Abstract
Although previous studies investigated the influence of cardiovascular risk (CVR) factors in patients with acute coronary syndrome, data concerning the effect of CVR factors on the prognosis of patients with cardiogenic shock (CS) is scarce. Consecutive patients with CS were prospectively included from 2019 to 2021. The prognosis of patients with “low CVR” (i.e., 0–1 CVR factors) was compared to patients with “high CVR” (i.e., 2–4 CVR factors) according to presence or absence of arterial hypertension, diabetes mellitus, hyperlipidaemia or smoking. The primary endpoint was 30-day all-cause mortality. Statistical analyses included Kaplan-Meier and Cox proportional regression analyses. 273 consecutive patients with CS were included. 28% presented with low CVR and 72% with high CVR. Within the entire study cohort, the risk of 30-day all-cause mortality did not differ between patients with high and low CVR (55% vs. 57%; log rank p = 0.727; HR = 0.942; 95% CI 0.663–1.338; p = 0.738). Even after multivariable adjustment, high CVR was not associated with an elevated risk of 30-day all-cause mortality (HR = 1.039; 95% CI 0.648–1.667; p = 0.873). The presence of arterial hypertension (55% vs. 58%; log rank p = 0.564; HR = 0.906; 95% CI 0.638–1.287; p = 0.582), diabetes mellitus (60% vs. 52%; log rank p = 0.215; HR = 1.213; 95% CI 0.881–1.671; p = 0.237) and a history of smoking (56% vs. 56%; log rank p = 0.725; HR = 0.945; 95% CI 0.679–1.315; p = 0.737) did not significantly influence short-term prognosis.. Only the absence of hyperlipidaemia significantly decreased the risk of all-cause mortality (65% vs. 51%; log rank p = 0.038; HR = 0.718; 95% CI 0.516–0.998; p = 0.049), which was no longer observed after multivariable adjustment (HR = 0.801; 95% CI 0.536–1.195; p = 0.277). In conclusion, neither the overall CVR nor individual CVR factors were associated with the risk of 30-day all-cause mortality in patients with CS.
    1. Introduction
Cardiogenic shock (CS) is a subtype of shock in which a primarily cardiac pathology causes a mismatch between blood supply of the heart and demanded tissue perfusion. In the majority of cases, this inability to provide sufficient circulation originates in substantial myocardial ischaemia []. Accordingly, CS is a meaningful complication in patients with acute myocardial infarction (AMI), occurring in up to 13% of the patients with ST-elevation myocardial infarction (STEMI) [,]. Despite early revascularization strategies and the use of mechanical circulatory support devices, CS-related mortality remains dissatisfying with some authors even indicating a rise of in-hospital mortality rates in patients with myocardial infarction complicated by CS undergoing percutaneous coronary intervention (PCI) [,]. Therefore, comprehending which biomarker and risk factor may or may not disclose CS patients with greater risk of dying is of utmost importance.
Cardiovascular risk (CVR) factors, particularly arterial hypertension, diabetes mellitus, hyperlipidaemia, as well as smoking, are the main drivers of atherosclerosis, and thus, cardiovascular illnesses like coronary artery disease (CAD) []. As such, those so-called standard modifiable risk factors (SMuRFs) are accountable for the majority of global deaths, according to the “Global Burden of Disease Study 2017” [,]. Consequently, reducing SMuRFs is a pivotal role in current cardiologic guidelines [].
While a few studies focusing on the prognostic outcome of SMuRFs in patients with acute coronary syndrome (ACS) are available, to the best of the authors knowledge, no studies investigating the influence of SMuRFs in patients with CS were published yet [,,,,,]. Therefore, this study aims to analyse the prognostic value of SMuRFs by comparing CS patients with high (i.e., 2–4 CVR factors) vs. low CVR (i.e., 0–1 CVR factors) with regard to 30-day all-cause mortality. Thereafter, the prognostic impact of the individual SMuRFs on short-term mortality was tested.
2. Materials and Methods
2.1. Study Patients, Design and Data Collection
This study prospectively included all consecutive CS patients admitted to the internistic intensive care unit (ICU) at the University Medical Center Mannheim, Germany, from June 2019 to May 2021. Clinically relevant data related to the index event was documented using the electronic hospital information system as well as the IntelliSpace Critical Care and anaesthesia information system (ICCA, Philips, Philips GmbH Market DACH, Hamburg, Germany), which are implemented at the ICU to organize patient data (i.e., admission documents, vital signs, laboratory values, treatment data and consult notes).
Laboratory parameters, ICU-related scores, hemodynamic measurements and ventilation parameters of the day of admission (i.e., day 1), as well as of days 2, 3, 4 and 8 were collected. Moreover, data concerning prior medical history, pharmacological therapy and medical imaging was documented as well as the duration of index hospital stay. The source data was recorded by intensivists and ICU nurses during routine clinical care.
This study derives from an analysis of the “Cardiogenic Shock Registry Mannheim” (CARESMA-registry). The CARESMA-registry represents a prospective single-center registry including consecutive CS patients admitted to the ICU for internal medicine of the University Medical Center Mannheim (UMM), Germany (clinicaltrials.gov identifier: NCT05575856), as recently published []. The registry was established according to the principles of the declaration of Helsinki and was approved by the medical ethics committee II of the Medical Faculty Mannheim, University of Heidelberg, Germany.
2.2. Inclusion and Exclusion Criteria, Study Endpoints
