Radiological Factors Associated with Bisphosphonate Treatment Failure and Their Impact on Fracture Healing in Postmenopausal Women with Osteoporotic Vertebral Fractures
Abstract
1. Introduction
2. Materials and Methods
3. Results
3.1. Incidence Rate of Bisphosphonate Treatment Failure
3.2. Comparison of Patent Demographics
3.3. Comparison of Radiological Factors between the Two Groups
3.4. Comparison of Morphological Patterns between the Two Groups
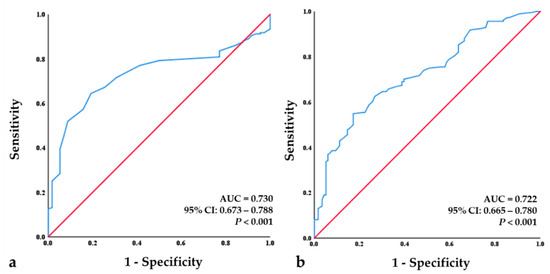
3.5. Logistic Regression Analysis for Bisphosphonate Treatment Failure
4. Discussion
5. Conclusions
Author Contributions
Funding
Institutional Review Board Statement
Informed Consent Statement
Data Availability Statement
Conflicts of Interest
References
- Ballane, G.; Cauley, J.A.; Luckey, M.M.; El-Hajj Fuleihan, G. Worldwide prevalence and incidence of osteoporotic vertebral fractures. Osteoporos. Int. 2017, 28, 1531–1542. [Google Scholar] [CrossRef]
- Choi, Y.J.; Oh, H.J.; Kim, D.J.; Lee, Y.; Chung, Y.S. The prevalence of osteoporosis in Korean adults aged 50 years or older and the higher diagnosis rates in women who were beneficiaries of a national screening program: The Korea National Health and Nutrition Examination Survey 2008–2009. J. Bone Miner. Res. 2012, 27, 1879–1886. [Google Scholar] [CrossRef]
- Black, D.M.; Cummings, S.R.; Karpf, D.B.; Cauley, J.A.; Thompson, D.E.; Nevitt, M.C.; Bauer, D.C.; Genant, H.K.; Haskell, W.L.; Marcus, R.; et al. Randomised trial of effect of alendronate on risk of fracture in women with existing vertebral fractures. Fracture Intervention Trial Research Group. Lancet 1996, 348, 1535–1541. [Google Scholar] [CrossRef]
- Black, D.M.; Reid, I.R.; Cauley, J.A.; Cosman, F.; Leung, P.C.; Lakatos, P.; Lippuner, K.; Cummings, S.R.; Hue, T.F.; Mukhopadhyay, A.; et al. The effect of 6 versus 9 years of zoledronic acid treatment in osteoporosis: A randomized second extension to the HORIZON-Pivotal Fracture Trial (PFT). J. Bone Miner. Res. 2015, 30, 934–944. [Google Scholar] [CrossRef]
- Black, D.M.; Thompson, D.E.; Bauer, D.C.; Ensrud, K.; Musliner, T.; Hochberg, M.C.; Nevitt, M.C.; Suryawanshi, S.; Cummings, S.R. Fracture risk reduction with alendronate in women with osteoporosis: The Fracture Intervention Trial. FIT Research Group. J. Clin. Endocrinol. Metab. 2000, 85, 4118–4124. [Google Scholar] [CrossRef] [PubMed]
- Davis, S.; Martyn-St James, M.; Sanderson, J.; Stevens, J.; Goka, E.; Rawdin, A.; Sadler, S.; Wong, R.; Campbell, F.; Stevenson, M.; et al. A systematic review and economic evaluation of bisphosphonates for the prevention of fragility fractures. Health Technol. Assess. 2016, 20, 1–406. [Google Scholar] [CrossRef]
- Eastell, R.; O’Neill, T.W.; Hofbauer, L.C.; Langdahl, B.; Reid, I.R.; Gold, D.T.; Cummings, S.R. Postmenopausal osteoporosis. Nat. Rev. Dis. Primers. 2016, 2, 16069. [Google Scholar] [CrossRef] [PubMed]
