Usefulness of the Veterans Health Administration COVID-19 (VACO) Index for Predicting Short-Term Mortality among Patients of the COLOS Study
Abstract
:1. Introduction
2. Materials and Methods
2.1. Study Design and Population
- –
- Low risk (L) 0–0.292%;
- –
- Medium risk (M) 0.293–8.784%;
- –
- High risk (H) 8.785–20.174%;
- –
- Extreme risk (E) > 20.174% [4].
2.2. Follow-Up and Outcomes
2.3. Statistical Analysis
3. Results
3.1. Demographic Information of the COLOS Population
3.2. Laboratory Assays
| Variables, Units (N) | Lower Risk (L) [0–0.292%] | Moderate Risk (M) [0.293–8.784%] | High Risk (H) [8.785–20.174%] | Extreme Risk (E) [>20.174%] | OMNIBUS p-Value | ||
|---|---|---|---|---|---|---|---|
| Mean ± SD Min–Max (N) or n/N (% of Risk Category) | Mean ± SD Min–Max (N) or n/N (% of Risk Category) | Mean ± SD Min–Max (N) or n/N (% of Risk Category) | Mean ± SD Min–Max (N) or n/N (% of Risk Category) | ||||
| a—L vs. M b—L vs. H c—L vs. E | d—M vs. H e—M vs. E f—H vs. E | ||||||
| Demographics | |||||||
| Age, years (2183) | 34.36 ± 8.22 17–49 (519) | 58.08 ± 11.1 17–79 (710) | 70.94 ± 6.45 57–84 (628) | 84.37 ± 6.64 69–100 (326) | <0.0001 | <0.0001 a,b,c | <0.0001 d,e,f |
| Age ≥ 65 years (2183) | 0/519 (0.0%) | 194/710 (27.32%) | 527/628 (83.92%) | 326/326 (100%) | <0.0001 | <0.0001 a,b,c | <0.0001 d,e,f |
| Male gender (2183) | 201/519 (38.73%) | 352/710 (49.58%) | 348/628 (55.41%) | 181/326 (55.52%) | <0.0001 | 0.0012 a <0.0001 b,c | 0.2261 d 0.5228 e 1.0 f |
| BMI kg/m2 (554) | 27.93 ± 5.54 15.36–49.38 (170) | 29.22 ± 5.34 17.07–48.21 (187) | 28.25 ± 5.0 17.11–45.82 (137) | 27.36 ± 4.62 16.41–37.04 (60) | 0.0357 | 0.117 a 0.953 b 0.86 c | 0.336 d 0.049 e 0.619 f |
| BMI kg/m2 > 30 (554) | 49/170 (28.82%) | 73/187 (39.04%) | 50/137 (36.5%) | 19/60 (31.67%) | 0.0195 | 0.0229 a 1.0 b,c | 0.3948 d 0.2208 e 1.0 f |
| Cigarette smoking: Never; Previous; Current (2183) | 504/519 (97.11%) 6/519 (1.16%) 9/519 (1.73%) | 660/710 (93.22%) 28/710 (3.95%) 20/710 (2.82%) | 533/628 (85.14%) 57/628 (9.11%) 36/628 (5.75%) | 289/326 (88.65%) 26/326 (7.98%) 11/326 (3.37%) | <0.0001 | 0.0323 a <0.0001 b,c | <0.0001 d 0.1314 e 1.0 f |
| Co-morbidities | |||||||
| Hypertension (2183) | 38/519 (7.32%) | 289/710 (40.7%) | 445/628 (70.86%) | 249/326 (76.38%) | <0.0001 | <0.0001 a,b,c | <0.0001 d,e 0.4916 f |
| DM (2183) | 0/519 (0.0%) | 90/710 (12.68%) | 254/628 (40.51%) | 128/326 (39.38%) | <0.0001 | <0.0001 a,b,c | <0.0001 d,e 1.0 f |
| Dyslipidemia (825) | 43/65 (66.15%) | 172/251 (68.53%) | 250/334 (77.25%) | 138/175 (78.86%) | 0.0188 | 1.0 a 0.4877 b 0.3753 c | 0.139 d 0.1482 e 1.0 f |
| Atrial fibrillation/flutter (2183) | 1/519 (0.19%) | 32/710 (4.51%) | 127/628 (20.22%) | 130/326 (39.88%) | <0.0001 | <0.0001 a,b,c | <0.0001 d,e,f |
| Previous coronary revascularisation (2183) | 0/519 (0.0%) | 7/710 (0.99%) | 66/628 (10.51%) | 81/326 (24.85%) | <0.0001 | 0.3567 a <0.0001 b,c | <0.0001 d,e,f |
| Previous myocardial infarction (2183) | 0/519 (0.0%) | 16/710 (2.25%) | 90/628 (14.33%) | 85/326 (26.07%) | <0.0001 | 0.0086 a <0.0001 b,c | <0.0001 d,e,f |
| Heart failure (2183) | 0/519 (0.0%) | 20/710 (2.82%) | 106/628 (16.88%) | 129/326 (39.57%) | <0.0001 | 0.0017 a <0.0001 b,c | <0.0001 d,e,f |
| Moderate/severe valvular heart disease or previous valve heart surgery (2183) | 3/519 (0.58%) | 12/710 (1.69%) | 35/628 (5.57%) | 46/326 (14.11%) | <0.0001 | 0.8161 a <0.0001 b,c | 0.0013 d <0.0001 e,f |
| Peripheral artery disease (2183) | 0/519 (0.0%) | 11/710 (1.55%) | 35/628 (5.57%) | 54/326 (16.56%) | <0.0001 | 0.0662 a <0.0001 b,c | 0.0006 d <0.0001 e,f |
| Previous stroke/TIA (2183) | 0/519 (0.0%) | 21/710 (2.96%) | 73/628 (11.62%) | 70/326 (21.47%) | <0.0001 | 0.0012 a <0.0001 b, c | <0.0001 d,e 0.0005 f |
| Chronic kidney disease (2183) | 0/519 (0.0%) | 46/710 (6.48%) | 90/628 (14.33%) | 95/326 (29.14%) | <0.0001 | <0.0001 a,b,c | <0.0001 d,e,f |
| Hemodialysis (2183) | 0/519 (0.0%) | 17/710 (2.39%) | 27/628 (4.3%) | 14/326 (4.29%) | <0.0001 | 0.0057 a <0.0001 b,c | 0.4346 d 0.8483 e 1.0 f |
| Asthma (2183) | 16/519 (3.08%) | 39/710 (5.49%) | 23/628 (3.66%) | 7/326 (2.15%) | 0.0365 | 0.3617 a 1.0 b 1.0 c | 0.8668 d 0.1409 e 1.0 f |
| COPD (2183) | 0/519 (0.0%) | 4/710 (0.56%) | 47/628 (7.48%) | 24/326 (7.36%) | <0.0001 | 1.0 a <0.0001 b,c | <0.0001 d,e 1.0 f |
| Thyroid disease (2183) | 51/519 (9.83%) | 64/710 (9.01%) | 84/628 (13.38%) | 30/326 (9.2%) | 0.0453 | 1.0 a 0.4658 b 1.0 c | 0.0854 d 1.0 e 0.4509 f |
