Diagnosing Sport-Related Flow Limitations in the Iliac Arteries Using Near-Infrared Spectroscopy
Abstract
1. Introduction
2. Materials and Methods
2.1. Patient and Healthy Athletes
2.2. Doppler Ultrasound Examination
2.3. Exercise Testing
2.4. Near-Infrared Spectroscopy
2.5. Data Analysis
2.5.1. Absolute Values
2.5.2. Kinetic Analysis
2.6. Statistical Analysis
Diagnostic Accuracy
3. Results
3.1. Diagnostic Use of Near-Infrared Spectroscopy
3.1.1. Statistical Considerations
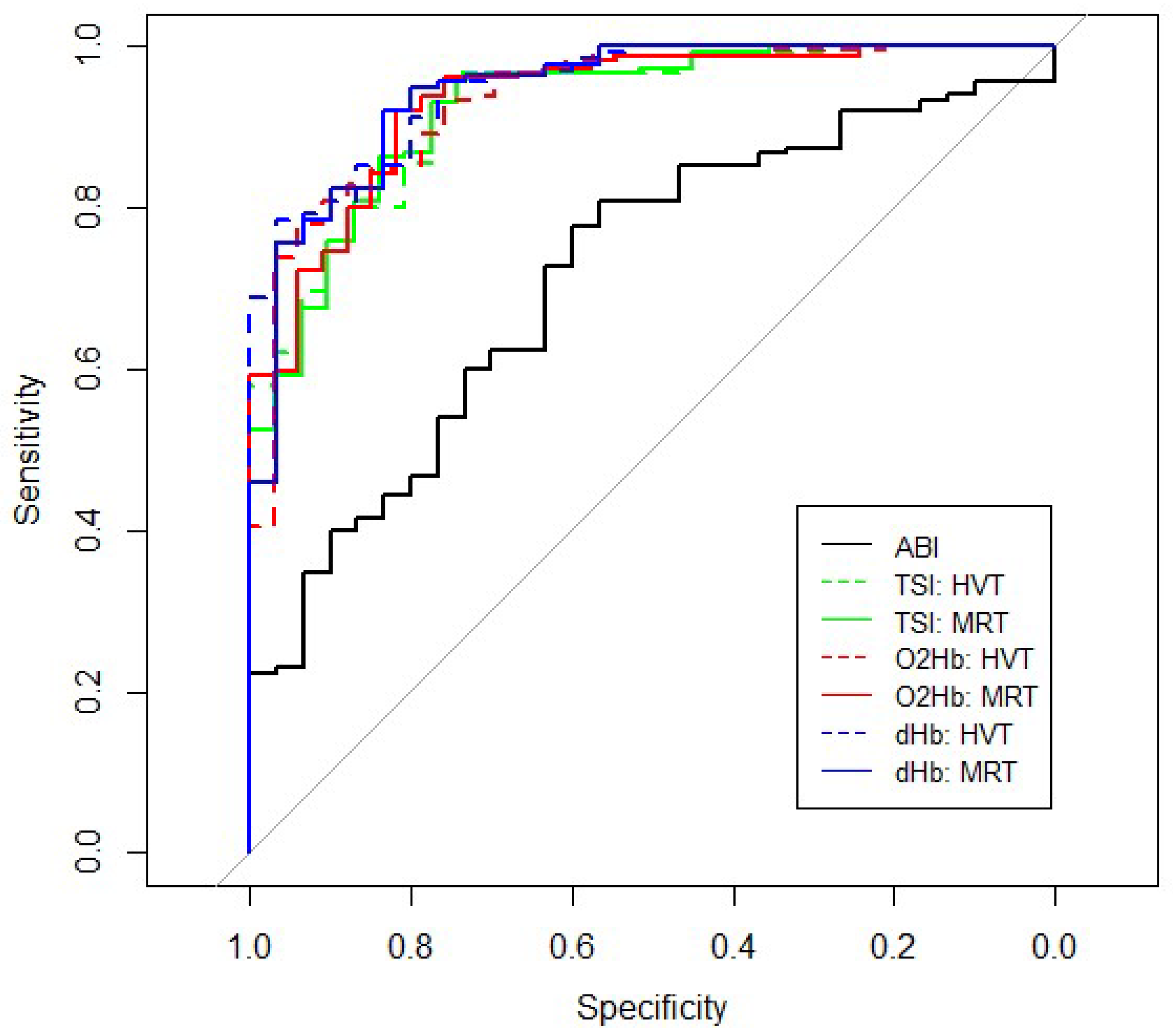
3.1.2. Diagnostic Accuracy of NIRS
3.1.3. Comparing ABIFlexed with NIRS
4. Discussion
5. Conclusions
Supplementary Materials
Author Contributions
Funding
Institutional Review Board Statement
Informed Consent Statement
Data Availability Statement
Acknowledgments
Conflicts of Interest
References
- Bender, M.H.; Schep, G.; de Vries, W.R.; Hoogeveen, A.R.; Wijn, P.F. Sports-related flow limitations in the iliac arteries in endurance athletes: Aetiology, diagnosis, treatment and future developments. Sport. Med. 2004, 34, 427–442. [Google Scholar] [CrossRef] [PubMed]
- Schep, G.; Bender, M.H.; Schmikli, S.L.; Mosterd, W.L.; Hammacher, E.R.; Scheltinga, M.; Wijn, P.F. Recognising vascular causes of leg complaints in endurance athletes. Part 2: The value of patient history, physical examination, cycling exercise test and echo-Doppler examination. Int. J. Sport. Med. 2002, 23, 322–328. [Google Scholar] [CrossRef] [PubMed]
- Schep, G.; Schmikli, S.L.; Bender, M.H.; Mosterd, W.L.; Hammacher, E.R.; Wijn, P.F. Recognising vascular causes of leg complaints in endurance athletes. Part 1: Validation of a decision algorithm. Int. J. Sport. Med. 2002, 23, 313–321. [Google Scholar] [CrossRef] [PubMed]
- Abraham, P.; Bickert, S.; Vielle, B.; Chevalier, J.M.; Saumet, J.L. Pressure measurements at rest and after heavy exercise to detect moderate arterial lesions in athletes. J. Vasc. Surg. 2001, 33, 721–727. [Google Scholar] [CrossRef] [PubMed]
- Van Hooff, M.; Schep, G.; Bender, M.; Scheltinga, M.; Savelberg, H. Sport-related femoral artery occlusion detected by near-infrared spectroscopy and pedal power measurements: A case report. Physician Sportsmed. 2021, 49, 241–244. [Google Scholar] [CrossRef]
- Korsten-Reck, U.; Rocker, K.; Schmidt-Trucksass, A.; Schumacher, Y.O.; Striegel, H.; Rimpler, H.; Dickhuth, H.H. External iliac artery occlusion in a young female cyclist. J. Sport. Med. Phys. Fit. 2007, 47, 91–95. [Google Scholar]
