Mixed Endometrial Epithelial Carcinoma: Epidemiology, Treatment and Survival Rates—A 10-Year Retrospective Cohort Study from a Single Institution
Abstract
:1. Introduction
2. Materials and Methods
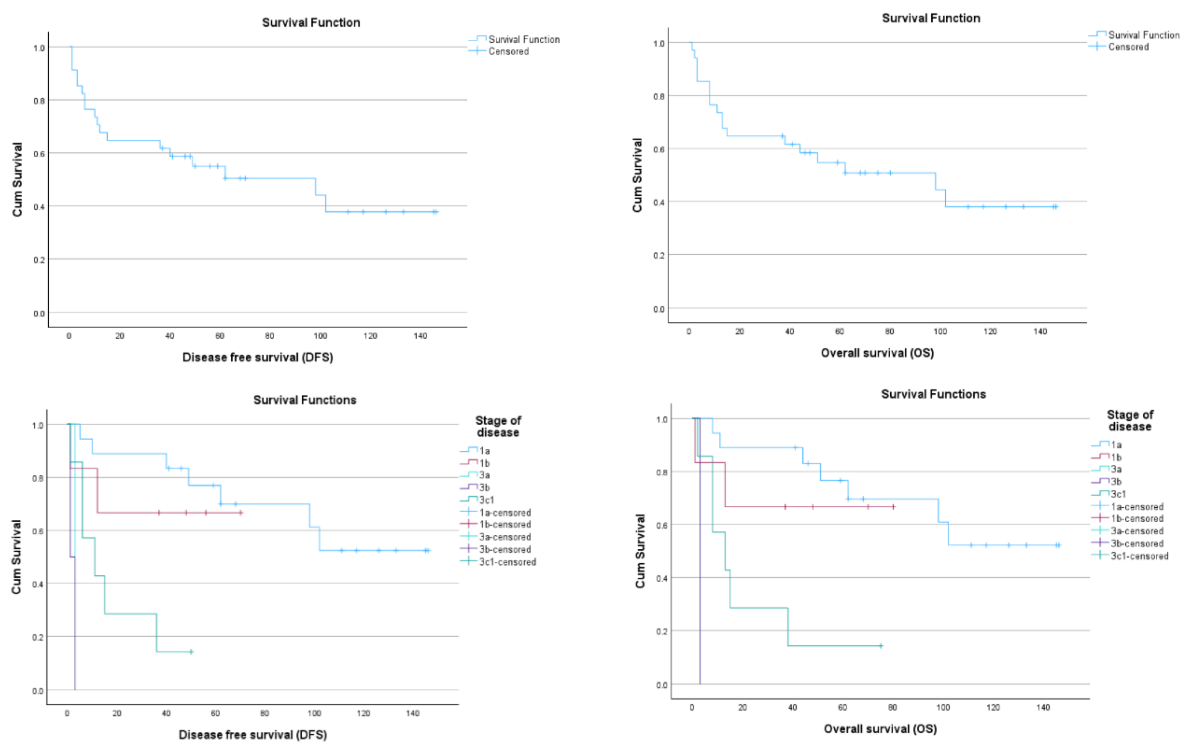
3. Results
4. Discussion
Author Contributions
Funding
Institutional Review Board Statement
Informed Consent Statement
Data Availability Statement
Acknowledgments
Conflicts of Interest
References
- Crosbie, E.J.; Kitson, S.J.; McAlpine, J.N.; Mukhopadhyay, A.; Powell, M.E.; Singh, N. Endometrial cancer. Lancet 2022, 399, 1412–1428. [Google Scholar] [CrossRef]
- Sung, H.; Ferlay, J.; Siegel, R.L.; Laversanne, M.; Soerjomataram, I.; Jemal, A.; Bray, F. Global Cancer Statistics 2020: GLOBOCAN Estimates of Incidence and Mortality Worldwide for 36 Cancers in 185 Countries. CA A Cancer J. Clin. 2021, 71, 209–249. [Google Scholar] [CrossRef] [PubMed]
- WHO. WHO Classification of Tumours: Female Genital Tumours; WHO: Geneva, Switzerland, 2020. [Google Scholar]
- Masood, M.; Singh, N. Endometrial carcinoma: Changes to classification (WHO 2020). Diagn. Histopathol. 2021, 27, 493–499. [Google Scholar] [CrossRef]
- Concin, N.; Creutzberg, C.L.; Vergote, I.; Cibula, D.; Mirza, M.R.; Marnitz, S.; Ledermann, J.A.; Bosse, T.; Chargari, C.; Fagotti, A.; et al. ESGO/ESTRO/ESP Guidelines for the management of patients with endometrial carcinoma. Virchows Arch. 2021, 478, 153–190. [Google Scholar] [CrossRef]
- Murali, R.; Davidson, B.; Fadare, O.; Carlson, J.A.; Crum, C.P.; Gilks, C.B.; Irving, J.A.; Malpica, A.; Matias-Guiu, X.; McCluggage, W.G.; et al. High-grade Endometrial Carcinomas: Morphologic and Immunohistochemical Features, Diagnostic Challenges and Recommendations. Int. J. Gynecol. Pathol. 2019, 38 (Suppl. 1), S40–S63. [Google Scholar] [CrossRef] [PubMed]
- Gilks, C.B.; Oliva, E.; Soslow, R.A. Poor interobserver reproducibility in the diagnosis of high-grade endometrial carcinoma. Am. J. Surg. Pathol. 2013, 37, 874–881. [Google Scholar] [CrossRef] [PubMed]
- Morotti, M.; Soleymani Majd, H.; Casarin, J.; Alazzam, M.; Damato, S. Histomolecular features of high-grade endometrial cancers. Minerva Med. 2021, 112, 20–30. [Google Scholar] [CrossRef] [PubMed]
- Santoro, A.; Angelico, G.; Travaglino, A.; Inzani, F.; Arciuolo, D.; Valente, M.; D’Alessandris, N.; Scaglione, G.; Fiorentino, V.; Raffone, A.; et al. New Pathological and Clinical Insights in Endometrial Cancer in View of the Updated ESGO/ESTRO/ESP Guidelines. Cancers 2021, 13, 2623. [Google Scholar] [CrossRef]
- Soleymani majd, H.; Ferrari, F.; Gubbala, K.; Campanile, R.G.; Tozzi, R. Latest developments and techniques in gynaecological oncology surgery. Curr. Opin. Obstet. Gynecol. 2015, 27, 291–296. [Google Scholar] [CrossRef]
