Machine Learning Analysis of Gaze Data for Enhanced Precision in Diagnosing Oral Mucosal Diseases
Abstract
:1. Introduction
2. Materials and Methods
2.1. Study Design and Target Selection
2.2. Apparatus Selection
2.3. Methods of Acquiring and Analyzing Gaze Data
2.4. Selection and Classification of Intraoral Photographs
2.5. Visualization of Clinicians’ Diagnostic Evidence Using Gaze Data
2.6. Delineation of the Internal and External Areas of the Lesion
2.7. Statistical Studies on Optimal Screening Methods and Areas of Diagnostic Evidence
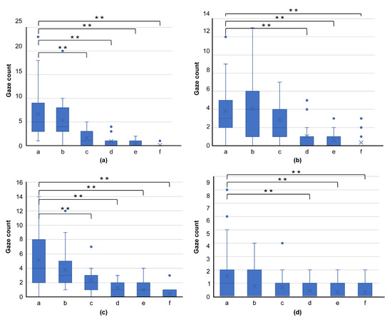
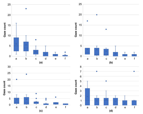
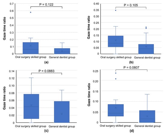
3. Results
3.1. Visualization of Diagnostic Evidence Using Gaze Data
3.2. Statistical Analysis of Optimal Screening Methods and Areas of Diagnostic Evidence
4. Discussion
5. Conclusions
Author Contributions
Funding
Institutional Review Board Statement
Informed Consent Statement
Data Availability Statement
Acknowledgments
Conflicts of Interest
References
- Jemal, A.; Bray, F.; Center, M.M.; Ferlay, J.; Ward, E.; Forman, D. Global cancer statistics. CA Cancer J. Clin. 2011, 61, 69–90. [Google Scholar] [CrossRef] [PubMed]
- Miranda-Filho, A.; Bray, F. Global patterns and trends in cancers of the lip, tongue and mouth. Oral Oncol. 2020, 102, 104551. [Google Scholar] [CrossRef] [PubMed]
- Khalili, J. Oral Cancer and role of general dental practitioners in its early detection. Likars’ka Sprav. 2007, 7, 10–19. [Google Scholar]
- Kujan, O.; Glenny, A.M.; Oliver, R.J.; Thakker, N.; Sloan, P. Screening programmes for the early detection and prevention of oral cancer. Cochrane Database Syst. Rev. 2006, 3, CD004150. [Google Scholar] [CrossRef]
- Mäkinen, L.K.; Hagström, J.; Mäkitie, A.; Atula, T. Cancer of the tongue—Early detection improves the prognosis. Duodecim 2016, 132, 2063–2070. [Google Scholar] [PubMed]
- Montero, P.H.; Patel, S.G. Cancer of the oral cavity. Surg. Oncol. Clin. N. Am. 2015, 24, 491–508. [Google Scholar] [CrossRef] [PubMed]
- Shingaki, M.; Nikkuni, Y.; Katsura, K.; Ikeda, N.; Maruyama, S.; Takagi, R.; Hayashi, T. Clinical significance of intraoral strain elastography for diagnosing early stage tongue carcinoma: A preliminary study. Oral Radiol. 2017, 33, 204–211. [Google Scholar] [CrossRef]
- Sankaranarayanan, R.; Ramadas, K.; Thomas, G.; Muwonge, R.; Thara, S.; Mathew, B.; Rajan, B. Trivandrum Oral Cancer Screening Study Group Effect of screening on oral cancer mortality in Kerala, India: A cluster-randomised controlled trial. Lancet 2005, 365, 1927–1933. [Google Scholar] [CrossRef]
- Noguchi, K.; Saito, I.; Namiki, T.; Yoshimura, Y.; Nakaguchi, T. Reliability of non-contact tongue diagnosis for Sjögren’s syndrome using machine learning method. Sci. Rep. 2023, 13, 1334. [Google Scholar] [CrossRef]
- Taguchi, Y.; Toratani, S.; Matsui, K.; Hayashi, S.; Eboshida, N.; Hamada, A.; Ito, N.; Obayashi, F.; Kimura, N.; Yanamoto, S. Evaluation of oral mucosal lesions using the Illumiscan® Fluorescence visualisation device: Distinguishing squamous cell carcinoma. Int. J. Environ. Res. Public Health 2022, 19, 10414. [Google Scholar] [CrossRef]
- Yang, K.; Cao, Y.A.; Shi, C.; Li, Z.G.; Zhang, F.J.; Yang, J.; Zhao, C. Quantum dot-based visual in vivo imaging for oral squamous cell carcinoma in mice. Oral Oncol. 2010, 46, 864–868. [Google Scholar] [CrossRef] [PubMed]