- Baron, R.; Ferrari, S.; Russell, R.G. Denosumab and bisphosphonates: Different mechanisms of action and effects. Bone 2011, 48, 677–692. [Google Scholar] [CrossRef]
- Endo, Y.; Kumamoto, H.; Nakamura, M.; Sugawara, S.; Takano-Yamamoto, T.; Sasaki, K.; Takahashi, T. Underlying Mechanisms and Therapeutic Strategies for Bisphosphonate-Related Osteonecrosis of the Jaw (BRONJ). Biol. Pharm. Bull. 2017, 40, 739–750. [Google Scholar] [CrossRef]
- Schilcher, J.; Koeppen, V.; Aspenberg, P.; Michaëlsson, K. Risk of atypical femoral fracture during and after bisphosphonate use. Acta Orthop. 2015, 86, 100–107. [Google Scholar] [CrossRef] [PubMed]
- Cairoli, E.; Eller-Vainicher, C.; Ulivieri, F.M.; Zhukouskaya, V.V.; Palmieri, S.; Morelli, V.; Beck-Peccoz, P.; Chiodini, I. Factors associated with bisphosphonate treatment failure in postmenopausal women with primary osteoporosis. Osteoporos. Int. 2014, 25, 1401–1410. [Google Scholar] [CrossRef] [PubMed]
- Del Puente, A.; Scognamiglio, A.; Itto, E.; Ferrara, G.; Oriente, P. Intramuscular clodronate in nonresponders to oral alendronate therapy for osteoporosis. J. Rheumatol. 2000, 27, 1980–1983. [Google Scholar] [PubMed]
- Heckman, G.A.; Papaioannou, A.; Sebaldt, R.J.; Ioannidis, G.; Petrie, A.; Goldsmith, C.; Adachi, J.D. Effect of vitamin D on bone mineral density of elderly patients with osteoporosis responding poorly to bisphosphonates. BMC Musculoskelet. Disord. 2002, 3, 6. [Google Scholar] [CrossRef] [PubMed]
- Sawka, A.M.; Adachi, J.D.; Ioannidis, G.; Olszynski, W.P.; Brown, J.P.; Hanley, D.A.; Murray, T.; Josse, R.; Sebaldt, R.J.; Petrie, A.; et al. What predicts early fracture or bone loss on bisphosphonate therapy? J. Clin. Densitom. 2003, 6, 315–322. [Google Scholar] [CrossRef]
- Adami, S.; Isaia, G.; Luisetto, G.; Minisola, S.; Sinigaglia, L.; Gentilella, R.; Agnusdei, D.; Iori, N.; Nuti, R. Fracture incidence and characterization in patients on osteoporosis treatment: The ICARO study. J. Bone Miner. Res. 2006, 21, 1565–1570. [Google Scholar] [CrossRef] [PubMed]
- Adami, S.; Isaia, G.; Luisetto, G.; Minisola, S.; Sinigaglia, L.; Silvestri, S.; Agnusdei, D.; Gentilella, R.; Nuti, R. Osteoporosis treatment and fracture incidence: The ICARO longitudinal study. Osteoporos. Int. 2008, 19, 1219–1223. [Google Scholar] [CrossRef]
- Diez-Perez, A.; Adachi, J.D.; Agnusdei, D.; Bilezikian, J.P.; Compston, J.E.; Cummings, S.R.; Eastell, R.; Eriksen, E.F.; Gonzalez-Macias, J.; Liberman, U.A.; et al. Treatment failure in osteoporosis. Osteoporos. Int. 2012, 23, 2769–2774. [Google Scholar] [CrossRef]
- Akkawi, I.; Zmerly, H. Osteoporosis: Current Concepts. Joints 2018, 6, 122–127. [Google Scholar] [CrossRef]
- Reid, I.R.; Billington, E.O. Drug therapy for osteoporosis in older adults. Lancet 2022, 399, 1080–1092. [Google Scholar] [CrossRef]