- Schep, G.; Bender, M.H.; van de Tempel, G.; Wijn, P.F.; de Vries, W.R.; Eikelboom, B.C. Detection and treatment of claudication due to functional iliac obstruction in top endurance athletes: A prospective study. Lancet 2002, 359, 466–473. [Google Scholar] [CrossRef]
- Bender, M.H.; Schep, G.; Bouts, S.W.; Backx, F.J.; Moll, F.L. Endurance athletes with intermittent claudication caused by iliac artery stenosis treated by endarterectomy with vein patch–short- and mid-term results. Eur. J. Vasc. Endovasc. Surg. 2012, 43, 472–477. [Google Scholar] [CrossRef]
- Peach, G.; Schep, G.; Palfreeman, R.; Beard, J.D.; Thompson, M.M.; Hinchliffe, R.J. Endofibrosis and kinking of the iliac arteries in athletes: A systematic review. Eur. J. Vasc. Endovasc. Surg. 2012, 43, 208–217. [Google Scholar] [CrossRef]
- Abraham, P.; Chevalier, J.M.; Leftheriotis, G.; Saumet, J.L. Lower extremity arterial disease in sports. Am. J. Sport. Med. 1997, 25, 581–584. [Google Scholar] [CrossRef]
- Barstow, T.J. Understanding near infrared spectroscopy and its application to skeletal muscle research. J. Appl. Physiol. 2019, 126, 1360–1376. [Google Scholar] [CrossRef]
- Van Beekvelt, M.C.; Colier, W.N.; Wevers, R.A.; Van Engelen, B.G. Performance of near-infrared spectroscopy in measuring local O2 consumption and blood flow in skeletal muscle. J. Appl. Physiol. 2001, 90, 511–519. [Google Scholar] [CrossRef] [PubMed]
- Ferrari, M.; Muthalib, M.; Quaresima, V. The use of near-infrared spectroscopy in understanding skeletal muscle physiology: Recent developments. Philos. Trans. A Math. Phys. Eng. Sci. 2011, 369, 4577–4590. [Google Scholar] [CrossRef] [PubMed]
- Vardi, M.; Nini, A. Near-infrared spectroscopy for evaluation of peripheral vascular disease. A systematic review of literature. Eur. J. Vasc. Endovasc. Surg. 2008, 35, 68–74. [Google Scholar] [CrossRef] [PubMed]
- Boezeman, R.P.; Moll, F.L.; Unlu, C.; de Vries, J.P. Systematic review of clinical applications of monitoring muscle tissue oxygenation with near-infrared spectroscopy in vascular disease. Microvasc. Res. 2016, 104, 11–22. [Google Scholar] [CrossRef]
- Baltrunas, T.; Mosenko, V.; Mackevicius, A.; Dambrauskas, V.; Asakiene, I.; Rucinskas, K.; Narmontas, P. The use of near-infrared spectroscopy in the diagnosis of peripheral artery disease: A systematic review. Vascular 2022, 30, 715–727. [Google Scholar] [CrossRef]
- Cornelis, N.; Chatzinikolaou, P.; Buys, R.; Fourneau, I.; Claes, J.; Cornelissen, V. The Use of Near Infrared Spectroscopy to Evaluate the Effect of Exercise on Peripheral Muscle Oxygenation in Patients with Lower Extremity Artery Disease: A Systematic Review. Eur. J. Vasc. Endovasc. Surg. 2021, 61, 837–847. [Google Scholar] [CrossRef]