For this study, all consecutive patients with CS were included. The diagnosis of CS was made in accordance with current recommendations of the Acute Cardiovascular Care Association of the European Society of Cardiology []. Correspondingly, cardiogenic shock was defined as hypotension (SBP < 90 mmHg) for more than 30 min despite adequate filling status or need for vasopressor or inotropic therapy to achieve SBP > 90 mmHg. Additionally, signs for end-organ hypoperfusion, such as oliguria with urine output < 30 mL/hour, altered mental status, cold clammy skin, or increased serum lactate > 2 mmol/L had to be present. Patients with “low CVR” (i.e., 0–1 CVR factors) were compared to patients with “high CVR” (i.e., 2–4 CVR factors). CVR factors included the presence of arterial hypertension, diabetes mellitus, hyperlipidaemia or smoking. The presence or absence of CVRs was assessed according to first diagnosis during index hospitalization or prior medical history. Arterial hypertension was defined by systolic blood pressure levels ≥ 140 mmHg and/or diastolic blood pressure levels ≥ 90 mmHg, causing the benefits of treatment (i.e., lifestyle interventions or medication) to be superior to the risks []. Diabetes mellitus was defined in the presence of glycated haemoglobin A1c (HbA1c) ≥ 6.5%, fasting plasma glucose levels ≥ 126 mg/dL or 2-h post-load plasma glucose levels ≥ 200 mg/dL in accordance with established guidelines []. Hyperlipidaemia was determined as previously diagnosed hyperlipidaemia, prescribed lipid-lowering therapy or serum low-density lipoprotein (LDL) levels > 115 mg/dL during index hospitalisation []. Patients were characterised as smokers if they were ex- or current smokers correspondent to prior or latest anamnesis. No exclusion criteria were applied for the present study.
The primary endpoint was all-cause mortality at 30-days. All-cause mortality was recorded using the electronic hospital information system and by directly contacting state resident registration offices (‘bureau of mortality statistics’). The patients’ identity was verified by place of name, surname, day of birth, as well as registered living address. No patient was lost to follow-up with respect to all-cause mortality at 30 days.
2.3. Statistical Methods
Quantitative- data is presented as median and interquartile range (IQR). Student’s t test and the Mann-Whitney U test were used to compare normally distributed and nonparametric data, respectively. The Kolmogorov-Smirnov test was applied to test for deviations from a Gaussian distribution. Qualitative data is presented in form of absolute and relative frequencies and was compared using the Chi-square test or Fisher’s exact test, as appropriate. Kaplan-Meier analyses were performed to compare the prognostic outcome of high CVR vs. low CVR patients with regard to the primary endpoint (i.e., all-cause mortality at 30-days). Thereafter, Kaplan-Meier analyses were used to analyse the prognostic impact of the individual CVR factors on the risk of 30-day all-cause mortality. Univariable hazard ratios (HR) were given together with 95% confidence intervals. Finally, multivariable Cox regression models were developed using the “forward selection” option.
Results of all statistical tests were considered significant for p ≤ 0.05. SPSS (Version 28, IBM, Armonk, New York, NY, USA) was used for statistics.
3. Results
3.1. Study Population
273 patients with CS were admitted to our institution from 2019 to 2021. Within the entire study cohort, 197 (72%) patients had concomitant arterial hypertension, 110 (40%) patients had diabetes mellitus, 187 (69%) patients had hyperlipidaemia and 99 (36%) patients were smokers. The median age was 73 years and most of the patients were males (60%) (Table 1; left panel). Overall, 56% (n = 152) of the patients reached the primary endpoint of 30-day all-cause mortality (Table 2; left panel). As seen in Table 1, non-survivors presented with lower body temperatures (median 35.8 vs. 36.1 °C; p = 0.033) and higher heart rates (median 94 vs. 85 bpm; p = 0.049) than survivors. Except for hyperlipidaemia, which was more frequent in survivors (75% vs. 63%; p = 0.033), cardiovascular risk factors were evenly distributed between survivors and non-survivors. Moreover, the prior medical history and medication on admission differed not significantly between both groups. As displayed in Table 2, AMI, as a cause of CS, was significantly more common in non-survivors compared to survivors (57% vs. 40%; p = 0.005), whereas an arrhythmic cause was more frequent in survivors than in non-survivors (21% vs. 5%; p = 0.001). Both out-of-hospital cardiac arrest (44% vs. 31%; p = 0.022) and in-hospital cardiac arrest (22% vs. 11%; p = 0.011) were observed more often in non-survivors than in survivors. Furthermore, non-survivors required mechanical ventilation (63% vs. 50%; p = 0.024) and mechanical circulatory assist devices (13% vs. 4%; p = 0.010) more frequently compared to survivors. Regarding baselines laboratory values, non-survivors especially showed higher lactate levels (4.7 vs. 2.6 mmol/L; p = 0.001), higher creatinine levels (1.59 vs. 1.31 mg/dL; p = 0.006), higher triglyceride levels (108 vs. 94 mg/dL; p = 0.026) and higher troponin I levels (1.850 vs. 0.332 µg/L; p = 0.001) than survivors. In contrast, survivors had significantly higher albumin levels compared to non-survivors (30.7 vs. 28.7 g/L; p = 0.005). Baselines characteristics and shock-related data comparing patients with low CVR to patients with high CVR are outlined in Supplemental Tables S1 and S2. Of note, patients with low CVR were more likely to have out-of-hospital cardiac arrest compared to high CVR patients (56% vs. 31%; p = 0.001).
 