- Shoback, D.; Rosen, C.J.; Black, D.M.; Cheung, A.M.; Murad, M.H.; Eastell, R. Pharmacological Management of Osteoporosis in Postmenopausal Women: An Endocrine Society Guideline Update. J. Clin. Endocrinol. Metab. 2020, 105, 587–594. [Google Scholar] [CrossRef]
- Kim, H.J.; Yang, J.H.; Chang, D.G.; Lenke, L.G.; Suh, S.W.; Nam, Y.; Park, S.C.; Suk, S.I. Adult Spinal Deformity: A Comprehensive Review of Current Advances and Future Directions. Asian Spine J. 2022, 16, 776–788. [Google Scholar] [CrossRef] [PubMed]
- Husten, C.G. How should we define light or intermittent smoking? Does it matter? Nicotine Tob. Res. 2009, 11, 111–121. [Google Scholar] [CrossRef]
- Lo, H.C.; Kuo, D.P.; Chen, Y.L. Impact of beverage consumption, age, and site dependency on dual energy X-ray absorptiometry (DEXA) measurements in perimenopausal women: A prospective study. Arch. Med. Sci. 2017, 13, 1178–1187. [Google Scholar] [CrossRef] [PubMed]
- Sadiqi, S.; Verlaan, J.J.; Lehr, A.M.; Chapman, J.R.; Dvorak, M.F.; Kandziora, F.; Rajasekaran, S.; Schnake, K.J.; Vaccaro, A.R.; Oner, F.C. Measurement of kyphosis and vertebral body height loss in traumatic spine fractures: An international study. Eur. Spine J. 2017, 26, 1483–1491. [Google Scholar] [CrossRef] [PubMed]
- Keynan, O.; Fisher, C.G.; Vaccaro, A.; Fehlings, M.G.; Oner, F.C.; Dietz, J.; Kwon, B.; Rampersaud, R.; Bono, C.; France, J.; et al. Radiographic measurement parameters in thoracolumbar fractures: A systematic review and consensus statement of the spine trauma study group. Spine 2006, 31, E156–E165. [Google Scholar] [CrossRef]
- Isomi, T.; Panjabi, M.M.; Kato, Y.; Wang, J.L. Radiographic parameters for evaluating the neurological spaces in experimental thoracolumbar burst fractures. J. Spinal. Disord. 2000, 13, 404–411. [Google Scholar] [CrossRef]
- Mickey, R.M.; Greenland, S. The impact of confounder selection criteria on effect estimation. Am. J. Epidemiol. 1989, 129, 125–137. [Google Scholar] [CrossRef]
- Mumford, J.; Weinstein, J.N.; Spratt, K.F.; Goel, V.K. Thoracolumbar burst fractures. The clinical efficacy and outcome of nonoperative management. Spine 1993, 18, 955–970. [Google Scholar] [CrossRef]
- Hsu, W.E.; Su, K.C.; Chen, K.H.; Pan, C.C.; Lu, W.H.; Lee, C.H. The Evaluation of Different Radiological Measurement Parameters of the Degree of Collapse of the Vertebral Body in Vertebral Compression Fractures. Appl. Bionics Biomech. 2019, 4021640. [Google Scholar] [CrossRef]
- Ha, K.Y.; Kim, Y.H. Risk factors affecting progressive collapse of acute osteoporotic spinal fractures. Osteoporos. Int. 2013, 24, 1207–1213. [Google Scholar] [CrossRef]
- Jang, H.D.; Kim, E.H.; Lee, J.C.; Choi, S.W.; Kim, H.S.; Cha, J.S.; Shin, B.J. Management of Osteoporotic Vertebral Fracture: Review Update 2022. Asian Spine J. 2022, 16, 934–946. [Google Scholar] [CrossRef] [PubMed]