- Hagemann, I.S.; Deng, W.; Zaino, R.J.; Powell, M.A.; Gunderson, C.; Cosgrove, C.; Mathews, C.; Pearl, M.L.; Waggoner, S.; Ghebre, R.; et al. The presence of an endometrioid component does not alter the clinicopathologic profile or survival of patients with uterine serous cancer: A gynecologic oncology group (GOG/NRG) study of 934 women. Gynecol. Oncol. 2021, 160, 660–668. [Google Scholar] [CrossRef]
- Köbel, M.; Tessier-Cloutier, B.; Leo, J.; Hoang, L.N.; Gilks, C.B.; Soslow, R.A.; Delair, D.; Stewart, C.J.R.; Lee, C.-H. Frequent Mismatch Repair Protein Deficiency in Mixed Endometrioid and Clear Cell Carcinoma of the Endometrium. Int. J. Gynecol. Pathol. 2017, 36, 555–561. [Google Scholar] [CrossRef] [PubMed]
- Li, W.; Li, L.; Wu, M.; Lang, J.; Bi, Y. The Prognosis of Stage IA Mixed Endometrial Carcinoma: A Retrospective Cohort Study. Am. J. Clin. Pathol. 2019, 152, 616–624. [Google Scholar] [CrossRef]
- Rabban, J.T.; Gilks, C.B.; Malpica, A.; Matias-Guiu, X.; Mittal, K.; Mutter, G.L.; Oliva, E.; Parkash, V.; Ronnett, B.M.; Staats, P.; et al. Issues in the Differential Diagnosis of Uterine Low-grade Endometrioid Carcinoma, Including Mixed Endometrial Carcinomas: Recommendations from the International Society of Gynecological Pathologists. Int. J. Gynecol. Pathol. 2019, 38 (Suppl. 1), S25–S39. [Google Scholar] [CrossRef]
- Casarin, J.; Bogani, G.; Piovano, E.; Falcone, F.; Ferrari, F.; Odicino, F.; Puppo, A.; Bonfiglio, F.; Donadello, N.; Pinelli, C.; et al. Survival implication of lymphadenectomy in patients surgically treated for apparent early-stage uterine serous carcinoma. J. Gynecol. Oncol. 2020, 31, e64. [Google Scholar] [CrossRef] [PubMed]
- Quddus, M.R.; Sung, C.J.; Zhang, C.; Lawrence, W.D. Minor serous and clear cell components adversely affect prognosis in “mixed-type” endometrial carcinomas: A clinicopathologic study of 36 stage-I cases. Reprod. Sci. 2010, 17, 673–678. [Google Scholar] [CrossRef]
- Bogani, G.; Scambia, G.; Cimmino, C.; Fanfani, F.; Costantini, B.; Loverro, M.; Ferrandina, G.; Landoni, F.; Bazzurini, L.; Grassi, T.; et al. Characteristics and patterns of care of endometrial cancer before and during COVID-19 pandemic. J. Gynecol. Oncol. 2022, 33, e10. [Google Scholar] [CrossRef]
- Benchimol, E.I.; Smeeth, L.; Guttmann, A.; Harron, K.; Moher, D.; Petersen, I.; Sørensen, H.T.; von Elm, E.; Langan, S.M.; Committee, R.W. The REporting of studies Conducted using Observational Routinely-collected health Data (RECORD) Statement. PLOS Med. 2015, 12, e1001885. [Google Scholar] [CrossRef]
- Ferrari, F.; Forte, S.; Arrigoni, G.; Ardighieri, L.; Coppola, M.C.; Salinaro, F.; Barra, F.; Sartori, E.; Odicino, F. Impact of endometrial sampling technique and biopsy volume on the diagnostic accuracy of endometrial cancer. Transl. Cancer Res. 2020, 9, 7697–7705. [Google Scholar] [CrossRef]