       
    
    Table 1.
    Baseline characteristics.
  
 
       
    
    Table 2.
    Shock-related data, follow-up data and endpoints.
  
3.2. Prognostic Impact of the CVR
At 30 days, the primary endpoint of all-cause mortality occurred in 55% of the patients with high CVR and 57% of the patients with low CVR. Accordingly, the risk of all-cause mortality was not affected by the CVR (log rank p = 0.727; HR = 0.942; 95% CI 0.663–1.338; p = 0.738) (Figure 1A). Furthermore, no association between the CVR and short-term all-cause mortality was found when stratified for AMI- (63% vs. 66%; log rank p = 0.752; HR = 0.932; 95% CI 0.585–1.485; p = 0.767) and non-AMI-related CS (47% vs. 49%; log rank p = 0.847; HR = 0.950; 95% CI 0.558–1.619; p = 0.851) (Figure 1B,C). Even after multivariable adjustment, high CVR was not associated with an increased risk of 30-day all-cause mortality (HR = 1.039; 95% CI 0.648–1.667; p = 0.873). Instead, high lactate levels (HR = 1.134; 95% CI 1.087–1.183; p = 0.001) and the presence of AMI (HR = 2.089; 95% CI 1.205–3.620; p = 0.009) were independently associated with an elevated risk of 30-day all-cause mortality (Table 3). Comparing patients with 0 vs. 1–4 (61% vs. 55%; log rank p = 0.407; HR = 0.811; 95% CI 0.483–1.362; p = 0.429) or 0–2 vs. 3–4 (58% vs. 53%; log rank p = 0.310; HR = 0.852; 95% CI 0.616–1.178; p = 0.333) CVR factors resulted in comparable outcomes with no statistically significant association between, 30-day all-cause mortality and different CVR.
 
      
    
    Figure 1.
      Kaplan-Meier curves for low and high CVR within the entire study cohort (A), patients with AMI (B) and non-AMI patients (C).
  
 
       
    
    Table 3.
    Uni- and multivariable Cox regression analyses with regard to 30-day all-cause mortality.
  
