Conservative versus Invasive Strategy in Elderly Patients with Non-ST-Elevation Myocardial Infarction: Insights from the International POPular Age Registry
Abstract
:1. Introduction
2. Materials and Methods
3. Results
3.1. Baseline Characteristics
3.1.1. Treatment
3.1.2. Antithrombotic Therapy
3.1.3. Frailty and Quality of Life
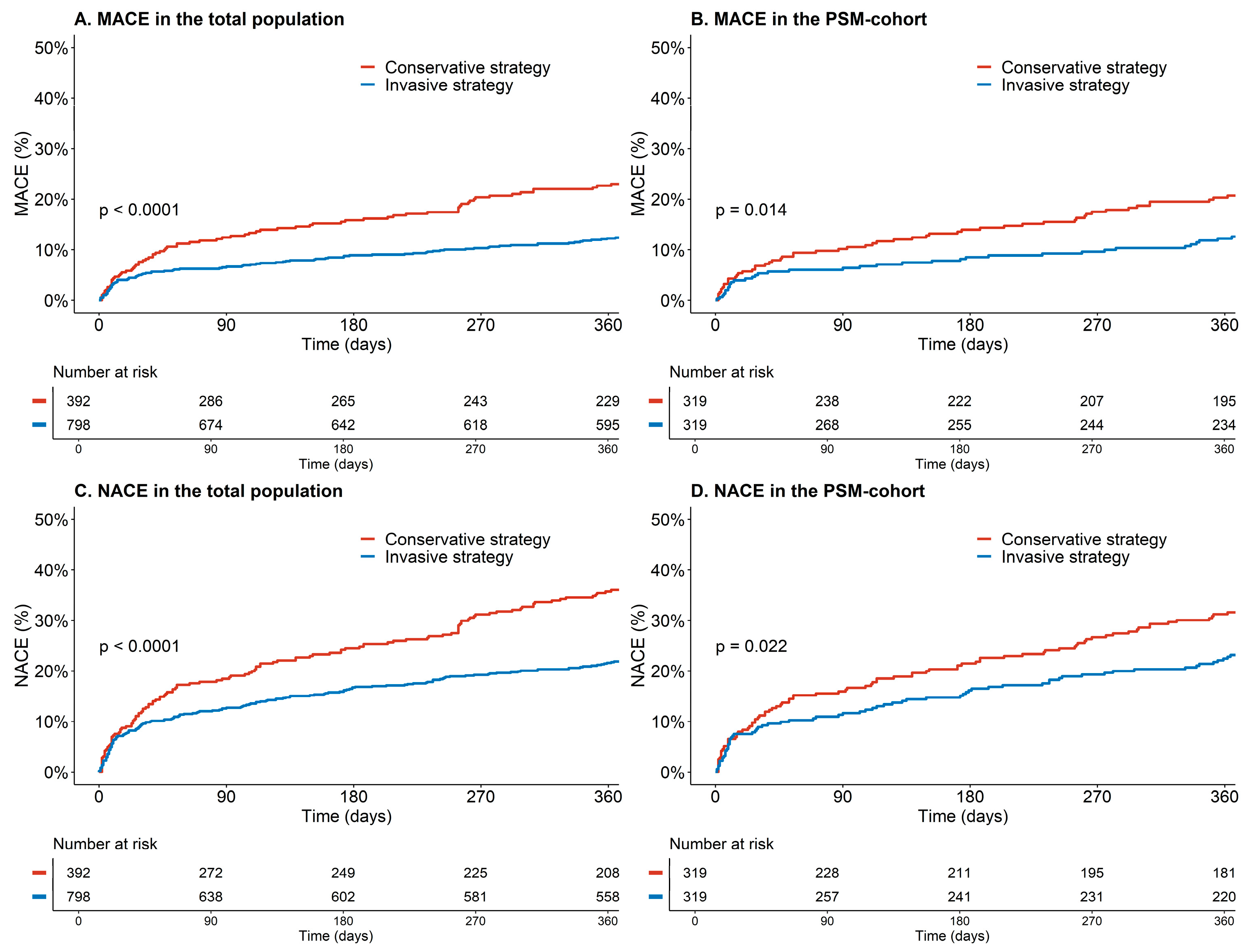
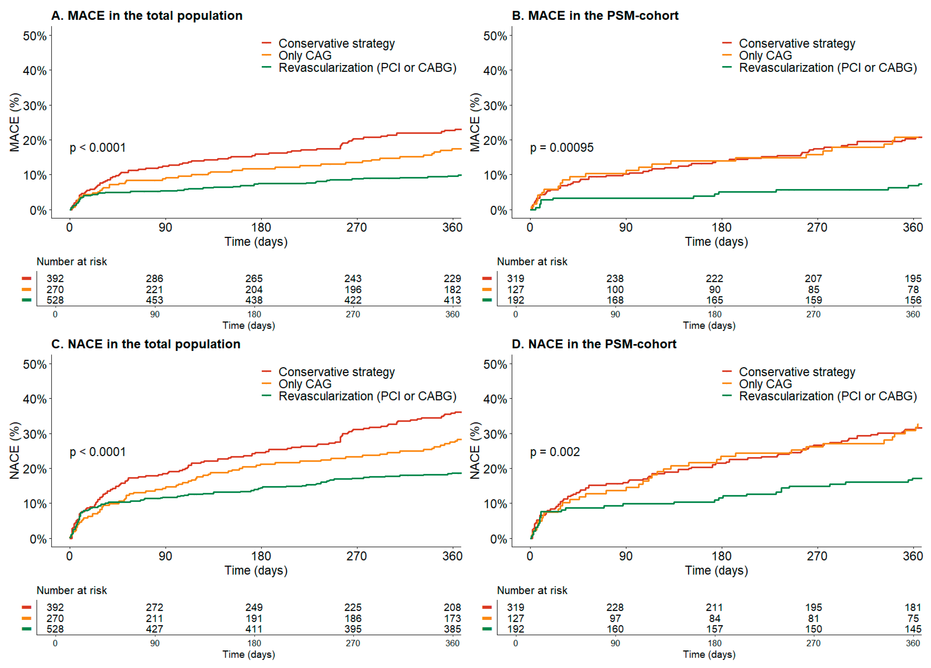
3.2. Outcomes
3.2.1. Total Population
3.2.2. PSM Cohort
3.2.3. Frailty
3.2.4. High Bleeding Risk
4. Discussion
4.1. Invasive versus Conservative Strategy
4.2. Frailty and Quality of Life
4.3. Strengths and Limitations
5. Conclusions
Supplementary Materials
Author Contributions
Funding
Institutional Review Board Statement
Informed Consent Statement
Data Availability Statement
Conflicts of Interest
Appendix A
Appendix A.1. The Groningen Frailty Questionnaire
Appendix A.2. SF-12
References
- Eurostat. Statistics Explained. Causes of Death Statistics. Available online: https://ec.europa.eu/eurostat/statistics-explained/index.php?title=Causes_of_death_statistics (accessed on 11 January 2022).
- Townsend, N.; Wilson, L.; Bhatnagar, P.; Wickramasinghe, K.; Rayner, M.; Nichols, M. Cardiovascular Disease in Europe: Epidemiological Update 2016. Eur. Heart J. 2016, 37, 3232–3245. [Google Scholar] [CrossRef] [PubMed]
- Husted, S.; James, S.; Becker, R.C.; Horrow, J.; Katus, H.; Storey, R.F.; Cannon, C.P.; Heras, M.; Lopes, R.D.; Morais, J.; et al. Ticagrelor versus Clopidogrel in Elderly Patients with Acute Coronary Syndromes: A Substudy from the Prospective Randomized PLATelet Inhibition and Patient Outcomes (PLATO) Trial. Circ. Cardiovasc. Qual. Outcomes 2012, 5, 680–688. [Google Scholar] [CrossRef] [PubMed]
- Collet, J.-P.; Thiele, H.; Barbato, E.; Barthélémy, O.; Bauersachs, J.; Bhatt, D.L.; Dendale, P.; Dorobantu, M.; Edvardsen, T.; Folliguet, T.; et al. 2020 ESC Guidelines for the Management of Acute Coronary Syndromes in Patients Presenting without Persistent ST-Segment Elevation. Eur. Heart J. 2020, 42, 1289–1367. [Google Scholar] [CrossRef]
- Amsterdam, E.A.; Wenger, N.K.; Brindis, R.G.; Casey, D.E.; Ganiats, T.G.; Holmes, D.R.; Jaffe, A.S.; Jneid, H.; Kelly, R.F.; Kontos, M.C.; et al. 2014 AHA/ACC Guideline for the Management of Patients with Non-ST-Elevation Acute Coronary Syndromes: A Report of the American College of Cardiology/American Heart Association Task Force on Practice Guidelines. J. Am. Coll. Cardiol. 2014, 64, e139–e228. [Google Scholar] [CrossRef] [PubMed]