| Variables, Units (N) | Lower Risk (L) [0–0.292%] | Moderate Risk (M) [0.293–8.784%] | High Risk (H) [8.785–20.174%] | Extreme Risk (E) [>20.174%] | OMNIBUS p-Value | p-Value (for Post-Hoc Analysis) | |
|---|---|---|---|---|---|---|---|
| n/N (% of Risk Category) | n/N (% of Risk Category) | n/N (% of Risk Category) | n/N (% of Risk Category) | a—L vs. M b—L vs. H c—L vs. E | d—M vs. H e—M vs. E f—H vs. E | ||
| Treatment Applied Before Hospitalization | |||||||
| ACEI angiotensin-converting-enzyme inhibitors (2183) | 3/519 (0.58%) | 83/710 (11.69%) | 165/628 (26.27%) | 101/326 (30.98%) | <0.0001 | <0.0001 a,b,c | <0.0001 d,e 0.8627 f |
| ARB angiotensin receptor blockers (2183) | 8/519 (1.54%) | 56/710 (7.89%) | 51/628 (8.12%) | 29/326 (8.9%) | <0.0001 | <0.0001 a,b,c | 1.0 d,e,f |
| MRA mineralocorticoid receptor antagonists (2183) | 1/519 (0.0%) | 17/710 (2.39%) | 51/628 (8.12%) | 32/326 (9.82%) | <0.0001 | 0.0057 a <0.0001 b,c | <0.0001 e,f 1.0 f |
| β-blocker (2183) | 15/519 (2.89%) | 129/710 (18.17%) | 250/628 (39.81%) | 139/326 (42.64%) | <0.0001 | <0.0001 a,b,c | <0.0001 d,e 1.0 f |
| Digitalis glycoside (2183) | 0/519 (0.0%) | 1/710 (0.14%) | 11/628 (1.75%) | 7/326 (2.14%) | <0.0001 | 1.0 a 0.0086 b 0.0073 c | 0.0125 d 0.0102 e 1.0 f |
| Calcium channel blocker (non-dihydropiridines) (2183) | 2/519 (0.39%) | 7/710 (0.99%) | 19/628 (3.03%) | 10/326 (3.07%) | 0.0006 | 1.0 a 0.0117 b 0.0218 c | 0.0748 d 0.173 e 1.0 f |
| Calcium channel blocker (dihydropiridines) (2183) | 8/519 (1.54%) | 71/710 (10.0%) | 111/628 (17.68%) | 71/326 (21.78%) | <0.0001 | <0.0001 a,b,c | <0.0001 d,e 0.8937 f |
| α-adrenergic blocker (2183) | 3/519 (0.58%) | 19/710 (2.68%) | 57/628 (9.08%) | 39/326 (11.96%) | <0.0001 | 0.07 a <0.0001 b,c | <0.0001 d,e 1.0 f |
| Thiazide or thiazide-like diuretic (2183) | 2/519 (0.39%) | 50/710 (7.04%) | 62/628 (9.87%) | 36/326 (11.04%) | <0.0001 | <0.0001 a,b,c | 0.4636 d 0.2444 e 1.0 f |
| Loop diuretic (2183) | 0/519 (0.0%) | 26/710 (3.66%) | 89/628 (14.17%) | 70/326 (21.47%) | <0.0001 | 0.0002 a <0.0001 b,c | <0.0001 d,e 0.0328 f |
| Statin (2183) | 1/519 (0.19%) | 62/710 (8.73%) | 176/628 (28.03%) | 111/326 (34.05%) | <0.0001 | <0.0001 a,b,c | <0.0001 d,e 0.3862 f |
| Acetylsalicylic acid (2183) | 9/519 (1.73%) | 39/710 (5.49%) | 136/628 (21.66%) | 74/326 (22.7%) | <0.0001 | 0.0079 a <0.0001 b,c | <0.0001 d,e 1.0 f |
| LMWH low molecular weight heparin (2183) | 16/519 (3.08%) | 35/710 (4.93%) | 68/628 (10.83%) | 22/326 (6.75%) | <0.0001 | 0.8681 a <0.0001 b 0.1181 c | 0.0005 d 1.0 e 0.3233 f |
| VKA vitamin K antagonists (2183) | 1/519 (0.19%) | 9/710 (1.27%) | 23/628 (3.66%) | 53/326 (16.26%) | <0.0001 | 0.4802 a 0.0006 b 0.0002 c | 0.0439 d 0. 0268 e 1.0 f |
| NOAC novel oral anticoagulants (2183) | 0/519 (0.0%) | 11/710 (1.55%) | 43/628 (6.85%) | 14/326 (4.29%) | <0.0001 | 0.0662 a <0.0001 b,c | <0.0001 d,e,f |
| Insulin (2183) | 3/519 (0.58%) | 28/710 (3.94%) | 62/628 (9.87%) | 38/326 (11.66%) | <0.0001 | 0.0025 a <0.0001 b,c | 0.0002 d <0.0001 e 1.0 f |
| Metformin (2183) | 1/519 (0.19%) | 42/710 (5.92%) | 129/628 (20.54%) | 50/326 (15.34%) | <0.0001 | <0.0001 a,b,c | <0.0001 d,e 0.3729 f |
| SGLT2 inhibitor inhibitors—sodium glucose co-transporter-2 inhibitors (2183) | 0/519 (0.0%) | 7/710 (0.99%) | 15/628 (2.39%) | 5/326 (1.53%) | 0.0001 | 0.1413 a 0.0007 b 0.0503 c | 0.3156 d 1.0 e,f |
| Oral antidiabetics other than SGLT2 inhibitor and metformin (2183) | 0/519 (0.0%) | 4/710 (0.56%) | 52/628 (8.28%) | 33/326 (10.12%) | 0.0001 | 1.0 a 0.0001 b, c | 0.0001 d,e 1.0 f |
| Proton pump inhibitor (2183) | 6/519 (1.16%) | 58/710 (8.17%) | 111/628 (17.68%) | 75/326 (23.01%) | 0.0001 | 0.0001 a,b,c | 0.0001 d,e 0.3565 f |
| Oral corticosteroid (2183) | 4/519 (0.77%) | 46/710 (6.48%) | 34/628 (5.41%) | 8/326 (2.45%) | 0.0001 | 0.0001 a 0.0002 b 0.5187 c | 1.0 d 0.0635 e 0.309 f |
| Immunosuppression other than oral corticosteroid (2183) | 2/519 (0.39%) | 37/710 (5.21%) | 30/628 (4.78%) | 4/326 (1.23%) | 0.0001 | 0.0001 a,b 1.0 c | 1.0 d 0.0236 e 0.0526 f |
| Variables, Units (N) | Lower Risk (L) [0–0.292%] | Moderate Risk (M) [0.293–8.784%] | High Risk (H) [8.785–20.174%] | Extreme risk (E) [>20.174%] | OMNIBUS p-Value | p-Value (for Post-Hoc Analysis) | |
|---|---|---|---|---|---|---|---|
