Nephrotoxicity Associated with Cytoreductive Surgery Combined with Cisplatin-Based Hyperthermic Intraperitoneal Chemotherapy for Peritoneal Malignant Disease: A Systematic Review and Meta-Analysis
Abstract
1. Introduction
2. Materials and Methods
2.1. Data Collection
2.2. Eligibility Criteria
2.3. Study Selection and Data Extraction
2.4. Outcome Measures
2.5. Statistical Analysis
2.6. Methodological Quality of the Included Studies and Risk of Bias Assessment
3. Results
3.1. Characteristics of Included Studies
3.2. Assessment of Risk of Bias
3.3. Quantitative Synthesis
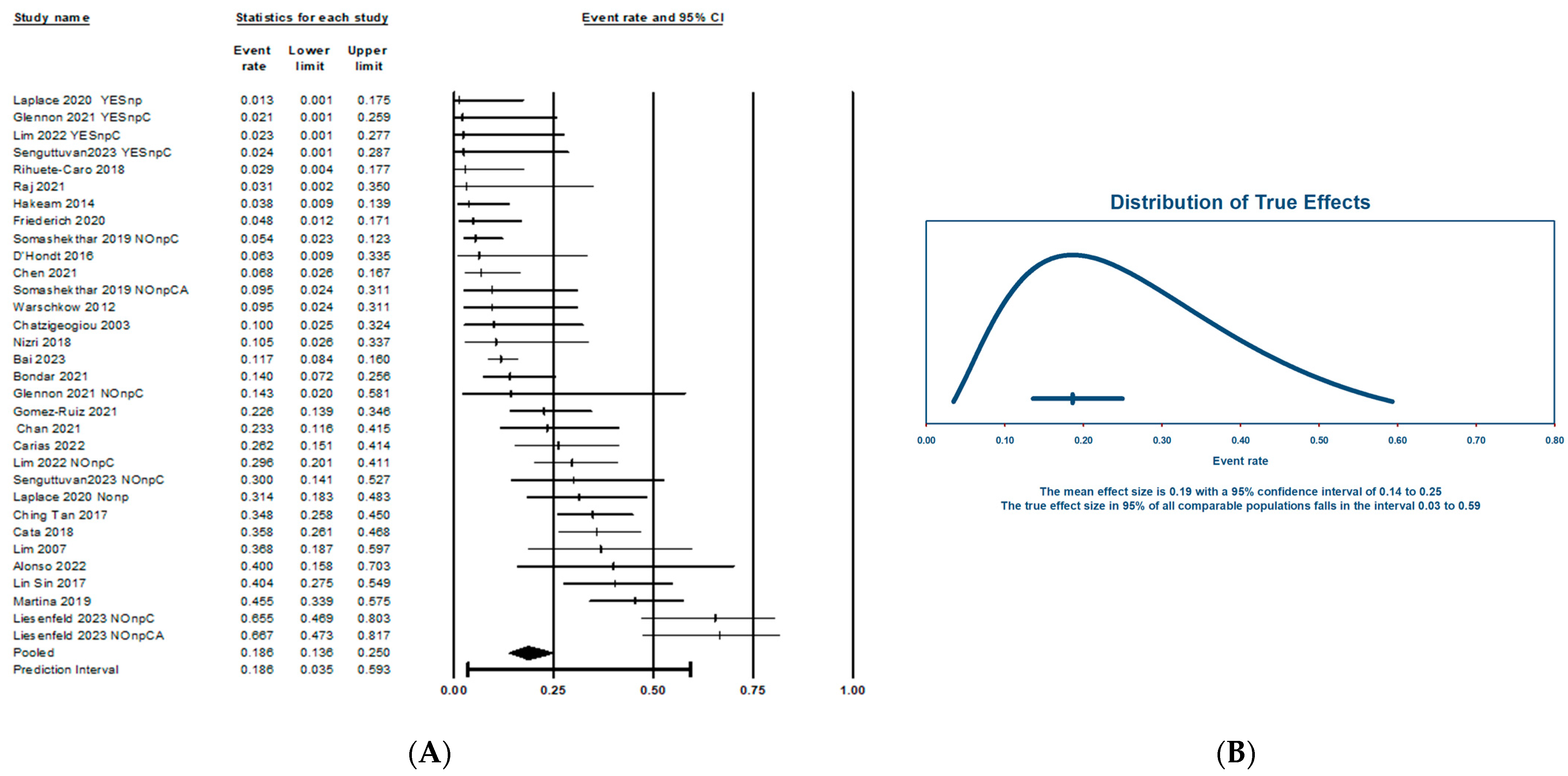
Primary Endpoint: Incidence of Acute and Chronic Renal Impairment
4. Discussion
Strengths and Limitations
5. Conclusions
Supplementary Materials
Author Contributions
Funding
Institutional Review Board Statement
Informed Consent Statement
Data Availability Statement
Conflicts of Interest
References
- World Health Organization. Available online: https://gco.iarc.fr/overtime/en/dataviz/bars?sexes=2&sort_by=value0&mode=cancer&key=crude_rate&years=2016&populations=84000 (accessed on 9 April 2024).
- Delvallée, J.; Rossard, L.; Bendifallah, S.; Touboul, C.; Collinet, P.; Bricou, A.; Huchon, C.; Lavoue, V.; Body, G.; Ouldamer, L. Accuracy of Peritoneal Carcinomatosis Extent Diagnosis by Initial FDG PET CT in Epithelial Ovarian Cancer: A Multicentre Study of the FRANCOGYN Research Group. J. Gynecol. Obstet. Hum. Reprod. 2020, 49, 101867. [Google Scholar] [CrossRef] [PubMed]
- Coccolini, F. Peritoneal Carcinomatosis. World J. Gastroenterol. 2013, 19, 6979. [Google Scholar] [CrossRef]
- Koppe, M.J.; Boerman, O.C.; Oyen, W.J.G.; Bleichrodt, R.P. Peritoneal Carcinomatosis of Colorectal Origin: Incidence and Current Treatment Strategies. Ann. Surg. 2006, 243, 212–222. [Google Scholar] [CrossRef] [PubMed]
- De Bree, E.; Michelakis, D.; Stamatiou, D.; Romanos, J.; Zoras, O. Pharmacological Principles of Intraperitoneal and Bidirectional Chemotherapy. Pleura Peritoneum 2017, 2, 47–62. [Google Scholar] [CrossRef] [PubMed]
- Laplace, N.; Kepenekian, V.; Friggeri, A.; Vassal, O.; Ranchon, F.; Rioufol, C.; Gertych, W.; Villeneuve, L.; Glehen, O.; Bakrin, N. Sodium Thiosulfate Protects from Renal Impairement Following Hyperthermic Intraperitoneal Chemotherapy (HIPEC) with Cisplatin. Int. J. Hyperth. 2020, 37, 897–902. [Google Scholar] [CrossRef] [PubMed]
- Alonso, A.; Liauw, W.; Kennedy, H.; Alzahrani, N.A.; Morris, D.L. Sodium Thiosulfate during Cisplatin-Based Hyperthermic Intraperitoneal Chemotherapy Is Associated with Transient Hypernatraemia without Clinical Sequelae. Pleura Peritoneum 2022, 7, 87–93. [Google Scholar] [CrossRef] [PubMed]
- Van Driel, W.J.; Koole, S.N.; Sikorska, K.; Schagen van Leeuwen, J.H.; Schreuder, H.W.R.; Hermans, R.H.M.; de Hingh, I.H.J.T.; van der Velden, J.; Arts, H.J.; Massuger, L.F.A.G.; et al. Hyperthermic Intraperitoneal Chemotherapy in Ovarian Cancer. N. Engl. J. Med. 2018, 378, 230–240. [Google Scholar] [CrossRef]
- Classe, J.-M.; Meeus, P.; Leblanc, E.; Wernert, R.; Quenet, F.; Marchal, F.; Houvenaeghel, G.; Bats, A.-S.; Ferron, G.; Brigand, C.; et al. Hyperthermic Intraperitoneal Chemotherapy in Platinum-Sensitive Relapsed Epithelial Ovarian Cancer: The CHIPOR Randomized Phase III Trial. J. Clin. Oncol. 2023, 41, 5510. [Google Scholar] [CrossRef]
- Aronson, S.L.; Lopez-Yurda, M.; Koole, S.N.; van Leeuwen, J.H.S.; Schreuder, H.W.R.; Hermans, R.H.M.; de Hingh, I.H.J.T.; van Gent, M.D.J.M.; Arts, H.J.G.; Ham, M.A.P.C.V.; et al. Cytoreductive Surgery with or without Hyperthermic Intraperitoneal Chemotherapy in Patients with Advanced Ovarian Cancer (OVHIPEC-1): Final Survival Analysis of a Randomised, Controlled, Phase 3 Trial. Lancet Oncol. 2023, 24, 1109–1118. [Google Scholar] [CrossRef]
- PROSPERO. International Prospective Register of Systematic Reviews. Available online: https://www.crd.york.ac.uk/prospero/display_record.php?RecordID=251338 (accessed on 29 April 2024).
- Page, M.J.; McKenzie, J.E.; Bossuyt, P.M.; Boutron, I.; Hoffmann, T.C.; Mulrow, C.D.; Shamseer, L.; Tetzlaff, J.M.; Akl, E.A.; Brennan, S.E.; et al. The PRISMA 2020 Statement: An Updated Guideline for Reporting Systematic Reviews. BMJ 2021, 372, n71. [Google Scholar] [CrossRef]
- Johnson-Arbor, K.; Dubey, R. Doxorubicin. In StatPearls; StatPearls Publishing: Treasure Island, FL, USA, 2024. Available online: https://www.ncbi.nlm.nih.gov/books/NBK459232/ (accessed on 17 April 2024).
- Sinawe, H.; Casadesus, D. Mitomycin. In StatPearls; StatPearls Publishing: Treasure Island, FL, USA, 2024. Available online: https://www.ncbi.nlm.nih.gov/books/NBK562249/ (accessed on 17 April 2024).
- Machado, M.N.; Nakazone, M.A.; Maia, L.N. Acute kidney injury based on KDIGO (Kidney Disease Improving Global Outcomes) criteria in patients with elevated baseline serum creatinine undergoing cardiac surgery. Rev. Bras. Cir. Cardiovasc. 2014, 29, 299–307. [Google Scholar] [CrossRef] [PubMed] [PubMed Central]
- Lopes, J.A.; Jorge, S. The RIFLE and AKIN Classifications for Acute Kidney Injury: A Critical and Comprehensive Review. Clin. Kidney J. 2013, 6, 8–14. [Google Scholar] [CrossRef]
- Dindo, D.; Demartines, N.; Clavien, P.-A. Classification of Surgical Complications. Ann. Surg. 2004, 240, 205–213. [Google Scholar] [CrossRef]
- Common Terminology Criteria for Adverse Events (CTCAE); Version 5.0; US Department of Health and Human Services: Washington, DC, USA, 2017. Available online: https://ctep.cancer.gov/protocoldevelopment/electronic_applications/docs/ctcae_v5_quick_reference_5x7.pdf (accessed on 1 March 2024).
