Long-Term Outcomes of the PRESERFLO MicroShunt Implant in a Heterogeneous Glaucoma Cohort
Abstract
1. Introduction
2. Materials and Methods
2.1. Design and Setting
2.2. Surgical Procedure
2.3. Data Collection
2.4. Outcome Measures
2.5. Statistical Analysis
3. Results
3.1. Baseline Characteristics
3.2. Outcome: Success Rates
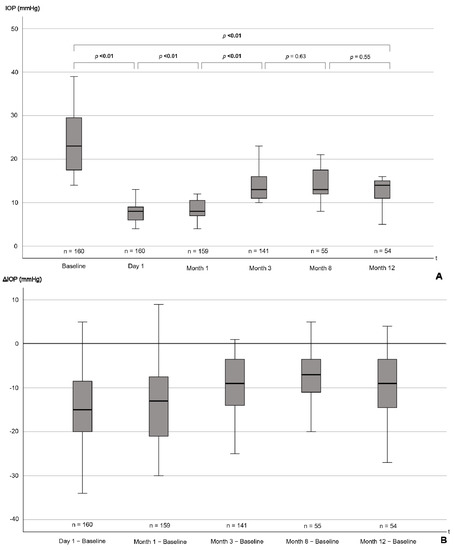
3.3. Outcome: IOP Reduction
3.4. Postoperative Development
3.4.1. Supplemental Medications
3.4.2. Postoperative Complications
3.4.3. 5-FU Injections and Postoperative Interventions
4. Discussion
Limitations
5. Conclusions
Author Contributions
Funding
Institutional Review Board Statement
Informed Consent Statement
Data Availability Statement
Acknowledgments
Conflicts of Interest
References
- Weinreb, R.N.; Aung, T.; Medeiros, F.A. The pathophysiology and treatment of glaucoma: A review. JAMA 2014, 311, 1901–1911. [Google Scholar] [CrossRef] [PubMed]
- Fechtner, R.D.; Weinreb, R.N. Mechanisms of optic nerve damage in primary open angle glaucoma. Surv. Ophthalmol. 1994, 39, 23–42. [Google Scholar] [CrossRef]
- Lusthaus, J.; Goldberg, I. Current management of glaucoma. Med. J. Aust. 2019, 210, 180–187. [Google Scholar] [CrossRef] [PubMed]
- Rao, A.; Cruz, R.D. Trabeculectomy: Does It Have a Future? Cureus 2022, 14, 27834. [Google Scholar] [CrossRef] [PubMed]
- Gambini, G.; Carlà, M.M.; Giannuzzi, F.; Caporossi, T.; De Vico, U.; Savastano, A.; Baldascino, A.; Rizzo, C.; Kilian, R.; Caporossi, A.; et al. PreserFlo® MicroShunt: An Overview of This Minimally Invasive Device for Open-Angle Glaucoma. Vision 2022, 6, 12. [Google Scholar] [CrossRef] [PubMed]
- Green, W.; Lind, J.T.; Sheybani, A. Review of the Xen Gel Stent and InnFocus MicroShunt. Curr. Opin. Ophthalmol. 2018, 29, 162–170. [Google Scholar] [CrossRef]
- Nobl, M.; Freissinger, S.; Kassumeh, S.; Priglinger, S.; Mackert, M.J. One-year outcomes of microshunt implantation in pseudoexfoliation glaucoma. PLoS ONE 2021, 16, 0256670. [Google Scholar] [CrossRef]
- Batlle, J.F.; Corona, A.; Albuquerque, R. Long-term results of the PRESERFLO MicroShunt in patients with primary open-angle glaucoma from a single-center nonrandomized Study. J. Glaucoma 2021, 30, 281–286. [Google Scholar] [CrossRef]
- Schlenker, M.B.; Durr, G.M.; Michaelov, E.; Ahmed, I.I.K. Intermediate Outcomes of a Novel Standalone Ab Externo SIBS Microshunt With Mitomycin C. Am. J. Ophthalmol. 2020, 215, 141–153. [Google Scholar] [CrossRef]
- Tanner, A.; Haddad, F.; Fajardo-Sanchez, J.; Nguyen, E.; Thong, K.X.; Ah-Moye, S.; Perl, N.; Abu-Bakra, M.; Kulkarni, A.; Trikha, S.; et al. One-year surgical outcomes of the PreserFlo MicroShunt in glaucoma: A multicentre analysis. Br. J. Ophthalmol. 2022, 2021, 320631. [Google Scholar] [CrossRef]
- Durr, G.M.; Schlenker, M.B.; Samet, S.; Ahmed, I.I.K. One-year outcomes of stand-alone ab externo SIBS microshunt implantation in refractory glaucoma. Br. J. Ophthalmol. 2022, 106, 71–79. [Google Scholar] [CrossRef]