- van Hooff, M.; Schep, G.; Meijer, E.; Bender, M.; Savelberg, H. Near-Infrared Spectroscopy Is Promising to Detect Iliac Artery Flow Limitations in Athletes: A Pilot Study. J. Sport. Med. 2018, 2018, 8965858. [Google Scholar] [CrossRef]
- Van Hooff, M.; Meijer, E.J.; Scheltinga, M.R.M.; Savelberg, H.; Schep, G. Test-retest reliability of skeletal muscle oxygenation measurement using near-infrared spectroscopy during exercise in patients with sport-related iliac artery flow limitation. Clin. Physiol. Funct. Imaging 2022, 42, 114–126. [Google Scholar] [CrossRef]
- Schep, G.; Bender, M.H.; Schmikli, S.L.; Wijn, P.F. Color Doppler used to detect kinking and intravascular lesions in the iliac arteries in endurance athletes with claudication. Eur. J. Ultrasound 2001, 14, 129–140. [Google Scholar] [CrossRef]
- Kleinloog, J.P.D.; van Hooff, M.; Savelberg, H.; Meijer, E.J.; Schep, G. Pedal power measurement as a diagnostic tool for functional vascular problems. Clin. Biomech. 2019, 61, 211–216. [Google Scholar] [CrossRef] [PubMed]
- Buchheit, M.; Hader, k.; Alberto, M.-V. Tolerance to high-intensity intermittent running exercise: Do oxygen uptake kinetics really matter? Front. Physiol. 2012, 3, 406. [Google Scholar] [CrossRef] [PubMed]
- Niemeijer, V.M.; Jansen, J.P.; van Dijk, T.; Spee, R.F.; Meijer, E.J.; Kemps, H.M.; Wijn, P.F. The influence of adipose tissue on spatially resolved near-infrared spectroscopy derived skeletal muscle oxygenation: The extent of the problem. Physiol. Meas. 2017, 38, 539–554. [Google Scholar] [CrossRef]
- Rickham, P.P. Human Experimentation. Code of Ethics of the World Medical Association. Declaration of Helsinki. Br. Med. J. 1964, 2, 177. [Google Scholar]
- Fletcher, G.F.; Ades, P.A.; Kligfield, P.; Arena, R.; Balady, G.J.; Bittner, V.A.; Coke, L.A.; Fleg, J.L.; Forman, D.E.; Gerber, T.C.; et al. Exercise standards for testing and training: A scientific statement from the American Heart Association. Circulation 2013, 128, 873–934. [Google Scholar] [CrossRef] [PubMed]
- O’Connor, F.G. ACSM’s Sports Medicine: A Comprehensive Review; Wolters Kluwer Health: Philadelphia, PA, USA, 2012; p. 139. [Google Scholar]
- Gornik, H.L.; Garcia, B.; Wolski, K.; Jones, D.C.; Macdonald, K.A.; Fronek, A. Validation of a method for determination of the ankle-brachial index in the seated position. J. Vasc. Surg. 2008, 48, 1204–1210. [Google Scholar] [CrossRef]
- Patterson, M.S.; Chance, B.; Wilson, B.C. Time resolved reflectance and transmittance for the non-invasive measurement of tissue optical properties. Appl. Opt. 1989, 28, 2331–2336. [Google Scholar] [CrossRef]