- Ouzzani, M.; Hammady, H.; Fedorowicz, Z.; Elmagarmid, A. Rayyan—A web and mobile app for systematic reviews. Syst. Rev. 2016, 5, 210. [Google Scholar] [CrossRef]
- Borenstein, M.; Hedges, L.; Higgins, J.; Rothstein, H. Comprehensive Meta-Analysis; Version 4; Biostat: Englewood, NJ, USA, 2022. [Google Scholar]
- Review Manager (RevMan); Version 5.4.1; The Cochrane Collaboration: London, UK, 2020; Available online: https://revman.cochrane.org/ (accessed on 17 April 2024).
- Higgins, J.P.T.; Thomas, J. (Eds.) Cochrane Handbook for Systematic Reviews, 2nd ed.; Wiley: Hoboken, NJ, USA, 2019. [Google Scholar]
- Barker, T.H.; Stone, J.C.; Sears, K.; Klugar, M.; Tufanaru, C.; Leonardi-Bee, J.; Aromataris, E.; Munn, Z. The revised JBI critical appraisal tool for the assessment of risk of bias for randomized controlled trials. JBI Evid. Synth. 2023, 21, 494–506. [Google Scholar] [CrossRef]
- Tufanaru, C.; Munn, Z.; Aromataris, E.; Campbell, J.; Hopp, L. Chapter 3: Systematic reviews of effectiveness. In JBI Manual for Evidence Synthesis; Aromataris, E., Munn, Z., Eds.; JBI: Miami, FL, USA, 2020. [Google Scholar]
- Munn, Z.; Barker, T.H.; Moola, S.; Tufanaru, C.; Stern, C.; McArthur, A.; Stephenson, M.; Aromataris, E. Methodological Quality of Case Series Studies. JBI Database Syst. Rev. Implement. Rep. 2020, 18, 2127–2133. [Google Scholar] [CrossRef]
- Moola, S.; Munn, Z.; Tufanaru, C.; Aromataris, E.; Sears, K.; Sfetcu, R.; Currie, M.; Qureshi, R.; Mattis, P.; Lisy, K.; et al. Chapter 7: Systematic reviews of etiology and risk. In JBI Manual for Evidence Synthesis; Aromataris, E., Munn, Z., Eds.; JBI: Miami, FL, USA, 2020. [Google Scholar]
- Gouy, S.; Ferron, G.; Glehen, O.; Bayar, A.; Marchal, F.; Pomel, C.; Quenet, F.; Bereder, J.; Le Deley, M.; Morice, P. Results of a Multicenter Phase I Dose-Finding Trial of Hyperthermic Intraperitoneal Cisplatin after Neoadjuvant Chemotherapy and Complete Cytoreductive Surgery and Followed by Maintenance Bevacizumab in Initially Unresectable Ovarian Cancer. Gynecol. Oncol. 2016, 142, 237–242. [Google Scholar] [CrossRef]
- Acs, M.; Gerken, M.; Gajic, I.; Mayr, M.; Zustin, J.; Piso, P. Ten-year single-center experience with treatment of primary diffuse malignant peritoneal mesothelioma (DMPM) by cytoreductive surgery (CRS) and hyperthermic intraperitoneal chemotherapy (HIPEC). Langenbecks Arch. Surg. 2022, 407, 3057–3067. [Google Scholar] [CrossRef]
- Kluger, M.D.; Taub, R.N.; Hesdorffer, M.; Jin, Z.; Chabot, J.A. Two-stage operative cytoreduction and intraperitoneal chemo-therapy for diffuse malignant peritoneal mesothelioma: Operative morbidity and mortality in phase i and II trials. Eur. J. Surg. Oncol. 2010, 36, 997–1003. [Google Scholar] [CrossRef] [PubMed]
- Akilli, H.; Gunakan, E.; Haberal, A.; Altundag, O.; Kuscu, U.E.; Taskiran, C.; Ayhan, A. Complications of cytoreductive surgery plus hyperthermic intraperitoneal chemotherapy: An evaluation of 100 cases. Int. J. Gynaecol. Obstet. Off. Organ. Int. Fed. Gynaecol. Obstet. 2022, 156, 560–565. [Google Scholar] [CrossRef] [PubMed]
- Kowalsky, S.J.; Shuai, Y.; Hall, L.; Derby, J.; Holtzman, M.; Ongchin, M. Acute Kidney Injury Following CRS/HIPEC with High-Dose Cisplatin and Goal-Directed Intravenous Fluid Administration Strategy. Ann. Surg. Oncol. 2023, 30, S99. [Google Scholar]
- Almerey, T.; Gabriel, E.; Bagaria, S. Intraoperative fluid restriction for hyperthermic intraperitoneal chemotherapy (HIPEC) surgery. Ann. Surg. Oncol. 2018, 25, S141. [Google Scholar]
- Kurreck, A.; Gronau, F.; Alberto Vilchez, M.E.; Abels, W.; Enghard, P.; Brandl, A.; Francis, R.; Föhre, B.; Lojewski, C.; Pratschke, J.; et al. Sodium Thiosulfate Reduces Acute Kidney Injury in Patients Undergoing Cytoreductive Surgery Plus Hyperthermic Intraperitoneal Chemotherapy with Cisplatin: A Single-Center Observational Study. Ann. Surg. Oncol. 2022, 29, 152–162. [Google Scholar] [CrossRef]
- La Manna, G.; Virzí, S.; Deraco, M.; Capelli, I.; Accorsi, A.; Dalmastri, V.; Comai, G.; Bonomi, S.; Grassi, A.; Selva, S.; et al. Tubular dysfunction after peritonectomy and chemohyperthermic treatment with cisplatin. In Vivo 2006, 20, 703–706. [Google Scholar]
- Arjona-Sánchez, A.; Cadenas-Febres, A.; Cabrera-Bermon, J.; Muñoz-Casares, F.C.; Casado-Adam, A.; Sánchez-Hidalgo, J.M.; López-Andreu, M.; Briceño-Delgado, J.; Rufián-Peña, S. Assessment of RIFLE and AKIN criteria to define acute renal dysfunction for HIPEC procedures for ovarian and non ovarian peritoneal malignances. Eur. J. Surg. Oncol. 2016, 42, 869–876. [Google Scholar] [CrossRef]
- León-Póo, M.; Bermejo, T.R.; Garate, C.O.; Polo, S.H.; Chico, P.T.; Shabaka, A. Hyperthermic intraperitoneal chemotherapy with cisplatin increases the risk of acute kidney injury compared to conventional intraperitoneal cisplatin. Nephrol. Dial. Transpl. 2023, 38, gfad063c_4934. [Google Scholar] [CrossRef]
- Li, X.B.; Ma, R.; Ji, Z.H.; Lin, Y.L.; Zhang, J.; Yang, Z.R.; Chen, L.-F.; Yan, F.-C.; Li, Y. Perioperative safety after cytoreductive surgery plus hyperthermic intraperitoneal chemotherapy for pseudomyxoma peritonei from appendiceal origin: Experience on 254 patients from a single center. Eur. J. Surg. Oncol. 2020, 46, 600–606. [Google Scholar] [CrossRef]
- Ayyappan, S.; Mahajan, V.; Pai, A.; Padmanabhan, N.; Ahmad, S. A single center experience of cytoreductive surgery and hy-perthermic intraperitoneal chemotherapy procedure in peritoneal malignancy. Indian J. Surg. Oncol. 2020, 11, S16–S17. [Google Scholar]
- Liesenfeld, L.F.; Wagner, B.; Hillebrecht, H.C.; Brune, M.; Eckert, C.; Klose, J.; Schmidt, T.; Büchler, M.W.; Schneider, M. HIPEC-Induced Acute Kidney Injury: A Retrospective Clinical Study and Preclinical Model. Ann. Surg. Oncol. 2022, 29, 139–151. [Google Scholar] [CrossRef]
- Badgwell, B.; Ikoma, N.; Murphy, M.B.; Wang, X.; Estrella, J.; Roy-Chowdhuri, S.; Das, P.; Minsky, B.D.; Lano, E.; Song, S.; et al. A Phase II Trial of Cytoreduction, Gastrectomy, and Hyperthermic Intraperitoneal Perfusion with Chemotherapy for Patients with Gastric Cancer and Carcinomatosis or Positive Cytology. Ann. Surg. Oncol. 2021, 28, 258–264. [Google Scholar] [CrossRef]
- Liesenfeld, L.F.; Brandl, A. Influence of hyperthermic intraperitoneal chemotherapy on renal blood perfusion. Langenbecks Arch. Surg. 2023, 408, 207. [Google Scholar] [CrossRef]
- Bakrin, N.; Bereder, J.M.; Decullier, E.; Classe, J.M.; Msika, S.; Lorimier, G.; Abboud, K.; Meeus, P.; Ferron, G.; Quenet, F.; et al. Peritoneal carcinomatosis treated with cytoreductive surgery and Hyperthermic Intraperitoneal Chemotherapy (HIPEC) for advanced ovarian carcinoma: A French multicentre retrospective cohort study of 566 patients. Eur. J. Surg. Oncol. 2013, 39, 1435–1443. [Google Scholar] [CrossRef]
- Llueca, A.; Ibañez, M.V.; Cascales, P.; Gil-Moreno, A.; Bebia, V.; Ponce, J.; Fernandez, S.; Arjona-Sanchez, A.; Muruzabal, J.C.; Veiga, N.; et al. Neoadjuvant Chemotherapy plus Interval Cytoreductive Surgery with or without Hyperthermic Intraperitoneal Chemotherapy (NIHIPEC) in the Treatment of Advanced Ovarian Cancer: A Multicentric Propensity Score Study. Cancers 2023, 15, 4271. [Google Scholar] [CrossRef] [PubMed]
- Belgrano, V.; Santori, G.; Di Domenico, S.; De Cian, F. Hipec in the management of metachronous peritoneal carcinomatosis: A single-center retrospective analysis. Eur. J. Surg. Oncol. 2016, 42, S215. [Google Scholar] [CrossRef]
- Lomnytska, M.; Silins, I.; Graf, W. Hyperthermic intraperithoneal chemotherapy (HIPEC) for ovarian cancer treatment: The feasibility study. Int. J. Gynecol. Cancer 2019, 29, A488–A489. [Google Scholar]