- Dindo, D.; Demartines, N.; Clavien, P.-A. Classification of Surgical Complications. Ann. Surg. 2004, 240, 205–213. [Google Scholar] [CrossRef] [PubMed]
- Liang, S.; Zhang, Y. Clinical pathological characteristics and survival of high-grade endometrioid carcinoma. J. Obs. Gynaecol. Res. 2021, 47, 3644–3651. [Google Scholar] [CrossRef]
- Rossi, E.D.; Bizzarro, T.; Monterossi, G.; Inzani, F.; Fanfani, F.; Scambia, G.; Zannoni, G.F. Clinicopathological analysis of mixed endometrial carcinomas: Clinical relevance of different neoplastic components. Hum. Pathol. 2017, 62, 99–107. [Google Scholar] [CrossRef]
- Galaal, K.; Donkers, H.; Bryant, A.; Lopes, A.D. Laparoscopy versus laparotomy for the management of early stage endometrial cancer. Cochrane Database Syst. Rev. 2018, 10, CD006655. [Google Scholar] [CrossRef] [PubMed]
- Zouridis, A.; Kehoe, S.T.; Soleymani Majd, H. Should laparoscopy be revisited in the management of stage II endometrial cancer in the post-LACC era? Minerva Obs. Gynecol. 2023. [Google Scholar] [CrossRef] [PubMed]
- Odetto, D.; Valzacchi, G.M.R.; Ostojich, M.; Alessandria, S.; Darin, M.C.; Tapper, K.; Rita Amato, A.; Luis Bianchi, F.; Lopresti, E.F.; Cabrera, L.S.; et al. Minimally invasive surgery versus laparotomy in women with high risk endometrial cancer: A multi-center study performed in Argentina. Gynecol. Oncol. Rep. 2023, 46, 101147. [Google Scholar] [CrossRef]
- Zhou, X.; Wei, S.; Shao, Q.; Zhang, J.; Zhao, R.; Shi, R.; Zhang, W.; Dong, K.; Shu, W.; Wang, H. Laparoscopic vs. open procedure for intermediate- and high-risk endometrial cancer: A minimum 4-year follow-up analysis. BMC Cancer 2022, 22, 1203. [Google Scholar] [CrossRef]
- Padilla-Iserte, P.; Lago, V.; Tauste, C.; Díaz-Feijoo, B.; Gil-Moreno, A.; Oliver, R.; Coronado, P.; Martín-Salamanca, M.B.; Pantoja-Garrido, M.; Marcos-Sanmartin, J.; et al. Impact of uterine manipulator on oncological outcome in endometrial cancer surgery. Am. J. Obs. Gynecol. 2021, 224, 65.e1–65.e11. [Google Scholar] [CrossRef]
- Zouridis, A.; Zarrindej, K.; Rencher, J.; Pappa, C.; Kashif, A.; Smyth, S.L.; Sadeghi, N.; Sattar, A.; Damato, S.; Ferrari, F.; et al. The Prognostic Characteristics and Recurrence Patterns of High Grade Endometrioid Endometrial Cancer: A Large Retrospective Analysis of a Tertiary Center. J. Clin. Med. 2023, 12, 3141. [Google Scholar] [CrossRef]
- Chan, J.K.; Cheung, M.K.; Huh, W.K.; Osann, K.; Husain, A.; Teng, N.N.; Kapp, D.S. Therapeutic role of lymph node resection in endometrioid corpus cancer: A study of 12,333 patients. Cancer 2006, 107, 1823–1830. [Google Scholar] [CrossRef]
- Fotopoulou, C.; El-Balat, A.; du Bois, A.; Sehouli, J.; Harter, P.; Muallem, M.Z.; Krätschell, R.W.; Traut, A.; Heitz, F. Systematic pelvic and paraaortic lymphadenectomy in early high-risk or advanced endometrial cancer. Arch. Gynecol. Obs. 2015, 292, 1321–1327. [Google Scholar] [CrossRef]