| Min–Max (N) or n/N (% of Risk Category) | Min–Max (N) or n/N (% of Risk Category) | Min–Max (N) or n/N (% of Risk Category) | Min–Max (N) or n/N (% of Risk Category) | a—L vs. M b—L vs. H c—L vs. E | d—M vs. H e—M vs. E f—H vs. E | ||
| Patient-Reported Symptoms | |||||||
| Cough (2183) | 193/519 (37.19%) | 236/710 (33.24%) | 148/628 (23.57%) | 71/326 (21.78%) | <0.0001 | 1.0 a <0.0001 b,c | 0.0007 d 0.0014 e 1.0 f |
| Dyspnea (2183) | 181/519 (34.87%) | 342/710 (48.17%) | 245/628 (39.01%) | 153/326 (46.93%) | <0.0001 | <0.0001 a 1.0 b 0.0038 c | 0.0055 d 1.0 e 0.1344 f |
| Chest pain (2183) | 49/519 (9.44%) | 51/710 (7.18%) | 35/628 (5.57%) | 28/326 (8.59%) | 0.0764 | N/A | N/A |
| Hemoptysis (2183) | 2/519 (0.39%) | 7/710 (0.99%) | 4/628 (0.64%) | 2/326 (0.61%) | 0.6784 | N/A | N/A |
| Smell dysfunction (2183) | 30/519 (5.78%) | 29/710 (4.08%) | 10/628 (1.59%) | 7/326 (2.15%) | 0.0006 | 1.0 a 0.0014 b 0.1158 c | 0.0662 d 0.9719 e 1.0 f |
| Taste dysfunction (2183) | 19/519 (3.66%) | 30/710 (4.23%) | 11/628 (1.75%) | 6/326 (1.84%) | 0.0263 | 1.0 a 0.4028 b 1.0 c | 0.0831 d 0.4667 e 1.0 f |
| Abdominal pain (2183) | 41/519 (7.9%) | 49/710 (6.9%) | 40/628 (6.4%) | 19/326 (4.91%) | 0.387 | N/A | N/A |
| Diarrhea (2183) | 20/519 (3.85%) | 41/710 (5.77%) | 48/628 (7.64%) | 18/326 (5.52%) | 0.0568 | N/A | N/A |
| Nausea/Vomiting (2183) | 17/519 (3.28%) | 29/710 (4.08%) | 36/628 (5.73%) | 16/326 (4.91%) | 0.2167 | N/A | N/A |
| Measured vital signs | |||||||
| Body temperature °C (1185) | 37.13 ± 0.88 35.4–40.0 (337) | 37.06 ± 0.9 34.4–40.5 (389) | 36.91 ± 0.87 35.2–40.0 (309) | 36.92 ± 0.88 35.0–40.0 (150) | 0.0055 | 0.774 a 0.009 b 0.077 c | 0.104 d 0.324 e 1.0 f |
| Heart rate beats/minute (1672) | 87.84 ± 14.96 48–160 (373) | 85.38 ± 15.22 48–150 (538) | 84.41 ± 17.46 50–170 (492) | 85.36 ± 17.93 36–150 (269) | 0.0144 | 0.073 a 0.011 b 0.25 c | 0.782 d 1.0 e 0.9 f |
| Respiratory rate breaths/minute (318) | 17.65 ± 4.64 12–40 (77) | 18.88 ± 6.01 12–50 (97) | 18.71 ± 6.62 12–50 (95) | 19.06 ± 4.92 12–31 (49) | 0.3055 | N/A | N/A |
| Systolic blood pressure (1669) | 125.17 ± 16.77 74–200 (364) | 134.78 ± 22.08 60–240 (534) | 133.4 ± 23.75 50–237 (500) | 133.64 ± 27.53 50–270 (271) | <0.0001 | <0.0001 a,b,c | 0.77 d 0.935 e 0.999 f |
| Diastolic blood pressure (1661) | 77.86 ± 11.33 48–120 (364) | 79.37 ± 12.52 40–120 (533) | 77.62 ± 14.29 40–150 (496) | 76.33 ± 15.35 40–157 (268) | 0.0213 | 0.235 a 0.993 b 0.516 c | 0.159 d 0.027 e 0.667 f |
| SpO2 on room air, % (FiO2 = 21%) (1262) | 95.22 ± 5.51 50–100 (344) | 90.84 ± 8.01 48–100 (389) | 90.68 ± 8.48 50–99 (344) | 89.44 ± 9.39 50–100 (185) | <0.0001 | <0.0001 a,b,c | 0.993 d 0.303 e 0.445 f |
| Abnormalities detected during physical examination | |||||||
| Crackles (2183) | 30/519 (5.78%) | 101/710 (14.23%) | 119/628 (18.95%) | 69/326 (21.17%) | <0.0001 | <0.0001 a,b,c | 0.1457 d 0.0403 e 1.0 f |
| Wheezing (2183) | 18/519 (3.47%) | 52/710 (7.32%) | 90/628 (14.33%) | 59/326 (18.1%) | <0.0001 | 0.0351 a <0.0001 b,c 0.86 c | 0.0003 d <0.0001 e 0.9231 f |
| Pulmonary congestion (2183) | 34/519 (6.55%) | 120/710 (16.9%) | 126/628 (20.06%) | 87/326 (26.69%) | <0.0001 | <0.0001 a,b,c | 0.9344 d 0.0021 e 0.1475 f |
| Peripheral edema (2183) | 6/519 (1.16%) | 58/710 (8.17%) | 80/628 (12.74%) | 45/326 (13.8%) | <0.0001 | <0.0001 a,b,c | 0.0479 d 0.0412 e 1.0 f |
| Parameter (N) | Time of Assessment | Units | Lower Risk (L) [0–0.292%] | Moderate Risk (M) [0.293–8.784%] | High Risk (H) [8.785–20.174%] | Extreme Risk (E) [>20.174%] | OMNIBUS p-Value | p-Value (for Post-Hoc Analysis) | |
|---|---|---|---|---|---|---|---|---|---|
| Mean ± SD Min–Max (N) or n/N (% of Risk Category) | Mean ± SD Min–Max (N) or n/N (% of Risk Category) | Mean ± SD Min–Max (N) or n/N (% of Risk Category) | Mean ± SD Min–Max (N) or n/N (% of Risk Category) | a—L vs. M b—L vs. H c—L vs. E | d—M vs. H e—M vs. E f—H vs. E | ||||
| Complete Blood Count (CBC) | |||||||||
| Leucocytes (2048) | On admission | ×103/µL | 8.32 ± 8.58 1.76–163.61 (443) | 8.7 ± 12.56 0.67–304.02 (675) | 9.43 ± 10.98 0.51–188.7 (615) | 10.46 ± 14.31 0.51–215.97 (315) | 0.0644 | N/A | N/A |
| Hemoglobin (2048) | On admission | g/dL | 13.44 ± 1.94 4.8–18.7 (443) | 13.31 ± 2.11 4.3–17.9 (675) | 12.59 ± 2.42 3.9–20.3 (615) | 12.11 ± 2.46 4.5–18.9 (315) | <0.0001 | 0.706 a <0.0001 b,c | <0.0001 d,e 0.024 f |
| Platelets (2048) | On admission | ×103/µL | 221.19 ± 86.73 23.0–811.0 (443) | 240.62 ± 114.64 4.0–1356.0 (675) | 238.46 ± 116.79 0.0–879.0 (615) | 215.86 ± 99.89 3.0–667.0 (315) | 0.0002 | 0.007 a 0.03 b 0.871 c | 0.987 d 0.003 e 0.012 f |