- Benhaim, L.; Faron, M.; Gelli, M.; Sourrouille, I.; Honoré, C.; Delhorme, J.B.; Goere, D. Survival after complete cytoreductive surgery and HIPEC for extensive pseudomyxoma peritonei. Surg. Oncol. 2019, 29, 78–83. [Google Scholar] [CrossRef]
- Loungnarath, R.; Causeret, S.; Bossard, N.; Faheez, M.; Sayag-Beaujard, A.C.; Brigand, C.; Gilly, F.; Glehen, O. Cytoreductive surgery with intraperitoneal chemohyperthermia for the treatment of pseudomyxoma peritonei: A prospective study. Colon Rectum. 2005, 48, 1372–1379. [Google Scholar] [CrossRef]
- Bhatt, A.; Kammar, P.; Mehta, S.; Damodaran, D.; Zaveri, S.; Patel, M.D.; Sinukumar, S.; Ray, M.; Seshadri, R. Chasing Rainbows? the Possibility of “Cure” in Patients with Colorectal Peritoneal Metastases Undergoing Cytoreductive Surgery and HIPEC—A Retrospective Study by INDEPSO. Indian J. Surg. Oncol. 2019, 10, 49–56. [Google Scholar] [CrossRef]
- Lu, P.; Fields, A.C.; Shabat, G.; Lee, K.; Irani, J.; Goldberg, J. Enhanced recovery after surgery: Improving outcomes after cytoreductive surgery and hyperthermic intraperitoneal chemotherapy: A feasibility study. Ann. Surg. Oncol. 2019, 26, S122. [Google Scholar]
- Bouhadjari, N.; Gabato, W.; Calabrese, D.; Msika, S.; Keita, H. Hyperthermic intraperitoneal chemotherapy with cisplatin: Amifostine prevents acute severe renal impairment. Eur. J. Surg. Oncol. 2016, 42, 219–223. [Google Scholar] [CrossRef]
- Macrì, A.; Arcoraci, V.; Belgrano, V.; Caldana, M.; Cioppa, T.; Costantini, B.; Cucinotta, E.; De Cian, F.; De Iaco, P.; De Manzoni, G.; et al. Short-term outcome of cytoreductive surgery and hyperthermic intraperitoneal chemotherapy: Preliminary analysis of a multicentre study. Anticancer Res. 2014, 34, 5689–5693. [Google Scholar] [PubMed]
- Cabiling, C.C. Predictive factors of post-operative acute kidney injury after cytoreductive surgery with hyperthermic intra-peritoneal chemotherapy in patients with peritoneal carcinomatosis: A retrospective cohort study. Ann. Oncol. 2022, 33, S1605. [Google Scholar] [CrossRef]
- Macrì, A.; Accarpio, F.; Arcoraci, V.; Casella, F.; De Cian, F.; De Iaco, P.; Orsenigo, E.; Roviello, F.; Scambia, G.; Saladino, E.; et al. Predictors of morbidity and mortality in patients submitted to cytoreductive surgery plus hyperthermic intraperitoneal chemotherapy for ovarian carcinomatosis: A multicenter study. Pleura Perit. 2021, 6, 21–30. [Google Scholar] [CrossRef] [PubMed]
- Chambers, L.M.; Yao, M.; Morton, M.; Chichura, A.; Costales, A.B.; Horowitz, M.; Gruner, M.F.; Rose, P.G.; Michener, C.M.; DeBernardo, R. Perioperative outcomes of cytoreductive surgery with hyperthermic intraperitoneal chemotherapy in elderly women with epithelial ovarian cancer: Analysis of a prospective registry. Int. J. Gynecol. Cancer 2021, 31, 1021–1030. [Google Scholar] [CrossRef] [PubMed]
- Mehta, S.; Schwarz, L.; Spiliotis, J.; Hsieh, M.C.; Akaishi, E.H.; Goere, D.; Sugarbaker, P.H.; Baratti, D.; Quenet, F.; Bartlett, D.L.; et al. Is there an oncological interest in the combination of CRS/HIPEC for peritoneal carcinomatosis of HCC? Results of a mul-ticenter international study. Eur. J. Surg. Oncol. 2018, 44, 1786–1792. [Google Scholar] [CrossRef] [PubMed]
- Chen, C.Y.; Chang, H.Y.; Lu, C.H.; Chen, M.C.; Huang, T.H.; Lee, L.W.; Liao, Y.-S.; Chen, V.C.-H.; Huang, W.-S.; Ou, Y.-C.; et al. Risk factors of acute renal impairment after cytoreductive surgery and hyperthermic intraperitoneal chemotherapy. Int. J. Hyperth. Off. J. Eur. Soc. Hyperthermic Oncol. N. Am. Hyperth. Group 2020, 37, 1279–1286. [Google Scholar] [CrossRef] [PubMed]
- Miklos, A.C.S.; Halmy, L.; Isgandarova, S.; Blaj, S.; Gerken, M.; Hormann, B.; Piso, P. Hyperthermic Intraperitoneal Chemo-therapy With Cisplatin and Doxorubicin for 90 Minutes Versus 60 Minutes After Cytoreductive Surgery (CRS). Does the 30-Minute Difference Matter? A Comparative Study in a High Volume Centre. Anticancer Res. 2022, 42, 1019–1029. [Google Scholar]
- Chen, K.L.; Shamavonian, R.; Karpes, J.B.; Alzahrani, N.A.; Morris, D.L. Acute kidney injury following hyperthermic intraper-itoneal chemotherapy with cisplatin. Iran. J. Basic Med. Sci. 2021, 41, 1641–1646. [Google Scholar]
- Mitani, Y.; Arai, Y.; Tomohiro Mitani Gohda, Y.; Yano, H.; Kondo, I.; Sakamoto, E.; Katagiri, D.; Hinoshita, F. Association of intraoperative gross hematuria with acute kidney injury after cytoreductive surgery. Pleura Peritoneum 2022, 7, 19–26. [Google Scholar] [CrossRef]
- ChiCTR2000038173. Neoadjuvant Hyperthermic Intraperitoneal Chemotherapy in Advanced Serous Ovairan Cancer: A Ran-domized Phase II Trial. 2020. Available online: https://www.cochranelibrary.com/central/doi/10.1002/central/CN-02239327/full (accessed on 20 May 2023).
- Naffouje, S.A.; Tulla, K.A.; Chorley, R.; Armstrong, N.; Salti, G.I. Acute kidney injury increases the rate of major morbidities in cytoreductive surgery and HIPEC. Ann. Med. Surg. 2018, 35, 163–168. [Google Scholar] [CrossRef]
- Cioppa, T.; Vaira, M.; Bing, C.; D’Amico, S.; Bruscino, A.; De Simone, M. Cytoreduction and hyperthermic intraperitoneal chemotherapy in the treatment of peritoneal carcinomatosis from pseudomixoma peritonei. World J. Gastroenterol. 2008, 14, 6817–6823. [Google Scholar] [CrossRef]
- Namendys-Silva, S.; Correa-García, P.; López-Basave, H.; García-Guillén, F.; Texcocano-Becerra, J.; Herrera-Gómez, A. Organ Dysfunction in Critically Ill Cancer Patients Undergoing Cytoreductive Surgery with Hyperthermic Intraperitoneal Chemo-therapy. Chest 2013, 144. [Google Scholar] [CrossRef]
- Coccolini, F.; Campanati, L.; Catena, F.; Ceni, V.; Ceresoli, M.; Cruz, J.J.; Lotti, M.; Magnone, S.; Napoli, J.; Rossetti, D.; et al. Hyperthermic intraperitoneal chemotherapy with cisplatin and paclitaxel in advanced ovarian cancer: A multicenter prospective observational study. J. Gynecol. Oncol. 2015, 26, 54–61. [Google Scholar] [CrossRef] [PubMed]
- Piso, P.; Nedelcut, S.D.; Rau, B.; Königsrainer, A.; Glockzin, G.; Ströhlein, M.A.; Hörbelt, R.; Pelz, J. Morbidity and Mortality Following Cytoreductive Surgery and Hyperthermic Intraperitoneal Chemotherapy: Data from the DGAV StuDoQ Registry with 2149 Consecutive Patients. Ann. Surg. Oncol. 2019, 26, 148–154. [Google Scholar] [CrossRef]
- Dagel, T.; Misirlioglu, S.; Tanju, S.; Afsar, B.; Selcukbiricik, F.; Erus, S.; Vatansever, D.; Balik, E.; Taskiran, C.; Dilege, S.; et al. Hyperthermic intraperitoneal chemotherapy is an independent risk factor for development of acute kidney injury. J. BUON 2018, 23, 1528–1533. [Google Scholar] [PubMed]
- Praiss, A.; Moukarzel, L.; Dessources, K.; Sonoda, Y.; Roche, K.L.; Gardner, G.; William, T.; Rachel, G.; Dennis, C.; O’Cearbhaill, R.; et al. Creating a Multidisciplinary Protocol for the Administration of Hyperthermic Intraperitoneal Chemotherapy with Cis-platin: A Single-Institution Experience. Int. J. Gynecol. Cancer 2022, 32, A211. [Google Scholar]
- Dellinger, T.; Han, E.; Lin, W.C.; Kebria, M.; Hakim, A.; de leon, M.; Razavi, M.; Cristea, M.; Stewart, D.; Wang, E.; et al. Safety and tolerability of Hyperthermic Intraperitoneal Chemotherapy (HIPEC) in ovarian cancer: Clinical results from a phase I trial. Gynecol. Oncol. 2021, 162, S269. [Google Scholar] [CrossRef]
- Račkauskas, R.; Baušys, A.; Jurgaitis, J.; Paškonis, M.; Strupas, K. Initial Experience of Cytoreductive Surgery (CRS) and Hy-perthermic Intraperitoneal Chemotherapy (HIPEC) in Baltic Country Center. J. Clin. Med. 2022, 11, 5554. [Google Scholar] [CrossRef]
- Deo, S.; Ray, M.; Bansal, B.; Bhoriwal, S.; Bhatnagar, S.; Garg, R.; Gupta, N.; Sharma, A.; Kumar, L.; Thulkar, S.; et al. Feasibility and outcomes of cytoreductive surgery and HIPEC for peritoneal surface malignancies in low- and middle-income countries: A single-center experience of 232 cases. World J. Surg. Oncol. 2021, 19, 164. [Google Scholar] [CrossRef] [PubMed]