- Grassi, B.; Quaresima, V.; Marconi, C.; Ferrari, M.; Cerretelli, P. Blood lactate accumulation and muscle deoxygenation during incremental exercise. J. Appl. Physiol. 1999, 87, 348–355. [Google Scholar] [CrossRef]
- Pearson, R.K. Outliers in process modeling and identification. IEEE Trans. Control Syst. Technol. 2002, 10, 55–63. [Google Scholar] [CrossRef]
- Jones, A.M.; Poole, D.C. Oxygen Uptake Kinetics in Sport, Exercise and Medicine; Routledge: London, UK, 2005. [Google Scholar]
- Niemeijer, V.M.; Spee, R.F.; Jansen, J.P.; Buskermolen, A.B.; van Dijk, T.; Wijn, P.F.; Kemps, H.M. Test-retest reliability of skeletal muscle oxygenation measurements during submaximal cycling exercise in patients with chronic heart failure. Clin. Physiol. Funct. Imaging 2017, 37, 68–78. [Google Scholar] [CrossRef]
- DeLorey, D.S.; Kowalchuk, J.M.; Paterson, D.H. Relationship between pulmonary O2 uptake kinetics and muscle deoxygenation during moderate-intensity exercise. J. Appl. Physiol. 2003, 95, 113–120. [Google Scholar] [CrossRef] [PubMed]
- DeLorey, D.S.; Kowalchuk, J.M.; Paterson, D.H. Effect of age on O2 uptake kinetics and the adaptation of muscle deoxygenation at the onset of moderate-intensity cycling exercise. J. Appl. Physiol. 2004, 97, 165–172. [Google Scholar] [CrossRef]
- Leclair, E.; Thevenet, D.; Reguem, S.C.; Borel, B.; Baquet, G.; Berthoin, S.; Mucci, P. Reproducibility of Measurement of Muscle Deoxygenation in Children During Exercise. Pediatr. Exerc. Sci. 2010, 22, 183–194. [Google Scholar] [CrossRef] [PubMed]
- De Groote, P.; Millaire, A.; Decoulx, E.; Nugue, O.; Guimier, P.; Ducloux, G. Kinetics of oxygen consumption during and after exercise in patients with dilated cardiomyopathy. New markers of exercise intolerance with clinical implications. J. Am. Coll. Cardiol. 1996, 28, 168–175. [Google Scholar] [CrossRef] [PubMed]
- Kemps, H.M.; De Vries, W.R.; Hoogeveen, A.R.; Zonderland, M.L.; Thijssen, E.J.; Schep, G. Reproducibility of onset and recovery oxygen uptake kinetics in moderately impaired patients with chronic heart failure. Eur. J. Appl. Physiol. 2007, 100, 45–52. [Google Scholar] [CrossRef]
- The R Foundation. A Language and Environment for Statistical Computing, 4.2.1.; R Foundation for Statistical Computing: Vienna, Austria, 2022. [Google Scholar]
- Kosmidis, I. brglm2: Bias Reduction in Generalized Linear Models. In R Package Version 0.6, 2; R Foundation for Statistical Computing: Vienna, Austria, 2021. [Google Scholar]
