Answering Clinical Questions Using Machine Learning: Should We Look at Diastolic Blood Pressure When Tailoring Blood Pressure Control?
Abstract
1. Introduction
2. Methods
Statistical Analysis
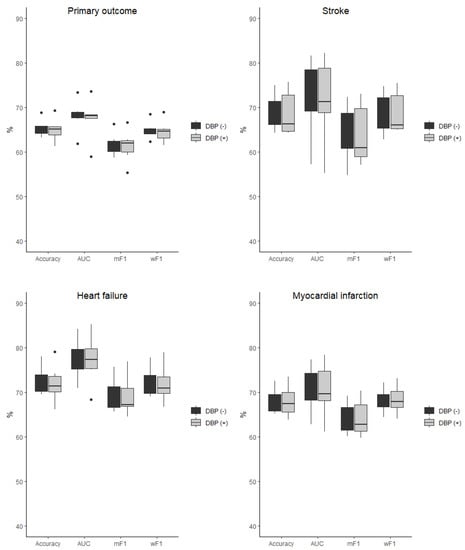
3. Results
4. Discussion
Supplementary Materials
Author Contributions
Funding
Institutional Review Board Statement
Informed Consent Statement
Data Availability Statement
Conflicts of Interest
References
- Williams, B.; Mancia, G.; Spiering, W.; Agabiti Rosei, E.; Azizi, M.; Burnier, M.; Clement, D.L.; Coca, A.; de Simone, G.; Dominiczak, A.; et al. 2018 ESC/ESH Guidelines for the management of arterial hypertension. Eur. Heart J. 2018, 39, 3021–3104. [Google Scholar] [CrossRef] [PubMed]
- Sobieraj, P.; Lewandowski, J.; Sinski, M. Determination of the optimal on-treatment diastolic blood pressure range using automated office measurements in patients without cardiovascular disease. Pol. Arch. Int. Med. 2021, 131, 249–256. [Google Scholar] [CrossRef] [PubMed]
- Stewart, I.M. Relation of reduction in pressure to first myocardial infarction in patients receiving treatment for severe hypertension. Lancet 1979, 1, 861–865. [Google Scholar] [CrossRef] [PubMed]
- Alderman, M.H.; Ooi, W.L.; Madhavan, S.; Cohen, H. Treatment-induced blood pressure reduction and the risk of myocardial infarction. JAMA 1989, 262, 920–924. [Google Scholar] [CrossRef] [PubMed]
- Sobieraj, P.; Lewandowski, J.; Sinski, M.; Symonides, B.; Gaciong, Z. Low Diastolic Blood Pressure is Not Related to Risk of First Episode of Stroke in a High-Risk Population: A Secondary Analysis of SPRINT. J. Am. Heart Assoc. 2019, 8, e010811. [Google Scholar] [CrossRef]
- Sobieraj, P.; Lewandowski, J.; Sinski, M. Low on-treatment diastolic blood pressure is not independently associated with increased cardiovascular risk: An analysis of the SPRINT trial. Eur. Heart J. 2019, 40, 2094–2095. [Google Scholar] [CrossRef]
- Vidal-Petiot, E.; Greenlaw, N.; Ford, I.; Ferrari, R.; Fox, K.M.; Tardif, J.C.; Tendera, M.; Parkhomenko, A.; Bhatt, D.L.; Steg, P.G. Relationships Between Components of Blood Pressure and Cardiovascular Events in Patients with Stable Coronary Artery Disease and Hypertension. Hypertension 2018, 71, 168–176. [Google Scholar] [CrossRef]
- Lip, S.; Tan, L.E.; Jeemon, P.; McCallum, L.; Dominiczak, A.F.; Padmanabhan, S. Diastolic Blood Pressure J-Curve Phenomenon in a Tertiary-Care Hypertension Clinic. Hypertension 2019, 74, 767–775. [Google Scholar] [CrossRef]
- Wright, J.T., Jr.; Williamson, J.D.; Whelton, P.K.; Snyder, J.K.; Sink, K.M.; Rocco, M.V.; Reboussin, D.M.; Rahman, M.; Oparil, S.; Lewis, C.E.; et al. A Randomized Trial of Intensive versus Standard Blood-Pressure Control. N. Engl. J. Med. 2015, 373, 2103–2116. [Google Scholar] [CrossRef]
- Ambrosius, W.T.; Sink, K.M.; Foy, C.G.; Berlowitz, D.R.; Cheung, A.K.; Cushman, W.C.; Fine, L.J.; Goff, D.C., Jr.; Johnson, K.C.; Killeen, A.A.; et al. The design and rationale of a multicenter clinical trial comparing two strategies for control of systolic blood pressure: The Systolic Blood Pressure Intervention Trial (SPRINT). Clin. Trials 2014, 11, 532–546. [Google Scholar] [CrossRef]
- Rapid Miner Data Science Platform. Available online: https://rapidminer.com/platform/educational (accessed on 7 March 2022).