- Damluji, A.A.; Forman, D.E.; Wang, T.Y.; Chikwe, J.; Kunadian, V.; Rich, M.W.; Young, B.A.; Page, R.L.; DeVon, H.A.; Alexander, K.P.; et al. Management of Acute Coronary Syndrome in the Older Adult Population: A Scientific Statement From the American Heart Association. Circulation 2023, 147, e32–e62. [Google Scholar] [CrossRef]
- Zaman, M.J.; Stirling, S.; Shepstone, L.; Ryding, A.; Flather, M.; Bachmann, M.; Myint, P.K. The Association between Older Age and Receipt of Care and Outcomes in Patients with Acute Coronary Syndromes: A Cohort Study of the Myocardial Ischaemia National Audit Project (MINAP). Eur. Heart J. 2014, 35, 1551–1558. [Google Scholar] [CrossRef]
- Gimbel, M.; Qaderdan, K.; Willemsen, L.; Hermanides, R.; Bergmeijer, T.; de Vrey, E.; Heestermans, T.; Tjon Joe Gin, M.; Waalewijn, R.; Hofma, S.; et al. Clopidogrel versus Ticagrelor or Prasugrel in Patients Aged 70 Years or Older with Non-ST-Elevation Acute Coronary Syndrome (POPular AGE): The Randomised, Open-Label, Non-Inferiority Trial. Lancet 2020, 395, 1374–1381. [Google Scholar] [CrossRef]
- Mehran, R.; Rao, S.V.; Bhatt, D.L.; Gibson, C.M.; Caixeta, A.; Eikelboom, J.; Kaul, S.; Wiviott, S.D.; Menon, V.; Nikolsky, E.; et al. Standardized Bleeding Definitions for Cardiovascular Clinical Trials. Circulation 2011, 123, 2736–2747. [Google Scholar] [CrossRef]
- Thygesen, K.; Alpert, J.S.; Jaffe, A.S.; Chaitman, B.R.; Bax, J.J.; Morrow, D.A.; White, H.D.; Thygesen, K.; Alpert, J.S.; Jaffe, A.S.; et al. Fourth Universal Definition of Myocardial Infarction (2018). Eur. Heart J. 2019, 40, 237–269. [Google Scholar] [CrossRef]
- Brieger, D.; Eagle, K.A.; Goodman, S.G.; Steg, P.G.; Budaj, A.; White, K.; Montalescot, G. Acute Coronary Syndromes Without Chest Pain, An Underdiagnosed and Undertreated High-Risk Group. Chest 2004, 126, 461–469. [Google Scholar] [CrossRef]
- Sanchis, J.; Núñez, E.; Barrabés, J.A.; Marín, F.; Consuegra-Sánchez, L.; Ventura, S.; Valero, E.; Roqué, M.; Bayés-Genís, A.; del Blanco, B.G.; et al. Randomized Comparison between the Invasive and Conservative Strategies in Comorbid Elderly Patients with Non-ST Elevation Myocardial Infarction. Eur. J. Intern. Med. 2016, 35, 89–94. [Google Scholar] [CrossRef] [PubMed]
