Prevalence and Risk Factors of Abdominal Aortic Aneurysms Detected with Ultrasound in Korea and Belgium
Abstract
1. Introduction
2. Materials and Methods
2.1. Study Cohorts
2.2. Definitions
2.3. Ultrasound Examination Procedure
2.4. Statistics
3. Results
3.1. Characteristics of Study Cohorts
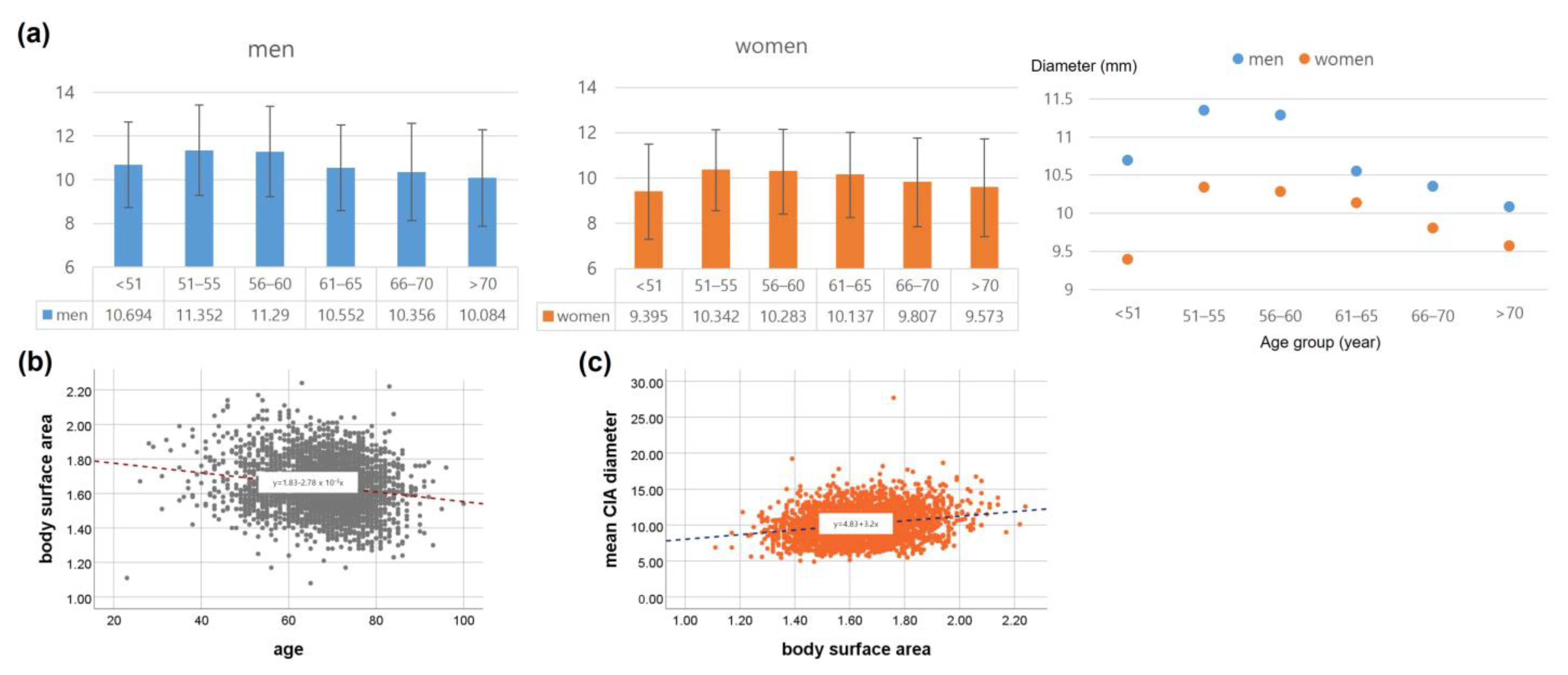
3.2. Diameters
3.3. Prevalence of AAAs and Risk Factors for AAAs
3.4. Comparisons with the Belgian Population
4. Discussion
5. Conclusions
Author Contributions
Funding
Institutional Review Board Statement
Informed Consent Statement
Data Availability Statement
Conflicts of Interest
References
- Chaikof, E.L.; Dalman, R.L.; Eskandari, M.K.; Jackson, B.M.; Lee, W.A.; Mansour, M.A.; Mastracci, T.M.; Mell, M.; Murad, M.H.; Nguyen, L.L.; et al. The Society for Vascular Surgery practice guidelines on the care of patients with an abdominal aortic aneurysm. J. Vasc. Surg. 2018, 67, 2–77.e2. [Google Scholar] [CrossRef] [PubMed]
- Wanhainen, A.; Verzini, F.; Van Herzeele, I.; Allaire, E.; Bown, M.; Cohnert, T.; Dick, F.; van Herwaarden, J.; Karkos, C.; Koelemay, M.; et al. Editor’s Choice—European Society for Vascular Surgery (ESVS) 2019 Clinical Practice Guidelines on the Management of Abdominal Aorto-iliac Artery Aneurysms. Eur. J. Vasc. Endovasc. Surg. 2019, 57, 8–93. [Google Scholar] [CrossRef] [PubMed]
- Ali, M.U.; Fitzpatrick-Lewis, D.; Kenny, M.; Miller, J.; Raina, P.; Sherifali, D. A systematic review of short-term vs long-term effectiveness of one-time abdominal aortic aneurysm screening in men with ultrasound. J. Vasc. Surg. 2018, 68, 612–623. [Google Scholar] [CrossRef] [PubMed]
- Svensjo, S.; Mani, K.; Bjorck, M.; Lundkvist, J.; Wanhainen, A. Screening for abdominal aortic aneurysm in 65-year-old men remains cost-effective with contemporary epidemiology and management. Eur. J. Vasc. Endovasc. Surg. 2014, 47, 357–365. [Google Scholar] [CrossRef] [PubMed]
- Oliver-Williams, C.; Sweeting, M.J.; Turton, G.; Parkin, D.; Cooper, D.; Rodd, C.; Thompson, S.G.; Earnshaw, J.J. Lessons learned about prevalence and growth rates of abdominal aortic aneurysms from a 25-year ultrasound population screening programme. Br. J. Surg. 2018, 105, 68–74. [Google Scholar] [CrossRef]