| Acid–base balance in arterial blood gas | |||||||||
| PH (276) | On admission | 7.4 ± 0.09 7.16–7.5 (14) | 7.43 ± 0.07 7.19–7.57 (72) | 7.43 ± 0.07 7.04–7.58 (104) | 7.42 ± 0.09 7.09–7.54 (86) | 0.5873 | N/A | N/A | |
| PaO2 (276) | On admission | mmHg | 72.34 ± 16.38 43.3–96.7 (14) | 73.95 ± 31.64 12.8–100.0 (72) | 71.71 ± 36.48 26.8–100.0 (104) | 74.34 ± 42.7 23.7–100.0 (86) | 0.9605 | N/A | N/A |
| PaCO2 (276) | On admission | mmHg | 43.53 ± 14.07 25.8–80.9 (14) | 37.58 ± 10.44 20.2–82.4 (72) | 37.35 ± 10.04 20.09–88.4 (104) | 37.38 ± 9.22 19.7–74.9 (86) | 0.475 | N/A | N/A |
| HCO3 standard (272) | On admission | mmol/L | 25.27 ± 3.6 18.9–31.3 (14) | 24.83 ± 3.15 12.5–31.7 (71) | 24.51 ± 3.82 14.3–32.9 (103) | 24.26 ± 5.14 12.1–39.5 (84) | 0.7442 | N/A | N/A |
| BE (108) | On admission | mmol/L | 2.9 ± 0.99 2.2–3.6 (2) | 0.7 ± 4.85 [-]15.7–7.9 (27) | 0.79 ± 5.15 12.5–10.5 (44) | 2.89 ± 5.04 [-]4.3–15.7 (35) | 0.1668 | N/A | N/A |
| Lactates (245) | On admission | mmol/L | 2.25 ± 0.74 0.7–3.3 (13) | 2.34 ± 1.12 0.6–5.9 (60) | 2.29 ± 1.31 0.5–10.1 (95) | 2.38 ± 1.97 0.5–12.8 (77) | 0.9717 | N/A | N/A |
| Electrolytes and inflammatory and iron biomarkers | |||||||||
| Na (2030) | On admission | mmol/L | 138.46 ± 2.95 128.6–148.0 (439) | 138.23 ± 4.6 109.0–158.0 (666) | 137.35 ± 6.43 101.0–175.0 (610) | 138.75 ± 7.25 105.0–174.0 (315) | 0.0014 | 0.759 a 0.001 b 0.910 c | 0.026 d 0.646 e 0.02 f |
| K (2037) | On admission | mmol/L | 3.99 ± 0.44 2.7–5.4 (440) | 4.05 ± 0.61 2.4 ± 6.57 (670) | 4.18 ± 0.7 2.0–7.5 (613) | 4.25 ± 0.81 2.4–8.7 (314) | <0.0001 | 0.247 a <0.0001 b,c | 0.002 d 0.0009 e 0.611 f |
| CRP (2018) | On admission | mg/L | 49.79 ± 70.34 0.34–390.8 (425) | 86.06 ± 84.21 0.13–531.58 (669) | 82.77 ± 84.56 0.29–496.98 (610) | 90.02 ± 94.63 0.4–538.55 (314) | <0.0001 | <0.0001 a,b,c | 0.898 d 0.922 e 0.664 f |
| On discharge | 26.96 ± 56.53 0.28–452.93 (425) | 51.48 ± 80.03 0.13–494.73 (669) | 70.77 ± 92.94 0.22–496.98 (610) | 85.25 ± 95.26 0.4–538.55 (314) | <0.0001 | <0.0001 a,b,c | 0.0005 d <0.0001 e 0.123 f | ||
| Procalcitonin (1473) | On admission | ng/mL | 0.21 ± 0.95 0.01–10.51 (283) | 0.58 ± 2.57 0.01–44.39 (497) | 1.32 ± 5.42 0.01–55.01 (454) | 3.2 ± 15.58 0.01–196.04 (239) | <0.0001 | 0.023 a 0.0002 b 0.018 c | 0.04 d 0.051 e 0.274 f |
| IL-6 (701) | On admission | pg/mL | 87.49 ± 756.98 2.0–9099.0 (144) | 40.94 ± 84.32 2.0–1000.0 (279) | 53.79 ± 96.09 2.0–1000.0 (205) | 70.53 ± 140.37 2.0–1000.0 (82) | 0.1682 | N/A | N/A |
| D-dimer (1578) | On admission | µg/mL | 2.13 ± 9.04 0.15–128.0 (323) | 4.24 ± 13.27 0.21–123.93 (538) | 5.85 ± 16.62 0.18–132.82 (485) | 6.27 ± 15.82 0.2–128.0 (232) | <0.0001 | 0.029 a 0.0003 b 0.002 c | <0.0001 d,e,f |
| INR (1923) | On admission | 1.05 ± 0.14 0.82–2.26 (416) | 1.16 ± 0.34 0.83–7.14 (628) | 1.33 ± 1.17 0.87–18.74 (583) | 1.56 ± 1.92 0.89–21.1 (296) | <0.0001 | <0.0001 a,b,c | 0.008 d 0.003 e 0.213 f | |
| Fibrinogen (419) | On admission | g/dL | 4.86 ± 1.52 0.64–9.04 (126) | 4.8 ± 2.13 0.35–10.0 (127) | 4.72 ± 1.78 0.37–9.2 (120) | 4.95 ± 1.8 2.1–9.1 (46) | 0.8748 | N/A | N/A |
| Biochemistry | |||||||||
| Glucose (1758) | On admission | mg/dL | 109.22 ± 26.04 50.0–247.0 (272) | 133.82 ± 69.3 28.0–933.0 (624) | 160.11 ± 103.85 35.0–1064.0 (568) | 149.96 ± 90.74 47.0–1026.0 (294) | <0.0001 | <0.0001 a,b,c | <0.0001 d 0.036 e 0.45 f |
| Glycated hemoglobin (HbA1 c) (263) | On admission | % | 5.743 ± 1.46 4.2–10.8 (16) | 7.57 ± 2.25 4.8–14.9 (63) | 7.81 ± 2.18 4.6–16.6 (116) | 7.36 ± 1.99 5.1–14.9 (68) | <0.0001 | 0.002 a 0.0002 b 0.004 c | 0.901 d 0.944 e 0.488 f |
| Urea (1857) | On admission | mg/dL | 24.26 ± 12.02 5.0–81.0 (331) | 44.35 ± 33.41 10.0–336.0 (634) | 63.08 ± 48.33 8.0–353.0 (592) | 82.46 ± 54.3 12.0–369.0 (300) | <0.0001 | <0.0001 a,b,c | <0.0001 d,e,f |
| Creatinine (1961) | On admission | mg/dL | 0.81 ± 0.22 0.26–2.23 (364) | 1.2 ± 1.24 0.34–14.87 (669) | 1.51 ± 1.49 0.35–14.77 (613) | 1.76 ± 1.47 0.46–10.84 (315) | <0.0001 | <0.0001 a,b,c | 0.0003 d <0.0001 e 0.077 f |
| On discharge | 0.79 ± 0.2 0.26–1.67 (364) | 1.15 ± 1.17 0.34–14.87 (669) | 1.4 ± 1.35 0.36–14.82 (613) | 1.67 ± 1.46 0.43–9.27 (315) | <0.0001 | <0.0001 a,b,c | 0.003 d <0.0001 e 0.026 f | ||