- Tegn, N.; Abdelnoor, M.; Aaberge, L.; Endresen, K.; Smith, P.; Aakhus, S.; Gjertsen, E.; Dahl-Hofseth, O.; Ranhoff, A.H.; Gullestad, L.; et al. Invasive versus Conservative Strategy in Patients Aged 80 Years or Older with Non-ST-Elevation Myocardial Infarction or Unstable Angina Pectoris (After Eighty Study): An Open-Label Randomised Controlled Trial. Lancet 2016, 387, 1057–1065. [Google Scholar] [CrossRef] [PubMed]
- Savonitto, S.; Cavallini, C.; Petronio, A.S.; Murena, E.; Antonicelli, R.; Sacco, A.; Steffenino, G.; Bonechi, F.; Mossuti, E.; Manari, A.; et al. Early Aggressive Versus Initially Conservative Treatment in Elderly Patients With Non–ST-Segment Elevation Acute Coronary Syndrome. JACC Cardiovasc. Interv. 2012, 5, 906–916. [Google Scholar] [CrossRef] [PubMed]
- Bach, R.G.; Cannon, C.P.; Weintraub, W.S.; DiBattiste, P.M.; Demopoulos, L.A.; Anderson, H.V.; DeLucca, P.T.; Mahoney, E.M.; Murphy, S.A.; Braunwald, E. The Effect of Routine, Early Invasive Management on Outcome for Elderly Patients with Non–ST-Segment Elevation Acute Coronary Syndromes. Ann. Intern. Med. 2004, 141, 186. [Google Scholar] [CrossRef] [PubMed]
- Kvakkestad, K.M.; Gran, J.M.; Eritsland, J.; Holst Hansen, C.; Fossum, E.; Andersen, G.Ø.; Halvorsen, S. Long-Term Survival after Invasive or Conservative Strategy in Elderly Patients with Non-ST-Elevation Myocardial Infarction: A Prospective Cohort Study. Cardiology 2019, 144, 79–89. [Google Scholar] [CrossRef] [PubMed]
- Kochar, A.; Chen, A.Y.; Sharma, P.P.; Pagidipati, N.J.; Fonarow, G.C.; Cowper, P.A.; Roe, M.T.; Peterson, E.D.; Wang, T.Y. Long-Term Mortality of Older Patients with Acute Myocardial Infarction Treated in US Clinical Practice. J. Am. Heart Assoc. 2018, 7, e007230. [Google Scholar] [CrossRef]
- Kunniardy, P.; Koshy, A.N.; Meehan, G.; Murphy, A.C.; Ramchand, J.; Clark, D.J.; Farouque, O.; Yudi, M.B. Invasive versus Conservative Management in Patients Aged ≥85 Years Presenting with non-ST-elevation Myocardial Infarction. Intern. Med. J. 2022, 52, 1167–1173. [Google Scholar] [CrossRef]
- Rosengren, A. Better Treatment and Improved Prognosis in Elderly Patients with AMI: But Do Registers Tell the Whole Truth? Eur. Heart J. 2012, 33, 562–563. [Google Scholar] [CrossRef]
- Saar, A.; Marandi, T.; Ainla, T.; Fischer, K.; Blöndal, M.; Eha, J. The Risk-Treatment Paradox in Non-ST-Elevation Myocardial Infarction Patients According to Their Estimated GRACE Risk. Int. J. Cardiol. 2018, 272, 26–32. [Google Scholar] [CrossRef]