- Raft, J.; Parisot, M.; Marchal, F.; Tala, S.; Desandes, E.; Lalot, J.M.; Guillemin, F.; Longrois, D.; Meistelman, C. Impact of the hyperthermic intraperitoneal chemotherapy on the fluid-electrolytes changes and on the acid-base balance. Retentissements Hydroélectrolytiques Acidobasiques Chim. Intrapéritonéale 2010, 29, 676–681. [Google Scholar]
- Deraco, M.; Casali, P.; Inglese, M.G.; Baratti, D.; Pennacchioli, E.; Bertulli, R.; Kusamura, S. Peritoneal mesothelioma treated by induction chemotherapy, cytoreductive surgery, and intraperitoneal hyperthermic perfusion. J. Surg. Oncol. 2003, 83, 147–153. [Google Scholar] [CrossRef]
- Randle, R.W.; Ahmed, S.; Levine, E.A.; Fino, N.F.; Swett, K.R.; Stewart, J.H.; Shen, P.; Votanopoulos, K.I. Significance of diabetes on morbidity and mortality following cytoreductive surgery with hyperthermic intraperitoneal chemotherapy. J. Surg. Oncol. 2015, 111, 740–745. [Google Scholar] [CrossRef]
- Deraco, M.; Virzì, S.; Iusco, D.R.; Puccio, F.; MacRì, A.; Famulari, C.; Solazzo, M.; Bonomi, S.; Grassi, A.; Baratti, D.; et al. Secondary cytoreductive surgery and hyperthermic intraperitoneal chemotherapy for recurrent epithelial ovarian cancer: A mul-ti-institutional study. BJOG Int. J. Obstet. Gynaecol. 2012, 119, 800–809. [Google Scholar] [CrossRef]
- Roife, D.; Powers, B.D.; Zaidi, M.Y.; Staley, C.A.; Cloyd, J.M.; Ahmed, A.; Grotz, T.; Leiting, J.; Fournier, K.; Lee, A.J.; et al. CRS/HIPEC with Major Organ Resection in Peritoneal Mesothelioma Does not Impact Major Complications or Overall Survival: A Retrospective Cohort Study of the US HIPEC Collaborative. Ann. Surg. Oncol. 2020, 27, 4996–5004. [Google Scholar] [CrossRef] [PubMed]
- Di Maio, F.; Fagotti, A.; Ronsini, C.; Panocchia, N.; Grandaliano, G.; Scambia, G.; Ferraro, P.M. The short and long-term effects of hyperthermic intraperitoneal chemotherapy on renal function in platinum-sensitive recurrent ovarian cancer. Nephrol. Dial. Transpl. 2020, 35, iii882. [Google Scholar] [CrossRef]
- Roviello, F.; Caruso, S.; Marrelli, D.; Neri, A.; Alfonso, D.S.; Pinto, E. Long-term survival in patients with peritoneal carcino-matosis treated with cytoreductive surgery and hyperthermi c intraperitoneal chemotherapy (HIPEC): Ten-year experience from a single institution. Eur. J. Surg. Oncol. 2010, 36, 1027. [Google Scholar] [CrossRef]
- Di Stefano, S.; Videla, C.; Carboni Bisso, I.; Las Heras, M.; Dianti, J.M.; Viaña, B.; Roman, E.S. Outcomes and complications fol-lowing cytoreductive surgery and hypertermic intraperitoneal chemotherapy: Three year experience. Intensive Care Med. Exp. 2019, 7. [Google Scholar]
- Rubio-López, J.D.; Durán-Martínez, M.; Moreno-Blázquez, A.; Rodríguez-Ortiz, L.; Rufián-Andújar, B.; Valenzuela-Molina, F.; Adam, C.; Sánchez-Hidalgo, J.M.; Rufián-Peña, S.; Romero-Ruiz, A.; et al. Intraoperative metabolic changes associated with cytoreductive surgery and hyperthermic intraperitoneal chemotherapy. Langenbecks Arch. Surg. 2024, 408, 34. [Google Scholar] [CrossRef]
- El-Sharkawy, F.; Sittig, M.; Nieroda, C.; Sardi, A. Cytoreductive surgery and hyperthermic intraperitoneal chemotherapy in the management of recurrent mucinous cystadenoma of the ovary. Eur. J. Gynaecol. Oncol. 2019, 40, 543–546. [Google Scholar]
- Samel, S.; Singal, A.; Becker, H.; Post, S. Problems with intraoperative hyperthermic peritoneal chemotherapy for advanced gastric cancer. Eur. J. Surg. Oncol. 2000, 26, 222–226. [Google Scholar] [CrossRef]
- Fagotti, A.; Ronsini, C.; Cianci, S.; Costantini, B.; Bernardini, F.; Corrado, G.; Vizzielli, G.; Scambia, G. Hipec at interval debulking surgery in advanced stage ovarian cancer patients: Impact of the ovhipec-1 trial in real life experience of a tertiary referral centre. Int. J. Gynecol. Cancer 2019, 29, A460. [Google Scholar]
- Santiago, N.L.; Han, E.S.; Raoof, M.; Wu, X.; Cho, H.; Lee, S.; Lin, W.-C.; Lin, J.F.-H.; Stewart, D.B.; Ruel, N.H.; et al. Cisplatin-induced nephrotoxicity in hyperthermic intraperitoneal chemotherapy (HIPEC) is mitigated by sodium thiosulfate: Clinical and toxicotranscriptomic results of a prospective trial. J. Clin. Oncol. 2022, 40, 16. [Google Scholar] [CrossRef]
- Feng, F.; Gao, Q.; Wu, Y.; Liu, C.; Yu, Y.; Li, B.; Chu, K.; Yi, B.; Cheng, Q.; Jiang, X. Cytoreductive surgery combined with hy-perthermic intraperitoneal chemotherapy vs. cytoreductive surgery alone for intrahepatic cholangiocarcinoma with peritoneal metastases: A retrospective cohort study. Eur. J. Surg. Oncol. 2021, 47, 2363–2368. [Google Scholar] [CrossRef]
- Somashekhar, S.P.; Prasanna, G.; Jaka, R.; Rauthan, A.; Murthy, H.S.; Karanth, S. Hyperthermic intraperitoneal chemotherapy for peritoneal surface malignancies: A single institution indian experience. Natl. Med. J. India 2016, 29, 262–266. [Google Scholar]
- Frankinet, L.; Bhatt, A.; Alcazer, V.; Classe, J.M.; Bereder, J.M.; Meeus, P.; Pomel, C.; Mithieux, F.; Abboud, K.; Wermert, R.; et al. Role of Hyperthermic Intraperitoneal Chemotherapy Combined with Cytoreductive Surgery as Consolidation Therapy for Advanced Epithelial Ovarian Cancer. Ann. Surg. Oncol. 2023, 30, 3287–3299. [Google Scholar] [CrossRef] [PubMed]
- Spiegelberg, J.; Neeff, H.; Holzner, P.; Runkel, M.; Fichtner-Feigl, S.; Glatz, T. Comparison of hyperthermic intraperitoneal chemotherapy regimens for treatment of peritoneal-metastasized colorectal cancer. World J. Gastrointest Oncol. 2020, 12, 903–917. [Google Scholar] [CrossRef] [PubMed]
- Giri, S.; Shah, S.H.; Batra Modi, K.; Rajappa, S.K.; Shukla, H.; Shrestha, E.; Jain, V.; Sekhon, R.; Rawal, S. Factors affecting peri-operative outcomes after CRS and HIPEC for advanced and recurrent ovarian cancer: A prospective single institutional study. J. Gynecol. Surg. 2017, 33, 4–11. [Google Scholar] [CrossRef]
- Stiles, Z.E.; Murphy, A.J.; Anghelescu, D.L.; Brown, C.L.; Davidoff, A.M.; Dickson, P.V.; Glazer, E.S.; Bishop, M.W.; Furman, W.L.; Pappo, A.S.; et al. Desmoplastic Small Round Cell Tumor: Long-Term Complications After Cytoreduction and Hyperthermic Intraperitoneal Chemotherapy. Ann. Surg. Oncol. 2020, 27, 171–178. [Google Scholar] [CrossRef]
- Guerra-Londono, C.E.; Owusu-Agyemang, P.; Corrales, G.; Rofaeil, M.M.; Feng, L.; Fournier, K.; Cata, J.P. Risk of Intraoperative Hyperthermia and Outcomes in Adults Undergoing Cytoreductive Surgery (CRS) with Hyperthermic Intraperitoneal Chem-otherapy (HIPEC). Ann. Surg. Oncol. 2022, 29, 2089–2099. [Google Scholar] [CrossRef] [PubMed]
- Sun, J.H.; Ji, Z.H.; Yu, Y.; Wu, H.T.; Huang, C.Q.; Zhang, Q.; Yang, X.-J.; Yonemura, Y.; Li, Y. Cytoreductive surgery plus hy-perthermic intraperitoneal chemotherapy to treat advanced/recurrent epithelial ovarian cancer: Results from a retrospective study on prospectively established database. Transl. Oncol. 2016, 9, 130–138. [Google Scholar] [CrossRef]
- Gupta, R.; Bhatnagar, S.; Gupta, N.; Garg, R.; Bharati, S.J.; Kumar, V.; Morris, D.L. The effect of perioperative fluid administration on outcomes of patients undergoing cytoreductive surgery with HIPEC: A retrospective study. Anesth. Analg. 2021, 133, 704–705. [Google Scholar]
- Tan, G.; Chia, C.; Kumar, M.; Choo, S.P.; Chia, J.; Tham, C.K.; Chua, C.; Soo, K.C.; Teo, M. 201 consecutive cytoreductive surgery (CRS) and hyperthermic intraperitoneal chemotherapy (HIPEC) procedures in a single Asian tertiary centre. Int. J. Hyperth. 2017, 33, 288–294. [Google Scholar] [CrossRef]
- Gupta, R.; Gupta, N.; Sirohiya, P.; Pandit, A.; Ratre, B.K.; Vig, S.; Bhan, S.; Singh, R.; Kumar, B.; Bhopale, S.; et al. Perioperative anaesthetic management in cytoreductive surgery (CRS) with hyperthermic intraperitoneal chemotherapy (HIPEC): A retro-spective analysis in a single tertiary care cancer centre. Pleura Perit. 2022, 7, 127–134. [Google Scholar] [CrossRef]
