Immediate Effects of Aerobic Exercise and Whole-Body Vibration on Fat Oxidation, Lipid Mobilization, and Cardiovascular Response in Individuals with Obesity
Abstract
1. Introduction
2. Materials and Methods
2.1. Study Design and Participants
2.2. Intervention Protocols
2.2.1. Aerobic Exercise (AER)
2.2.2. Whole-Body Vibration Exercise (WBV)
2.3. Outcome Measures
2.3.1. Measurement of Fat Oxidation
2.3.2. Measurement of Lipid Mobilization
2.3.3. Measurements of Cardiovascular Parameters and Dyspnea Level
2.4. Procedure
2.5. Statistical Analyses
3. Results
3.1. Fat Oxidation and Lipid Mobilization
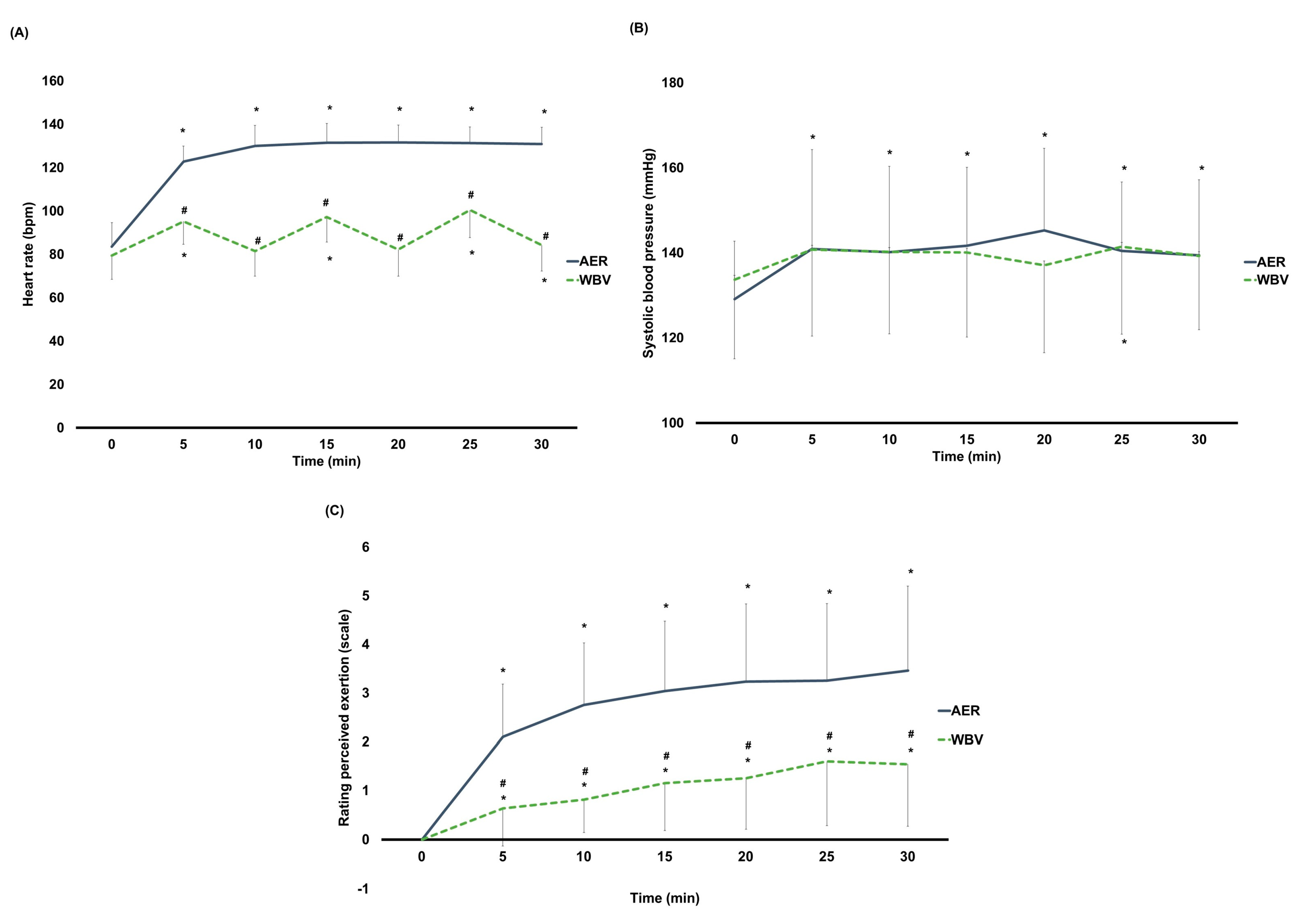
3.2. Cardiovascular Parameters and Dyspnea Level
4. Discussion
5. Conclusions
Author Contributions
Funding
Institutional Review Board Statement
Informed Consent Statement
Data Availability Statement
Acknowledgments
Conflicts of Interest
References
- Stevens, G.A.; Singh, G.M.; Lu, Y.; Danaei, G.; Lin, J.K.; Finucane, M.M.; Bahalim, A.N.; McIntire, R.K.; Gutierrez, H.R.; Cowan, M.; et al. National, regional, and global trends in adult overweight and obesity prevalences. Popul. Health Metr. 2012, 10, 22. [Google Scholar] [CrossRef] [PubMed]
- World Health Organization. Obesity and Overweight. Available online: https://www.who.int/news-room/fact-sheets/detail/obesity-and-overweight (accessed on 29 March 2022).
- Sakboonyarat, B.; Pornpongsawad, C.; Sangkool, T.; Phanmanas, C.; Kesonphaet, N.; Tangthongtawi, N.; Limsakul, A.; Assavapisitkul, R.; Thangthai, T.; Janenopparkarnjana, P.; et al. Trends, prevalence and associated factors of obesity among adults in a rural community in Thailand: Serial cross-sectional surveys, 2012 and 2018. BMC Public Health 2020, 20, 850. [Google Scholar] [CrossRef] [PubMed]
- Klop, B.; Elte, J.W.; Cabezas, M.C. Dyslipidemia in obesity: Mechanisms and potential targets. Nutrients 2013, 5, 1218–1240. [Google Scholar] [CrossRef] [PubMed]
- Swarup, S.; Goyal, A.; Grigorova, Y.; Zeltser, R. Metabolic Syndrome; StatPearls Publishing: Treasure Island, FL, USA, 2021. [Google Scholar]
- Packard, C.J. Triacylglycerol-rich lipoproteins and the generation of small, dense low-density lipoprotein. Biochem. Soc. Trans. 2003, 31, 1066–1069. [Google Scholar] [CrossRef]
- Makki, K.; Froguel, P.; Wolowczuk, I. Adipose tissue in obesity-related inflammation and insulin resistance: Cells, cytokines, and chemokines. ISRN Inflamm. 2013, 2013, 139239. [Google Scholar] [CrossRef]