| eGFR (1956) | On admission | mL/min/1.73 m2 | 105.21 ± 29.9 0.0–433.0 (361) | 78.31 ± 30.46 3.0–250.0 (667) | 65.48 ± 32.88 3.0–239.0 (613) | 51.7 ± 26.62 5.0–139.0 (315) | <0.0001 | <0.0001 a,b,c | <0.0001 d,e,f |
| On discharge | 107.07 ± 29.95 0.0–433.0 (361) | 82.38 ± 32.5 4.0–239.0 (667) | 70.88 ± 34.69 3.0–323.0 (613) | 57.2 ± 30. 4.0–170.0 (315) | <0.0001 | <0.0001 a,b,c | <0.0001 d,e,f | ||
| Total protein (606) | On admission | g/L | 6.23 ± 0.72 4.2–8.0 (82) | 6.0 ± 0.9 3.5–8.2 (189) | 5.97 ± 0.86 3.8–9.5 (209) | 5.74 ± 0.92 3.3–8.2 (126) | 0.0005 | 0.121 a 0.051 b 0.0002 c | 0.99 d 0.068 e 0.104 f |
| Albumin (663) | On admission | g/L | 3.35 ± 0.61 1.7–5.1 (90) | 3.1 ± 0.6 1.5–4.5 (212) | 3.12 ± 0.52 1.7–4.4 (236) | 2.95 ± 0.66 0.7–4.9 (125) | 0.0001 | 0.006 a 0.013 b <0.0001 c | 0.957 d 0.165 e 0.051 f |
| AST (1441) | On admission | IU/L | 48.88 ± 47.24 9.0–347.0 (257) | 62.58 ± 128.08 6.0–2405.0 (486) | 59.63 ± 94.44 5.09–83.0 (466) | 101.94 ± 435.2 8.0–4776.0 (232) | 0.022 | 0.153 a 0.175 b 0.254 c | 0.977 d 0.532 e 0.461 f |
| ALT (1588) | On admission | IU/L | 46.11 ± 57.82 7.0–591.0 (285) | 57.44 ± 99.06 5.0–1411.0 (536) | 46.95 ± 76.64 4.0–854.0 (507) | 63.47 ± 262.41 5.0–3700.0 (260) | 0.1276 | N/A | N/A |
| Bilirubin (1407) | On admission | mg/dL | 0.66 ± 0.63 0.2–6.7 (232) | 0.83 ± 1.48 0.1–19.1 (481) | 0.91 ± 1.25 0.2–15.1 (461) | 0.91 ± 0.89 0.1–9.2 (233) | 0.0002 | 0.122 a 0.002 b,c | 0.788 d 0.793 e 1.0 f |
| LDH (1231) | On admission | U/L | 378.2 ± 239.64 120.0–1720.0 (217) | 441.04 ± 381.52 50.0–7100.0 (452) | 419.81 ± 342.08 44.0–4107.0 (384) | 436.29 ± 713.82 141.0–9505.0 (178) | 0.0635 | N/A | N/A |
| Cardiac biomarkers | |||||||||
| BNP (359) | On admission | pg/mL | 39.06 ± 43.86 2.5–158.7 (18) | 309.74 ± 785.23 1.7–4993.0 (94) | 507.34 ± 1381.13 3.0–13,368.4 (150) | 762.63 ± 1504.61 25.6–11,275.7 (97) | <0.0001 | 0.007 a 0.0003 b <0.0001 c | 0.486 d 0.047 e 0.536 f |
| NT-proBNP (379) | On admission | ng/mL | 349.31 ± 721.06 23.6–3577.0 (26) | 3381.67 ± 11,223.05 12.0–70,000.0 (132) | 7764.16 ± 14,150.85 29.7–70,000.0 (133) | 13,015.59 ± 18,325.17 269.7–70,000.0 (88) | <0.0001 | 0.014 a <0.0001 b,c | 0.028 d 0.0001 e 0.108 f |
| Troponin I (1174) | On admission | pg/mL | 29.42 ± 168.33 0.0–1789.6 (167) | 86.76 ± 400.95 1.0–5120.4 (407) | 867.12 ± 6995.2 0.2–125,592.6 (389) | 1806.29 ± 10,669.28 2.3–109,359.5 (211) | 0.0008 | 0.076 a 0.087 b 0.077 c | 0.126 d 0.092 e 0.658 f |
| >3-fold upper range K 46.8 pg/mL M 102.6 pg/mL | 8/167 (4.79%) | 75/407 (18.43%) | 123/389 (31.62%) | 92/211 (43.6%) | <0.0001 | 0.0003 a <0.0001 b,c | 0.0001 d <0.0001 e 0.0276 f | ||
| On discharge | pg/mL | 8.49 ± 28.59 0.8–337.0 (167) | 100.38 ± 737.43 0.8–12,391.6 (407) | 922.1 ± 9227.54 0.2–174,652.6 (389) | 1770.07 ± 10,364.52 1.6–109,359.5 (211) | 0.0012 | 0.06 a 0.208 b 0.068 c | 0.299 d 0.093 e 0.753 f | |
| LDL-cholesterol (449) | On admission | mg/dL | 96.76 ± 37.36 35.0–209.0 (42) | 104.01 ± 57.58 6.0–510.0 (136) | 88.75 ± 41.81 23.0–230.0 (174) | 76.22 ± 40.12 14.0–210.0 (97) | 0.0002 | 0.775 a 0.617 b 0.024 c | 0.048 d 0.0001 e 0.075 f |
| HDL-cholesterol (451) | On admission | mg/dL | 43.28 ± 15.89 17.0–93.0 (43) | 40.94 ± 17.34 2.0–120.0 (139) | 38.91 ± 15.23 7.0–110.0 (172) | 36.87 ± 13.41 8.0–79.0 (97) | 0.071 | N/A | N/A |
| Triglycerides (639) | On admission | mg/dL | 212.22 ± 175.23 40.0–1100.0 (63) | 178.25 ± 123.5 44.0–958.0 (213) | 149.84 ± 84.96 50.0–586.0 (243) | 126.78 ± 62.3 46.0–401.0 (120) | <0.0001 | 0.48 a 0.038 b 0.002 c | 0.026 d <0.0001 e 0.019 f |
| Hormones | |||||||||
| 25-hydroxy-vitamin D (474) | On admission | ng/mL | 26.95 ± 18.41 3.5–135.6 (62) | 24.85 ± 17.66 3.5–146.1 (186) | 23.25 ± 16.43 3.5–77.7 (173) | 20.09 ± 14.66 3.5–65.5 (53) | 0.1159 | N/A | N/A |
| TSH (820) | On admission | mlU/L | 1.33 ± 0.94 0.0–4.41 (106) | 1.56 ± 2.47 0.01–28.81 (261) | 1.48 ± 1.83 0.0–14.38 (299) | 1.85 ± 3.71 0.0–38.24 (154) | 0.2618 | N/A | N/A |
3.3. Pharmacological Treatment during Hospitalization
3.3.1. Medicines
3.3.2. Treatment Procedures
3.4. Clinical Results
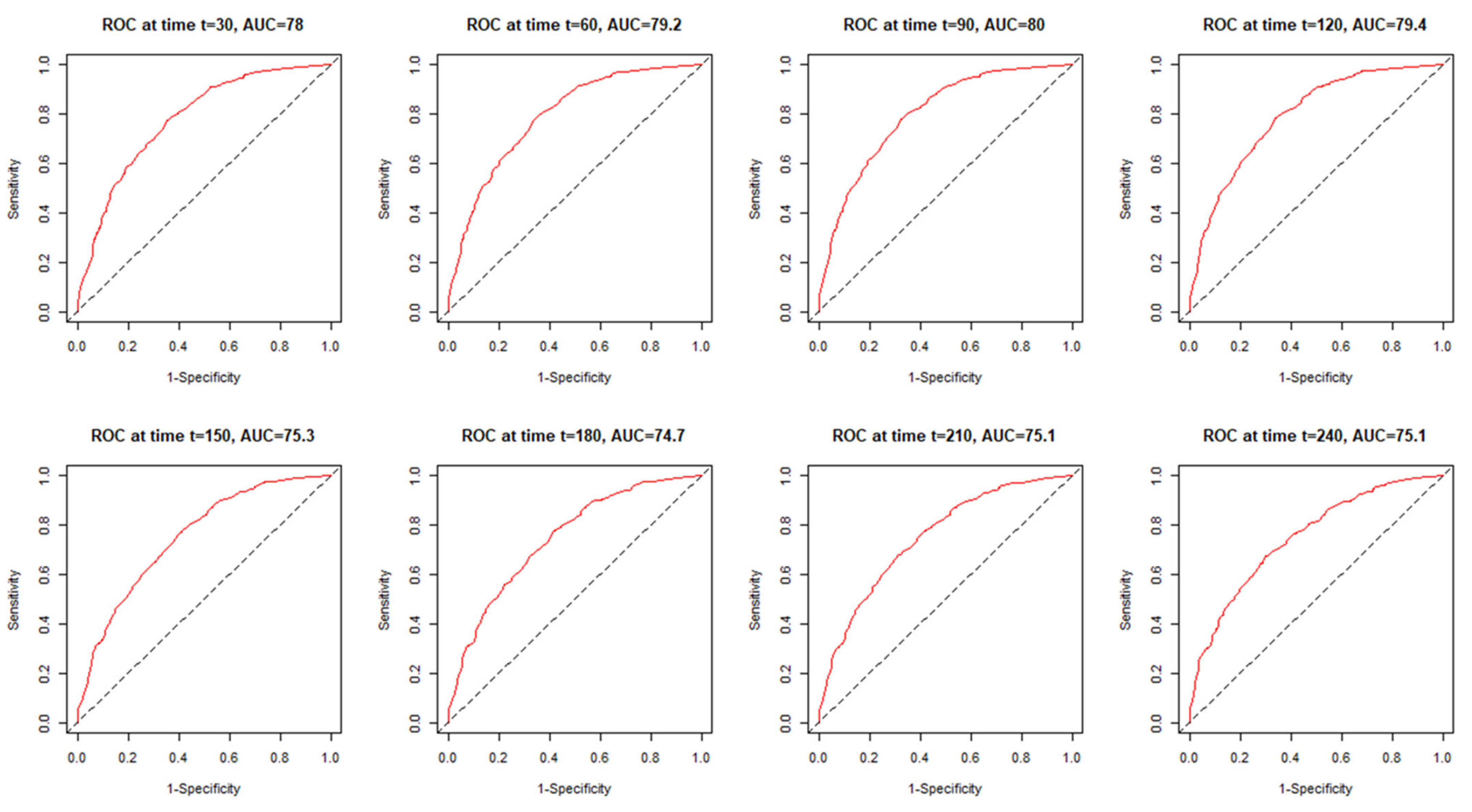
3.4.1. VACO Risk Strata and Mortality Correlation
3.4.2. Secondary Outcomes and Its Correlation with the VACO Score
4. Discussion
5. Conclusions
6. Limitations
Author Contributions
Funding
Institutional Review Board Statement
Informed Consent Statement
Data Availability Statement
Acknowledgments
Conflicts of Interest
References
- Available online: https://www.worldometers.info (accessed on 30 June 2023).