- Kosmidis, I.; Firth, D. Jeffreys-prior penalty, finiteness and shrinkage in binomial-response generalized linear models. Biometrika 2020, 108, 71–82. [Google Scholar] [CrossRef]
- Kosmidis, I.; Kenne Pagui, E.C.; Sartori, N. Mean and median bias reduction in generalized linear models. Stat. Comput. 2020, 30, 43–59. [Google Scholar] [CrossRef]
- Chiou, S.H.; Betensky, R.A.; Balasubramanian, R. The missing indicator approach for censored covariates subject to limit of detection in logistic regression models. Ann. Epidemiol. 2019, 38, 57–64. [Google Scholar] [CrossRef]
- Turkson, A.J.; Ayiah-Mensah, F.; Nimoh, V. Handling Censoring and Censored Data in Survival Analysis: A Standalone Systematic Literature Review. Int. J. Math. Math. Sci. 2021, 2021, 9307475. [Google Scholar] [CrossRef]
- Julienne, T.; Ammi, M.; Hersant, J.; Henni, S.; Abraham, P. Near-infrared spectroscopy of the thigh fails to discriminate cyclists with arterial endofibrosis from normal asymptomatic athletes. Vasc. Investig. Ther. 2018, 1, 93–97. [Google Scholar] [CrossRef]
- Bruno, G.; Valentina, Q. Near-infrared spectroscopy and skeletal muscle oxidative function in vivo in health and disease: A review from an exercise physiology perspective. J. Biomed. Opt. 2016, 21, 091313. [Google Scholar] [CrossRef]
- Martin-Rincon, M.; Gelabert-Rebato, M.; Perez-Valera, M.; Galvan-Alvarez, V.; Morales-Alamo, D.; Dorado, C.; Boushel, R.; Hallen, J.; Calbet, J.A.L. Functional reserve and sex differences dursing exercise to exhaustion revealed by post-exercise ischaemia and repeated supramaximal exercise. J. Physiol. 2021, 599, 3853–3878. [Google Scholar] [CrossRef] [PubMed]
- Stöcker, F.; Von Oldershausen, C.; Paternoster, F.K.; Schulz, T.; Oberhoffer, R. Relationship of post-exercise muscle oxygenation and duration of cycling exercise. BMC Sport. Sci. Med. Rehabil. 2016, 8, 9. [Google Scholar] [CrossRef] [PubMed]
- Ichimura, S.; Murase, N.; Osada, T.; Kime, R.; Homma, T.; Ueda, C.; Nagasawa, T.; Motobe, M.; Hamaoka, T.; Katsumura, T. Age and Activity Status Affect Muscle Reoxygenation Time after Maximal Cycling Exercise. Med. Sci. Sport. Exerc. 2006, 38, 1277–1281. [Google Scholar] [CrossRef]
- Meyer, P.H.; Missao, E.T.; McCully, K. Muscle Oxidative Capacity in the Arms and Legs of Various Types of Endurance Trained Athletes. Med. Res. Arch. 2021, 9, 1–15. [Google Scholar] [CrossRef]
- Stavres, J.; Sica, C.T.; Blaha, C.; Herr, M.; Wang, J.; Pai, S.; Cauffman, A.; Vesek, J.; Yang, Q.X.; Sinoway, L.I. The exercise pressor reflex and active O2 transport in peripheral arterial disease. Physiol. Rep. 2019, 7, e14243. [Google Scholar] [CrossRef]