- Flock, M.R.; Green, M.H.; Kris-Etherton, P.M. Effects of adiposity on plasma lipid response to reductions in dietary saturated fatty acids and cholesterol. Adv. Nutr. 2011, 2, 261–274. [Google Scholar] [CrossRef]
- Mendis, S.; Puska, P.; Norrving, B. Global Atlas on Cardiovascular Disease Prevention and Control; World Health Organization: Geneva, Switzerland, 2011; ISBN 978-92-4-156437-3. [Google Scholar]
- Singh, S.; Issac, R.; Benjamin, A.I.; Kaushal, S. Prevalence and association of physical activity with obesity: An urban, community-based, cross-sectional study. Indian. J. Community Med. 2015, 40, 103–107. [Google Scholar] [CrossRef]
- Wei, M.; Kampert, J.B.; Barlow, C.E.; Nichaman, M.Z.; Gibbons, L.W.; Paffenbarger, R.S., Jr.; Blair, S.N. Relationship between low cardiorespiratory fitness and mortality in normalweight, overweight, and obese men. JAMA 1999, 282, 1547–1553. [Google Scholar] [CrossRef]
- National Task Force on the Prevention and Treatment of Obesity. Overweight, obesity, and health risk. Arch. Intern. Med. 2000, 160, 898–904. [Google Scholar] [CrossRef]
- Pate, R.R.; Pratt, M.; Blair, S.N.; Haskell, W.L.; Macera, C.A.; Bouchard, C.; Buchner, D.; Ettinger, W.; Heath, G.W.; King, A.C. Physical activity and public health. A recommendation from the Centers for Disease Control and Prevention and the American College of Sports Medicine. JAMA 1995, 273, 402–407. [Google Scholar] [CrossRef]
- Ohkawara, K.; Tanaka, S.; Miyachi, M.; Ishikawa-Takata, K.; Tabata, I. A dose-response relation between aerobic exercise and visceral fat reduction: Systematic review of clinical trials. Int. J. Obes. 2007, 31, 1786–1797. [Google Scholar] [CrossRef] [PubMed]
- Donnelly, J.E.; Honas, J.J.; Smith, B.K.; Mayo, M.S.; Gibson, C.A.; Sullivan, D.K.; Lee, J.; Herrmann, S.D.; Lambourne, K.; Washburn, R.A. Aerobic exercise alone results in clinically significant weight loss for men and women: Midwest exercise trial 2. Obesity 2013, 21, E219–E228. [Google Scholar] [CrossRef] [PubMed]
- Al Saif, A.; Alsenany, S. Aerobic and anaerobic exercise training in obese adults. J. Phys. Ther. Sci. 2015, 27, 1697–1700. [Google Scholar] [CrossRef] [PubMed]
- Khaled, S.; Elfakharany, T.A.; ElAzab, D. Effect of body mass index on adherence to physical activity in females. Int. J. Adv. Res. Biol. Sci. 2016, 3, 211–219. [Google Scholar] [CrossRef]