- Ciupe, S.M.; Tuncer, N. Identifiability of parameters in mathematical models of SARS-CoV-2 infections in humans. Sci. Rep. 2022, 12, 14637. [Google Scholar] [CrossRef] [PubMed]
- Gao, Y.-D.; Ding, M.; Dong, X.; Zhang, J.-J.; Azkur, A.K.; Azkur, D.; Gan, H.; Sun, Y.-L.; Fu, W.; Li, W.; et al. Risk factors for severe and critically ill COVID-19 patients: A review. Allergy 2021, 76, 428–455. [Google Scholar] [CrossRef] [PubMed]
- Berlin, D.A.; Gulick, R.M.; Martinez, F.J. Severe COVID-19. N. Engl. J. Med. 2020, 383, 2451–2460 . [Google Scholar] [CrossRef] [PubMed]
- Huang, S.; Vieillard-Baron, A.; Evrard, B.; Prat, G.; Chew, M.S.; Balik, M.; Clau-Terré, F.; De Backer, D.; Dessap, A.M.; Orde, S.; et al. Echocardiography phenotypes of right ventricular involvement in COVID-19 ARDS patients and ICU mortality: Post-hoc (exploratory) analysis of repeated data from the ECHO-COVID study. Intensiv. Care Med. 2023, 49, 946–956. [Google Scholar] [CrossRef] [PubMed]
- La Via, L.; Dezio, V.; Santonocito, C.; Astuto, M.; Morelli, A.; Huang, S.; Vieillard-Baron, A.; Sanfilippo, F. Full and simplified assessment of left ventricular diastolic function in COVID-19 patients admitted to ICU: Feasibility, incidence, and association with mortality. Echocardiography 2022, 39, 1391–1400. [Google Scholar] [CrossRef] [PubMed]
- Ackermann, M.; Verleden, S.E.; Kuehnel, M.; Haverich, A.; Welte, T.; Laenger, F.; Vanstapel, A.; Werlein, C.; Stark, H.; Tzankov, A.; et al. Pulmonary Vascular Endothelialitis, Thrombosis, and Angiogenesis in COVID-19. N. Engl. J. Med. 2020, 383, 120–128. [Google Scholar] [CrossRef] [PubMed]
- Hilton, J.; Boyer, N.; Nadim, M.K.; Forni, L.G.; Kellum, J.A. COVID-19 and Acute Kidney Injury. Crit. Care Clin. 2022, 38, 473–489. [Google Scholar] [CrossRef] [PubMed]
- King, J.T., Jr.; Yoon, J.S.; Rentsch, C.T.; Tate, J.P.; Park, L.S.; Kidwai-Khan, F.; Skanderson, M.; Hauser, R.G.; Jacobson, D.A.; Erdos, J.; et al. Development and validation of a 30-day mortality index based on pre-existing medical administrative data from 13,323 COVID-19 patients: The Veterans Health Administration COVID-19 (VACO) Index. PLoS ONE 2020, 15, e0241825. [Google Scholar] [CrossRef]
- King, J.T., Jr.; Yoon, J.S.; Bredl, Z.M.; Habboushe, J.P.; Walker, G.A.; Rentsch, C.T.; Tate, J.P.; Kashyap, N.M.; Hintz, R.C.; Chopra, A.P.; et al. Accuracy of the Veterans Health Administration COVID-19 (VACO) Index for predicting short-term mortality among 1307 US academic medical centre inpatients and 427 224 US Medicare patients. J. Epidemiol. Community Health 2022, 7, 254–260. [Google Scholar] [CrossRef]
- Zhao, J.; Schank, M.; Wang, L.; Dang, X.; Cao, D.; Khanal, S.; Nguyen, L.N.; Zhang, Y.; Wu, X.Y.; Adkins, J.L.; et al. Plasma biomarkers for systemic inflammation in COVID-19 survivors. Proteom. Clin. Appl. 2022, 16, e2200031. [Google Scholar] [CrossRef]
- Robin, X.; Turck, N.; Hainard, A.; Tiberti, N.; Lisacek, F.; Sanchez, J.-C.; Müller, M. pROC: An open-source package for R and S+ to analyze and compare ROC curves. BMC Bioinform. 2011, 12, 77. [Google Scholar] [CrossRef]
- Therneau, T. A Package for Survival Analysis in R. R Package Version 3.2-7. Available online: https://CRAN.R-project.org/package=survival (accessed on 30 September 2022).
- Hothorn, T.; Hornik, K.; Van De Wiel, M.A.; Zeileis, A. A lego system for conditional inference. Am. Stat. 2006, 60, 257–263. [Google Scholar] [CrossRef]
- Fang, X.; Li, S.; Yu, H.; Wang, P.; Zhang, Y.; Chen, Z.; Li, Y.; Cheng, L.; Li, W.; Jia, H.; et al. Epidemiological, comorbidity factors with severity and prognosis of COVID-19: A systematic review and meta-analysis. Aging 2020, 12, 12493–12503. [Google Scholar] [CrossRef] [PubMed]
- Bartleson, J.M.; Radenkovic, D.; Covarrubias, A.J.; Furman, D.; Winer, D.A.; Verdin, E. SARS-CoV-2, COVID-19 and the aging immune system. Nat. Aging 2021, 1, 769–782. [Google Scholar] [CrossRef]
- Rola, P.; Doroszko, A.; Trocha, M.; Giniewicz, K.; Kujawa, K.; Skarupski, M.; Gawryś, J.; Matys, T.; Szahidewicz-Krupska, E.; Gajecki, D.; et al. Mortality Predictive Value of the C2HEST Score in Elderly Subjects with COVID-19—A Subanalysis of the COLOS Study. J. Clin. Med. 2022, 11, 992. [Google Scholar] [CrossRef] [PubMed]
- Péterfi, A.; Mészáros, Á.; Szarvas, Z.; Pénzes, M.; Fekete, M.; Fehér, Á.; Lehoczki, A.; Csípő, T.; Fazekas-Pongor, V. Comorbidities and increased mortality of COVID-19 among the elderly: A systematic review. Imaging 2022, 109, 163–176. [Google Scholar] [CrossRef]
- Li, Y.-G.; Bai, J.; Zhou, G.; Li, J.; Wei, Y.; Sun, L.; Zu, L.; Liu, S. Refining age stratum of the C2HEST score for predicting incident atrial fibrillation in a hospital-based Chinese population. Eur. J. Intern. Med. 2021, 90, 37–42. [Google Scholar] [CrossRef]
- Marini, J.J.; Gattinoni, L. Management of COVID-19 Respiratory Distress. JAMA 2020, 323, 2329–2330. [Google Scholar] [CrossRef]
- Liu, F.; Li, L.; Xu, M.; Wu, J.; Luo, D.; Zhu, Y.; Li, B.; Song, X.; Zhou, X. Prognostic value of interleukin-6, C-reactive protein, and procalcitonin in patients with COVID-19. J. Clin. Virol. 2020, 127, 104370. [Google Scholar] [CrossRef]
- Li, L.; Li, J.; Gao, M.; Fan, H.; Wang, Y.; Xu, X.; Chen, C.; Liu, J.; Kim, J.; Aliyari, R.; et al. Interleukin-8 as a Biomarker for Disease Prognosis of Coronavirus Disease-2019 Patients. Front. Immunol. 2021, 11, 602395. [Google Scholar] [CrossRef]
- Li, X.; Liu, C.; Mao, Z.; Xiao, M.; Wang, L.; Qi, S.; Zhou, F. Predictive values of neutrophil-to-lymphocyte ratio on disease severity and mortality in COVID-19 patients: A systematic review and meta-analysis. Crit. Care 2020, 24, 647. [Google Scholar] [CrossRef]