- Benson, R.A.; Meecham, L.; Fisher, O.; Loftus, I.M. Ultrasound screening for abdominal aortic aneurysm: Current practice, challenges and controversies. Br. J. Radiol. 2018, 91, 20170306. [Google Scholar] [CrossRef]
- Joh, J.H.; Ahn, H.J.; Park, H.C. Reference diameters of the abdominal aorta and iliac arteries in the Korean population. Yonsei Med. J. 2013, 54, 48–54. [Google Scholar] [CrossRef]
- Han, S.A.; Joh, J.H.; Park, H.C. Risk Factors for Abdominal Aortic Aneurysm in the Korean Population. Ann. Vasc. Surg. 2017, 41, 135–140. [Google Scholar] [CrossRef]
- Wanhainen, A.; Hultgren, R.; Linné, A.; Holst, J.; Gottsäter, A.; Langenskiöld, M.; Smidfelt, K.; Björck, M.; Svensjö, S. Outcome of the Swedish Nationwide Abdominal Aortic Aneurysm Screening Program. Circulation 2016, 134, 1141–1148. [Google Scholar] [CrossRef] [PubMed]
- Starck, J.; Aaltonen, H.L.; Björses, K.; Lundgren, F.; Gottsäter, A.; Sonesson, B.; Holst, J. A significant correlation between body surface area and infrarenal aortic diameter is detected in a large screening population with possibly clinical implications. Int. Angiol. 2019, 38, 395–401. [Google Scholar] [CrossRef]
- Lo, R.C.; Lu, B.; Fokkema, M.T.; Conrad, M.; Patel, V.I.; Fillinger, M.; Matyal, R.; Schermerhorn, M.L. Relative importance of aneurysm diameter and body size for predicting abdominal aortic aneurysm rupture in men and women. J. Vasc. Surg. 2014, 59, 1209–1216. [Google Scholar] [CrossRef] [PubMed]
- Jones, G.T.; Sandiford, P.; Hill, G.B.; Williams, M.J.A.; Khashram, M.; Tilyard, M.W.; Hammond-Tooke, G.D.; Krysa, J.; van Rij, A.M. Correcting for Body Surface Area Identifies the True Prevalence of Abdominal Aortic Aneurysm in Screened Women. Eur. J. Vasc. Endovasc. Surg. 2019, 57, 221–228. [Google Scholar] [CrossRef] [PubMed]
- Sampson, U.K.; Norman, P.E.; Fowkes, F.G.; Aboyans, V.; Song, Y.; Harrell, F.E., Jr.; Forouzanfar, M.H.; Naghavi, M.; Denenberg, J.O.; McDermott, M.M.; et al. Estimation of global and regional incidence and prevalence of abdominal aortic aneurysms 1990 to 2010. Glob. Heart 2014, 9, 159–170. [Google Scholar] [CrossRef] [PubMed]