- van der Sangen, N.M.R.; Azzahhafi, J.; Chan Pin Yin, D.R.P.P.; Peper, J.; Rayhi, S.; Walhout, R.J.; Tjon Joe Gin, M.; Nicastia, D.M.; Langerveld, J.; Vlachojannis, G.J.; et al. External Validation of the GRACE Risk Score and the Risk–Treatment Paradox in Patients with Acute Coronary Syndrome. Open Heart 2022, 9, e001984. [Google Scholar] [CrossRef]
- Hirlekar, G.; Libungan, B.; Karlsson, T.; Bäck, M.; Herlitz, J.; Albertsson, P. Percutaneous Coronary Intervention in the Very Elderly with NSTE-ACS: The Randomized 80+ Study. Scand. Cardiovasc. J. 2020, 54, 315–321. [Google Scholar] [CrossRef] [PubMed]
- de Belder, A.; Myat, A.; Blaxill, J.; Haworth, P.; O’Kane, P.D.; Hatrick, R.; Aggarwal, R.K.; Davie, A.; Smith, W.; Gerber, R.; et al. Revascularisation or Medical Therapy in Elderly Patients with Acute Anginal Syndromes: The RINCAL Randomised Trial. EuroIntervention 2021, 17, 67–74. [Google Scholar] [CrossRef] [PubMed]
- Matthews, C.J.; Kirby, J.; Blaxill, J.M.; Greenwood, J.P.; Mozid, A.M.; Rossington, J.A.; Veerasamy, M.; Wassef, N.; Wheatcroft, S.B.; Bulluck, H. Management of Non-ST-Segment Elevation Myocardial Infarction in Patients Aged ≥ 80 Years: A Meta-Analysis of Randomized Controlled Trials. J. Geriatr. Cardiol. 2022, 19, 789–790. [Google Scholar] [CrossRef]
- DeFilippis, A.P.; Chapman, A.R.; Mills, N.L.; de Lemos, J.A.; Arbab-Zadeh, A.; Newby, L.K.; Morrow, D.A. Assessment and Treatment of Patients With Type 2 Myocardial Infarction and Acute Nonischemic Myocardial Injury. Circulation 2019, 140, 1661–1678. [Google Scholar] [CrossRef] [PubMed]
- Amin, A.P.; Wang, T.Y.; McCoy, L.; Bach, R.G.; Effron, M.B.; Peterson, E.D.; Cohen, D.J. Impact of Bleeding on Quality of Life in Patients on DAPT. J. Am. Coll. Cardiol. 2016, 67, 59–65. [Google Scholar] [CrossRef] [PubMed]
- Valgimigli, M.; Costa, F.; Lokhnygina, Y.; Clare, R.M.; Wallentin, L.; Moliterno, D.J.; Armstrong, P.W.; White, H.D.; Held, C.; Aylward, P.E.; et al. Trade-off of Myocardial Infarction vs. Bleeding Types on Mortality after Acute Coronary Syndrome: Lessons from the Thrombin Receptor Antagonist for Clinical Event Reduction in Acute Coronary Syndrome (TRACER) Randomized Trial. Eur. Heart J. 2016, 38, 804–810. [Google Scholar] [CrossRef] [PubMed]
- D’Agostino, R.B. Propensity Scores in Cardiovascular Research. Circulation 2007, 115, 2340–2343. [Google Scholar] [CrossRef]