- Jodkowska, M.; Oblacińska, A.; Nałęcz, H.; Mazur, J. Perceived barriers for physical activity in overweight and obese adolescents and their association with health motivation. Dev. Period. Med. 2017, 21, 248–258. [Google Scholar]
- Baillot, A.; Chenail, S.; Barros Polita, N.; Simoneau, M.; Libourel, M.; Nazon, E.; Riesco, E.; Bond, D.S.; Romain, A.J. Physical activity motives, barriers, and preferences in people with obesity: A systematic review. PLoS ONE 2021, 16, e0253114. [Google Scholar] [CrossRef]
- Dionello, C.F.; Sá-Caputo, D.; Pereira, H.V.; Sousa-Gonçalves, C.R.; Maiworm, A.I.; Morel, D.S.; Moreira-Marconi, E.; Paineiras-Domingos, L.L.; Bemben, D.; Bernardo-Filho, M. Effects of whole-body vibration exercises on bone mineral density of women with postmenopausal osteoporosis without medications: Novel findings and literature review. J. Musculoskelet. Neuronal Interact. 2016, 16, 193–203. [Google Scholar]
- Alam, M.M.; Khan, A.A.; Farooq, M. Effect of whole-body vibration on neuromuscular performance: A literature review. Work 2018, 59, 571–583. [Google Scholar] [CrossRef]
- Alashram, A.R.; Padua, E.; Annino, G. Effects of whole-body vibration on motor impairments in patients with neurological disorders: A systematic review. Am. J. Phys. Med. Rehabil. 2019, 98, 1084–1098. [Google Scholar] [CrossRef]
- Jiang, D.; Liu, C.; Chen, Y.; Xing, X.; Zheng, D.; Guo, Z.; Lin, S. Metabolomics study of whole-body vibration on Lipid metabolism of skeletal muscle in aging mice. Int. J. Sports Med. 2021, 42, 464–477. [Google Scholar] [CrossRef]
- Reijne, A.C.; Ciapaite, J.; van Dijk, T.H.; Havinga, R.; van der Zee, E.A.; Groen, A.K.; Reijngoud, D.J.; Bakker, B.M.; van Dijk, G. Whole-body vibration partially reverses aging-induced increases in visceral adiposity and hepatic lipid storage in mice. PLoS ONE 2016, 11, e0149419. [Google Scholar] [CrossRef] [PubMed]
- de Andrade, B.Z.; Zazula, M.F.; Bittencourt Guimarães, A.T.; Sagae Schneider, S.C.; Boaretto, M.L.; Felicio Poncio, A.C.; Hoff Nunes Maciel, J.I.; de Oliveira, C.M.T.; Costa, R.M.; Flor Bertolini, G.R.; et al. Whole-body vibration promotes lipid mobilization in hypothalamic obesity rat. Tissue Cell 2021, 68, 101456. [Google Scholar] [CrossRef] [PubMed]
- Emerenziani, G.P.; Ferrari, D.; Fittipaldi, S.; Bimonte, V.M.; Marocco, C.; Greco, E.A.; Perroni, F.; Migliaccio, S.; Lenzi, A.; Baldari, C.; et al. Effects of acute whole-body vibration practice on maximal fat oxidation in adult obese males: A pilot study. Obes. Facts. 2020, 13, 117–129. [Google Scholar] [CrossRef] [PubMed]