- Sakalihasan, N.; Michel, J.B.; Katsargyris, A.; Kuivaniemi, H.; Defraigne, J.O.; Nchimi, A.; Powell, J.T.; Yoshimura, K.; Hultgren, R. Abdominal aortic aneurysms. Nat. Rev. Dis. Prim. 2018, 4, 34. [Google Scholar] [CrossRef] [PubMed]
- Jang, I.Y.; Lee, H.Y.; Lee, E. Geriatrics Fact Sheet in Korea 2018 From National Statistics. Ann. Geriatr. Med. Res. 2019, 23, 50–53. [Google Scholar] [CrossRef] [PubMed]
- Durieux, R.; Van Damme, H.; Labropoulos, N.; Yazici, A.; Legrand, V.; Albert, A.; Defraigne, J.O.; Sakalihasan, N. High prevalence of abdominal aortic aneurysm in patients with three-vessel coronary artery disease. Eur. J. Vasc. Endovasc. Surg. 2014, 47, 273–278. [Google Scholar] [CrossRef]
- Makrygiannis, G.; Labalue, P.; Erpicum, M.; Schlitz, M.; Seidel, L.; El Hachemi, M.; Gangolf, M.; Albert, A.; Defraigne, J.O.; Lindholt, J.S.; et al. Extending Abdominal Aortic Aneurysm Detection to Older Age Groups: Preliminary Results from the Liege Screening Programme. Ann. Vasc. Surg. 2016, 36, 55–63. [Google Scholar] [CrossRef]
- Johnston, K.W.; Rutherford, R.B.; Tilson, M.D.; Shah, D.M.; Hollier, L.; Stanley, J.C. Suggested standards for reporting on arterial aneurysms. Subcommittee on Reporting Standards for Arterial Aneurysms, Ad Hoc Committee on Reporting Standards, Society for Vascular Surgery and North American Chapter, International Society for Cardiovascular Surgery. J. Vasc. Surg. 1991, 13, 452–458. [Google Scholar] [CrossRef]
- Du Bois, D.; Du Bois, E.F. A formula to estimate the approximate surface area if height and weight be known. 1916. Nutrition 1989, 5, 303–311; discussion 312–313. [Google Scholar]
- Chiu, K.W.; Ling, L.; Tripathi, V.; Ahmed, M.; Shrivastava, V. Ultrasound measurement for abdominal aortic aneurysm screening: A direct comparison of the three leading methods. Eur. J. Vasc. Endovasc. Surg. 2014, 47, 367–373. [Google Scholar] [CrossRef]
- Li, K.; Zhang, K.; Li, T.; Zhai, S. Primary results of abdominal aortic aneurysm screening in the at-risk residents in middle China. BMC Cardiovasc. Disord. 2018, 18, 60. [Google Scholar] [CrossRef] [PubMed]
- Association, K.D. Korean Diabetes Fact Sheet 2018 [Internet]. Available online: https://www.diabetes.or.kr/english/resources/file/KDA_fact_sheet_2018.pdf (accessed on 4 November 2022).