- Lai, Y.-J.; Liu, S.-H.; Manachevakul, S.; Lee, T.-A.; Kuo, C.-T.; Bello, D. Biomarkers in long COVID-19: A systematic review. Front. Med. 2023, 10, 1085988. [Google Scholar] [CrossRef]
- Ponti, G.; Maccaferri, M.; Ruini, C.; Tomasi, A.; Ozben, T. Biomarkers associated with COVID-19 disease progression. Crit. Rev. Clin. Lab. Sci. 2020, 57, 389–399. [Google Scholar] [CrossRef]
- Sharma, A.; Ranjan, A. Veterans Health Administration COVID-19 Index to Risk Stratify the Geriatric Population with COVID-19 Infection. Indian J. Crit. Care Med. 2022, 26, 630–631. [Google Scholar] [CrossRef]



| Variables, Units (N) | Lower Risk (L) [0–0.292%] | Moderate Risk (M) [0.293–8.784%] | High Risk (H) [8.785–20.174%] | Extreme Risk (E) [>20.174%] | OMNIBUS p-Value | p-Value (for Post-Hoc Analysis) | |
|---|---|---|---|---|---|---|---|
| n/N (% of Risk Category) | n/N (% of Risk Category) | n/N (% of Risk Category) | n/N (% of Risk Category) | a—L vs. M b—L vs. H c—L vs. E | d—M vs. H e—M vs. E f—H vs. E | ||
| Applied Treatment and Procedures | |||||||
| Systemic corticosteroid (2183) | 203/519 (39.11%) | 402/710 (56.62%) | 333/628 (53.03%) | 158/326 (48.47%) | <0.0001 | <0.0001 a,b 0.0553 c | 1.0 d 0.1043 e 1.0 f |
| Convalescent plasma (2183) | 45/519 (8.67%) | 91/710 (12.82%) | 76/628 (12.1%) | 27/326 (8.28%) | 0.0361 | 0.1623 a 0.4442 b 1.0 c | 1.0 d 0.2552 e 0.5426 f |
| Tocilizumab (2183) | 5/519 (0.96%) | 15/710 (2.11%) | 4/628 (0.64%) | 1/326 (0.31%) | 0.0346 | 1.0 a,b,c | 0.2069 d 0.1733 e 1.0 f |
| Remdesivir (2183) | 66/519 (12.72%) | 141/710 (19.86%) | 100/628 (15.92%) | 36/326 (11.04%) | 0.0004 | 0.0075 a 0.8787 b 1.0 c | 0.4328 d 0.0039 e 0.3089 f |
| Antibiotic (2183) | 203/519 (39.11%) | 413/710 (58.17%) | 396/628 (63.06%) | 228/326 (69.94%) | <0.0001 | <0.0001 a,b,c | 0.4613 d 0.0023 e 0.2436 f |
| Variables, Units (N) | Lower Risk (L) [0–0.292%] | Moderate Risk (M) [0.293–8.784%] | High Risk (H) [8.785–20.174%] | Extreme Risk (E) [>20.174%] | OMNIBUS p-Value | p-Value (for Post-Hoc Analysis) | |
|---|---|---|---|---|---|---|---|
| Mean ± SD Min–Max (N) or n/N (% of Risk Category) | Mean ± SD Min–Max (N) or n/N (% of Risk Category) | Mean ± SD Min–Max (N) or n/N (% of Risk Category) | Mean ± SD Min–Max (N) or n/N (% of Risk Category) | a—L vs. M b—L vs. H c—L vs. E | d—M vs. H e—M vs. E f—H vs. E | ||
| Applied Treatment and Procedures | |||||||
| Respiratory support applied during the hospitalization no oxygen (2183) | 344/519 (66.28%) | 319/710 (45.06%) | 259/628 (41.31%) | 110/326 (33.74%) | <0.0001 | <0.0001 a,b,c | 0.4313 d <0.0001 e 0.0071 f |
| low flow oxygen support | 131/519 (25.24%) | 256/710 (36.16%) | 229/628 (36.52%) | 147/326 (45.09%) | |||
| high flow nasal cannula non-invasive ventilation | 18/519 (3.47%) | 39/710 (5.51%) | 39/628 (6.22%) | 35/326 (10.74%) | |||
| invasive ventilation | 25/519 (4.82%) | 85/710 (12.01%) | 78/628 (12.44%) | 24/326 (7.36%) | |||
| Oxygenation parameters from the period of qualification for advanced respiratory support: SpO2, % (631) | 93.68 ± 4.68 70–100 (189) | 88.77 ± 8.61 50–100 (180) | 86.01 ± 9.85 55–99 (160) | 85.77 ± 9.92 59–99 (102) | <0.0001 | <0.0001 a,b,c | 0.034 d 0.056 e 0.998 f |
| Therapy with catecholamines (2183) | 25/519 (4.82%) | 75/710 (10.56%) | 80/628 (12.74%) | 38/326 (11.66%) | <0.0001 | 0.0025 a <0.0001 b 0.0023 c | 1.0 d,e,f |
| Coronary revascularization or/and an indication for coronary revascularization (2183) | 1/519 (0.19%) | 5/710 (0.7%) | 12/628 (1.91%) | 12/326 (3.68%) | <0.0001 | 1.0 a 0.052 b 0.0005 c | 0.3237 d 0.0058 e 0.7537 f |
| Hemodialysis (2183) | 4/519 (0.44%) | 25/710 (3.52%) | 32/628 (5.1%) | 10/326 (3.07%) | 0.0007 | 0.0192 a 0.0004 b 0.1395 c | 1.0 d,e,f |
| Variables, Units (N) | Lower Risk (L) [0–0.292%] | Moderate Risk (M) [0.293–8.784%] | High Risk (H) [8.785–20.174%] | Extreme Risk (E) [>20.174%] | OMNIBUS p-Value | p-Value (for Post-Hoc Analysis) | |
|---|---|---|---|---|---|---|---|
| n/N (% of Risk Category) | n/N (% of Risk Category) | n/N (% of Risk Category) | n/N (% of Risk Category) | a—L vs. M b—L vs. H c—L vs. E | d—M vs. H e—M vs. E f—H vs. E | ||
| All-cause mortality rate | |||||||
| In-hospital mortality (2183) | 11/519 (2.12%) | 65/710 (9.15%) | 120/628 (20.38%) | 122/326 (37.42%) | <0.0001 | <0.0001 a,b,c | <0.0001 d,e,f |
| 3-month mortality (2087) | 13/483 (2.69%) | 107/679 (15.76%) | 225/605 (37.19%) | 201/320 (62.81%) | <0.0001 | <0.0001 a,b,c | <0.0001 d,e,f |
| 6-month mortality (1174) | 13/118 (11.02%) | 115/324 (35.49%) | 238/405 (58.77%) | 211/269 (78.44%) | <0.0001 | <0.0001 a,b,c | <0.0001 d,e,f |
| Variables, Units (N) | Lower Risk (L) [0–0.292%] | Moderate Risk (M) [0.293–8.784%] | High Risk (H) [8.785–20.174%] | Extreme Risk (E) [>20.174%] | OMNIBUS p-Value | p-Value (for Post-Hoc Analysis) | |
|---|---|---|---|---|---|---|---|
| Mean ± SD Min–Max (N) or n/N (% of Risk Category) | Mean ± SD Min–Max (N) or n/N (% of Risk Category) | Mean ± SD Min–Max (N) or n/N (% of Risk Category) | Mean ± SD Min–Max (N) or n/N (% of Risk Category) | a—L vs. M b—L vs. H c—L vs. E | d—M vs. H e—M vs. E f—H vs. E | ||
| Hospitalization | |||||||
| Duration of hospitalization, days (2183) | 7.74 ± 8.7 1–59 (519) | 13.05 ± 14.84 1–131 (710) | 14.55 ± 15.48 1–124 (628) | 14.55 ± 14.41 1–121 (326) | <0.0001 | <0.0001 a,b,c | 0.274 d 0.415 e 1.0 f |
| Admission at intensive care unit (2183) | 30/519 (5.78%) | 88/710 (12.39%) | 75/628 (11.94%) | 22/326 (6.75%) | <0.0001 | 0.0009 a 0.0028 b 1.0 c | 1.0 d 0.0511 e 0.0971 f |
| End of hospitalization death (2183) | 11/519 (2.12%) | 65/710 (9.15%) | 128/628 (20.38%) | 122/326 (37.42%) | <0.0001 | <0.0001 a,b,c | <0.0001 d,e,f |