- Baker, N.D.; Barnebey, H.S.; Moster, M.R.; Stiles, M.C.; Vold, S.D.; Khatana, A.K.; Flowers, B.E.; Grover, D.S.; Strouthidis, N.G.; Panarelli, J.F.; et al. Ab-Externo MicroShunt versus Trabeculectomy in Primary Open-Angle Glaucoma: One-Year Results from a 2-Year Randomized, Multicenter Study. Ophthalmology 2021, 128, 1710–1721. [Google Scholar] [CrossRef]
- Pillunat, K.R.; Herber, R.; Haase, M.A.; Jamke, M.; Jasper, C.S.; Pillunat, L.E. PRESERFLO™ MicroShunt versus trabeculectomy: First results on efficacy and safety. Acta Ophthalmol. 2022, 100, 779–790. [Google Scholar] [CrossRef]
- Shaarawy, T.M.; Sherwood, M.B.; Grehn, F. World Glaucoma Association Guidelines on Design & Reporting Glaucoma Trials; Kugler Publications: Amsterdam, The Netherlands, 2009. [Google Scholar]
- Kerr, N.M.; Ahmed, I.I.K.; Pinchuk, L. PRESERFLO MicroShunt. In Minimally Invasive Glaucoma Surgery; Springer: Singapore, 2021; pp. 91–103. [Google Scholar]
- Gedde, S.J.; Feuer, W.J.; Shi, W.; Lim, K.S.; Barton, K.; Goyal, S.; Ahmed, I.I.K.; Brandt, J.; Primary Tube Versus Trabeculectomy Study Group. Treatment Outcomes in the Primary Tube Versus Trabeculectomy Study after 1 Year of Follow-up. Ophthalmology 2018, 125, 650–663. [Google Scholar] [CrossRef]
- Hodapp, E.; Parrish, R.K.; Anderson, D.R. Clinical Decisions in Glaucoma; Mosby Incorporated: Maryland Heights, MO, USA, 1993. [Google Scholar]
- Batlle, J.F.; Fantes, F.; Riss, I.; Pinchuk, L.; Alburquerque, R.; Kato, Y.P.; Arrieta, E.; Peralta, A.C.; Palmberg, P.; Parrish, R.K., 2nd; et al. Three-Year Follow-up of a Novel Aqueous Humor MicroShunt. J. Glaucoma 2016, 25, 58–65. [Google Scholar] [CrossRef]
- Li, F.; Tang, G.; Zhang, H.; Yan, X.; Ma, L.; Geng, Y. The Effects of Trabeculectomy on Pseudoexfoliation Glaucoma and Primary Open-Angle Glaucoma. J. Ophthalmol. 2020, 2020, 1723691. [Google Scholar] [CrossRef]
- Gillmann, K.; Meduri, E.; Niegowski, L.J.; Mermoud, A. Surgical Management of Pseudoexfoliative Glaucoma: A Review of Current Clinical Considerations and Surgical Outcomes. J. Glaucoma 2021, 30, 32–39. [Google Scholar] [CrossRef]
- Beckers, H.J.M.; Aptel, F.; Webers, C.A.B.; Bluwol, E.; Martínez-de-la-Casa, J.M.; García-Feijoó, J.; Lachkar, Y.; Méndez-Hernández, C.D.; Riss, I.; Shao, H.; et al. Safety and Effectiveness of the PRESERFLO® MicroShunt in Primary Open-Angle Glaucoma: Results from a 2-Year Multicenter Study. Ophthalmol. Glaucoma 2022, 5, 195–209. [Google Scholar] [CrossRef]
- Martínez-de-la-Casa, J.M.; Saenz-Francés, F.; Morales-Fernandez, L.; Perucho, L.; Mendez, C.; Fernandez-Vidal, A.; Garcia-Saenz, S.; Sanchez-Jean, R.; García-Feijoo, J. Clinical outcomes of combined Preserflo Microshunt implantation and cataract surgery in open-angle glaucoma patients. Sci. Rep. 2021, 11, 15600. [Google Scholar] [CrossRef]
- Scheres, L.M.J.; Kujovic-Aleksov, S.; Ramdas, W.D.; de Crom, R.; Roelofs, L.C.G.; Berendschot, T.; Webers, C.A.B.; Beckers, H.J.M. XEN® Gel Stent compared to PRESERFLO™ MicroShunt implantation for primary open-angle glaucoma: Two-year results. Acta Ophthalmol. 2021, 99, 433–440. [Google Scholar] [CrossRef]
- Shukralla, A.A.; Dolan, E.; Delanty, N. Acetazolamide: Old drug, new evidence? Epilepsia Open 2022, 7, 378–392. [Google Scholar] [CrossRef] [PubMed]