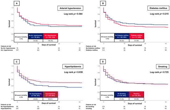
Figure 2 illustrates the prognostic impact of individual CVR factors on 30-day all-cause mortality. The primary endpoint of 30-day all-cause mortality was reached by 55% of the patients with and 58% of the patients without arterial hypertension. Hence, the presence of arterial hypertension did not significantly heighten the risk of short-term mortality (log rank p = 0.564; HR = 0.906; 95% CI 0.638–1.287; p = 0.582). Likewise, neither the presence of diabetes mellitus (60% vs. 52%; log rank p = 0.215; HR = 1.213; 95% CI 0.881–1.671; p = 0.237) nor a history of smoking (56% vs. 56%; log rank p = 0.725; HR = 0.945; 95% CI 0.679–1.315; p = 0.737) significantly influenced the risk of 30-day all-cause mortality. In contrast, the absence of hyperlipidaemia displayed a statistically significant association with the primary endpoint compared to patients with hyperlipidaemia (65% vs. 51%; log rank p = 0.038; HR = 0.718; 95% CI 0.516–0.998; p = 0.049). Patients with statins had comparable risk of 30-day all-cause mortality compared to patients without the prescription of statins (50% vs. 60%; log rank p = 0.096; HR = 0.768; 95% CI 0.554–1.064; p = 0.113) (Figure 3). After multivariable Cox regression analyses, none of the individual CVR factors, i.e., hyperlipidaemia (HR = 0.801; 95% CI 0.536–1.195; p = 0.277), arterial hypertension (HR = 0.679; 95% CI 0.433–1.065; p = 0.092), diabetes mellitus (HR = 1.112; 95% CI 0.751–1.646; p = 0.596) and smoking (HR = 1.292; 95% CI 0.872–1.913; p = 0.202), presented as independent risk factors with regard to 30-day all-cause mortality (Table 4). Yet, related to the model used in Table 3, high lactate levels (HR = 1.119; 95% CI 1.079–1.162; p = 0.001), the presence of AMI (HR = 1.863; 95% CI 1.286–2.697; p = 0.001) as well as increasing age (HR = 1.016; 95% CI 1.000–1.032; p = 0.048) were independently associated with 30-day all-cause mortality.
 
      
    
    Figure 2.
      Kaplan-Meier curves for arterial hypertension (A) diabetes mellitus (B), hyperlipidaemia (C) and smoking (D).
  
 
      
    
    Figure 3.
      Kaplan-Meier curves for the prescription of statins.
  
 
       
    
    Table 4.
    Uni- and multivariable Cox regression analyses with regard to 30-day all-cause mortality.
  