- Tan, J.W.S.; Tan, G.H.C.; Ng, W.Y.; Ong, C.A.J.; Chia, C.S.; Soo, K.C.; Teo, M.C.C. High-grade complication is associated with poor overall survival after cytoreductive surgery and hyperthermic intraperitoneal chemotherapy. Int. J. Clin. Oncol. 2020, 25, 984–994. [Google Scholar] [CrossRef] [PubMed]
- Harkawat, D.K. Study of anaesthetic implications in hyperthermic intraperitoneal chemotherapy: Observational study. Pravara Med. Rev. 2022, 14, 81–83. [Google Scholar]
- Tentes, A.A.K.; Palaskas, T.B.; Stamou, K.; Stoforos, C.E.; Pallas, N.; Karamveri, C.; Hristakis, C.; Kyriakopoulos, V. Cytore-ductive surgery combined with HIPEC in newly diagnosed and recurrent ovarian cancer. Eur. J. Gynaecol. Oncol. 2019, 40, 48–54. [Google Scholar]
- Hendrix, R.J.; Damle, A.; Williams, C.; Harris, A.; Spanakis, S.; Lambert, D.H.; Lambert, L.A. Restrictive Intraoperative Fluid Therapy is Associated with Decreased Morbidity and Length of Stay Following Hyperthermic Intraperitoneal Chemoperfusion. Ann. Surg. Oncol. 2019, 26, 490–496. [Google Scholar] [CrossRef] [PubMed]
- Vachez, E.; Bakrin, N.; Glehen, O. there is No Benefit for Preoperative Hyperhydratation before Cytoreductive Surgery and Hipec with Cisplatin when Combined with Sodium Thiosulfate. Int. J. Gynecol. Cancer 2022, 32, A287. [Google Scholar]
- Vogin, G.; Hettal, L.; Vignaud, J.M.; Dartigues, P.; Goere, D.; Ferron, G.; Heyd, B.; Bereder, J.-M.; Lherm, Y.; Villeneuve, L.; et al. Well-Differentiated Papillary Mesothelioma of the Peritoneum: A Retrospective Study from the RENAPE Observational Reg-istry. Ann. Surg. Oncol. 2019, 26, 852–860. [Google Scholar] [CrossRef]
- Hsieh, M.C.; Lu, C.Y.; Chang, W.W.; Wu, S.Y.; Hsiao, P.K.; Liu, T.J. Experiences with cytoreduction surgery plus hyperthermic intraperitoneal chemotherapy in Taiwan. Medicine 2017, 96, e7306. [Google Scholar] [CrossRef]
- Wallet, F.; Maucort Boulch, D.; Malfroy, S.; Ledochowski, S.; Bernet, C.; Kepenekian, V.; Passot, G.; Vassal, O.; Piriou, V.; Glehen, O.; et al. No impact on long-term survival of prolonged ICU stay and re-admission for patients undergoing cytoreductive surgery with HIPEC. Eur. J. Surg. Oncol. 2016, 42, 855–860. [Google Scholar] [CrossRef] [PubMed]
- Huang, S.W. Albumin replacement protects renal function in patient undergoing cytoreductive surgery and cisplatin-based hyperthermic intraperitoneal chemotherapy. Pleura Perit. 2023, 8, A38. [Google Scholar]
- Winicki, N.M.; Radomski, S.N.; Florissi, I.S.; Cloyd, J.M.; Gutta, G.; Grotz, T.E.; Scally, C.P.; Fournier, K.F.; Dineen, S.P.; Powers, B.D.; et al. Neighborhood-Level Socioeconomic Disadvantage Predicts Outcomes in Cytoreductive Surgery and Hyperthermic Intraperitoneal Chemotherapy for Peritoneal Malignancy. Ann. Surg. Oncol. 2023, 30, 7840–7847. [Google Scholar] [CrossRef]
- Jafari, M.D.; Halabi, W.J.; Stamos, M.J.; Nguyen, V.Q.; Carmichael, J.C.; Mills, S.D.; Pigazzi, A. Surgical outcomes of hyperthermic intraperitoneal chemotherapy: Analysis of the American College of Surgeons National Surgical Quality Improvement Program. JAMA Surg. 2014, 149, 170–175. [Google Scholar] [CrossRef]
- Wu, Y.; Zheng, X.; Sun, C.; Wang, S.; Ding, S.; Wu, M.; Zhang, J.; Wang, B.; Xue, L.; Yang, L.; et al. Hyperthermic intraperitoneal chemotherapy for patients with gastric cancer based on laboratory tests is safe: A single Chinese center analysis. BMC Surg. 2022, 22, 342. [Google Scholar] [CrossRef] [PubMed]
- Ji, Z.H.; Yu, Y.; Liu, G.; Zhang, Y.B.; An, S.L.; Li, B.; Li, X.-B.; Yan, G.-J.; Li, Y. Peritoneal cancer index (PCI) based patient selecting strategy for complete cytoreductive surgery plus hyperthermic intraperitoneal chemotherapy in gastric cancer with peritoneal metastasis: A single-center retrospective analysis of 125 patients. Eur. J. Surg. Oncol. 2021, 47, 1411–1419. [Google Scholar] [CrossRef]
- Ye, J.; Ren, Y.; Wei, Z.; Peng, J.; Chen, C.; Song, W.; Tan, M.; He, Y.; Yuan, Y. Nephrotoxicity and long-term survival investigations for patients with peritoneal carcinomatosis using hyperthermic intraperitoneal chemotherapy with cisplatin: A retrospective cohort study. Surg. Oncol. 2018, 27, 456–461. [Google Scholar] [CrossRef] [PubMed]
- Kajdi, M.E.; Beck-Schimmer, B.; Held, U.; Kofmehl, R.; Lehmann, K.; Ganter, M.T. Anaesthesia in patients undergoing cytore-ductive surgery with hyperthermic intraperitoneal chemotherapy: Retrospective analysis of a single centre three-year expe-rience. World J. Surg. Oncol. 2014, 12, 136. [Google Scholar] [CrossRef]
- Zaballos, M.; Power, M.; Canal-Alonso, M.I.; González-Nicolás, M.Á.; Vasquez-Jimenez, W.; Lozano-Lominchar, P.; Cabrerizo-Torrente, P.; Palencia-García, N.; Gago-Quiroga, S.; Ginel-Feito, M.D.; et al. Effect of Cilastatin on Cisplatin-Induced Nephrotoxicity in Patients Undergoing Hyperthermic Intraperitoneal Chemotherapy. Int. J. Mol. Sci. 2021, 22, 1239. [Google Scholar] [CrossRef]
- Kepenekian, V.; Péron, J.; Goéré, D.; Sgarbura, O.; Delhorme, J.B.; Eveno, C.; Benzerdjeb, N.; Bonnefoy, I.; Villeneuve, L.; Rousset, P.; et al. Multicystic peritoneal mesothelioma treated with cytoreductive surgery followed or not by hyperthermic intraperi-toneal chemotherapy: Results from a large multicentric cohort. Int. J. Hyperth. 2021, 38, 805–814. [Google Scholar] [CrossRef]
- Zhang, J.; Li, X.B.; Ji, Z.H.; Ma, R.; Bai, W.P.; Li, Y. Cytoreductive Surgery plus Hyperthermic Intraperitoneal Chemotherapy Improves Survival with Acceptable Safety for Advanced Ovarian Cancer: A Clinical Study of 100 Patients. BioMed Res. Int. 2021, 2021. [Google Scholar]
- Khatun, R.; Shen, C.; Pameijer, C.; Peng, J.S. Predictors of Renal Complication after Cytoreductive Surgery and Hyperthermic Intraperitoneal Chemotherapy: Analysis of the NSQIP Database. J. Am. Coll. Surg. 2021, 233, e184. [Google Scholar] [CrossRef]
- Zhou, S.; Feng, Q.; Zhang, J.; Zhou, H.; Jiang, Z.; Liu, Z.; Zheng, Z.; Chen, H.; Wang, Z.; Liang, J.; et al. High-grade postoperative complications affect survival outcomes of patients with colorectal Cancer peritoneal metastases treated with Cytoreductive surgery and Hyperthermic Intraperitoneal chemotherapy. BMC Cancer 2021, 21, 41. [Google Scholar] [CrossRef] [PubMed]
- Kianmanesh, R.; Scaringi, S.; Sabate, J.M.; Castel, B.; Pons-Kerjean, N.; Coffin, B.; Hay, J.-M.; Flamant, Y.; Msika, S. Iterative cytoreductive surgery associated with hyperthermic intraperitoneal chemotherapy for treatment of peritoneal carcinomatosis of colorectal origin with or without liver metastases. Ann. Surg. 2007, 245, 597–603. [Google Scholar] [CrossRef] [PubMed]
- Zivanovic, O.; Abramian, A.; Kullmann, M.; Fuhrmann, C.; Coch, C.; Hoeller, T.; Ruehs, H.; Keyver-Paik, M.D.; Rudlowski, C.; Weber, S.; et al. HIPEC ROC I: A phase i study of cisplatin administered as hyperthermic intraoperative intraperitoneal chemoperfusion followed by postoperative intravenous platinum-based chemotherapy in patients with platinum-sensitive recurrent epithelial ovarian cancer. Int. J. Cancer 2015, 136, 699–708. [Google Scholar] [CrossRef] [PubMed]
- Liesenfeld, L.F.; Quiring, E.; Al-Saeedi, M.; Nusshag, C.; Büchler, M.W.; Schneider, M. Extensive Peritonectomy Is an Independent Risk Factor for Cisplatin HIPEC-Induced Acute Kidney Injury. Ann. Surg. Oncol. 2022, 30, 2646–2656. [Google Scholar] [CrossRef] [PubMed]
- Somashekhar, S.; Yethadka, R.; Kumar, R.; Ashwin, K.; Zaveri, S.; Rauthan, A. Toxicity Profile of Chemotherapy Agents Used in Cytoreductive Surgery and Hyperthermic Intraperitoneal Chemotherapy for Peritoneal Surface Malignancies. Eur. J. Surg. Oncol. 2020, 46, 577–581. [Google Scholar] [CrossRef] [PubMed]