| Before PSM | After PSM | |||||
|---|---|---|---|---|---|---|
| Conservative (N = 392) | Invasive (N = 798) | p-Value | Conservative (N = 319) | Invasive (N = 319) | p-Value | |
| Age (years)—median, IQR | 83 (79–87) | 79 (77–83) | <0.001 | 82 (79–86) | 82 (79–85.5) | 0.757 |
| Female | 199 (51%) | 308 (39%) | <0.001 | 156 (49%) | 140 (44%) | 0.204 |
| BMI (mean ± SD) | 27 ± 5 | 27 ± 4 | 0.688 | 27 ± 5 | 27 ± 4 | 0.127 |
| Medical history | ||||||
| MI | 143 (36%) | 227 (29%) | 0.005 | 107 (34%) | 108 (34%) | 0.933 |
| Stroke | 69 (18%) | 111 (14%) | 0.095 | 58 (18%) | 57 (18%) | 0.918 |
| PAD | 30 (8%) | 94 (12%) | 0.029 | 26 (8%) | 29 (9%) | 0.672 |
| Heart failure | 48 (12%) | 31 (4%) | <0.001 | 21 (7%) | 26 (28%) | 0.449 |
| CKD | 70 (18%) | 66 (8%) | <0.001 | 38 (12%) | 41 (13%) | 0.718 |
| COPD | 65 (17%) | 87 (11%) | 0.006 | 43 (14%) | 48 (15%) | 0.571 |
| Atrial fibrillation | 94 (24%) | 112 (14%) | <0.001 | 70 (22%) | 60 (19%) | 0.326 |
| Dyslipidemia | 129 (33%) | 370 (46%) | <0.001 | 109 (34%) | 122 (38%) | 0.284 |
| Diabetes mellitus | 116 (30%) | 191 (24%) | 0.036 | 91 (29%) | 97 (30%) | 0.602 |
| Hypertension | 241 (62%) | 529 (66%) | 0.103 | 197 (62%) | 206 (65%) | 0.460 |
| Smoking | 149 (38%) | 367 (46%) | 0.009 | 126 (40%) | 135 (42%) | 0.469 |
| At admission | ||||||
| Killip class > II | 76 (19%) | 91 (11%) | <0.001 | 53 (17%) | 53 (17%) | 1.000 |
| LVEF < 50% | 73 (19%) | 142 (18%) | 0.727 | 55 (17%) | 59 (19%) | 0.679 |
| ST-depression | 117 (30%) | 240 (30%) | 0.936 | 94 (30%) | 100 (31%) | 0.606 |
| GRACE-score (mean ± SD) | 165 ± 41 | 161 ± 41 | 0.117 | 163 ± 40 | 165 ± 44 | 0.565 |
| CRUSADE score (mean ± SD) | 40 ± 12 | 34 ± 11 | <0.001 | 39 ± 12 | 37 ± 12 | 0.088 |
| Treatment | ||||||
| Optimal medical treatment | 110 (28%) | 364 (46%) | <0.001 | 101 (32%) | 110 (35%) | 0.449 |
| Aspirin | 220 (56%) | 638 (80%) | <0.001 | 181 (57%) | 237 (74%) | <0.001 |
| P2Y12-inhibitor | 265 (68%) | 662 (83%) | <0.001 | 222 (70%) | 247 (77%) | 0.025 |
| Beta-blocker | 254 (65%) | 607 (76%) | <0.001 | 215 (67%) | 223 (70%) | 0.495 |
| ACE-inhibitor | 151 (39%) | 418 (52%) | <0.001 | 132 (41%) | 146 (46%) | 0.264 |
| AT-II antagonist | 58 (15%) | 154 (19%) | 0.056 | 49 (15%) | 62 (19%) | 0.175 |
| Cholesterol inhibitor | 261 (67%) | 694 (87%) | <0.001 | 218 (68%) | 259 (81%) | <0.001 |