- Emons, G.; Kim, J.-W.; Weide, K.; de Gregorio, N.; Wimberger, P.; Trillsch, F.; Gabriel, B.; Denschlag, D.; Kommoss, S.; Aydogdu, M.; et al. Endometrial Cancer Lymphadenectomy Trial (ECLAT) (pelvic and para-aortic lymphadenectomy in patients with stage I or II endometrial cancer with high risk of recurrence; AGO-OP.6). Int. J. Gynecol. Cancer 2021, 31, 1075–1079. [Google Scholar] [CrossRef]
- Berek, J.S.; Matias-Guiu, X.; Creutzberg, C.; Fotopoulou, C.; Gaffney, D.; Kehoe, S.; Lindemann, K.; Mutch, D.; Concin, N. Endometrial Cancer Staging Subcommittee, FIGO Women’s Cancer Committee FIGO staging of endometrial cancer: 2023. Int. J. Gynaecol. Obs. 2023, 162, 383–394. [Google Scholar] [CrossRef] [PubMed]
- Cancer Genome Atlas Research Network; Kandoth, C.; Schultz, N.; Cherniack, A.D.; Akbani, R.; Liu, Y.; Shen, H.; Robertson, A.G.; Pashtan, I.; Shen, R.; et al. Integrated genomic characterization of endometrial carcinoma. Nature 2013, 497, 67–73. [Google Scholar] [CrossRef] [PubMed]
- Stelloo, E.; Bosse, T.; Nout, R.A.; MacKay, H.J.; Church, D.N.; Nijman, H.W.; Leary, A.; Edmondson, R.J.; Powell, M.E.; Crosbie, E.J.; et al. Refining prognosis and identifying targetable pathways for high-risk endometrial cancer; a TransPORTEC initiative. Mod. Pathol. 2015, 28, 836–844. [Google Scholar] [CrossRef] [PubMed]
- Talhouk, A.; McConechy, M.K.; Leung, S.; Yang, W.; Lum, A.; Senz, J.; Boyd, N.; Pike, J.; Anglesio, M.; Kwon, J.S.; et al. Confirmation of ProMisE: A simple, genomics-based clinical classifier for endometrial cancer. Cancer 2017, 123, 802–813. [Google Scholar] [CrossRef]
- Talhouk, A.; McConechy, M.K.; Leung, S.; Li-Chang, H.H.; Kwon, J.S.; Melnyk, N.; Yang, W.; Senz, J.; Boyd, N.; Karnezis, A.N.; et al. A clinically applicable molecular-based classification for endometrial cancers. Br. J. Cancer 2015, 113, 299–310. [Google Scholar] [CrossRef]
- León-Castillo, A.; de Boer, S.M.; Powell, M.E.; Mileshkin, L.R.; Mackay, H.J.; Leary, A.; Nijman, H.W.; Singh, N.; Pollock, P.M.; Bessette, P.; et al. Molecular Classification of the PORTEC-3 Trial for High-Risk Endometrial Cancer: Impact on Prognosis and Benefit From Adjuvant Therapy. J. Clin. Oncol. 2020, 38, 3388–3397. [Google Scholar] [CrossRef]
- Antill, Y.; Buchanan, D.D.; Scott, C.L. Mismatch repair and clinical response to immune checkpoint inhibitors in endometrial cancer. Cancer 2022, 128, 1157–1161. [Google Scholar] [CrossRef]
- Ardighieri, L.; Palicelli, A.; Ferrari, F.; Bugatti, M.; Drera, E.; Sartori, E.; Odicino, F. Endometrial Carcinomas with Intestinal-Type Metaplasia/Differentiation: Does Mismatch Repair System Defects Matter? Case Report and Systematic Review of the Literature. J. Clin. Med. 2020, 9, 2552. [Google Scholar] [CrossRef]