- Chaikof, E.L.; Brewster, D.C.; Dalman, R.L.; Makaroun, M.S.; Illig, K.A.; Sicard, G.A.; Timaran, C.H.; Upchurch, G.R., Jr.; Veith, F.J. SVS practice guidelines for the care of patients with an abdominal aortic aneurysm: Executive summary. J. Vasc. Surg. 2009, 50, 880–896. [Google Scholar] [CrossRef] [PubMed]
- Radak, D.; Tanaskovic, S.; Katsiki, N.; Isenovic, E.R. Protective Role of Diabetes Mellitus on Abdominal Aortic Aneurysm Pathogenesis: Myth or Reality? Curr. Vasc. Pharmacol. 2016, 14, 196–200. [Google Scholar] [CrossRef] [PubMed]
- Moon, H.J.; Lim, J.-E.; Jee, S.H. Association between serum concentrations of persistent organic pollutants and smoking in Koreans: A cross-sectional study. J. Epidemiol. 2017, 27, 63–68. [Google Scholar] [CrossRef]
- Fleming, C.; Whitlock, E.P.; Beil, T.L.; Lederle, F.A. Screening for abdominal aortic aneurysm: A best-evidence systematic review for the U.S. Preventive Services Task Force. Ann. Intern. Med. 2005, 142, 203–211. [Google Scholar] [CrossRef]
- Guirguis-Blake, J.M.; Beil, T.L.; Senger, C.A.; Whitlock, E.P. Ultrasonography screening for abdominal aortic aneurysms: A systematic evidence review for the U.S. Preventive Services Task Force. Ann. Intern. Med. 2014, 160, 321–329. [Google Scholar] [CrossRef]
- Lagha, E.; Duncan, J.; Tan, L.; Robless, P. Comparison of aortic diameter in Asian vs. Caucasian AAA patients: Considerations for aneurysm sizing and intervention. In Proceedings of the Aortic Asia 2014, Macau, China, 25–26 April 2014. [Google Scholar]
- Rozado, J.; Martin, M.; Pascual, I.; Hernandez-Vaquero, D.; Moris, C. Comparing American, European and Asian practice guidelines for aortic diseases. J. Thorac. Dis. 2017, 9, S551–S560. [Google Scholar] [CrossRef]
- Laughlin, G.A.; Allison, M.A.; Jensky, N.E.; Aboyans, V.; Wong, N.D.; Detrano, R.; Criqui, M.H. Abdominal aortic diameter and vascular atherosclerosis: The Multi-Ethnic Study of Atherosclerosis. Eur. J. Vasc. Endovasc. Surg. 2011, 41, 481–487. [Google Scholar] [CrossRef]





| Korean | Belgium | p | ||
|---|---|---|---|---|
| N | 3124 | 2487 | ||
| Age | 69 (61–75) | 72.4 (66.3–78.2) | <0.001 | |
| BMI | 24.1 (23.3–26.0) | 25.8 (23.5–28.4) | <0.001 | |
| BSA | 1.63 (1.53–1.75) | 1.87 (1.15–2.94) | <0.001 | |
| Hypertension | 617 (19.8) | 1516 (61.0) | <0.001 | |
| DM | 1518 (48.6) | 522 (21.0) | <0.001 | |
| Hyperlipidemia | 1559 (49.9) | 1469 (59.1) | <0.001 | |
| CVD | 806 (25.8) | 785 (31.5) | <0.001 | |
| Pulmonary disease | 2 (0.1) | 204 (8.2) | <0.001 | |
| Cerebrovascular disease | 290 (9.3) | 175 (7.0) | 0.002 | |
| CKD | 70 (2.2) | 159 (6.4) | <0.001 | |
| Smoking | Current smoker | 364 (14.6) | 283 (20.9) | <0.001 |
| Ex-smoker | 1028 (41.3) | 196 (14.4) | ||
| Prevalence of abdominal aortic aneurysms in men | |||
| Korean, n = 1357 | Belgian, n = 1068 | ||
| Abdominal aortic aneurysm | 21 (1.5) | 45 (4.2) | |
| Aortic size index ≥ 1.5 | 32 (2.4) | 39 (3.7) | |
| Age | ≤65 years | 1 (0.1) | 1 (0.1) |
| >65 years | 20 (1.5) | 44 (4.1) | |
| Diabetes | 12 (0.9) | 9 (0.8) | |
| Prevalence of abdominal aortic aneurysms in women | |||
| Korean, n = 1767 | Belgian, n = 502 | ||
| Abdominal aortic aneurysm | 1 (0.1) | 6 (1.2) | |
| Aortic size index ≥ 1.5 | 23 (1.2) | 6 (1.2) | |
| Age | ≤65 years | 1 (0.1) | 0 |
| >65 years | 0 | 6 (1.2) | |
| Diabetes | 1 (0.1) | 1 (0.2) | |
| Prevalence of iliac aneurysms in the Korean cohort | |||