| Questionnaire | Number of Patients (Conservative vs. Invasive) | Total Population | Conservative Group | Invasive Group | p-Value |
|---|---|---|---|---|---|
| GFI—median, IQR | 898 (357 vs. 541) | 4 (2–7) | 6 (3–8) | 4 (2–6) | <0.001 |
| Frailty (GFI ≥ 4) | 541 (60%) | 188 (70%) | 353 (56%) | <0.001 | |
| SF-12 at 1 month—mean ± SD PCS MCS | 728 (232 vs. 496) | 37.1 ±6.1 44.5 ±6.0 | 36.1 ± 6.6 43.4 ± 6.2 | 37.6 ± 5.7 44.9 ± 5.9 | 0.002 0.002 |
| SF-12 at 12 months—mean ± SD PCS MCS | 591 (150 vs. 441) | 37.8 ± 5.8 45.7 ± 5.5 | 36.4 ± 6.4 44.3 ± 6.2 | 38.3 ± 5.4 46.2 ± 5.1 | 0.001 0.001 |
| Variables | Univariable Model | Multivariable Model | ||||
|---|---|---|---|---|---|---|
| HR | 95% CI of HR | p-Value | HR | 95% CI of HR | p-Value | |
| Age | 1.06 | 1.03–1.09 | <0.001 | 1.05 | 1.02–1.09 | 0.001 |
| Diabetes Mellitus | 1.60 | 1.16–2.22 | 0.004 | 1.59 | 1.15–2.22 | 0.006 |
| Killip Class of 2 or higher | 1.94 | 1.32–2.84 | 0.001 | 1.53 | 1.04–2.27 | 0.033 |
| LVEF < 50% | 1.70 | 1.17–2.45 | 0.005 | 1.47 | 1.00–2.15 | 0.049 |
| ST-depression | 1.89 | 1.35–2.61 | <0.001 | 1.66 | 1.19–2.33 | 0.003 |
| Total Study Population | After PSM | |||||||
|---|---|---|---|---|---|---|---|---|
| Conservative (N = 392) | Invasive (N = 798) | HR * (95% CI) | p-Value | Conservative (N = 319) | Invasive (N = 319) | HR (95% CI) | p-Value | |
| MACE | 78 (20%) | 93 (12%) | 0.53 (0.37–0.77) | 0.001 | 57 (18%) | 38 (12%) | 0.50 (0.31–0.81) | 0.004 |
| NACE | 128 (33%) | 167 (21%) | 0.65 (0.49–0.86) | 0.003 | 91 (29%) | 70 (22%) | 0.69 (0.48–0.99) | 0.045 |
| All-cause death | 100 (26%) | 70 (9%) | 0.36 (0.25–0.52) | <0.001 | 70 (22%) | 37 (12%) | 0.46 (0.29–0.74) | 0.001 |
| CV death | 49 (13%) | 32 (4%) | 0.35 (0.21–0.60) | <0.001 | 36 (11%) | 19 (6%) | 0.47 (0.24–0.90) | 0.023 |
| Recurrent ACS | 32 (8%) | 49 (6%) | 0.47 (0.28–0.78) | 0.004 | 22 (7%) | 16 (5%) | 0.56 (0.27–1.17) | 0.123 |
| Stroke | 1 (0.3%) | 11 (1%) | 2.62 (0.31–22.3) | 0.378 | 1 (0.3%) | 0 | ||
| Major bleeding | 7 (2%) | 48 (6%) | 2.24 (0.96–5.22) | 0.062 | 4 (1%) | 24 (8%) | 4.37 (1.50–12.8) | 0.007 |
| Non-major and clinically relevant bleeding | 22 (6%) | 113 (14%) | 1.94 (1.16–3.23) | 0.012 | 17 (5%) | 53 (17%) | 2.52 (1.40–4.51) | 0.002 |
| Periprocedural bleeding | 0 | 27 (3%) | NA | NA | 0 | 13 (4%) | NA | NA |