- Tamini, S.; De Micheli, R.; Tringali, G.; Bernardo-Filho, M.; Sartorio, A. Acute effects of whole-body vibration exercises at 2 different frequencies versus an aerobic exercise on some cardiovascular, neuromotor and musculoskeletal parameters in adult patients with obesity. Dose Response 2020, 18, 1559325820965005. [Google Scholar] [CrossRef] [PubMed]
- Pan, W.H.; Yeh, W.T. How to define obesity? Evidence-based multiple action points for public awareness, screening, and treatment: An extension of Asian-Pacific recommendations. Asia Pac. J. Clin. Nutr. 2008, 17, 370–374. [Google Scholar] [PubMed]
- American College of Sports Medicine. Chapter 6 General principles of exercise prescription. In ACSM’s Guidelines for Exercise Testing and Prescription; Deborah, R., Jonathan, K.E., Gary, L., Meir, M., Eds.; Wolters Kluwer Health: Philadelphia, PA, USA, 2018; pp. 143–179. ISBN 9781496339065. [Google Scholar]
- Wasserman, K.; Hansen, J.E.; Sue, D.; Whipp, B.J.; Casaburi, R. Principles of Exercise Testing and Interpretation, 4th ed.; Lippincott Williams & Wilkins: Philadelphia, PA, USA, 2004; ISBN 7-7817-4876-3. [Google Scholar]
- Péronnet, F.; Massicotte, D. Table of nonprotein respiratory quotient: An update. Can. J. Sport Sci. 1991, 16, 23–29. [Google Scholar] [PubMed]
- Gerlach, Y.; Williams, M.; Coates, A. Weighing up the evidence–a systematic review of measures used for the sensation of breathlessness in obesity. Int. J. Obes. 2013, 37, 341–349. [Google Scholar] [CrossRef]
- Craig, C.L.; Marshall, A.L.; Sjöström, M.; Bauman, A.E.; Booth, M.L.; Ainsworth, B.E.; Pratt, M.; Ekelund, U.; Yngve, A.; Sallis, J.F.; et al. International physical activity questionnaire: 12-country reliability and validity. Med. Sci. Sports Exerc. 2003, 35, 1381–1395. [Google Scholar] [CrossRef]
- Lee, C.D.; Blair, S.N.; Jackson, A.S. Cardiorespiratory fitness, body composition, and all-cause and cardiovascular disease mortality in men. Am. J. Clin. Nutr. 1999, 69, 373–380. [Google Scholar] [CrossRef]
- Wolfe, R.R.; Klein, S.; Carraro, F.; Weber, J.M. Role of triglyceride-fatty acid cycle in controlling fat metabolism in humans during and after exercise. Am. J. Physiol. 1990, 258, E382–E389. [Google Scholar] [CrossRef]
- Calles-Escandón, J.; Poehlman, E.T. Aging, fat oxidation and exercise. Aging Clin. Exp. Res. 1997, 9, 57–63. [Google Scholar] [CrossRef] [PubMed]