- Ravaggi, A.; Capoferri, D.; Ardighieri, L.; Ghini, I.; Ferrari, F.; Romani, C.; Bugatti, M.; Zanotti, L.; Vrede, S.; Tognon, G.; et al. Integrated Biomarker Analysis Reveals L1CAM as a Potential Stratification Marker for No Specific Molecular Profile High-Risk Endometrial Carcinoma. Cancers 2022, 14, 5429. [Google Scholar] [CrossRef]
- Shazly, S.A.; Coronado, P.J.; Yılmaz, E.; Melekoglu, R.; Sahin, H.; Giannella, L.; Ciavattini, A.; Carpini, G.D.; Di Giuseppe, J.; Yordanov, A.; et al. Endometrial Cancer Individualized Scoring System (ECISS): A machine learning-based prediction model of endometrial cancer prognosis. Int. J. Gynecol. Obs. 2023, 161, 760–768. [Google Scholar] [CrossRef]
- Spagnol, G.; Noventa, M.; Bonaldo, G.; Marchetti, M.; Vitagliano, A.; Laganà, A.S.; Cavallin, F.; Scioscia, M.; Saccardi, C.; Tozzi, R. Three-dimensional transvaginal ultrasound vs magnetic resonance imaging for preoperative staging of deep myometrial and cervical invasion in patients with endometrial cancer: Systematic review and meta-analysis. Ultrasound Obs. Gynecol. 2022, 60, 604–611. [Google Scholar] [CrossRef] [PubMed]
- Della Corte, L.; Vitale, S.G.; Foreste, V.; Riemma, G.; Ferrari, F.; Noventa, M.; Liberto, A.; De Franciscis, P.; Tesarik, J. Novel diagnostic approaches to intrauterine neoplasm in fertile age: Sonography and hysteroscopy. Minim. Invasive Ther. Allied Technol. 2021, 30, 288–295. [Google Scholar] [CrossRef] [PubMed]
- de Boer, S.M.; Powell, M.E.; Mileshkin, L.; Katsaros, D.; Bessette, P.; Haie-Meder, C.; Ottevanger, P.B.; Ledermann, J.A.; Khaw, P.; D’Amico, R.; et al. Adjuvant chemoradiotherapy versus radiotherapy alone in women with high-risk endometrial cancer (PORTEC-3): Patterns of recurrence and post-hoc survival analysis of a randomised phase 3 trial. Lancet Oncol. 2019, 20, 1273–1285. [Google Scholar] [CrossRef]
- Karpel, H.; Slomovitz, B.; Coleman, R.L.; Pothuri, B. Biomarker-driven therapy in endometrial cancer. Int. J. Gynecol. Cancer 2023, 33, 343. [Google Scholar] [CrossRef]
- Ida, N.; Nakamura, K.; Saijo, M.; Nasu, A.; Yoshino, T.; Masuyama, H.; Yanai, H. DNA mismatch repair deficiency and p53 abnormality are age-related events in mixed endometrial carcinoma with a clear cell component. Pathol. Res. Pract. 2021, 220, 153383. [Google Scholar] [CrossRef] [PubMed]
- Arciuolo, D.; Travaglino, A.; Raffone, A.; Raimondo, D.; Santoro, A.; Russo, D.; Varricchio, S.; Casadio, P.; Inzani, F.; Seracchioli, R.; et al. TCGA Molecular Prognostic Groups of Endometrial Carcinoma: Current Knowledge and Future Perspectives. Int. J. Mol. Sci. 2022, 23, 11684. [Google Scholar] [CrossRef] [PubMed]

| N (%) | Recurrence (N of each Subgroup) | p-Value | Overall Mortality (N of each Subgroup) | p-Value | ||
|---|---|---|---|---|---|---|
| Demographic data | Age | 0.301 | 0.288 | |||
