kitai, M.; Shibahara, N.; Tomita, H.; Maruyama, T.; Abe, M. Ferric Citrate Decreases Fibroblast Growth Factor 23 and Improves Erythropoietin Responsiveness in Hemodialysis Patients. Am. J. Nephrol. 2018, 47, 406–414. [Google Scholar] [CrossRef] [PubMed]
- Shima, H.; Miya, K.; Okada, K.; Minakuchi, J.; Kawashima, S. Sucroferric oxyhydroxide decreases serum phosphorus level and fibroblast growth factor 23 and improves renal anemia in hemodialysis patients. BMC Res. Notes 2018, 11, 363. [Google Scholar] [CrossRef] [PubMed]



| A | Whole Sample (n = 6263) |
| Hemoglobin (g/dL) | 10.4 ± 1.3 |
| Age (years) | 66 ± 16 |
| Sesso (male) | 3904 (62.4%) |
| BMI (kg/m2) | 25.8 ± 5.1 |
| DBP (mmHg) | 72 ± 13 |
| SBP (mmHg) | 137 ± 19 |
| Arterial hypertension (yes/no) | 2366 (37.8%) |
| COPD (yes/no) | 289 (4.6%) |
| Chronic liver disease (yes/no) | 214 (3.4%) |
| Diabetes mellitus (yes/no) | 1079 (17.2%) |
| Hemiplegia (yes/no) | 32 (0.5%) |
| Heart failure (yes/no) | 293 (4.7%) |
| IBD (yes/no) | 54 (0.9%) |
| Malignancies (yes/no) | 285 (4.6%) |
| Metastasis (yes/no) | 57 (0.9%) |
| Vascular disease (yes/no) | 262 (4.2%) |
| Albumin (g/dL) | 3.58 ± 0.56 |
| Cholesterol (mg/dL) | 158 ± 45 |
| CRP (mg/dL) | 2.9 [0.9–6.6] |
| Ferritin (ng/mL) | 148 [16–314] |
| Serum glucose (mg/dL) | 119 ± 48 |
| HCO3 (mmol/L) | 21.8 ± 3.1 |
| KT/V | 1.32 ± 0.33 |
| iPTH (pg/mL) | 228 [112–391] |
| Potassium (mmol/L) | 4.9 ± 0.8 |
| Triglycerides (mg/dL) | 140 ± 79 |
| Transferrin saturation (%) | 23 ± 15 |
| B | Whole Sample (n = 6263) |
| ACEI (yes/no) | 460 (7.3%) |
| Folic acid (yes/no) | 586 (9.4%) |
| Calcium carbonate (yes/no) | 514 (8.2%) |
| Cholecalciferol (yes/no) | 138 (2.2%) |
| Cortisone therapy (yes/no) | 166 (2.7%) |
| Dementia (yes/no) | 80 (1.3%) |
| Diuretic (yes/no) | 1627 (26%) |
| ESA (yes/no) | 2900 (46.3%) |
| Iron supplementation (yes/no) | 0 (0%) |
| Immunosuppression (yes/no) | 15 (0.2%) |
| PPI (yes/no) | 2373 (37.9%) |
| Paricalcitol (yes/no) | 486 (7.8%) |
| Sevelamer (yes/no) | 1469 (23.5%) |
| Vitamin B12 (yes/no) | 176 (2.8%) |
Disclaimer/Publisher’s Note: The statements, opinions and data contained in all publications are solely those of the individual author(s) and contributor(s) and not of MDPI and/or the editor(s). MDPI and/or the editor(s) disclaim responsibility for any injury to people or property resulting from any ideas, methods, instructions or products referred to in the content. |
© 2024 by the authors. Licensee MDPI, Basel, Switzerland. This article is an open access article distributed under the terms and conditions of the Creative Commons Attribution (CC BY) license (https://creativecommons.org/licenses/by/4.0/).
Share and Cite
Calabrese, V.; Tripepi, G.L.; Santoro, D.; Cernaro, V.; Panuccio, V.A.; Mezzatesta, S.; Mattace-Raso, F.; Torino, C.; on behalf of the Sicilian Registry of Nephrology, Dialysis and Transplantation. Impact of Serum Phosphate on Hemoglobin Level: A Longitudinal Analysis on a Large Cohort of Dialysis Patients. J. Clin. Med. 2024, 13, 5657. https://doi.org/10.3390/jcm13195657
Calabrese V, Tripepi GL, Santoro D, Cernaro V, Panuccio VA, Mezzatesta S, Mattace-Raso F, Torino C, on behalf of the Sicilian Registry of Nephrology, Dialysis and Transplantation. Impact of Serum Phosphate on Hemoglobin Level: A Longitudinal Analysis on a Large Cohort of Dialysis Patients. Journal of Clinical Medicine. 2024; 13(19):5657. https://doi.org/10.3390/jcm13195657
Chicago/Turabian StyleCalabrese, Vincenzo, Giovanni Luigi Tripepi, Domenico Santoro, Valeria Cernaro, Vincenzo Antonio Panuccio, Sabrina Mezzatesta, Francesco Mattace-Raso, Claudia Torino, and on behalf of the Sicilian Registry of Nephrology, Dialysis and Transplantation. 2024. "Impact of Serum Phosphate on Hemoglobin Level: A Longitudinal Analysis on a Large Cohort of Dialysis Patients" Journal of Clinical Medicine 13, no. 19: 5657. https://doi.org/10.3390/jcm13195657
APA StyleCalabrese, V., Tripepi, G. L., Santoro, D., Cernaro, V., Panuccio, V. A., Mezzatesta, S., Mattace-Raso, F., Torino, C., & on behalf of the Sicilian Registry of Nephrology, Dialysis and Transplantation. (2024). Impact of Serum Phosphate on Hemoglobin Level: A Longitudinal Analysis on a Large Cohort of Dialysis Patients. Journal of Clinical Medicine, 13(19), 5657. https://doi.org/10.3390/jcm13195657