- Craig, J.C.; Broxterman, R.M.; Wilcox, S.L.; Chen, C.; Barstow, T.J. Effect of adipose tissue thickness, muscle site, and sex on near-infrared spectroscopy derived total-[hemoglobin + myoglobin]. J. Appl. Physiol. 2017, 123, 1571–1578. [Google Scholar] [CrossRef]



| Healthy Subjects (n = 33) | Patients (n = 201) | |
|---|---|---|
| Age (years) | 26 (21–38) | 40 (28–51) * |
| Sex | ||
| Male | 30 (90.9%) | 177 (88.1%) |
| Female | 3 (9.1%) | 24 (11.9%) |
| Cardiovascular family history | ||
| Yes | 6 (18.2%) | 33 (16.4%) † |
| No | 27 (81.8%) | 167 (83.1%) |
| Smoking (history) | ||
| Yes | 0 (0.0%) | 3 (1.5%) |
| No | 33 (100.0%) | 198 (98.5%) |
| Ex-smoker | 2 (6.1%) | 23 (11.4%) |
| Length (cm) | 181.1 (8.2) | 180.9 (8.1) |
| Weight (kg) | 73 (67–77) | 73 (68–82) |
| BMI (kg/m2) | 21.9 (20.6–23.1) | 22.3 (20.9–24.2) |
| Cycled lifetime (km) | 140,000 (69,000–263,000) | 200,000 (110,000–350,000) |
| Years of cycling (years) | 11 (6–15) | 15 (10–26) * |
| Level | ||
| Professional | 7 (21.2%) | 56 (27.9%) ** |
| Competitive | 18 (54.5%) | 50 (24.9%) |
| Recreational | 8 (24.2%) | 95 (47.3%) |
| Type of sport(s) (multiple answers possible) | ||
| Cycling | 33 (100.0%) | 186 (92.5%) |
| Ice speed skating | 1 (3.0%) | 22 (10.9%) |
| Triathlon | 3 (9.1%) | 13 (6.5%) |
| Running | 3 (9.1%) | 26 (12.9%) |
| Other | 0 (0.0%) | 4 (2.0%) |
| Back-complaints | ||
| Yes | 8 (24.2%) | 122 (60.7%) * |
| No | 25 (75.8%) | 79 (39.3%) |
| If yes, in relation to FLIA ‡ | No FLIA | 53 (43.44%) |
| FLIA side | ||
| Left | No FLIA | 76 (37.8%) |
| Right | 19 (9.5%) | |
| Both | 106 (52.7%) |
| Healthy Subjects (n = 33) | Patients (n = 201) | ||
|---|---|---|---|
| Non-Affected Legs | Affected Legs | ||
| PSVExtended (m/s) | 0.78 (0.70–0.88) | 1.12 (0.91–1.34) * | 1.40 (1.03–1.79) †‡ |
| PSVFlexed (m/s) | 0.95 (0.80–1.06) | 1.40 (1.08–1.74) * | 2.02 (1.65–2.48) †‡ |
| PSVPsoas (m/s) | 1.02 (0.87–1.19) | 1.54 (1.15–1.72) * | 2.21 (1.81–2.67) †‡ |
| Presence of arterial kinking | |||
| Yes | No FLIA | 184 (91.5%) | |
| No | 17 (8.5%) | ||
| Location of arterial kinking | |||
| CIA | No FLIA | 105 (52.2%) | |
| EIA | 130 (64.7%) | ||
| IIA | 1 (0.5%) | ||
| CFA | 0 (0.0%) | ||
| Presence of an intravascular lesion | |||
| Yes | No FLIA | 118 (58.7%) | |
| No | 83 (41.3%) | ||
| Location of the intravascular lesion | |||
| CIA | No FLIA | 37 (18.4%) | |
| EIA | 87 (43.3%) | ||
| IIA | 0 (0.0%) | ||
| CFA | 5 (2.5%) | ||
| Healthy Subjects | Patients | |||||||
|---|---|---|---|---|---|---|---|---|
| Unilateral (Complete Cases) | All Included Affected Patient Legs | |||||||