4. Discussion
This study investigates the prognostic impact of SMuRFs on 30-day all-cause mortality in consecutive patients suffering from CS at an internistic ICU. The study suggests, that patients with high CVR have no increased risk of 30-day all-cause mortality compared to patients with low CVR. Moreover, except for hyperlipidaemia, none of the SMuRFs showed a significant effect on short-term mortality. In fact, the presence of hyperlipidaemia decreased the risk of short-term mortality, though this association was no longer observed after multivariate adjustment. These results deliver comprehensive information about the role of SMuRFs within a large study group of CS patients admitted to an internistic ICU.
As aforementioned, recent studies have examined the role of SMuRFs in patients presenting with ACS. Typically, those studies compare patients with at least one of the SMuRFs (i.e., arterial hypertension, hyperlipidaemia, smoking or diabetes mellitus) to patients without SMuRFs (i.e., SMuRF-less patients). Firstly, in 2017, Vernon et al. [] hypothesized a change of the amount of SMuRF-less STEMI patients. By examining 536 STEMI patients within a single centre retrospective study, they observed an increase of SMuRF-less STEMI patients between 2006 and 2014 from 11% to 27%. However, no difference in age, history or extent of CAD, length of hospital stay, in-hospital mortality or cardiovascular discharge medication regime was found. Later, this study group conducted a retrospective analysis of 62,048 patients with first-presentation STEMI using data of the SWEDEHEART national registry []. They described SMuRF-less patients as presenting with lower body mass indices (BMI) and less chronic cardiovascular diseases. Nonetheless, SMuRF-less patients were at higher risk of in-hospital and 30-day all-cause mortality as well as CS. Furthermore, SMuRF-less patients were less likely to receive guideline-recommended medication (i.e., angiotensin converting enzyme inhibitors, angiotensin receptor blockers, β-blockers or statins) at discharge. Interestingly, the excess all-cause mortality was, despite decline after 30 days, still evident after long-term follow-up and was attenuated after adjusting for the use of guideline-oriented medication. These findings are in line with a global meta-analysis of 15 studies including 1,285,722 patients with STEMI or non-ST-elevation acute coronary syndrome (NSTE-ACS) by Kong et al. [], demonstrating higher risks of all-cause in-hospital mortality, in-hospital cardiac death and CS as well as lower rates of prior heart failure, chronic kidney disease or stroke in SMuRF-less patients. Yet, a prospective cohort study by Moledina et al. [], including 176,083 patients with non-ST-elevation myocardial infarction (NSTEMI) from the United Kingdom myocardial infarction national audit project (MINAP), found decreased risks of in-hospital all-cause mortality, cardiac mortality and major adverse cardiovascular events (MACE) in patients without SMuRFs compared to patients with SMuRFs after multivariable adjustment. Considering baseline characteristics, the results of the low CVR group of our study are comparable with current literature, in that SMuRF-less patients are less likely to present with a prior history of heart failure and stroke [,,,]. However, a major difference of our study is, that contrary to literature describing impaired short-term prognosis of patients without SMuRFs [,,,,,,], 30-day all-cause mortality of patients with low and high CVR was comparable in our study.
There are several possible explanations for these observations. Firstly, unlike our studies, previous studies were not restricted to patients with CS. Thus, patients included in our study were already at a much higher risk of death compared to studies including all patients with AMI. For instance, Figtree et al. [] reported a 30-day all-cause mortality of 11.3% and 7.9% in SMuRF-less patients compared to patients with one or more SMuRF, respectively. In our study, 30-day all-cause mortality was as high as 57% in low CVR patients and 55% in high CVR patients. Therefore, this study introduces the notion, that, even though CS occurs more frequent in SMuRF-less patients with AMI [,,,,,], in CS itself, CVR does not determine prognosis. Secondly, several authors discovered a deficiency in guideline-oriented medication at discharge in SMuRF-less patients [,,]. Since CS is an illness with severely impaired prognosis, clinicians may be more inclined to prescribe guideline-indicated medication at discharge even to patients with low CVR.