| <65 | 6 (17.6) | 5 | 3 | |||
| ≥65 | 28 (82.4) | 7 | 15 | |||
| BMI | 0.222 | 0.203 | ||||
| <30 | 19 (55.9) | 6 | 10 | |||
| ≥30 | 15 (44.1) | 6 | 8 | |||
| Associated comorbidities | ||||||
| HTN | 4 (11.8) | 1 | 0.854 | 2 | 0.801 | |
| DM | 2 (5.9) | 0 | 0.908 | 0 | 0.902 | |
| COPD | 4 (11.8) | 2 | 0.885 | 2 | 0.813 | |
| Breast cancer | 5 (14.7) | 3 | 0.113 | 2 | 0.071 | |
| Smoke | 4 (11.8) | 2 | 0.801 | 3 | 0.768 | |
| Treatment details | Surgical approach | 0.325 | 0.346 | |||
| Laparoscopy | 27 (79.4) | 9 | 13 | |||
| Laparotomy | 7 (20.6) | 3 | 5 | |||
| Pelvic lymph node dissection | 0.203 | 0.192 | ||||
| No | 7 (20.6) | 3 | 5 | |||
| Yes | 27 (79.4) | 9 | 13 | |||
| Adjuvant treatment | 0.209 | 0.103 | ||||
| No | 6 (17.6) | 1 | 4 | |||
| Yes | 28 (82.4) | 11 | 14 | |||
| Histological features | Histological type | |||||
| E + S | 26 (76.5) | 8 | 0.789 | 12 | 0.586 | |
| S + CC | 5 (14.7) | 3 | 4 | |||
| E + S + CC | 3 (8.8) | 1 | 2 | |||
| FIGO stage | <0.003 | <0.001 | ||||
| IA | 18 (53) | 2 | 7 | |||
| ΙΒ | 6 (17.6) | 1 | 2 | |||
| ΙΙΙA | 1(2.9) | 1 | 1 | |||
| ΙΙΙΒ | 2 (5.9) | 2 | 2 | |||
| ΙΙΙC1 | 7 (20.6) | 6 | 6 | |||
| FIGO stage category | <0.021 | <0.011 | ||||
| Early (I) | 24 (70.6) | 3 | 9 | |||
| Advanced (II–IV) | 10 (29.4) | 9 | 9 | |||
| Depth of myometrial invasion | 0.834 | 0.775 | ||||
| <50% | 23 (67.6) | 5 | 10 | |||
| ≥50% | 11 (32.4) | 7 | 8 | |||
| Cervical stroma involvement | 0.141 | 0.987 | ||||
| No | 30 (88.2) | 9 | 15 | |||
| Yes | 4 (11.8) | 3 | 3 | |||
| Adnexal involvement | 0.178 | 0.137 | ||||
| No | 33 (97.1) | 11 | 17 | |||
| Yes | 1 (2.9) | 1 | 1 | |||
| Serosal breach | 0.500 | 0.514 | ||||
| No | 30 (88.2) | 8 | 14 | |||
| Yes | 4 (11.8) | 4 | 4 | |||
| Parametrial involvement | 0.101 | 0.111 | ||||
| No | 33 (97.1) | 11 | 17 | |||
| Yes | 1 (2.9) | 1 | 1 | |||
| Pelvic lymph node involvement | 0.482 | 0.503 | ||||
| No | 20 (58.8) | 5 | 11 | |||
| Yes | 7 (20.6) | 6 | 6 | |||
| Unknown | 7 (20.6) | 1 | 1 | |||
| Paraaortic lymph node involvement | 0.482 | 0.588 | ||||
| No | 2 (5.9) | 0 | 0 | |||
| Yes | 0 (0) | 0 | 0 | |||
| Unknown | 32 (94.1) | 12 | 18 | |||
| LVSI | 0.063 | 0.057 | ||||
| No | 15 (44.1) | 3 | 6 | |||
| Yes | 19 (55.9) | 9 | 12 | |||
| No. | Histology | Stage | Myometrial Invasion | Cervical Involvement | Adnexal Involvement | Lymph Node Involvement | LVSI | VBT | EBRT | CT | Site of Recurrence | DFS | OS |
|---|---|---|---|---|---|---|---|---|---|---|---|---|---|
| 1 | S + CC | 1B | Yes | No | No | No | No | Yes | Yes | No | Pelvic LN Peritoneal deposits | 12 | 13 |
| 2 | E + S | 1A | No | No | No | No | Yes | No | No | No | Single Vault Recurrence | 40 | 44 |
| 3 | E + S | 3C1 | Yes | No | No | Yes | Yes | No | Yes | Yes | Extrapelvic LN Peritoneal deposits | 6 | 8 |