- Lim, M.C.; Chang, S.-J.; Park, B.; Yoo, H.J.; Yoo, C.W.; Nam, B.H.; Park, S.-Y.; HIPEC for Ovarian Cancer Collaborators. Survival after Hyperthermic Intraperitoneal Chemotherapy and Primary or Interval Cytoreductive Surgery in Ovarian Cancer: A Randomized Clinical Trial. JAMA Surg. 2022, 157, 374–383. [Google Scholar] [CrossRef] [PubMed]
- Senguttuvan, R.N.; Santiago, N.L.; Han, E.S.; Lee, B.; Lee, S.; Lin, W.-C.; Kebria, M.; Hakim, A.; Lin, J.F.; Wakabayashi, M.T.; et al. Impact of Sodium Thiosulfate on Prevention of Nephrotoxicities in HIPEC: An Ancillary Evaluation of Cisplatin-Induced Toxicities in Ovarian Cancer. Ann. Surg. Oncol. 2023, 30, 8144–8155. [Google Scholar] [CrossRef]
- Glennon, K.; Mulligan, K.; Carpenter, K.; Mooney, R.; Mulsow, J.; McCormack, O.; Boyd, W.; Walsh, T.; McVey, R.; Thompson, C.; et al. The Addition of Sodium Thiosulphate to Hyperthermic Intraperitoneal Chemotherapy with Cisplatin in Ovarian Cancer. Gynecol. Oncol. Rep. 2021, 37, 100796. [Google Scholar] [CrossRef]
- Angeles, M.A.; Quenet, F.; Vieille, P.; Gladieff, L.; Ruiz, J.; Picard, M.; Migliorelli, F.; Chaltiel, L.; Martínez-Gómez, C.; Martinez, A.; et al. Predictive Risk Factors of Acute Kidney Injury after Cytoreductive Surgery and Cisplatin-Based Hyperthermic Intra-Peritoneal Chemotherapy for Ovarian Peritoneal Carcinomatosis. Int. J. Gynecol. Cancer 2019, 29, 382–391. [Google Scholar] [CrossRef] [PubMed]
- Lim, S.J.; Cormier, J.N.; Feig, B.W.; Mansfield, P.F.; Benjamin, R.S.; Griffin, J.R.; Chase, J.L.; Pisters, P.W.T.; Pollock, R.E.; Hunt, K.K. Toxicity and Outcomes Associated with Surgical Cytoreduction and Hyperthermic Intraperitoneal Chemotherapy (HIPEC) for Patients with Sarcomatosis. Ann. Surg. Oncol. 2007, 14, 2309–2318. [Google Scholar] [CrossRef] [PubMed]
- Nizri, E.; Baratti, D.; Guaglio, M.; Sinukumar, S.; Cabras, A.; Kusamura, S.; Deraco, M. Multicystic Mesothelioma: Operative and Long-Term Outcomes with Cytoreductive Surgery and Hyperthermic Intra Peritoneal Chemotherapy. Eur. J. Surg. Oncol. 2018, 44, 1100–1104. [Google Scholar] [CrossRef] [PubMed]
- Sin, E.I.-L.; Chia, C.S.; Tan, G.H.C.; Soo, K.C.; Teo, M.C.-C. Acute Kidney Injury in Ovarian Cancer Patients Undergoing Cytoreductive Surgery and Hyperthermic Intra-Peritoneal Chemotherapy. Int. J. Hyperth. 2017, 33, 690–695. [Google Scholar] [CrossRef] [PubMed]
- Tan, G.H.C.; Shannon, N.B.; Chia, C.S.; Soo, K.C.; Teo, M.C.C. Platinum Agents and Mitomycin C-Specific Complications in Cytoreductive Surgery (CRS) and Hyperthermic Intraperitoneal Chemotherapy (HIPEC). Int. J. Hyperth. 2017, 34, 595–600. [Google Scholar] [CrossRef] [PubMed]
- Warschkow, R.; Tarantino, I.; Lange, J.; Müller, S.A.; Schmied, B.M.; Zünd, M.; Steffen, T. Does Hyperthermic Intraoperative Chemotherapy Lead to Improved Outcomes in Patients with Ovarian Cancer? A Single Center Cohort Study in 111 Consecutive Patients. Patient Saf. Surg. 2012, 6, 12. [Google Scholar] [CrossRef] [PubMed]
- Cata, J.P.; Zavala, A.M.; Van Meter, A.; Williams, U.U.; Soliz, J.; Hernandez, M.; Owusu-Agyemang, P. Identification of Risk Factors Associated with Postoperative Acute Kidney Injury after Cytoreductive Surgery with Hyperthermic Intraperitoneal Chemotherapy: A Retrospective Study. Int. J. Hyperth. 2017, 34, 538–544. [Google Scholar] [CrossRef] [PubMed]
- Chan, C.-Y.; Li, H.; Wu, M.-F.; Liu, C.-H.; Lu, H.-W.; Lin, Z.-Q.; Li, J. A Dose-Finding Trial for Hyperthermic Intraperitoneal Cisplatin in Gynecological Cancer Patients Receiving Hyperthermic Intraperitoneal Chemotherapy. Front. Oncol. 2021, 11, 616264. [Google Scholar] [CrossRef] [PubMed]
- Friedrich, M.; Zinn, W.; Kolnsberg, L.; Kraft, C.; Kuhn, W. Hyperthermic Intraperitoneal Chemotherapy (HIPEC) for Ovarian Cancer: Evaluation of Side Effects in a Single Institution Cohort. Anticancer. Res. 2020, 40, 1481–1486. [Google Scholar] [CrossRef]
- D’hondt, V.; Goffin, F.; Roca, L.; Dresse, D.; Leroy, C.; Kerger, J.; Cordier, L.; de Forges, H.; Veys, I.; Liberale, G. Interval Cytoreductive Surgery and Hyperthermic Intraperitoneal Chemotherapy in First-Line Treatment for Advanced Ovarian Carcinoma: A Feasibility Study. Int. J. Gynecol. Cancer 2016, 26, 912–917. [Google Scholar] [CrossRef]
- Rihuete Caro, C.; Manzanedo, I.; Pereira, F.; Carrion-Alvarez, L.; Serrano, Á.; Pérez-Viejo, E. Cytoreductive Surgery Combined with Hyperthermic Intraperitoneal Chemotherapy (HIPEC) in Patients with Gastric Cancer and Peritoneal Carcinomatosis. Eur. J. Surg. Oncol. 2018, 44, 1805–1810. [Google Scholar] [CrossRef]
- Chatzigeorgiou, K. Treatment of Recurrent Epithelial Ovarian Cancer with Secondary Cytoreduction and Continuous Intraoperative Intraperitoneal Hyperthermic Chemoperfusion (CIIPHCP). Zentralblatt Für Gynäkologie 2003, 125, 424–429. [Google Scholar] [CrossRef] [PubMed]
- Raj, H.; Keerthi, M.S.S.; Palaniappan, R.; Prakash, U.; Dhanushkodi, M.; Ganesan, T.S. Phase 2 Non-Randomised Trial of Secondary Cytoreduction and Hyperthermic Intraperitoneal Chemotherapy in Recurrent Platinum-Sensitive Ovarian Cancer. Ecancermedicalscience 2021, 15, 1260. [Google Scholar] [CrossRef] [PubMed]
- Bondar, O.V.; Chetverikov, S.H.; Maksymovskyi, V.Y.; Atanasov, D.V.; Chetverikova-Ovchynnyk, V.V.; Chetverikov, M.S. The Impact of Hyperthermic Intraperitoneal Chemotherapy and Cytoreductive Surgery on Clinical Outcomes and Quality of Life of Patients with Peritoneal Carcinomatosis. Contemp. Oncol. 2021, 25, 270–278. [Google Scholar] [CrossRef]
- Carias, E.; Ferreira, H.; Chuva, T.; Paiva, A.; Maximino, J. Acute Kidney Injury after Cytoreductive Surgery and Hyperthermic Intraperitoneal Chemotherapy in a Portuguese Population. World J. Oncol. 2022, 13, 370–378. [Google Scholar] [CrossRef] [PubMed]
- Bai, Y.; Du, Y.; Ye, P.; Luo, Y. Acute Kidney Injury after Cytoreductive Surgery and Hyperthermic Intraperitoneal Chemotherapy in Patients with Advanced Ovarian Cancer. Front. Oncol. 2023, 13, 1094410. [Google Scholar] [CrossRef] [PubMed]
- Gómez-Ruiz, Á.J.; González-Gil, A.; Gil, J.; Alconchel, F.; Navarro-Barrios, Á.; Gil-Gómez, E.; Martínez, J.; Nieto, A.; García-Palenciano, C.; Cascales-Campos, P.A. Acute Renal Disease in Patients with Ovarian Peritoneal Carcinomatosis Treated with Cytoreduction and HIPEC: The Influence of Surgery and the Cytostatic Agent Used. Langenbeck’s Arch. Surg. 2021, 406, 2449–2456. [Google Scholar] [CrossRef] [PubMed]
- Hakeam, H.A.; Breakiet, M.; Azzam, A.; Nadeem, A.; Amin, T. The Incidence of Cisplatin Nephrotoxicity Post Hyperthermic Intraperitoneal Chemotherapy (HIPEC) and Cytoreductive Surgery. Ren. Fail. 2014, 36, 1486–1491. [Google Scholar] [CrossRef] [PubMed]
- Bhatt, A.; Glehen, O.; Zivanovic, O.; Brennan, D.; Nadeau, C.; Van Driel, W.; Bakrin, N. The 2022 PSOGI International Consensus on HIPEC Regimens for Peritoneal Malignancies: Epithelial Ovarian Cancer. Ann. Surg. Oncol. 2023, 30, 8115–8137. [Google Scholar] [CrossRef]
- Vachez, E.; Kefleyesus, A.; Bakrin, N.; Ranchon, F.; Rioufol, C.; Vassal, O.; Al-Hadeedi, O.; Kepenekian, V.; Glehen, O. Eliminating the Need for Preoperative Intravenous Hyperhydration: Sodium Thiosulfate as Nephrotoxicity Prevention in HIPEC-Treated Patients—A Retrospective Analysis. Eur. J. Surg. Oncol. 2024, 50, 107955. [Google Scholar] [CrossRef]
- Yaqub, S.; Hashmi, S.; Kazmi, M.K.; Aziz Ali, A.; Dawood, T.; Sharif, H. A Comparison of AKIN, KDIGO, and RIFLE Definitions to Diagnose Acute Kidney Injury and Predict the Outcomes after Cardiac Surgery in a South Asian Cohort. Cardiorenal Med. 2022, 12, 29–38. [Google Scholar] [CrossRef] [PubMed]