Cardiac arrest is a feared complication of CS. Concurrent with present studies showing higher rates of cardiac arrest in SMuRF-less patients [,,,,], in our study, patients with low CVR presented more often with out-of-hospital cardiac arrest (OHCA) than patients with high CVR. According to current knowledge, the principal proportion of sudden cardiac death (SCD) is made up of patients with concealed cardiovascular disease []. Thus, the elevated prevalence of OHCA in low CVR patients may be attributed to missed diagnosis of cardiovascular diseases due to the lack of SMuRFs. Furthermore, since ventricular arrhythmias typically precede OHCA [], our findings support the hypothesis that patients with low CVR are at higher risk for developing arrhythmias as proposed by several authors investigating in the impact of SMuRFs on patients with ACS or AMI [,,]. Overall, this emphasizes the need for novel parameters independent of SMuRFs to identify patients at risk for adverse cardiovascular events [,,,,].
In this study, except for hyperlipidaemia, none of the SMuRFs displayed a significant effect on short-term mortality in Kaplan-Meier analysis. These results are in line with a previously published work of our study group, paradoxically revealing no significant impact of arterial hypertension or smoking on long-term survival in patients with ventricular tachyarrhythmias [].
The decreased risk of short-term all-cause mortality in patients with hyperlipidaemia in our study may be attributed to the prescription of statins in this group, which exhibit several positive effects besides decreasing LDL levels, such as increasing plaque stability, and have been shown to improve survival in varying clinical conditions [,]. Albeit, in this study, the risk of 30-day all-cause mortality between patients with and without statins was comparable. These results are in line with previous results of our study group, showing no significant impact of statin therapy on long-term outcomes in patients with electrical storm [], and may also be related to the already heavily compromised prognosis in both patients with CS and electrical storm.
5. Limitations
The present study has several limitations. Despite adjustment for potential confounders using multivariable Cox regression analyses, results may be affected by measured and unmeasured confounding due to the monocentric and observational study design. Furthermore, some selection bias related to difficulties with retrieving data about prior diagnoses in high-risk patients with CS may still be present despite the prospective study design. Finally, associations of CVR factors with long-term outcomes were beyond the scope of this study.
6. Conclusions
In conclusion, this study revealed, that neither the overall CVR nor individual CVR factors determine short-term prognosis in patients admitted with CS. Thus, clinicians ought to be cautious even when treating patient with CS and supposedly “low CVR”.
Supplementary Materials
The following supporting information can be downloaded at: https://www.mdpi.com/article/10.3390/jcm12144870/s1. Table S1: Baseline characteristics; Table S2: Shock-related data, follow-up data and endpoints.
Author Contributions
Conceptualization, T.S., J.R., M.B. and I.A.; methodology, T.S., K.W., J.R., J.F. and M.R.; software, T.S., J.F., M.A. (Muharrem Akin) and M.B.; validation, T.S., M.B., K.W., J.R., M.R., M.A. (Mohamed Ayoub), S.E.-W., J.F., K.M. and M.R.; formal analysis, T.S., M.R., S.E.-W. and J.F.; investigation, T.S., J.R., M.B. and I.A.; resources, M.B. and I.A.; data curation, K.W., M.A. (Mohamed Ayoub) and J.R.; writing—original draft preparation, J.F., T.S. and J.R.; writing—review and editing, J.F., T.S., K.W., M.R., I.A. and J.R.; visualization, T.S.; supervision, M.B. and I.A.; project administration, M.B. and I.A. All authors have read and agreed to the published version of the manuscript.
Funding
This research received no external funding.
Institutional Review Board Statement
The study was conducted according to the guidelines of the Declaration of Helsinki and approved by the Institutional Ethics Committee of Mannheim (approval No. 2019-695N).
Informed Consent Statement
Not applicable.
Data Availability Statement
The datasets used and/or analyzed during the current study are available from the corresponding author upon reasonable request.
Conflicts of Interest
The authors declare no conflict of interest.
References
- Zeymer, U.; Bueno, H.; Granger, C.B.; Hochman, J.; Huber, K.; Lettino, M.; Price, S.; Schiele, F.; Tubaro, M.; Vranckx, P.; et al. Acute Cardiovascular Care Association position statement for the diagnosis and treatment of patients with acute myocardial infarction complicated by cardiogenic shock: A document of the Acute Cardiovascular Care Association of the European Society of Cardiology. Eur. Heart J. Acute Cardiovasc. Care 2020, 9, 183–197. [Google Scholar] [CrossRef]
- Rathod, K.S.; Koganti, S.; Iqbal, M.B.; Jain, A.K.; Kalra, S.S.; Astroulakis, Z.; Lim, P.; Rakhit, R.; Dalby, M.C.; Lockie, T.; et al. Contemporary trends in cardiogenic shock: Incidence, intra-aortic balloon pump utilisation and outcomes from the London Heart Attack Group. Eur. Heart J. Acute Cardiovasc. Care 2018, 7, 16–27. [Google Scholar] [CrossRef]