Disclaimer/Publisher’s Note: The statements, opinions and data contained in all publications are solely those of the individual author(s) and contributor(s) and not of MDPI and/or the editor(s). MDPI and/or the editor(s) disclaim responsibility for any injury to people or property resulting from any ideas, methods, instructions or products referred to in the content. |
© 2023 by the authors. Licensee MDPI, Basel, Switzerland. This article is an open access article distributed under the terms and conditions of the Creative Commons Attribution (CC BY) license (https://creativecommons.org/licenses/by/4.0/).
Share and Cite
van den Broek, W.W.A.; Gimbel, M.E.; Chan Pin Yin, D.R.P.P.; Azzahhafi, J.; Hermanides, R.S.; Runnett, C.; Storey, R.F.; Austin, D.; Oemrawsingh, R.; Cooke, J.; et al. Conservative versus Invasive Strategy in Elderly Patients with Non-ST-Elevation Myocardial Infarction: Insights from the International POPular Age Registry. J. Clin. Med. 2023, 12, 5450. https://doi.org/10.3390/jcm12175450
van den Broek WWA, Gimbel ME, Chan Pin Yin DRPP, Azzahhafi J, Hermanides RS, Runnett C, Storey RF, Austin D, Oemrawsingh R, Cooke J, et al. Conservative versus Invasive Strategy in Elderly Patients with Non-ST-Elevation Myocardial Infarction: Insights from the International POPular Age Registry. Journal of Clinical Medicine. 2023; 12(17):5450. https://doi.org/10.3390/jcm12175450
Chicago/Turabian Stylevan den Broek, Wout W. A., Marieke E. Gimbel, Dean R. P. P. Chan Pin Yin, Jaouad Azzahhafi, Renicus S. Hermanides, Craig Runnett, Robert F. Storey, David Austin, Rohit Oemrawsingh, Justin Cooke, and et al. 2023. "Conservative versus Invasive Strategy in Elderly Patients with Non-ST-Elevation Myocardial Infarction: Insights from the International POPular Age Registry" Journal of Clinical Medicine 12, no. 17: 5450. https://doi.org/10.3390/jcm12175450
APA Stylevan den Broek, W. W. A., Gimbel, M. E., Chan Pin Yin, D. R. P. P., Azzahhafi, J., Hermanides, R. S., Runnett, C., Storey, R. F., Austin, D., Oemrawsingh, R., Cooke, J., Galasko, G., Walhout, R. J., Schellings, D. A. A. M., Brinckman, S. L., The, H. K., Stoel, M. G., Heestermans, A. A. C. M., Nicastia, D., Emans, M. E., ... ten Berg, J. M. (2023). Conservative versus Invasive Strategy in Elderly Patients with Non-ST-Elevation Myocardial Infarction: Insights from the International POPular Age Registry. Journal of Clinical Medicine, 12(17), 5450. https://doi.org/10.3390/jcm12175450