- Schmidt-Weitmann, S.; Jenny, K.; Neuhaus Bühler, R.; Saller, R.; Brockes, C. Medical online consultation service in CAM at the University Hospital Zurich. Forsch. Komplementmed. 2014, 21, 19–24. [Google Scholar] [CrossRef] [PubMed]
- Chiu, Y.L.; Wang, J.N.; Yu, H.; Hsu, Y.T. Consultation pricing of the online health care service in China: Hierarchical linear regression approach. J. Med. Internet Res. 2021, 23, e29170. [Google Scholar] [CrossRef] [PubMed]
- Henderson, J.M. Human gaze control during real-world scene perception. Trends Cogn. Sci. 2003, 7, 498–504. [Google Scholar] [CrossRef] [PubMed]
- Hamburger, H.; Laming, D.R.J. Information, theory of choice-reaction times. Syst. Res. 1969, 14, 330–333. [Google Scholar] [CrossRef]
- Cortes, C.; Vapnik, V. Support-vector networks. Mach. Learn. 1995, 20, 273–297. [Google Scholar] [CrossRef]
- Kanda, Y. Statistical analysis using freely available “EZR (Easy R)” software. Rinsho Ketsueki. 2015, 56, 2258–2266. [Google Scholar] [CrossRef]
- Bahaziq, A.; Jadu, F.M.; Jan, A.M.; Baghdady, M.; Feteih, R.M. A comparative study of the examination pattern of panoramic radiographs using eye-tracking software. J. Contemp. Dent. Pract. 2019, 20, 1436–1441. [Google Scholar] [CrossRef]
- Fujii, C.; Onuma, T.; Nakamura, F.; Tome, W.; Sakai, N.; Sako, N.; Kitai, N. Influence of dental education on eye gaze distribution when observing facial profiles with varying degrees of lip protrusion. J. Dent. Educ. 2021, 85, 476–482. [Google Scholar] [CrossRef]
- Gandomkar, Z.; Mello-Thoms, C. Visual search in breast imaging. Br. J. Radiol. 2019, 92, 20190057. [Google Scholar] [CrossRef]
- Moore, S.R.; Johnson, N.W.; Pierce, A.M.; Wilson, D.F. The epidemiology of tongue cancer: A review of global incidence. Oral Dis. 2000, 6, 75–84. [Google Scholar] [CrossRef] [PubMed]
- Harasymczuk, M.; Gooding, W.; Kruk-Zagajewska, A.; Wojtowicz, J.; Dworacki, G.; Tomczak, H.; Szyfter, W.; Whiteside, T.L. Head and neck squamous carcinomas with exophytic and endophytic type of growth have the same prognosis after surgery and adjuvant radiotherapy. Eur. Arch. Oto-Rhino-Laryngol. 2013, 270, 1105–1114. [Google Scholar] [CrossRef] [PubMed]
- Sotiriou, C.; Lothaire, P.; Dequanter, D.; Cardoso, F.; Awada, A. Molecular profiling of head and neck tumors. Curr. Opin. Oncol. 2004, 16, 211–214. [Google Scholar] [CrossRef] [PubMed]
- Yilmaz, T.; Hoşal, A.S.; Gedikoğlu, G.; Kaya, S. Prognostic significance of histopathological parameters in cancer of the larynx. Eur. Arch. Otorhinolaryngol. 1999, 256, 139–144. [Google Scholar] [CrossRef] [PubMed]
- Iida, Y.; Kamijo, T.; Kusafuka, K.; Omae, K.; Nishiya, Y.; Hamaguchi, N.; Morita, K.; Onitsuka, T. Depth of invasion in superficial oral tongue carcinoma quantified using intraoral ultrasonography. Laryngoscope 2018, 128, 2778–2782. [Google Scholar] [CrossRef] [PubMed]
- Asakage, T.; Yokose, T.; Mukai, K.; Tsugane, S.; Tsubono, Y.; Asai, M.; Ebihara, S. Tumor thickness predicts cervical metastasis in patients with stage I/II carcinoma of the tongue. Cancer 1998, 82, 1443–1448. [Google Scholar] [CrossRef]
- Capote-Moreno, A.; Naval, L.; Muñoz-Guerra, M.F.; Sastre, J.; Rodríguez-Campo, F.J. Prognostic factors influencing contralateral neck lymph node metastases in oral and oropharyngeal carcinoma. J. Oral Maxillofac. Surg. 2010, 68, 268–275. [Google Scholar] [CrossRef]
- Kirita, T.; Okabe, S.; Izumo, T.; Sugimura, M. Risk factors for the postoperative local recurrence of tongue carcinoma. J. Oral Maxillofac. Surg. 1994, 52, 149–154. [Google Scholar] [CrossRef]