| Men, n = 1343 | Women, n = 1747 | ||
| Iliac aneurysm | 12 (0.9) | 42 (2.4) | |
| Age | ≤65 years | 5 (0.4) | 16 (0.9) |
| >65 years | 7 (0.5) | 26 (1.5) | |
| Right | 7 (0.5) | 26 (1.5) | |
| Left | 7 (0.5) | 24 (1.4) | |
| Bilateral | 2 (0.1) | 9 (0.5) | |
| Unadjusted | Adjusted | |||||
|---|---|---|---|---|---|---|
| n = 22 | Number (%) | OR (95% CI) | p * | Adjusted OR (95% CI) | p | |
| Sex | Women † | 1 (4.5) | 0.036 (0.051–0.268) | 0.001 | 0.158 (0.015–1.685) | 0.126 |
| Men | 21 (95.5) | |||||
| Age † | 74.5 (70.75–80.25 **) | 1.102 (1.044–1.163) | <0.001 | 1.096 (1.037–1.159) | 0.001 | |
| BMI | 24.5 (21.17–26.74 **) | 0.875 | ||||
| Hypertension | 4 (18.2) | 0.853 | ||||
| Diabetes | 13 (59.1) | 0.291 | ||||
| Cerebrovascular disease | 5 (22.7) | 2.907 (1.065–7.938) | 0.037 | |||
| Chronic kidney disease † | 3 (13.6) | 7.152 (2.067–24.752) | 0.002 | 6.135 (1.694–22.227) | 0.006 | |
| Smoking history † | 20 (90.9) | 19.018 (4.437–81.517) | <0.001 | 5.874 (1.054–32.733) | 0.043 | |
| Linear Regression | Multilinear Regression | |||
|---|---|---|---|---|
| Variables | Coefficient (95% CI) | p * | Coefficient (95% CI) | p |
| Female sex | −1.640 (−1.841, −1.438) | <0.001 | −0.724 (−1.032, −0.417) | <0.001 |
| Age | 0.010 (−0.001, 0.021) | 0.001 | 0.058 | |
| BSA * | 5.459 (4.781, 6.137) | <0.001 | 3.444 (2.566, 4.322) | <0.001 |
| Hypertension | 0.889 | |||
| Diabetes | 0.435 (0.219, 0.651) | <0.001 | 0.361 (0.148, 0.573) | 0.001 |
| Hyperlipidemia | 0.406 (0.195, 0.617) | <0.001 | 0.073 | |
| Coronary artery disease | 0.361 (0.120, 0.602) | 0.003 | 0.409 (0.165, 0.654) | 0.001 |
| Smoking history | 1.429 (1.212, 1.645) | <0.001 | 0.051 | |
| Alcohol | 1.263 (1.048, 1.478) | <0.001 | 0.424 (0.153, 0.696) | 0.002 |
Disclaimer/Publisher’s Note: The statements, opinions and data contained in all publications are solely those of the individual author(s) and contributor(s) and not of MDPI and/or the editor(s). MDPI and/or the editor(s) disclaim responsibility for any injury to people or property resulting from any ideas, methods, instructions or products referred to in the content. |
© 2023 by the authors. Licensee MDPI, Basel, Switzerland. This article is an open access article distributed under the terms and conditions of the Creative Commons Attribution (CC BY) license (https://creativecommons.org/licenses/by/4.0/).
Share and Cite
Kim, H.; Cho, S.; Sakalihasan, N.; Hultgren, R.; Joh, J.H. Prevalence and Risk Factors of Abdominal Aortic Aneurysms Detected with Ultrasound in Korea and Belgium. J. Clin. Med. 2023, 12, 484. https://doi.org/10.3390/jcm12020484
Kim H, Cho S, Sakalihasan N, Hultgren R, Joh JH. Prevalence and Risk Factors of Abdominal Aortic Aneurysms Detected with Ultrasound in Korea and Belgium. Journal of Clinical Medicine. 2023; 12(2):484. https://doi.org/10.3390/jcm12020484
Chicago/Turabian StyleKim, Hyangkyoung, Sungsin Cho, Natzi Sakalihasan, Rebecka Hultgren, and Jin Hyun Joh. 2023. "Prevalence and Risk Factors of Abdominal Aortic Aneurysms Detected with Ultrasound in Korea and Belgium" Journal of Clinical Medicine 12, no. 2: 484. https://doi.org/10.3390/jcm12020484
APA StyleKim, H., Cho, S., Sakalihasan, N., Hultgren, R., & Joh, J. H. (2023). Prevalence and Risk Factors of Abdominal Aortic Aneurysms Detected with Ultrasound in Korea and Belgium. Journal of Clinical Medicine, 12(2), 484. https://doi.org/10.3390/jcm12020484