- Erdost, H.; Ozkardesler, S.; Akan, M.; Iyilikci, L.; Unek, T.; Ocmen, E.; Dalak, R.; Astarcioglu, I. Comparison of the RIFLE, AKIN, and KDIGO Diagnostic Classifications for Acute Renal Injury in Patients Undergoing Liver Transplantation. Transplant. Proc. 2016, 48, 2112–2118. [Google Scholar] [CrossRef] [PubMed]
- Younan, R.; Kusamura, S.; Baratti, D.; Cloutier, A.; Deraco, M. Morbidity, Toxicity, and Mortality Classification Systems in the Local Regional Treatment of Peritoneal Surface Malignancy. J. Surg. Oncol. 2008, 98, 253–257. [Google Scholar] [CrossRef] [PubMed]








| Study characteristics | Type of study: observational studies, either prospective or retrospective, randomized and non-randomized clinical trials. |
| Unicentric or multicentric. | |
| Year of publication. | |
| Population | Number of patients included. |
| Number of study arms and their distribution based on HIPEC protocol and nephroprotective usage. | |
| Gender distribution: male or female. | |
| Age. | |
| Previous chronic renal disease (yes/no). | |
| Previous chemotherapy: cisplatin, other drugs, non-stated. | |
| Renal injury predisposing factors: ACE * inhibitors and angiotensin II receptor inhibitors, diabetes, hypertension. | |
| Etiology of PSM: ovarian or other. | |
| HIPEC | HIPEC drugs: cisplatin or cisplatin + doxorubicin. |
| Perfusate volume: fixed volumes or body surface area-based volume. | |
| Dosage: ≤50 mg/m2; 50–75 mg/m2; 75–100 mg/m2; ≥100 mg/m2. | |
| Duration (minutes). | |
| Temperature (Celsius). | |
| Open or closed technique. | |
| Nephroprotective strategy: sodium thiosulphate (ST), amifostine, no. | |
| Kidney injury | Incidence of acute kidney injury. |
| Acute kidney injury classification: RIFLE, KDIGO, AKIN, WHO, Clavien–Dindo, CTCAE. | |
| Incidence of chronic kidney disease. |
| Study | Country | Study Design | Treatment | Nephroprotector | Sample Size | Cases of Renal Impairment | Previous CKD | Tumor Etiology | Cisplatin Dose | HIPEC Duration (Minutes) | Renal Impairment Scale |
|---|---|---|---|---|---|---|---|---|---|---|---|
| Martina 2019 [122] | France | Cohort | Cisplatin | No | 66 | 30 | No | Ovary | 50–100 mg/m2 | 60 min | RIFLE |
| Laplace 2020T [6] | France | Cohort | Cisplatin | Yes (ST) | 73 | 11 | Yes | Various | 50–100 mg/m2 | 60–90 min | WHO |
| Lim 2007 [123] | USA | Non-randomized clinical trial | Cisplatin | Yes (amifostine) | 19 | 7 | No | Various | 90 mg/m2 * | 90 min | CTCAE |
| Nizri 2018 [124] | Italy | Cohort | Cisplatin and doxorubicin | No | 19 | 2 | N/A | N/A | 42.5 mg/L + 15.2 mg/L ** | 90 min | CTCAE |
| Sin 2017 [125] | Singapore | Cohort | Cisplatin | No | 47 | 19 | N/A | Ovary | 90 mg/m2 | 60 min | CTCAE |
| Somashekhar 2019T [118] | India | Cohort | Both | No | 114 | 7 | N/A | Various | 75–100 mg/m2 # 40 + 15 mg/m2 ** | 90 min | CTCAE |
| Tan 2017 [126] | Singapore | Cohort | Cisplatin | No | 92 | 32 | No | Various | 40 mg/body surface | 60 min | CTCAE |
| Warschkow 2012 [127] | Switzerland | Cohort | Cisplatin | No | 21 | 2 | Yes | Ovary | 50 mg/m2 $ | 90 min | N/A |
| Cata 2018 [128] | USA | Cohort | Cisplatin | No | 81 | 29 | No | N/A | Not-stated | N/A | AKIN |
| Chan 2021 [129] | China | Non-randomized clinical trial | Cisplatin | No | 30 | 7 | N/A | Various | 70 mg/m2, 75 mg/m2, 80 mg/m2 and 85 mg/m2 & | 60 min | CTCAE |
| Friedrich 2020 [130] | Germany | Case series | Cisplatin | No | 42 | 2 | N/A | Ovary | 50 mg/m2 | 90 min | CLAVIEN DINDO |
| Alonso 2022 [7] | Australia | Case-control | Cisplatin | Yes (ST) | 10 | 4 | No | Various | 100 mg/m2 % | 90 min | RIFLE |
| D’Hondt 2016 [131] | Belgium | Non-randomized clinical trial | Cisplatin | No | 16 | 1 | No | Ovary | 50 mg/m2 | 60 min | CTCAE |
| Liesenfeld 2023 T [117] | Germany | Cohort | Both | No | 56 | 37 | N/A | Various | 75 mg/m2 % 50 mg/m2 + 15 mg/m2 ** 50 mg/m2 + 15 mg/m2 ** + EPIC | 90 min | KDIGO |
| Rihuete-Caro 2018 [132] | Spain | Cohort | Cisplatin and adriamicine | No | 35 | 1 | N/A | N/A | 100 mg/m2 + 15 mg/m2 ** | 90 min | RIFLE |
| Chatzigeorgiou 2003 [133] | Greece | Non-randomized clinical trial | Cisplatin | Yes (amifostine) | 20 | 2 | N/A | Ovary | 50–70 mg/m2 # | 120 min | CTCAE |
| Lim 2022 T [119] | South Korea | Randomized clinical trial | Cisplatin | Yes (amifostine) | 92 | 21 | N/A | Ovary | 75 mg/m2 | 90 min | CTCAE |
| Glennon 2021 T [121] | Ireland | Case-control | Cisplatin | Yes (ST) | 30 | 1 | No | Ovary | 50 mg/m2 100 mg/m2 | 90 min | KDIGO |
| Raj 2021 [134] | India | Non-randomized clinical trial | Cisplatin | No | 15 | 0 | N/A | Ovary | 75 mg/m2 | 60 min | CLAVIEN DINDO |
| Bondar 2021 [135] | Ukraine | Cohort | Cisplatin and adriamicine | Yes (ST) | 57 | 8 | N/A | Various | 50 mg/m2 + 15 mg/m2 ** | 90 min | CLAVIEN DINDO |
| Carias 2022 [136] | Portugal | Cohort | Cisplatin | No | 42 | 11 | N/A | Various | 50 mg/m2 | 90 min | KDIGO |
| Bai 2023 [137] | China | Cohort | Cisplatin | No | 282 | 33 | N/A | Ovary | 50 to 80 mg/m2 | 60 min | KDIGO |
| Senguttuvan 2023 T [120] | USA | Non-randomized clinical trial | Cisplatin | Yes (ST) | 40 | 6 | N/A | Various | 75 mg/m2 | 60 min | CTCAE |
| Chen 2021 [58] | Australia | Cohort | Cisplatin | No | 59 | 4 | N/A | Various | 100 mg/m2 % | 90 min | RIFLE |
| Gomez-Ruiz 2021 [138] | Spain | Cohort | Cisplatin | No | 62 | 14 | N/A | Ovary | 75 mg/m2 | 60 min | RIFLE |
| Hakeam 2014 [139] | Saudi Arabia | Cohort | Cisplatin and adriamicine | No | 53 | 2 | Yes | Various | 50 mg/m2 + 15 mg/m2 ** | 90 min | RIFLE |
| (A) | |||||||||||||||
|---|---|---|---|---|---|---|---|---|---|---|---|---|---|---|---|
| Study | JBc1 | JBc2 | JBc3 | JBc4 | JBc5 | JBc6 | JBc7 | JBc8 | JBc9 | JBc10 | JBc11 | % Yes | Risk | ||
| Martina 2019 [122] | ✓ | ✓ | ✓ | ✓ | ✓ | ✓ | ✓ | ✓ | ✓ | ✓ | ✓ | 100 | Low | ||
| Laplace 2020 [6] | ✓ | ✓ | ✓ | ✓ | ✓ | ✓ | ✓ | ✓ | ✓ | ✓ | -- | 91 | Low | ||
| Nizri 2018 [124] | ✓ | ✓ | ✓ | ✓ | ✓ | ✓ | ✓ | ✓ | ✓ | ✓ | ✓ | 100 | Low | ||
| Sin 2017 [125] | ✓ | ✓ | ✓ | ✓ | ✓ | ✓ | ✓ | ✓ | ✓ | ✓ | ✓ | 100 | Low | ||
| Somashekhar 2019 [118] | ✓ | ✓ | ✓ | ✓ | ✓ | ✓ | ✓ | ✓ | ✓ | ✓ | -- | 91 | Low | ||
| Tan 2017 [126] | ✓ | ✓ | ✓ | ✓ | ✓ | ✓ | ✓ | ✓ | ✓ | ✓ | ✓ | 100 | Low | ||
| Warschkow 2012 [127] | ✓ | ✓ | ✓ | ✓ | ✓ | ✓ | U | ✓ | ✓ | ✓ | ✓ | 91 | Low | ||
| Cata 2018 [129] | ✓ | ✓ | ✓ | ✓ | ✓ | ✓ | ✓ | ✓ | ✓ | U | ✓ | 91 | Low | ||
| Liesenfeld 2023 [117] | ✓ | ✓ | ✓ | ✓ | ✓ | ✓ | ✓ | ✓ | ✓ | ✓ | ✓ | 100 | Low | ||
| Rihuete-Caro 2018 [132] | ✓ | ✓ | ✓ | ✓ | ✓ | ✓ | U | ✓ | ✓ | ✓ | ✓ | 91 | Low | ||
| Bondar 2021 [135] | ✓ | ✓ | ✓ | ✓ | ✓ | ✓ | ✓ | ✓ | ✓ | ✓ | ✓ | 100 | Low | ||
| Carias 2022 [136] | ✓ | ✓ | ✓ | ✓ | ✓ | ✓ | ✓ | ✓ | ✓ | ✓ | ✓ | 100 | Low | ||
| Bai 2023 [137] | ✓ | ✓ | ✓ | ✓ | ✓ | ✓ | ✓ | ✓ | U | U | ✓ | 82 | Low | ||
| Chen 2021 [58] | ✓ | ✓ | ✓ | ✓ | ✓ | ✓ | ✓ | ✓ | U | U | ✓ | 82 | Low | ||
| Gomez-Ruiz 2021 [138] | ✓ | ✓ | ✓ | ✓ | ✓ | ✓ | ✓ | ✓ | ✓ | ✓ | ✓ | 100 | Low | ||
| Hakeam 2014 [139] | ✓ | ✓ | ✓ | ✓ | ✓ | ✓ | ✓ | ✓ | U | U | ✓ | 82 | Low | ||
| (B) | |||||||||||||||
| Study | JBcc1 | JBcc2 | JBcc3 | JBcc4 | JBcc5 | JBcc6 | JBcc7 | JBcc8 | JBcc9 | JBcc10 | % Yes | Risk | |||
| Alonso 2022 [7] | ✓ | ✓ | ✓ | ✓ | ✓ | -- | -- | ✓ | ✓ | -- | 70 | Low | |||
| Glennon 2021 [123] | ✓ | ✓ | ✓ | ✓ | ✓ | ✓ | ✓ | ✓ | ✓ | -- | 90 | Low | |||
| (C) | |||||||||||||||
| Study | JBcs1 | JBcs2 | JBcs3 | JBcs4 | JBcs5 | JBcs6 | JBcs7 | JBcs8 | JBcs9 | JBcs10 | % Yes | Risk | |||
| Friedrich 2020 [130] | ✓ | ✓ | ✓ | ✓ | ✓ | ✓ | ✓ | ✓ | ✓ | ✓ | 100 | Low | |||
| (D) | |||||||||||||||
| Study | JBrct1 | JBrct2 | JBrct3 | JBrct4 | JBrct5 | JBrct6 | JBrct7 | JBrct8 | JBrct9 | JBrct10 | JBrct11 | JBrct12 | JBrct13 | % Yes | Risk |
| Lim 2022 [119] | ✓ | ✓ | ✓ | ✓ | -- | U | ✓ | ✓ | ✓ | ✓ | ✓ | ✓ | ✓ | 85 | Low |
| (E) | |||||||||||||||