- Vallabhajosyula, S.; Dewaswala, N.; Sundaragiri, P.R.; Bhopalwala, H.M.; Cheungpasitporn, W.; Doshi, R.; Miller, P.E.; Bell, M.R.; Singh, M. Cardiogenic Shock Complicating ST-Segment Elevation Myocardial Infarction: An 18-Year Analysis of Temporal Trends, Epidemiology, Management, and Outcomes. Shock 2022, 57, 360–369. [Google Scholar] [CrossRef] [PubMed]
- van Diepen, S.; Katz, J.N.; Albert, N.M.; Henry, T.D.; Jacobs, A.K.; Kapur, N.K.; Kilic, A.; Menon, V.; Ohman, E.M.; Sweitzer, N.K.; et al. Contemporary Management of Cardiogenic Shock: A Scientific Statement From the American Heart Association. Circulation 2017, 136, e232–e268. [Google Scholar] [CrossRef] [PubMed]
- Wayangankar, S.A.; Bangalore, S.; McCoy, L.A.; Jneid, H.; Latif, F.; Karrowni, W.; Charitakis, K.; Feldman, D.N.; Dakik, H.A.; Mauri, L.; et al. Temporal Trends and Outcomes of Patients Undergoing Percutaneous Coronary Interventions for Cardiogenic Shock in the Setting of Acute Myocardial Infarction: A Report From the CathPCI Registry. JACC Cardiovasc. Interv. 2016, 9, 341–351. [Google Scholar] [CrossRef]
- Visseren, F.L.J.; Mach, F.; Smulders, Y.M.; Carballo, D.; Koskinas, K.C.; Bäck, M.; Benetos, A.; Biffi, A.; Boavida, J.-M.; Capodanno, D.; et al. 2021 ESC Guidelines on cardiovascular disease prevention in clinical practice: Developed by the Task Force for cardiovascular disease prevention in clinical practice with representatives of the European Society of Cardiology and 12 medical societies With the special contribution of the European Association of Preventive Cardiology (EAPC). Eur. Heart J. 2021, 42, 3227–3337. [Google Scholar] [CrossRef] [PubMed]
- Roth, G.A.; Abate, D.; Abate, K.H.; Abay, S.M.; Abbafati, C.; Abbasi, N.; Abbastabar, H.; Abd-Allah, F.; Abdela, J.; Abdelalim, A.; et al. Global, regional, and national age-sex-specific mortality for 282 causes of death in 195 countries and territories, 1980–2017: A systematic analysis for the Global Burden of Disease Study 2017. Lancet 2018, 392, 1736–1788. [Google Scholar] [CrossRef]
- Weidner, K.; Behnes, M.; Schupp, T.; Rusnak, J.; Reiser, L.; Bollow, A.; Taton, G.; Reichelt, T.; Ellguth, D.; Engelke, N.; et al. Type 2 diabetes is independently associated with all-cause mortality secondary to ventricular tachyarrhythmias. Cardiovasc. Diabetol. 2018, 17, 125. [Google Scholar] [CrossRef]
- Saito, Y.; Inohara, T.; Kohsaka, S.; Wada, H.; Takamisawa, I.; Yamaji, K.; Amano, T.; Kobayashi, Y.; Kozuma, K. Characteristics and outcomes of patients with no standard modifiable risk factors undergoing primary revascularization for acute myocardial infarction: Insights from the nationwide Japanese percutaneous coronary intervention registry. Am. Heart J. 2023, 258, 69–76. [Google Scholar] [CrossRef]
- Papazoglou, A.S.; Farmakis, I.T.; Zafeiropoulos, S.; Moysidis, D.V.; Karagiannidis, E.; Stalikas, N.; Kartas, A.; Stamos, K.; Sofidis, G.; Doundoulakis, I.; et al. Angiographic severity in acute coronary syndrome patients with and without standard modifiable risk factors. Front. Cardiovasc. Med. 2022, 9, 934946. [Google Scholar] [CrossRef]
- Kong, G.; Chin, Y.H.; Chong, B.; Goh, R.S.J.; Lim, O.Z.H.; Ng, C.H.; Muthiah, M.; Foo, R.; Vernon, S.T.; Loh, P.H.; et al. Higher mortality in acute coronary syndrome patients without standard modifiable risk factors: Results from a global meta-analysis of 1,285,722 patients. Int. J. Cardiol. 2023, 371, 432–440. [Google Scholar] [CrossRef] [PubMed]
- Kong, G.; Chew, N.W.S.; Ng, C.H.; Chin, Y.H.; Zeng, R.; Foo, R.; Chan, K.H.; Low, A.F.; Lee, C.H.; Chan, M.Y.; et al. Long-term outcomes in acute coronary syndrome patients without standard modifiable risk factors: A multi-ethnic retrospective cohort study Of 5400 asian patients. J. Thromb. Thrombolysis 2022, 54, 569–578. [Google Scholar] [CrossRef]
- Kong, G.; Chew, N.W.S.; Ng, C.H.; Chin, Y.H.; Lim, O.Z.H.; Ambhore, A.; Ng, G.; Kong, W.; Poh, K.K.; Foo, R.; et al. Prognostic Outcomes in Acute Myocardial Infarction Patients Without Standard Modifiable Risk Factors: A Multiethnic Study of 8680 Asian Patients. Front. Cardiovasc. Med. 2022, 9, 869168. [Google Scholar] [CrossRef]
- Iwata, J.; Inohara, T.; Shiraishi, Y.; Nakamaru, R.; Niimi, N.; Ueda, I.; Suzuki, M.; Noma, S.; Numasawa, Y.; Fukuda, K.; et al. Standard modifiable cardiovascular risk factors in patients with acute coronary syndrome: A report from multicenter percutaneous coronary intervention registry. J. Cardiol. 2023, 81, 571–576. [Google Scholar] [CrossRef] [PubMed]
- Schupp, T.; Behnes, M.; Rusnak, J.; Ruka, M.; Dudda, J.; Forner, J.; Egner-Walter, S.; Barre, M.; Abumayyaleh, M.; Bertsch, T.; et al. Does Albumin Predict the Risk of Mortality in Patients with Cardiogenic Shock? Int. J. Mol. Sci. 2023, 24, 7375. [Google Scholar] [CrossRef]