- Solomon, T.P.; Marchetti, C.M.; Krishnan, R.K.; Gonzalez, F.; Kirwan, J.P. Effects of aging on basal fat oxidation in obese humans. Metabolism 2008, 57, 1141–1147. [Google Scholar] [CrossRef] [PubMed]
- Wakeling, J.M.; Nigg, B.M.; Rozitis, A.I. Muscle activity damps the soft tissue resonance that occurs in response to pulsed and continuous vibrations. J. Appl. Physiol. 2002, 93, 1093103. [Google Scholar] [CrossRef] [PubMed]
- Scherr, J.; Wolfarth, B.; Christle, J.W.; Pressler, A.; Wagenpfeil, S.; Halle, M. Associations between Borg’s rating of perceived exertion and physiological measures of exercise intensity. Eur. J. Appl. Physiol. 2013, 113, 147–155. [Google Scholar] [CrossRef]
- Devries, M.C. Sex-based differences in endurance exercise muscle metabolism: Impact on exercise and nutritional strategies to optimize health and performance in women. Exp. Physiol. 2016, 101, 243–249. [Google Scholar] [CrossRef]




| Variables | N = 48 (Mean ± SD) | |
|---|---|---|
| Age (year) | 28.94 ± 11.39 | |
| Sex (males, %) | 27.1 | |
| Weight (kg) | 80.52 ± 19.31 | |
| Height (cm) | 163.10 ± 9.88 | |
| Body-mass index | 30.03 ± 5.58 | |
| Waist circumference (cm) | 91.73 ± 14.99 | |
| Hip circumference (cm) | 111.19 ± 15.17 | |
| Underlying diseases (n, %) | Allergic diseases | 6 (12.50) |
| Treated dyslipidemia | 3 (6.25) | |
| Treated hypothyroidism | 2 (4.17) | |
| Others | 5 (10.42) | |
| Physical activity level (n, %) | Inactive level | 16 (33.33) |
| Minimal active level | 23 (47.92) | |
| High active level | 9 (18.75) |
| Variables | Time (min) | AER | WBV |
|---|---|---|---|
| Fat oxidation (g/min) | |||
| Males aged 20–45 (n = 13) | 0 | 0.77 ± 0.46 | 1.10 ± 0.60 |
| 5 | 0.56 ± 1.52 | 1.21 ± 0.78 | |
| 10 | 1.23 ± 1.89 | 1.04 ± 0.60 | |
| 15 | 1.56 ± 1.38 | 1.34 ± 0.92 | |
| 20 | 1.90 ± 0.80 * | 0.97 ± 0.71 # | |
| 25 | 1.93 ± 0.96 * | 1.49 ± 0.74 | |
| 30 | 2.28 ± 0.75 * | 0.96 ± 0.59 # | |
| Females aged 20–45 (n = 30) | 0 | 0.89 ± 0.42 | 0.83 ± 0.42 |
| 5 | 1.35 ± 1.46 | 1.27 ± 0.46 | |
| 10 | 1.01 ± 0.94 | 1.07 ± 0.34 | |
| 15 | 1.59 ± 0.92 * | 1.35 ± 0.41 * | |
| 20 | 1.68 ± 0.83 * | 1.07 ± 0.39 # | |
| 25 | 1.69 ± 0.71 * | 1.36 ± 0.48 *# | |
| 30 | 1.85 ± 0.64 * | 1.15 ± 0.40 # | |
| Females aged 45–60 (n = 5) | 0 | 0.59 ± 0.28 | 0.95 ± 0.32 |
| 5 | 1.45 ± 0.37 * | 1.23 ± 0.31 | |
| 10 | 0.67 ± 0.65 | 0.64 ± 0.22 | |
| 15 | 1.19 ± 0.78 | 1.12 ± 0.42 | |
| 20 | 1.37 ± 0.55 | 0.71 ± 0.29 # | |