- Ha, K.Y.; Park, K.S.; Kim, S.I.; Kim, Y.H. Does bisphosphonate-based anti-osteoporosis medication affect osteoporotic spinal fracture healing? Osteoporos. Int. 2016, 27, 483–488. [Google Scholar] [CrossRef]
- Díez-Pérez, A.; Olmos, J.M.; Nogués, X.; Sosa, M.; Díaz-Curiel, M.; Pérez-Castrillón, J.L.; Pérez-Cano, R.; Muñoz-Torres, M.; Torrijos, A.; Jodar, E.; et al. Risk factors for prediction of inadequate response to antiresorptives. J. Bone Miner. Res. 2012, 27, 817–824. [Google Scholar] [CrossRef]
- Carmel, A.S.; Shieh, A.; Bang, H.; Bockman, R.S. The 25(OH)D level needed to maintain a favorable bisphosphonate response is ≥33 ng/ml. Osteoporos. Int. 2012, 23, 2479–2487. [Google Scholar] [CrossRef]
- Ha, K.Y.; Kim, Y.H.; Chang, D.G.; Son, I.N.; Kim, K.W.; Kim, S.E. Causes of late revision surgery after bone cement augmentation in osteoporotic vertebral compression fractures. Asian Spine J. 2013, 7, 294–300. [Google Scholar] [CrossRef] [PubMed]
- Sudo, H.; Ito, M.; Abumi, K.; Kotani, Y.; Takahata, M.; Hojo, Y.; Minami, A. One-stage posterior instrumentation surgery for the treatment of osteoporotic vertebral collapse with neurological deficits. Eur. Spine J. 2010, 19, 907–915. [Google Scholar] [CrossRef]
- Kim, Y.C.; Kim, Y.H.; Ha, K.Y. Pathomechanism of intravertebral clefts in osteoporotic compression fractures of the spine. Spine J. 2014, 14, 659–666. [Google Scholar] [CrossRef]
- Min, H.K.; Ahn, J.H.; Ha, K.Y.; Kim, Y.H.; Kim, S.I.; Park, H.Y.; Rhyu, K.W.; Kim, Y.Y.; Oh, I.S.; Seo, J.Y.; et al. Effects of anti-osteoporosis medications on radiological and clinical results after acute osteoporotic spinal fractures: A retrospective analysis of prospectively designed study. Osteoporos. Int. 2019, 30, 2249–2256. [Google Scholar] [CrossRef]
- Xue, D.; Li, F.; Chen, G.; Yan, S.; Pan, Z. Do bisphosphonates affect bone healing? A meta-analysis of randomized controlled trials. J. Orthop. Surg. Res. 2014, 9, 45. [Google Scholar] [CrossRef] [PubMed]
- Gong, H.S.; Song, C.H.; Lee, Y.H.; Rhee, S.H.; Lee, H.J.; Baek, G.H. Early initiation of bisphosphonate does not affect healing and outcomes of volar plate fixation of osteoporotic distal radial fractures. J. Bone Joint. Surg. Am. 2012, 94, 1729–1736. [Google Scholar] [CrossRef]
- Tokeshi, S.; Eguchi, Y.; Suzuki, M.; Yamanaka, H.; Tamai, H.; Orita, S.; Inage, K.; Shiga, Y.; Hagiwara, S.; Nakamura, J.; et al. Relationship between Skeletal Muscle Mass, Bone Mineral Density, and Trabecular Bone Score in Osteoporotic Vertebral Compression Fractures. Asian Spine J. 2021, 15, 365–372. [Google Scholar] [CrossRef] [PubMed]




| Variable | Response Group (n = 116) | Non-Response Group (n = 184) | p |
|---|---|---|---|
| Age (years) | 70.8 ± 6.7 * | 72.1 ± 7.8 * | 0.148 |
| Duration after menopause onset (years) | 20.0 ± 6.9 * | 21.5 ± 7.8 * | 0.108 |
| Follow-up duration | 5.3 ± 1.3 * | 1.7 ± 1.1 * | <0.001 |
| BMI (kg/m2) | 23.6 ± 3.0 * | 22.6 ± 3.4 * | 0.232 |