- Williams, B.; Mancia, G.; Spiering, W.; Agabiti Rosei, E.; Azizi, M.; Burnier, M.; Clement, D.L.; Coca, A.; de Simone, G.; Dominiczak, A.; et al. 2018 ESC/ESH Guidelines for the management of arterial hypertension: The Task Force for the management of arterial hypertension of the European Society of Cardiology (ESC) and the European Society of Hypertension (ESH). Eur. Heart J. 2018, 39, 3021–3104. [Google Scholar] [CrossRef] [PubMed]
- Cosentino, F.; Grant, P.J.; Aboyans, V.; Bailey, C.J.; Ceriello, A.; Delgado, V.; Federici, M.; Filippatos, G.; Grobbee, D.E.; Hansen, T.B.; et al. 2019 ESC Guidelines on diabetes, pre-diabetes, and cardiovascular diseases developed in collaboration with the EASD: The Task Force for diabetes, pre-diabetes, and cardiovascular diseases of the European Society of Cardiology (ESC) and the European Association for the Study of Diabetes (EASD). Eur. Heart J. 2019, 41, 255–323. [Google Scholar] [CrossRef]
- Mach, F.; Baigent, C.; Catapano, A.L.; Koskinas, K.C.; Casula, M.; Badimon, L.; Chapman, M.J.; De Backer, G.G.; Delgado, V.; Ference, B.A.; et al. 2019 ESC/EAS guidelines for the management of dyslipidaemias: Lipid modification to reduce cardiovascular risk. Atherosclerosis 2019, 290, 140–205. [Google Scholar] [CrossRef]
- Vernon, S.T.; Coffey, S.; Bhindi, R.; Soo Hoo, S.Y.; Nelson, G.I.; Ward, M.R.; Hansen, P.S.; Asrress, K.N.; Chow, C.K.; Celermajer, D.S.; et al. Increasing proportion of ST elevation myocardial infarction patients with coronary atherosclerosis poorly explained by standard modifiable risk factors. Eur. J. Prev. Cardiol. 2017, 24, 1824–1830. [Google Scholar] [CrossRef]
- Figtree, G.A.; Vernon, S.T.; Hadziosmanovic, N.; Sundström, J.; Alfredsson, J.; Arnott, C.; Delatour, V.; Leósdóttir, M.; Hagström, E. Mortality in STEMI patients without standard modifiable risk factors: A sex-disaggregated analysis of SWEDEHEART registry data. Lancet 2021, 397, 1085–1094. [Google Scholar] [CrossRef]
- Moledina, S.M.; Rashid, M.; Nolan, J.; Nakao, K.; Sun, L.Y.; Velagapudi, P.; Wilton, S.B.; Volgman, A.S.; Gale, C.P.; Mamas, M.A. Addressing disparities of care in non-ST-segment elevation myocardial infarction patients without standard modifiable risk factors: Insights from a nationwide cohort study. Eur. J. Prev. Cardiol. 2022, 29, 1084–1092. [Google Scholar] [CrossRef]
- Yamamoto, K.; Natsuaki, M.; Morimoto, T.; Shiomi, H.; Takeji, Y.; Yamaji, K.; Matsumura-Nakano, Y.; Yoshikawa, Y.; Yamamoto, E.; Fuki, M.; et al. Coronary Artery Disease Without Standard Cardiovascular Risk Factors. Am. J. Cardiol. 2022, 164, 34–43. [Google Scholar] [CrossRef]
- Adabag, A.S.; Luepker, R.V.; Roger, V.L.; Gersh, B.J. Sudden cardiac death: Epidemiology and risk factors. Nat. Rev. Cardiol. 2010, 7, 216–225. [Google Scholar] [CrossRef] [PubMed]
- Al-Khatib, S.M.; Stevenson, W.G.; Ackerman, M.J.; Bryant, W.J.; Callans, D.J.; Curtis, A.B.; Deal, B.J.; Dickfeld, T.; Field, M.E.; Fonarow, G.C.; et al. 2017 AHA/ACC/HRS Guideline for Management of Patients With Ventricular Arrhythmias and the Prevention of Sudden Cardiac Death: A Report of the American College of Cardiology/American Heart Association Task Force on Clinical Practice Guidelines and the Heart Rhythm Society. J. Am. Coll. Cardiol. 2018, 72, e91–e220. [Google Scholar] [CrossRef] [PubMed]
- Weidner, K.; Behnes, M.; Rusnak, J.; Taton, G.; Schupp, T.; Reiser, L.; Bollow, A.; Reichelt, T.; Ellguth, D.; Engelke, N.; et al. Risk factor paradox: No prognostic impact of arterial hypertension and smoking in patients with ventricular tachyarrhythmias. Cardiol. J. 2020, 27, 715–725. [Google Scholar] [CrossRef]
- Avis, S.R.; Vernon, S.T.; Hagström, E.; Figtree, G.A. Coronary artery disease in the absence of traditional risk factors: A call for action. Eur. Heart J. 2021, 42, 3822–3824. [Google Scholar] [CrossRef] [PubMed]
- Rusnak, J.; Behnes, M.; Schupp, T.; Lang, S.; Reiser, L.; Taton, G.; Bollow, A.; Reichelt, T.; Ellguth, D.; Engelke, N.; et al. Statin therapy is associated with improved survival in patients with ventricular tachyarrhythmias. Lipids Health Dis. 2019, 18, 119. [Google Scholar] [CrossRef] [PubMed]
- Schupp, T.; Behnes, M.; Ellguth, D.; Müller, J.; Reiser, L.; Bollow, A.; Taton, G.; Reichelt, T.; Engelke, N.; Kim, S.H.; et al. Impact of Different Pharmacotherapies on Long-Term Outcomes in Patients with Electrical Storm. Pharmacology 2019, 103, 179–188. [Google Scholar] [CrossRef]
| Disclaimer/Publisher’s Note: The statements, opinions and data contained in all publications are solely those of the individual author(s) and contributor(s) and not of MDPI and/or the editor(s). MDPI and/or the editor(s) disclaim responsibility for any injury to people or property resulting from any ideas, methods, instructions or products referred to in the content. | 
© 2023 by the authors. Licensee MDPI, Basel, Switzerland. This article is an open access article distributed under the terms and conditions of the Creative Commons Attribution (CC BY) license (https://creativecommons.org/licenses/by/4.0/).