| 25 | 1.54 ± 0.39 * | 1.24 ± 0.30 | |
| 30 | 1.66 ± 0.39 * | 0.92 ± 0.39 # | |
| Triglyceride level (mg/dL) | |||
| Males aged 20–45 (n = 13) | pre | 126.38 ± 70.77 | 143.23 ± 72.15 |
| post | 131.46 ± 64.05 | 129.77 ± 66.35 * | |
| Females aged 20–45 (n = 30) | pre | 89.17 ± 40.36 | 95.50 ± 40.96 |
| post | 90.33 ± 38.87 | 88.97 ± 45.64 * | |
| Females aged 45–60 (n = 5) | pre | 118.0 ± 42.69 | 117.4 ± 57.18 |
| post | 116.0 ± 41.62 | 112.80 ± 53.10 |
Disclaimer/Publisher’s Note: The statements, opinions and data contained in all publications are solely those of the individual author(s) and contributor(s) and not of MDPI and/or the editor(s). MDPI and/or the editor(s) disclaim responsibility for any injury to people or property resulting from any ideas, methods, instructions or products referred to in the content. |
© 2023 by the authors. Licensee MDPI, Basel, Switzerland. This article is an open access article distributed under the terms and conditions of the Creative Commons Attribution (CC BY) license (https://creativecommons.org/licenses/by/4.0/).
Share and Cite
Nantakool, S.; Punturee, K.; Konghakote, S.; Sitthichoke, C.; Phirom, K.; Chuatrakoon, B. Immediate Effects of Aerobic Exercise and Whole-Body Vibration on Fat Oxidation, Lipid Mobilization, and Cardiovascular Response in Individuals with Obesity. J. Clin. Med. 2024, 13, 44. https://doi.org/10.3390/jcm13010044
Nantakool S, Punturee K, Konghakote S, Sitthichoke C, Phirom K, Chuatrakoon B. Immediate Effects of Aerobic Exercise and Whole-Body Vibration on Fat Oxidation, Lipid Mobilization, and Cardiovascular Response in Individuals with Obesity. Journal of Clinical Medicine. 2024; 13(1):44. https://doi.org/10.3390/jcm13010044
Chicago/Turabian StyleNantakool, Sothida, Khanittha Punturee, Supatcha Konghakote, Cattaleeya Sitthichoke, Kochaphan Phirom, and Busaba Chuatrakoon. 2024. "Immediate Effects of Aerobic Exercise and Whole-Body Vibration on Fat Oxidation, Lipid Mobilization, and Cardiovascular Response in Individuals with Obesity" Journal of Clinical Medicine 13, no. 1: 44. https://doi.org/10.3390/jcm13010044
APA StyleNantakool, S., Punturee, K., Konghakote, S., Sitthichoke, C., Phirom, K., & Chuatrakoon, B. (2024). Immediate Effects of Aerobic Exercise and Whole-Body Vibration on Fat Oxidation, Lipid Mobilization, and Cardiovascular Response in Individuals with Obesity. Journal of Clinical Medicine, 13(1), 44. https://doi.org/10.3390/jcm13010044