- Po Wing Yuen, A.; Lam, K.Y.; Lam, L.K.; Ho, C.M.; Wong, A.; Chow, T.L.; Yuen, W.F.; Wei, W.I. Prognostic factors of clinically stage I and II oral tongue carcinoma—A comparative study of stage, thickness, shape, growth pattern, invasive front malignancy grading, Martinez-Gimeno score, and pathologic features. Head Neck 2002, 24, 513–520. [Google Scholar] [CrossRef]
- Spiro, R.H.; Guillamondegui, O., Jr.; Paulino, A.F.; Huvos, A.G. Pattern of invasion and margin assessment in patients with oral tongue cancer. Head Neck 1999, 21, 408–413. [Google Scholar] [CrossRef]
- Fedele, S.; Lo Russo, L.; Mignogna, C.; Staibano, S.; Porter, S.R.; Mignogna, M.D. Macroscopic classification of superficial neoplastic lesions of the oral mucosa: A preliminary study. Eur. J. Surg. Oncol. 2008, 34, 100–106. [Google Scholar] [CrossRef] [PubMed]
- Mignogna, M.D.; Fedele, S.; Lo Russo, L. Dysplasia/neoplasia surveillance in oral lichen planus patients: A description of clinical criteria adopted at a single centre and their impact on prognosis. Oral Oncol. 2006, 42, 819–824. [Google Scholar] [CrossRef] [PubMed]











| Male | Female | Total | ||
|---|---|---|---|---|
| Experience | (i) Resident dentist | 11 | 5 | 16 |
| (ii) 2–7 years | 26 | 16 | 42 | |
| (iii) 8–15 years | 7 | 4 | 11 | |
| (iv) ≥16 years | 5 | 4 | 9 | |
| Area of expertise | (i) Initial training group | 11 | 5 | 16 |
| (ii) Young oral surgery group (<7 years of clinical experience) | 18 | 8 | 26 | |
| (iii) Skilled oral surgery group (minimum 8 years of clinical experience) | 8 | 5 | 13 | |
| (iv) General dentist group (nonoral surgery specialty) | 12 | 11 | 23 |
Disclaimer/Publisher’s Note: The statements, opinions and data contained in all publications are solely those of the individual author(s) and contributor(s) and not of MDPI and/or the editor(s). MDPI and/or the editor(s) disclaim responsibility for any injury to people or property resulting from any ideas, methods, instructions or products referred to in the content. |
© 2023 by the authors. Licensee MDPI, Basel, Switzerland. This article is an open access article distributed under the terms and conditions of the Creative Commons Attribution (CC BY) license (https://creativecommons.org/licenses/by/4.0/).
Share and Cite
Uchida, S.; Hiraoka, S.-i.; Kawamura, K.; Sakamoto, K.; Akiyama, R.; Tanaka, S. Machine Learning Analysis of Gaze Data for Enhanced Precision in Diagnosing Oral Mucosal Diseases. J. Clin. Med. 2024, 13, 136. https://doi.org/10.3390/jcm13010136
Uchida S, Hiraoka S-i, Kawamura K, Sakamoto K, Akiyama R, Tanaka S. Machine Learning Analysis of Gaze Data for Enhanced Precision in Diagnosing Oral Mucosal Diseases. Journal of Clinical Medicine. 2024; 13(1):136. https://doi.org/10.3390/jcm13010136
Chicago/Turabian StyleUchida, Shuji, Shin-ichiro Hiraoka, Kohei Kawamura, Katsuya Sakamoto, Ryo Akiyama, and Susumu Tanaka. 2024. "Machine Learning Analysis of Gaze Data for Enhanced Precision in Diagnosing Oral Mucosal Diseases" Journal of Clinical Medicine 13, no. 1: 136. https://doi.org/10.3390/jcm13010136
APA StyleUchida, S., Hiraoka, S.-i., Kawamura, K., Sakamoto, K., Akiyama, R., & Tanaka, S. (2024). Machine Learning Analysis of Gaze Data for Enhanced Precision in Diagnosing Oral Mucosal Diseases. Journal of Clinical Medicine, 13(1), 136. https://doi.org/10.3390/jcm13010136