| discharge to home full recovery | 447/519 (86.13%) | 459/710 (64.65%) | 297/628 (47.29%) | 113/326 (34.66%) | |||
| transfer to another hospital—worsening | 26/519 (5.01%) | 84/710 (11.83%) | 104/628 (16.56) | 66/326 (20.25) | |||
| transfer to another hospital—in recovery | 35/519 (6.74%) | 102/710 (14.37%) | 99/628 (15.76%) | 25/326 (7.67%) | |||
| Aborted cardiac arrest (2183) | 3/519 (0.58%) | 8/710 (1.13%) | 8/628 (1.27%) | 5/326 (1.53%) | 0.5334 | N/A | N/A |
| Shock (2183) | 17/519 (3.28%) | 65/710 (9.15%) | 70/628 (11.15%) | 35/326 (10.74%) | <0.0001 | 0.0004 a <0.0001 b 0.0001 c | 1.0 d,e,f |
| Hypovolemic shock (2183) | 5/519 (0.96%) | 12/710 (1.69%) | 11/628 (1.75%) | 7/326 (2.15%) | 0.556 | N/A | N/A |
| Cardiogenic shock (2183) | 2/519 (0.39%) | 5/710 (0.7%) | 9/628 (1.43%) | 16/326 (4.91%) | <0.0001 | 1.0 a 0.7463 b <0.0001 c | 1.0 d 0.0002 e 0.0138 f |
| Septic shock (2183) | 13/519 (2.5%) | 52/710 (7.32%) | 56/628 (8.92%) | 19/326 (5.83%) | 0.0001 | 0.0019 a <0.0001 b 0.1362 c | 1.0 d,e 0.7294 f |
| Venous thromboembolic disease (2183) | 12/519 (2.31%) | 28/710 (3.94%) | 18/628 (2.87%) | 11/326 (3.37%) | 0.4122 | N/A | N/A |
| Pulmonary embolism (2183) | 10/519 (1.93%) | 22/710 (3.1%) | 16/628 (2.55%) | 11/326 (3.37%) | 0.7591 | N/A | N/A |
| Myocardial infarction (2183) | 0/519 (0.0%) | 3/710 (0.42%) | 11/628 (1.75%) | 12/326 (3.68%) | <0.0001 | 1.0 a 0.0086 b <0.0001 c | 0.166 d 0.0008 e 0.4564 f |
| Myocardial injury (1174) | 8/167 (4.79%) | 75/407 (18.43%) | 123/389 (31.62%) | 92/211 (43.6%) | <0.0001 | 0.0003 a <0.0001 b,c | 0.0001 d <0.0001 e 0.0276 f |
| Acute heart failure (2183) | 0/519 (0.0%) | 11/710 (1.55%) | 20/628 (3.18%) | 45/326 (13.8%) | <0.0001 | 0.0662 a 0.0006 b <0.0001 c | 0.4289 d <0.0001 e,f |
| Stroke/TIA transient ischemic attack (2183) | 0/519 (0.0%) | 9/710 (1.27%) | 18/628 (2.87%) | 17/326 (5.21%) | <0.0001 | 0.1522 a 0.0016 b <0.0001 c | 0.3601 d 0.0022 e 0.5955 f |
| New cognitive signs and symptoms (2183) | 0/519 (0.0%) | 16/710 (2.25%) | 55/628 (8.76%) | 50/326 (15.34%) | <0.0001 | 0.0086 a <0.0001 b,c | <0.0001 d,e 0.0178 f |
| Pneumonia (2183) | 131/519 (25.24%) | 385/710 (54.23%) | 348/628 (55.41%) | 197/326 (60.43%) | <0.0001 | <0.0001 a,b,c | 1.0 d 0.4297 e 0.9413 f |
| Complete respiratory failure (276) | 5/14 (37.71%) | 34/72 (47.22%) | 55/104 (52.88%) | 52/86 (60.47%) | 0.2064 | N/A | N/A |
| SIRS systemic inflammatory response syndrome (2114) | 50/474 (10.55%) | 74/692 (10.69%) | 56/625 (8.96%) | 40/323 (12.38%) | 0.4188 | N/A | N/A |
| Sepsis (884) | 1/240 (0.42%) | 6/275 (2.18%) | 7/227 (3.08%) | 9/142 (6.34%) | 0.0047 | 0.7711 a 0.1981 b 0.0047 c | 1.0 d 0.2901 e 1.0 f |
| Acute kidney injury (2183) | 12/519 (2.31%) | 71/710 (10.0%) | 94/628 (14.97%) | 59/326 (18.1%) | <0.0001 | <0.0001 a,b,c | 0.0448 a 0.0023 b 1.0 c |
| Acute liver dysfunction (1974) | 3/423 (0.71%) | 25/651 (3.84%) | 16/598 (2.68%) | 22/302 (7.28%) | <0.0001 | 0.019 a 0.2392 b <0.0001 c | 1.0 d 0.002 e 0.0128 f |
| Multiple organ dysfunction syndrome (2183) | 4/519 (0.77%) | 15/710 (2.11%) | 11/628 (1.75%) | 7/326 (2.15%) | 0.282 | N/A | N/A |
| Lactic acidosis (245) | 1/13 (7.69%) | 3/60 (5.0%) | 7/95 (7.37%) | 11/77 (14.29%) | 0.2598 | N/A | N/A |
| Bleeding (2183) | 18/519 (3.47%) | 32/710 (4.51%) | 38/628 (6.05%) | 26/326 (7.98%) | 0.0201 | 1.0 a 0.3585 b 0.0402 c | 1.0 d 0.2094 e 1.0 f |
Disclaimer/Publisher’s Note: The statements, opinions and data contained in all publications are solely those of the individual author(s) and contributor(s) and not of MDPI and/or the editor(s). MDPI and/or the editor(s) disclaim responsibility for any injury to people or property resulting from any ideas, methods, instructions or products referred to in the content. |
© 2023 by the authors. Licensee MDPI, Basel, Switzerland. This article is an open access article distributed under the terms and conditions of the Creative Commons Attribution (CC BY) license (https://creativecommons.org/licenses/by/4.0/).
Share and Cite
Matera-Witkiewicz, A.; Krupińska, M.; Doroszko, A.; Trocha, M.; Giniewicz, K.; Kujawa, K.; Rabczyński, M.; Obremska, M.; Kuznik, E.; Lubieniecki, P.; et al. Usefulness of the Veterans Health Administration COVID-19 (VACO) Index for Predicting Short-Term Mortality among Patients of the COLOS Study. J. Clin. Med. 2023, 12, 6262. https://doi.org/10.3390/jcm12196262
Matera-Witkiewicz A, Krupińska M, Doroszko A, Trocha M, Giniewicz K, Kujawa K, Rabczyński M, Obremska M, Kuznik E, Lubieniecki P, et al. Usefulness of the Veterans Health Administration COVID-19 (VACO) Index for Predicting Short-Term Mortality among Patients of the COLOS Study. Journal of Clinical Medicine. 2023; 12(19):6262. https://doi.org/10.3390/jcm12196262
Chicago/Turabian StyleMatera-Witkiewicz, Agnieszka, Magdalena Krupińska, Adrian Doroszko, Małgorzata Trocha, Katarzyna Giniewicz, Krzysztof Kujawa, Maciej Rabczyński, Marta Obremska, Edwin Kuznik, Pawel Lubieniecki, and et al. 2023. "Usefulness of the Veterans Health Administration COVID-19 (VACO) Index for Predicting Short-Term Mortality among Patients of the COLOS Study" Journal of Clinical Medicine 12, no. 19: 6262. https://doi.org/10.3390/jcm12196262
APA StyleMatera-Witkiewicz, A., Krupińska, M., Doroszko, A., Trocha, M., Giniewicz, K., Kujawa, K., Rabczyński, M., Obremska, M., Kuznik, E., Lubieniecki, P., Adamik, B., Kaliszewski, K., Kiliś-Pstrusińska, K., Pomorski, M., Protasiewicz, M., Madziarski, M., Sokołowski, J., Jankowska, E. A., & Madziarska, K. (2023). Usefulness of the Veterans Health Administration COVID-19 (VACO) Index for Predicting Short-Term Mortality among Patients of the COLOS Study. Journal of Clinical Medicine, 12(19), 6262. https://doi.org/10.3390/jcm12196262