| nHealthy | Healthy Legs | nUnilateral | Non-Affected Leg | Affected Leg | nAffected | Affected Leg | ||
| Cycling test | ||||||||
| WPeak/kg | 33 | 5.9 (0.9) | 95 | 5.2 (1.0) * | 201 | 5.1 (1.1) * | ||
| ABIFlexed | 33 | 0.74 (0.62–0.79) | 94 | 0.67 (0.59–0.74) | 0.58 (0.44–0.68) *† | 200 | 0.58 (0.47–0.68) *† | |
| Absolute values and amplitudes | ||||||||
| TSI | 32 | 60.6 (58.1–64.0) | 87 | 59.5 (53.8–63.8) | 59.1 (54.6–63.4) | 188 | 58.5 (54.5–62.7) * | |
| 30 | 43.2 (39.0–46.0) | 71 | 43.6 (38.6–47.4) | 43.0 (33.4–46.6) † | 166 | 40.5 (34.3–45.9) † | ||
| 33 | 67.7 (3.9) | 72 | 66.9 (4.4) | 67.9 (4.7) † | 169 | 67.6 (4.7) | ||
| 31 | 18.1 (14.1–23.4) | 73 | 16.6 (11.6–21.2) | 18.2 (13.5–23.1) † | 167 | 17.5 (13.5–23.3) † | ||
| 31 | 25.6 (21.1–29.8) | 54 | 23.8 (18.8–28.7) | 24.9 (18.9–33.7) † | 141 | 25.4 (20.9–33.9) | ||
| O2Hb | 33 | 7.9 (2.4–12.5) | 77 | 7.2 (3.0–10.6) | 9.1 (5.5–14.7) † | 170 | 9.0 (4.5–13.5) | |
| ‡ | 33 | 14.8 (12.8–18.8) | 92 | 14.1 (10.8–20.3) | 14.8 (11.2–20.3) | 199 | 15.1 (11.2–19.9) | |
| 33 | 25.4 (17.8–30.1) | 77 | 21.4 (16.7–28.2) | 25.6 (15.9–34.8) † | 170 | 23.9 (16.7–33.0) | ||
| dHb | 32 | 9.2 (8.6) | 69 | 8.2 (8.2) | 11.2 (9.2) † | 157 | 10.3 (8.6) | |
| ‡ | 30 | 25.1 (20.1–32.6) | 70 | 24.6 (19.3–29.1) | 24.3 (19.6–32.5) | 165 | 24 (17.7–31.6) | |
| 30 | 37.2 (23.8–45.9) | 54 | 30.4 (24.4–38.2) | 33.8 (23.2–43.7) † | 133 | 32 (22.7–41.4) | ||
| Kinetic variables | ||||||||
| TSI | 33 | 15.2 (10.9–21.0) | 59 | 21.0 (17.5–32.6) * | 34.0 (20.2–48.7) *† | 146 | 33.5 (20.3–50.2) *† | |
| 33 | 9.8 (1.9–15.5) | 59 | 17.8 (12.1–26.5) * | 23.4 (14.4–35.5) *† | 146 | 23.1 (15.1–36.3) *† | ||
| 33 | 22.9 (17.5–31.4) | 59 | 37.4 (29.2–60.4) * | 58.2 (39.1–83.5) *† | 146 | 57.5 (38.6–86.5) *† | ||
| 31 | 17.8 (15.6–27.4) | 54 | 30.3 (25.0–50.2) * | 45.4 (28.7–61.6) *† | 142 | 45.4 (30.5–65.2) *† | ||
| O2Hb | 33 | 20.9 (16.8–26.9) | 81 | 30.9 (21.0–43.0) * | 38.5 (28.2–62.3) *† | 180 | 39.6 (28.0–59.9) *† | |
| 33 | 8.6 (2.9–15.5) | 81 | 17.0 (11.6–22.8) * | 21.7 (15.6–34.1) *† | 180 | 21.6 (15.6–33.7) *† | ||
| 33 | 29.1 (22.2–38.7) | 81 | 45.9 (36.3–65.0) * | 61.6 (45.5–100.0) *† | 180 | 62.0 (45.8–93.7) *† | ||
| 33 | 23.9 (19.4–29.9) | 77 | 35.0 (27.8–50.2) * | 47.5 (34.5–72.0) *† | 169 | 47.7 (35.9–71.4) *† | ||
| dHb | 33 | 18.7 (15.5–28.2) | 57 | 31.0 (22.3–44.8) * | 41.2 (27.0–59.5) *† | 142 | 43.0 (27.9–62.7) *† | |
| 33 | 11.1 (4.9–16.4) | 57 | 18.8 (12.5–25.1) * | 24.7 (16.8–35.5) *† | 142 | 23.0 (15.7–35.3) *† | ||