| 4 | E + S | 1A | No | No | No | No | Yes | Yes | No | No | Pelvic LN | 10 | 11 |
| 5 | E + S + CC | 3A | Yes | No | Yes | No | Yes | No | No | No | Extrapelvic LN Lung Peritoneal deposits | 3 | 3 |
| 6 | E + S | 3C1 | Yes | Yes | No | Yes | Yes | No | Yes | Yes | Extrapelvic LN | 6 | 8 |
| 7 | S + CC | 3B | Yes | Yes | No | No | Yes | No | No | No | Lung | 1 | 3 |
| 8 | S + CC | 3B | Yes | Yes | No | UK | Yes | No | No | No | Extrapelvic LN | 3 | 3 |
| 9 | E + S | 3C1 | No | No | No | Yes | No | No | Yes | Yes | Pelvic LN | 15 | 15 |
| 10 | E + S | 3C1 | No | No | No | Yes | No | No | No | No | Lung | 1 | 2 |
| 11 | E + S | 3C1 | Yes | No | No | Yes | Yes | No | Yes | Yes | Pelvic LN | 36 | 38 |
| 12 | E + S | 3C1 | No | No | No | Yes | Yes | Yes | Yes | Yes | Extrapelvic LN | 11 | 13 |
| Recurrence | Death from Disease | |||
|---|---|---|---|---|
| HR (95% CI) | p-Value | HR (95% CI) | p-Value | |
| AGE | 1.02 (0.99–1.06) | 0.204 | 1.02 (0.99–1.05) | 0.310 |
| BMI | 1.05 (0.88–1.25) | 0.614 | 1.11 (0.96–1.29) | 0.170 |
| Associated comorbidities | ||||
| HTN | 1.04 (0.97–1.12) | 0.291 | 1.02 (0.96–1.08) | 0.605 |
| DM | 1.01 (0.98–1.02) | 0.798 | 1.02 (1.01–1.03) | 0.216 |
| COPD | 1.96 (0.44–8.42) | 0.378 | 5.39 (2.28–11.96) | 0.101 |
| Breast cancer | 2.20 (1.05–8.57) | 0.106 | 2.08 (1.11–10.89) | 0.223 |
| Smoke | 1.85 (0.34–3.01) | 0.646 | 0.85 (0.78–2.11) | 0.104 |
| Surgical approach | ||||
| Laparoscopy | ||||
| Laparotomy | 1.04 (0.97–1.12) | 0.291 | 1.02 (0.96–1.08) | 0.605 |
| Pelvic lymph node dissection | ||||
| No | ||||
| Yes | 0.85 (0.33–2.02) | 0.667 | 0.57 (0.31–1.22) | 0.094 |
| Number of LN removed | 0.97 (0.93–1.01) | 0.149 | 0.96 (0.93–0.99) | 0.142 |
| Adjuvant treatment | ||||
| No | ||||
| Yes | 1.39 (0.53–3.68) | 0.483 | 0.89 (0.41–1.85) | 0.739 |
| Histological type | ||||
| E + S | 2.93 (0.98–10.79) | 0.059 | 3.78 (3.87–12.06) | 0.107 |
| S + CC | 3.11 (1.02–12.13) | 0.057 | 3.648 (1.22–10.89) | 0.123 |
| E + S + CC | 3.62 (1.27–10.34) | 0.066 | 2.33 (0.88–6.15) | 0.088 |
| FIGO stage | ||||
| IA | ||||
| ΙB | 3.00 (0.95–9.50) | 0.062 | 2.40 (0.87–6.65) | 0.091 |
| ΙΙΙA | 4.93 (0.98–24.79) | 0.053 | 10.78 (3.87–30.06) | <0.001 |
| ΙΙΙB | 9.38 (1.08–81.33) | 0.042 | 9.06 (1.91–42.98) | 0.006 |
| IIIC1 | 15.36 (3.00–78.92) | 0.001 | 7.10 (1.48–34.00) | 0.014 |
| FIGO stage category | ||||
| Early (I) | ||||
| Advanced (II-IV) | 5.05 (1.80–14.30) | 0.022 | 3.29 (1.42–9.79) | 0.032 |
| Depth of myometrial invasion | ||||
| <50% | ||||
| ≥50% | 3.64 (1.08–8.90) | 0.151 | 2.82 (1.48–11.40) | 0.202 |
| Cervical stroma involvement | ||||
| No | ||||
| Yes | 2.84 (0.75–12.71) | 0.171 | 3.37 (0.98–11.11) | 0.091 |
| Adnexal involvement | ||||
| No | ||||
| Yes | 2.56 (1.11–8.92) | 0.097 | 2.02 (0.97–4.20) | 0.061 |
| Serosal breach | ||||
| No | ||||