| Type of bisphosphonate (n) | 0.587 † | ||
| Alendronate | 36 (31.0%) | 65 (35.3%) | |
| Zoledronate | 80 (69.0%) | 119 (64.7%) | |
| Social history (n) | |||
| Current smoker | 10 (9.4%) | 23 (12.5%) | 0.392 † |
| Current alcoholics | 17 (14.7%) | 30 (16.3%) | 0.826 † |
| Steroid medication | 28 (24.1%) | 38 (20.7%) | 0.478 † |
| Medical history (n) | |||
| Hypertension | 50 (43.1%) | 60 (32.6%) | 0.066 † |
| CAOD | 12 (10.3%) | 17 (9.2%) | 0.752 † |
| CVA | 15 (12.9%) | 34 (18.5%) | 0.206 † |
| Diabetes mellitus | 20 (17.2%) | 32 (17.4%) | 0.973 † |
| Thyroid diseases | 15 (12.9%) | 24 (13.0%) | 0.978 † |
| Asthma/COPD | 6 (5.2%) | 12 (6.5%) | 0.632 † |
| Chronic kidney diseases | 6 (5.2%) | 3 (1.6%) | 0.080 † |
| Liver diseases | 15 (13.0%) | 20 (10.9%) | 0.588 † |
| Parkinson disease | 4 (3.4%) | 6 (3.3%) | 0.930 † |
| Dementia | 16 (13.8%) | 24 (13.0%) | 0.852 † |
| Rheumatic diseases | 10 (8.6%) | 13 (7.1%) | 0.622 † |
| Psychiatric diseases | 17 (14.7%) | 34 (18.5%) | 0.391 † |
| Variable | Response Group (n = 116) | Non-Response Group (n = 184) | p |
|---|---|---|---|
| Fracture | |||
| Fracture location (n) | 0.002 † | ||
| Thoracic | 5 (4.3%) | 18 (9.8%) | |
| Thoracolumbar | 62 (53.4%) | 70 (38.0%) | |
| Lumbar | 44 (38.0%) | 68 (37.0%) | |
| Multiple | 5 (4.3%) | 28 (15.2%) | |
| MRI classification (n) | 0.891 † | ||
| Endplate type | 83 (71.6%) | 129 (70.1%) | |
| Mid-portion type | 33 (28.4%) | 55 (29.9%) | |
| Presence of an IVC sign | 39 (33.6%) | 85 (46.2%) | 0.042 † |
| BMD and FRAX | |||
| BMD (T-score) | |||
| Spine, initial | −2.57 ± 0.56 * | −3.12 ± 0.94 * | <0.001 |
| Spine, last follow-up | −1.84 ± 0.56 * | −2.91 ± 0.88 * | <0.001 |
| Spine, difference | 0.72 ± 0.48 * | 0.19 ± 0.58 * | <0.001 |
| Femur, initial | −2.08 ± 0.61 * | −2.72 ± 0.76 * | <0.001 |
| Femur, last follow-up | −1.86 ± 0.54 * | −2.77 ± 0.80 * | <0.001 |
| Femur, difference | 0.21 ± 0.38 * | −0.05 ± 0.50 * | <0.001 |
| FRAX (%) | |||
| Major | 11.3 ± 4.1 * | 15.8 ± 8.4 * | <0.001 |
| Hip | 4.0 ± 3.0 * | 7.4 ± 5.7 * | <0.001 |
| Variable | Response Group (n = 116) | Non-Response Group (n = 184) | p |
|---|---|---|---|
| VBCR (%) | |||
| VBCR, initial | 74.2 ± 14.2 * | 73.0 ± 24.5 * | 0.618 |
| VBCR, 2-year follow-up | 66.2 ± 24.2 * | 62.2 ± 24.4 * | 0.167 |
| VBCR, difference | −8.4 ± 22.6 * | −10.5 ± 26.1 * | 0.482 |
| PAHC (%) | |||
| PAHC, initial | 79.1 ± 15.2 * | 75.1 ± 23.9 * | 0.110 |
| PAHC, 2-year follow-up | 70.5 ± 25.4 * | 61.6 ± 24.2 * | 0.003 |
| PAHC, difference | −9.2 ± 26.2 * | −13.3 ± 29.3 * | 0.214 |
| PMHC (%) | |||
| PMHC, initial | 77.0 ± 17.6 * | 71.7 ± 23.6 * | 0.040 |
| PMHC, 2-year follow-up | 72.2 ± 25.5 * | 60.0 ± 25.6 * | <0.001 |
| PMHC, difference | −5.0 ± 26.0 * | −12.2 ± 32.4 * | 0.052 |
| KA (°) | |||
| KA, initial | 12.4 ± 7.0 * | 13.3 ± 7.6 * | 0.283 |
| KA, 2-year follow-up | 13.0 ± 8.2 * | 14.6 ± 7.8 * | 0.110 |