| Characteristics | Total Cohort |
|---|---|
| Eyes (n) | 160 |
| Patients (n) | 160 |
| Age (years)—median (IQR) | 69 (62–77) |
| Gender (M:F) (n,%) | 80 (50%):80 (50%) |
| Study eye (R:L) (n; %) | 83 (52%):77 (48%) |
| Disease severity groups (n; %) | |
| Early | 50 (31%) |
| Moderate | 26 (16%) |
| Severe | 84 (53%) |
| Type of glaucoma (n, %) | |
| POAG | 111 (69%) |
| PEX glaucoma | 28 (18%) |
| Secondary glaucoma | 9 (6%) |
| Pigment-dispersion glaucoma | 8 (5%) |
| Primary angle-closure glaucoma | 4 (2%) |
| Previous surgery (n, %) | |
| None | 38 (24%) |
| Total | 122 (76%) |
| 1–2 operations | 85 (53%) |
| >2 operations | 37 (23%) |
| Complete Success | Qualified Success | Failure | |
|---|---|---|---|
| Total study population, (n, %) | 82 (51%) | 17 (11%) | 61 (38%) |
| Disease severity groups | |||
| early (n, %) | 29 (58%) | 4 (8%) | 17 (34%) |
| moderate (n, %) | 14 (54%) | 1 (4%) | 11 (42%) |
| severe (n, %) | 39 (46%) | 12 (14%) | 33 (39%) |
| Type of glaucoma | |||
| POAG (n, %) | 65 (59%) | 9 (8%) | 37 (33%) |
| PEX glaucoma (n, %) | 9 (31%) | 5 (18%) | 14 (50%) |
| Secondary glaucoma (n, %) | 2 (22%) | 0 (0%) | 7 (78%) |
| Pigment-dispersion glaucoma (n, %) | 3 (38%) | 3 (38%) | 2 (25%) |
| Primary angle-closure glaucoma (n, %) | 3 (75%) | 0 (0%) | 1 (25%) |
| Previous surgical interventions | |||
| None | 21 (53%) | 5 (13%) | 14 (35%) |
| 1–2 | 24 (49%) | 7 (14%) | 18 (37%) |
| >2 | 37 (52%) | 5 (7%) | 29 (41%) |
| IOP Baseline | IOP 12 Months | IOP Reduction | p-Value | |
|---|---|---|---|---|
| Total study population (mmHg) | n = 160 22 (17–27) | n = 54 14 (12–16) | n = 54 6 (2–13) | <0.01 |
| Disease severity groups | ||||
| Early (mmHg) | n = 50 21 (17–26) | n = 17 14 (12–15) | n = 17 4 (1–10) | 0.01 |
| Moderate (mmHg) | n = 26 19 (16–27) | n = 10 14 (14–19) | n = 10 4 (2–5) | 0.02 |
| Severe (mmHg) | n = 84 23 (18–28) | n = 27 14 (11–15) | n = 27 10 (2–14) | 0.01 |
| Type of glaucoma | ||||
| POAG (mmHg) | n = 111 21 (17–27) | n = 37 14 (12–16) | n = 37 6 (1–11.3) | <0.01 |
| PEX (mmHg) | n = 28 24 (22–28) | n = 9 13 (13–14) | n = 9 9 (4–13.5) | <0.01 |
| Secondary (mmHg) * | n = 9 26 (24–29) | n = 4 20 (15–24) | n = 4 11 (7.3–14.3) | |
| Pigment dispersion (mmHg) * | n = 8 18 (17–22) | n = 2 14 (14–14) | n = 2 3 (3–5) | |
| Primary angle closure (mmHg) * | n = 4 22 (18–28) | n = 2 8 (8–8) | n = 2 8 (3–15.8) | |
| Previous surgical interventions | ||||
| None | n = 40 23 (20–26) | n = 10 14 (10–16) | n = 10 10 (7–11) | <0.01 |
| 1–2 | n = 49 23 (17–28) | n = 13 15 (13–17) | n = 13 13 (6–15) | <0.01 |
| >2 | n = 71 21 (17–28) | n = 21 14 (12–15) | n = 21 3 (1–6) | 0.01 |
| Eye-Related Postoperative Adverse Events | n (%) |
|---|---|
| Total | 106 (66%) |
| Hypotony (IOP ≤ 5 mmHg) | 87 (54%) |
| Hypotony (IOP ≤ 5 mmHg) persistent after 1 week | 18 (11%) |
| Hypotony (IOP ≤ 5 mmHg) persistent after 3 months | 4 (3%) |
| Choroidal detachment | 30 (19%) |
| Central choroidal detachment | 3 (2%) |
| Peripheral choroidal detachment | 27 (17%) |
| Hyphemia | 38 (24%) |
| Disease severity groups | |
| Early (n = 50) | 34 (68%) |
| Moderate (n = 26) | 15 (58%) |