| Yes | 2.15 (1.01–10.54) | 0.264 | 1.89 (1.18–13.60) | 0.305 |
| Parametrial involvement | ||||
| No | ||||
| Yes | 2.88 (1.24–6.70) | 0.064 | 3.20 (1.60–6.42) | 0.081 |
| Pelvic lymph node involvement | ||||
| No | ||||
| Yes | 1.19 (1.02–1.71) | 0.146 | 1.56 (0.77–3.16) | 0.216 |
| Unknown | 2.20 (1.05–3.97) | 0.106 | 1.08 (1.01–3.29) | 0.103 |
| Para-aortic lymph node involvement | ||||
| No | ||||
| Yes | 3.52 (0.46–26.88) | 0.221 | 3.82 (0.91–16.08) | 0.067 |
| Unknown | 2.83 (0.89–8.97) | 0.077 | 1.81 (0.66–5.00) | 0.250 |
| LVSI | ||||
| No | ||||
| Yes | 1.94 (0.80–4.71) | 0.142 | 1.83 (0.920–3.92) | 0.118 |
Disclaimer/Publisher’s Note: The statements, opinions and data contained in all publications are solely those of the individual author(s) and contributor(s) and not of MDPI and/or the editor(s). MDPI and/or the editor(s) disclaim responsibility for any injury to people or property resulting from any ideas, methods, instructions or products referred to in the content. |
© 2023 by the authors. Licensee MDPI, Basel, Switzerland. This article is an open access article distributed under the terms and conditions of the Creative Commons Attribution (CC BY) license (https://creativecommons.org/licenses/by/4.0/).
Share and Cite
Pappa, C.; Le Thanh, V.; Smyth, S.L.; Zouridis, A.; Kashif, A.; Sadeghi, N.; Sattar, A.; Damato, S.; Abdalla, M.; Laganà, A.S.; et al. Mixed Endometrial Epithelial Carcinoma: Epidemiology, Treatment and Survival Rates—A 10-Year Retrospective Cohort Study from a Single Institution. J. Clin. Med. 2023, 12, 6373. https://doi.org/10.3390/jcm12196373
Pappa C, Le Thanh V, Smyth SL, Zouridis A, Kashif A, Sadeghi N, Sattar A, Damato S, Abdalla M, Laganà AS, et al. Mixed Endometrial Epithelial Carcinoma: Epidemiology, Treatment and Survival Rates—A 10-Year Retrospective Cohort Study from a Single Institution. Journal of Clinical Medicine. 2023; 12(19):6373. https://doi.org/10.3390/jcm12196373
Chicago/Turabian StylePappa, Christina, Valentina Le Thanh, Sarah Louise Smyth, Andreas Zouridis, Ammara Kashif, Negin Sadeghi, Alisha Sattar, Stephen Damato, Mostafa Abdalla, Antonio Simone Laganà, and et al. 2023. "Mixed Endometrial Epithelial Carcinoma: Epidemiology, Treatment and Survival Rates—A 10-Year Retrospective Cohort Study from a Single Institution" Journal of Clinical Medicine 12, no. 19: 6373. https://doi.org/10.3390/jcm12196373
APA StylePappa, C., Le Thanh, V., Smyth, S. L., Zouridis, A., Kashif, A., Sadeghi, N., Sattar, A., Damato, S., Abdalla, M., Laganà, A. S., Ferrari, F., Kehoe, S., Addley, S., & Soleymani majd, H. (2023). Mixed Endometrial Epithelial Carcinoma: Epidemiology, Treatment and Survival Rates—A 10-Year Retrospective Cohort Study from a Single Institution. Journal of Clinical Medicine, 12(19), 6373. https://doi.org/10.3390/jcm12196373