| KA, difference | 0.6 ± 9.5 * | 1.0 ± 9.4 * | 0.776 |
| Cobb angle (°) | |||
| Cobb angle, initial | 14.6 ± 9.9 * | 16.1 ± 12.8 * | 0.252 |
| Cobb angle, 2-year follow-up | 18.7 ± 12.5 * | 19.7 ± 12.5 * | 0.474 |
| Cobb angle, difference | 4.1 ± 13.4 * | 3.5 ± 14.9 * | 0.733 |
| Variables | Univariate Analysis (n = 300) | Multivariate Analysis (n = 300) | ||||
|---|---|---|---|---|---|---|
| Beta | OR [95% CI] | p | Beta | OR [95% CI] | p | |
| Age | −0.333 | 0.717 [0.481–1.067] | 0.101 | −0.312 | 0.732 [0.494–1.085] | 0.120 |
| Duration after menopause onset | 0.356 | 1.427 [0.962–2.117] | 0.077 | 0.340 | 1.404 [0.950–2.075] | 0.088 |
| BMD, spine initial | 0.653 | 1.922 [1.346–2.744] | <0.001 | 0.674 | 1.962 [1.389–2.770] | <0.001 |
| FRAX, hip | 0.213 | 1.237 [1.020–1.500] | 0.031 | 0.277 | 1.320 [1.184–1.471] | <0.001 |
| Age | −0.333 | 0.717 [0.481–1.067] | 0.101 | −0.312 | 0.732 [0.494–1.085] | 0.120 |
Disclaimer/Publisher’s Note: The statements, opinions and data contained in all publications are solely those of the individual author(s) and contributor(s) and not of MDPI and/or the editor(s). MDPI and/or the editor(s) disclaim responsibility for any injury to people or property resulting from any ideas, methods, instructions or products referred to in the content. |
© 2023 by the authors. Licensee MDPI, Basel, Switzerland. This article is an open access article distributed under the terms and conditions of the Creative Commons Attribution (CC BY) license (https://creativecommons.org/licenses/by/4.0/).
Share and Cite
Kim, H.J.; Chang, H.K.; Chang, D.-G.; Ha, J.; Keum, B.-R.; Kim, G.-H. Radiological Factors Associated with Bisphosphonate Treatment Failure and Their Impact on Fracture Healing in Postmenopausal Women with Osteoporotic Vertebral Fractures. J. Clin. Med. 2023, 12, 3820. https://doi.org/10.3390/jcm12113820
Kim HJ, Chang HK, Chang D-G, Ha J, Keum B-R, Kim G-H. Radiological Factors Associated with Bisphosphonate Treatment Failure and Their Impact on Fracture Healing in Postmenopausal Women with Osteoporotic Vertebral Fractures. Journal of Clinical Medicine. 2023; 12(11):3820. https://doi.org/10.3390/jcm12113820
Chicago/Turabian StyleKim, Hong Jin, Ha Kyun Chang, Dong-Gune Chang, JiYun Ha, Byeong-Rak Keum, and Gun-Hwa Kim. 2023. "Radiological Factors Associated with Bisphosphonate Treatment Failure and Their Impact on Fracture Healing in Postmenopausal Women with Osteoporotic Vertebral Fractures" Journal of Clinical Medicine 12, no. 11: 3820. https://doi.org/10.3390/jcm12113820
APA StyleKim, H. J., Chang, H. K., Chang, D.-G., Ha, J., Keum, B.-R., & Kim, G.-H. (2023). Radiological Factors Associated with Bisphosphonate Treatment Failure and Their Impact on Fracture Healing in Postmenopausal Women with Osteoporotic Vertebral Fractures. Journal of Clinical Medicine, 12(11), 3820. https://doi.org/10.3390/jcm12113820