| Severe (n = 84) | 57 (68%) |
| Type of glaucoma | |
| POAG (n = 111) | 71 (64%) |
| PEX (n = 28) | 20 (71%) |
| Secondary (n = 9) | 7 (78%) |
| Pigment dispersion (n = 8) | 6 (75%) |
| Primary angle closure (n = 4) | 2 (50%) |
| Previous surgical interventions | |
| None (n = 40) | 26 (65%) |
| 1–2 (n = 49) | 32 (65%) |
| >2 (n = 71) | 48 (68%) |
| Postoperative Interventions within 1 Year | n (%) |
|---|---|
| Subconjunctival injection of 5-FU, total | 123 (77%) |
| None | 37 (23%) |
| 1–3 | 83 (52%) |
| ≥4 | 40 (25%) |
| Revision surgeries within 1 year | n (%) |
| Total | 40 (25%) |
| Anterior chamber surgery | 12 (8%) * |
| Bleb revision surgery | 28 (18%) * |
| Trabeculectomy | 5 (3%) * |
| Cyclophotocoagulation | 6 (4%) * |
| Vitrectomy | 3 (2%) * |
| Percentage of revision surgeries by disease severity group | |
| Early (n = 50) | 9 (18%) |
| Moderate (n = 26) | 8 (31%) |
| Severe (n = 84) | 23 (27%) |
| Percentage of revision surgeries by type of glaucoma | |
| POAG (n = 111) | 25 (23%) |
| PEX glaucoma (n = 28) | 11 (39%) |
| Secondary glaucoma (n = 9) | 4 (44%) |
| Pigment-dispersion glaucoma (n = 8) | 0 |
| Primary angle-closure glaucoma (n = 4) | 0 |
| Percentage of revision surgeries by number of previous surgical interventions | |
| None (n = 40) | 8 (20%) |
| 1–2 (n = 49) | 16 (33%) |
| >2 (n = 71) | 16 (23%) |
Disclaimer/Publisher’s Note: The statements, opinions and data contained in all publications are solely those of the individual author(s) and contributor(s) and not of MDPI and/or the editor(s). MDPI and/or the editor(s) disclaim responsibility for any injury to people or property resulting from any ideas, methods, instructions or products referred to in the content. |
© 2023 by the authors. Licensee MDPI, Basel, Switzerland. This article is an open access article distributed under the terms and conditions of the Creative Commons Attribution (CC BY) license (https://creativecommons.org/licenses/by/4.0/).
Share and Cite
Storp, J.J.; Vietmeier, F.E.; Merté, R.-L.; Koch, R.; Zimmermann, J.A.; Eter, N.; Brücher, V.C. Long-Term Outcomes of the PRESERFLO MicroShunt Implant in a Heterogeneous Glaucoma Cohort. J. Clin. Med. 2023, 12, 4474. https://doi.org/10.3390/jcm12134474
Storp JJ, Vietmeier FE, Merté R-L, Koch R, Zimmermann JA, Eter N, Brücher VC. Long-Term Outcomes of the PRESERFLO MicroShunt Implant in a Heterogeneous Glaucoma Cohort. Journal of Clinical Medicine. 2023; 12(13):4474. https://doi.org/10.3390/jcm12134474
Chicago/Turabian StyleStorp, Jens Julian, Friederike Elisabeth Vietmeier, Ralph-Laurent Merté, Raphael Koch, Julian Alexander Zimmermann, Nicole Eter, and Viktoria Constanze Brücher. 2023. "Long-Term Outcomes of the PRESERFLO MicroShunt Implant in a Heterogeneous Glaucoma Cohort" Journal of Clinical Medicine 12, no. 13: 4474. https://doi.org/10.3390/jcm12134474
APA StyleStorp, J. J., Vietmeier, F. E., Merté, R.-L., Koch, R., Zimmermann, J. A., Eter, N., & Brücher, V. C. (2023). Long-Term Outcomes of the PRESERFLO MicroShunt Implant in a Heterogeneous Glaucoma Cohort. Journal of Clinical Medicine, 12(13), 4474. https://doi.org/10.3390/jcm12134474