| 33 | 28.7 (22.4–40.3) | 57 | 47.2 (38.3–68.2) * | 64.9 (45.8–92.4) *† | 142 | 65.2 (47.7–98.9) *† | ||
| 30 | 22.6 (19.8–29.5) | 54 | 35.6 (29.1–59.6) * | 50.4 (33.9–72.7) *† | 133 | 50.0 (36.2–76.9) *† | ||
| AUC | T 1 | Sens 1 | Spec 1 | T 2 | Sens 2 | Spec 2 | T 3 | Sens 3 | Spec 3 | ||
|---|---|---|---|---|---|---|---|---|---|---|---|
| ABI | 0.717 (0.626–0.807) | 0.765 | 0.78 | 0.60 | 0.659 | 0.94 | 0.10 | 0.900 | 0.23 | 0.97 | |
| TSI | HVT | 0.924 (0.885–0.963) | 0.570 | 0.96 | 0.74 | 0.618 | 0.95 | 0.74 | 0.933 | 0.65 | 0.97 |
| MRT | 0.921 (0.881–0.961) | 0.603 | 0.95 | 0.74 | 0.573 | 0.95 | 0.65 | 0.919 | 0.68 | 0.97 | |
| O2Hb | HVT | 0.934 (0.901–0.968) | 0.646 | 0.94 | 0.82 | 0.613 | 0.96 | 0.70 | 0.962 | 0.63 | 0.97 |
| MRT | 0.932 (0.898–0.966) | 0.864 | 0.80 | 0.91 | 0.623 | 0.96 | 0.70 | 0.917 | 0.72 | 0.97 | |
| dHb | HVT | 0.937 (0.902–0.973) | 0.839 | 0.80 | 0.93 | 0.619 | 0.94 | 0.73 | 0.963 | 0.59 | 0.97 |
| MRT | 0.939 (0.904–0.974) | 0.843 | 0.80 | 0.93 | 0.538 | 0.95 | 0.70 | 0.875 | 0.75 | 0.97 | |
Publisher’s Note: MDPI stays neutral with regard to jurisdictional claims in published maps and institutional affiliations. |
© 2022 by the authors. Licensee MDPI, Basel, Switzerland. This article is an open access article distributed under the terms and conditions of the Creative Commons Attribution (CC BY) license (https://creativecommons.org/licenses/by/4.0/).
Share and Cite
van Hooff, M.; Arnold, J.; Meijer, E.; Schreuder, P.; Regis, M.; Xu, L.; Scheltinga, M.; Savelberg, H.; Schep, G. Diagnosing Sport-Related Flow Limitations in the Iliac Arteries Using Near-Infrared Spectroscopy. J. Clin. Med. 2022, 11, 7462. https://doi.org/10.3390/jcm11247462
van Hooff M, Arnold J, Meijer E, Schreuder P, Regis M, Xu L, Scheltinga M, Savelberg H, Schep G. Diagnosing Sport-Related Flow Limitations in the Iliac Arteries Using Near-Infrared Spectroscopy. Journal of Clinical Medicine. 2022; 11(24):7462. https://doi.org/10.3390/jcm11247462
Chicago/Turabian Stylevan Hooff, Martijn, Jem Arnold, Eduard Meijer, Paul Schreuder, Marta Regis, Lin Xu, Marc Scheltinga, Hans Savelberg, and Goof Schep. 2022. "Diagnosing Sport-Related Flow Limitations in the Iliac Arteries Using Near-Infrared Spectroscopy" Journal of Clinical Medicine 11, no. 24: 7462. https://doi.org/10.3390/jcm11247462
APA Stylevan Hooff, M., Arnold, J., Meijer, E., Schreuder, P., Regis, M., Xu, L., Scheltinga, M., Savelberg, H., & Schep, G. (2022). Diagnosing Sport-Related Flow Limitations in the Iliac Arteries Using Near-Infrared Spectroscopy. Journal of Clinical Medicine, 11(24), 7462. https://doi.org/10.3390/jcm11247462