| Study | JBnrct1 | JBnrct2 | JBnrct3 | JBnrct4 | JBnrct5 | JBnrct6 | JBnrct7 | JBnrct8 | JBnrct9 | % Yes | Risk | ||||
| Lim 2007 [123] | ✓ | ✓ | ✓ | ✓ | ✓ | ✓ | ✓ | ✓ | -- | 89 | Low | ||||
| Chan 2021 [129] | ✓ | ✓ | ✓ | -- | ✓ | ✓ | ✓ | ✓ | ✓ | 89 | Low | ||||
| D’Hondt 2016 [131] | ✓ | ✓ | ✓ | -- | -- | ✓ | ✓ | ✓ | -- | 67 | Moderate | ||||
| Chatzigeorgiou 2003 [133] | ✓ | U | U | -- | ✓ | ✓ | ✓ | ✓ | ✓ | 67 | Moderate | ||||
| Raj 2021 [134] | ✓ | U | U | -- | ✓ | ✓ | ✓ | ✓ | ✓ | 67 | Moderate | ||||
| Senguttuvan 2023 [120] | -- | ✓ | -- | ✓ | ✓ | ✓ | ✓ | ✓ | ✓ | 78 | Low | ||||
| Gouy 2016 [27] | ✓ | ✓ | ✓ | -- | -- | ✓ | ✓ | ✓ | ✓ | 78 | Low | ||||
| Subgroup by Study Characteristics | Nº of Studies | Participants | Effect Size and 95% Interval * | Heterogeneity I2 | p Value | ||
|---|---|---|---|---|---|---|---|
| AKI Incidence | Lower Limit | Upper Limit | |||||
| 1473 | |||||||
| Nephroprotector 1 | 0.194 | ||||||
| Yes | 8 | 208 | 11.5% | 4.9% | 25,0% | 65.0% | |
| No | 24 | 1265 | 20.5% | 14.5% | 28.0% | 84.8% | |
| Nephroprotector 2 | 0.362 | ||||||
| Amifostine | 3 | 60 | 14.0% | 2.9% | 46.9% | 71.2% | |
| Sodium thiosulphate | 5 | 148 | 8.8% | 2.5% | 27.0% | 65.8% | |
| No nephroprotector | 24 | 1265 | 20.5% | 14.5% | 28.0% | 84.8% | |
| HIPEC | 0.432 | ||||||
| Cisplatin | 26 | 1261 | 20.2% | 14.6% | 27,2% | 81.3% | |
| Cisplatin and adriamicine | 6 | 212 | 12.5% | 3.5% | 36.0% | 87.7% | |
| Cisplatin dose | 0.411 | ||||||
| ≤50 mg/m2 | 6 | 243 | 12.5% | 6.8% | 2.8% | 75.3% | |
| >50–75 mg/m2 | 2 | 302 | 11.6% | 8.4% | 15.7% | 0.0% | |
| 75–100 mg/m2 | 13 | 519 | 18.8% | 11.7% | 28.9% | 77.0% | |
| ≥100 mg/m2 | 5 | 165 | 12.9% | 4.1% | 33.7% | 79.5% | |
| HIPEC duration | 0.465 | ||||||
| 60 min | 10 | 650 | 23.2% | 14.4% | 35.0% | 84.40% | |
| 60–90 min | 2 | 73 | 9.1% | 0.3% | 76.1% | 83.0% | |
| 90 min | 18 | 649 | 15.2% | 8.7% | 25.3% | 83.7% | |
| 120 min | 1 | 20 | 10.0% | 2.5% | 32.4% | 0.0% | |
| Renal impairment scale | 0.005 | ||||||
| AKIN | 1 | 81 | 35.8% | 26.1% | 46.8% | 0.0% | |
| CLAVIEN DINDO | 3 | 114 | 8.8% | 3.6% | 20% | 32.1% | |
| CTCAE | 15 | 499 | 17.8% | 11.6% | 26.3% | 70.4% | |
| KDIGO | 4 | 380 | 38.8% | 13.1% | 72.7% | 95.3% | |
| RIFLE | 6 | 285 | 15.4% | 6.1% | 33.8% | 86.8% | |
| WHO | 2 | 73 | 9.1% | 0.4% | 76.1% | 83% | |
| Tumor origin | 0.358 | ||||||
| Ovary | 13 | 693 | 15.5% | 9.2% | 25.1% | 82.0% | |
| Various | 16 | 645 | 21.3% | 13.35 | 32.4% | 83.8% | |
| Previous kidney disease | 0.036 | ||||||
| No | 8 | 314 | 33.9% | 25.3% | 43.6% | 47.9% | |
| Yes | 4 | 147 | 8.4% | 1.9% | 30.2% | 79.6% | |
| Sex distribution (Woman %) | 0.259 | ||||||
| ≤50% | 3 | 111 | 26.8% | 12.9% | 47.6% | 56.2% | |
| 50–75% | 5 | 190 | 30.2% | 11.4% | 59.4% | 90.0% | |
| >75% | 21 | 977 | 16.0% | 10.7% | 23.1% | 79.5% | |
| Age distribution | 0.268 | ||||||
| ≤60 years | 19 | 641 | 18.0% | 12.3% | 25.6% | 71.3% | |
| >60 years | 6 | 421 | 31.4% | 11.9% | 61.0% | 93% | |
| Scale | Creatinine Criteria | Urine Output Criteria |
|---|---|---|
| RIFLE | ||
| R (Risk) | Serum creatinine increase 1.5-fold or GFR > 25% from baseline | <0.5 mL/kg/h for 6 h |
| I (Injury) | Serum creatinine increase 2.0-fold or GFR > 50% from baseline | <0.5 mL/kg/h for 12 h |
| F (Failure) | Serum creatinine increase 3.0-fold or GFR > 75% from baseline or serum creatinine > 4.0 mg/dL with an acute increase of at least 0.5 mg/dL | Anuria for 12 h |
| AKIN | ||
| 1 | Serum creatinine increase 0.3 mg/dL or increase to 1.5–2.0 fold from baseline | <0.5 mL/kg/h for 6 h |
| 2 | Serum creatinine increase > 2.0–3.0 fold from baseline | <0.5 mL/kg/h for 12 h |
| 3 | Serum creatinine increase > 3.0 fold from baseline or serum creatinine ≥ 4.0 mg/dL with an acute increase of at least 0.5 mg/dL or need for renal replacement therapy | <0.3 mL/kg/h for 24 h or anuria for 12 h or need for renal replacement therapy |
| KDIGO | ||
| 1 | Serum creatinine increase 1.5–1.9 times baseline or ≥0.3 mg/dL within 48 h | <0.5 mL/kg/h for 6–12 h |
| 2 | Serum creatinine increase 2.0–2.9 times baseline | <0.5 mL/kg/h for ≥12 h |
| 3 | Serum creatinine increase 3.0 mg/dL times baseline or increase ≥ 4.0 mg/dL or initiation of renal replacement therapy | <0.3 mL/kg/h for 24 h or anuria for ≥12 h |
| CTCAE v. 5.0. (Acute kidney injury) | ||
| Grade 1 | - | - |
| Grade 2 | - | - |
| Grade 3 | Hospitalization indicated | - |
| Grade 4 | Life-threatening consequences; dialysis indicated | - |
| CTCAE (Creatinine increase) | ||
| Grade 1 | Creatinine increased > upper limit normal (ULN)-1.5 × ULN | - |
| Grade 2 | Creatinine increased > 1.5–3.0 × baseline; >1.5–3.0 × ULN | - |
| Grade 3 | Creatinine increased > 3.0 × baseline; 3.0–6.0 × ULN | - |
| Grade 4 | Creatinine increased > 6.0 × ULN | - |
| Clavien–Dindo | ||
| Grade I | Any deviation from the normal postoperative course without the need for pharmacological treatment, or surgical, endoscopic, and radiological interventions Allowed therapeutic regimens are drugs including antiemetics, antipyretics, analgesics, and diuretics and electrolytes, and physiotherapy. This grade also includes wound infections opened at the bedside | - |
| Grade II | Requiring pharmacological treatment with drugs other than such allowed for grade I complications. Blood transfusions and total parenteral nutrition are also included | - |
| Grade III | Requiring surgical, endoscopic, or radiological intervention
| - |
| Grade IV | Life-threatening complication (including central nervous system complications) requiring IC/ICU management
| - |
Disclaimer/Publisher’s Note: The statements, opinions and data contained in all publications are solely those of the individual author(s) and contributor(s) and not of MDPI and/or the editor(s). MDPI and/or the editor(s) disclaim responsibility for any injury to people or property resulting from any ideas, methods, instructions or products referred to in the content. |
© 2024 by the authors. Licensee MDPI, Basel, Switzerland. This article is an open access article distributed under the terms and conditions of the Creative Commons Attribution (CC BY) license (https://creativecommons.org/licenses/by/4.0/).
Share and Cite
Grillo-Marín, C.; Antón-Rodríguez, C.; Prieto, L.; Ortega-Pérez, G.; González-Moreno, S. Nephrotoxicity Associated with Cytoreductive Surgery Combined with Cisplatin-Based Hyperthermic Intraperitoneal Chemotherapy for Peritoneal Malignant Disease: A Systematic Review and Meta-Analysis. J. Clin. Med. 2024, 13, 3793. https://doi.org/10.3390/jcm13133793
Grillo-Marín C, Antón-Rodríguez C, Prieto L, Ortega-Pérez G, González-Moreno S. Nephrotoxicity Associated with Cytoreductive Surgery Combined with Cisplatin-Based Hyperthermic Intraperitoneal Chemotherapy for Peritoneal Malignant Disease: A Systematic Review and Meta-Analysis. Journal of Clinical Medicine. 2024; 13(13):3793. https://doi.org/10.3390/jcm13133793
Chicago/Turabian StyleGrillo-Marín, Cristián, Cristina Antón-Rodríguez, Lola Prieto, Gloria Ortega-Pérez, and Santiago González-Moreno. 2024. "Nephrotoxicity Associated with Cytoreductive Surgery Combined with Cisplatin-Based Hyperthermic Intraperitoneal Chemotherapy for Peritoneal Malignant Disease: A Systematic Review and Meta-Analysis" Journal of Clinical Medicine 13, no. 13: 3793. https://doi.org/10.3390/jcm13133793
APA StyleGrillo-Marín, C., Antón-Rodríguez, C., Prieto, L., Ortega-Pérez, G., & González-Moreno, S. (2024). Nephrotoxicity Associated with Cytoreductive Surgery Combined with Cisplatin-Based Hyperthermic Intraperitoneal Chemotherapy for Peritoneal Malignant Disease: A Systematic Review and Meta-Analysis. Journal of Clinical Medicine, 13(13), 3793. https://doi.org/10.3390/jcm13133793