- Chawla, N.; Bowyer, K.; Hall, L.; Kegelmeyer, W. SMOTE: Synthetic Minority Over-sampling Technique. J. Artif. Intell. Res. 2002, 16, 321–357. [Google Scholar] [CrossRef]
- Lever, J.; Krzywinski, M.; Altman, N. Classification evaluation. Nat. Methods 2016, 13, 603–604. [Google Scholar] [CrossRef]
- Szakonyi, B.; Vassányi, I.; Schumacher, E.; Kósa, I. Efficient methods for acute stress detection using heart rate variability data from Ambient Assisted Living sensors. Biomed. Eng. Online 2021, 20, 73. [Google Scholar] [CrossRef] [PubMed]
- R Core Team. R: A Language and Environment for Statistical Computing. R Foundation for Statistical Computing. Available online: https://www.R-project.org/ (accessed on 15 March 2022).
- Systolic Blood Pressure Intervention Trial (SPRINT) Protocol. Available online: https://www.sprinttrial.org/public/Protocol_Current.pdf (accessed on 15 March 2022).
- Kassambara, A. Drawing Survival Curves Using ‘ggplot2’. Available online: https://CRAN.R-project.org/package=survminer (accessed on 15 March 2022).
- Cruickshank, J.M.; Thorp, J.M.; Zacharias, F.J. Benefits and potential harm of lowering high blood pressure. Lancet 1987, 1, 581–584. [Google Scholar] [CrossRef]
- Farnett, L.; Mulrow, C.D.; Linn, W.D.; Lucey, C.R.; Tuley, M.R. The J-curve phenomenon and the treatment of hypertension. Is there a point beyond which pressure reduction is dangerous? JAMA 1991, 265, 489–495. [Google Scholar] [CrossRef]
- Messerli, F.H.; Mancia, G.; Conti, C.R.; Hewkin, A.C.; Kupfer, S.; Champion, A.; Kolloch, R.; Benetos, A.; Pepine, C.J. Dogma disputed: Can aggressively lowering blood pressure in hypertensive patients with coronary artery disease be dangerous? Ann. Intern. Med. 2006, 144, 884–893. [Google Scholar] [CrossRef]
- Böhm, M.; Ferreira, J.P.; Mahfoud, F.; Duarte, K.; Pitt, B.; Zannad, F.; Rossignol, P. Myocardial reperfusion reverses the J-curve association of cardiovascular risk and diastolic blood pressure in patients with left ventricular dysfunction and heart failure after myocardial infarction: Insights from the EPHESUS trial. Eur. Heart J. 2020, 41, 1673–1683. [Google Scholar] [CrossRef]
- Khan, N.A.; Rabkin, S.W.; Zhao, Y.; McAlister, F.A.; Park, J.E.; Guan, M.; Chan, S.; Humphries, K.H. Effect of Lowering Diastolic Pressure in Patients With and Without Cardiovascular Disease: Analysis of the SPRINT (Systolic Blood Pressure Intervention Trial). Hypertension 2018, 71, 840–847. [Google Scholar] [CrossRef]
- Beddhu, S.; Chertow, G.M.; Cheung, A.K.; Cushman, W.C.; Rahman, M.; Greene, T.; Wei, G.; Campbell, R.C.; Conroy, M.; Freedman, B.I.; et al. Influence of Baseline Diastolic Blood Pressure on Effects of Intensive Compared With Standard Blood Pressure Control. Circulation 2018, 137, 134–143. [Google Scholar] [CrossRef]
- Ilkun, O.L.; Greene, T.; Cheung, A.K.; Whelton, P.K.; Wei, G.; Boucher, R.E.; Ambrosius, W.; Chertow, G.M.; Beddhu, S. The Influence of Baseline Diastolic Blood Pressure on the Effects of Intensive Blood Pressure Lowering on Cardiovascular Outcomes and All-Cause Mortality in Type 2 Diabetes. Diabetes Care 2020, 43, 1878–1884. [Google Scholar] [CrossRef]
- Zhang, W.; Zhang, S.; Deng, Y.; Wu, S.; Ren, J.; Sun, G.; Yang, J.; Jiang, Y.; Xu, X.; Wang, T.D.; et al. Trial of Intensive Blood-Pressure Control in Older Patients with Hypertension. N. Engl. J. Med. 2021, 385, 1268–1279. [Google Scholar] [CrossRef] [PubMed]
- Arvanitis, M.; Qi, G.; Bhatt, D.L.; Post, W.S.; Chatterjee, N.; Battle, A.; McEvoy, J.W. Linear and Nonlinear Mendelian Randomization Analyses of the Association Between Diastolic Blood Pressure and Cardiovascular Events: The J-Curve Revisited. Circulation 2021, 143, 895–906. [Google Scholar] [CrossRef] [PubMed]
- Malik, R.; Georgakis, M.K.; Vujkovic, M.; Damrauer, S.M.; Elliott, P.; Karhunen, V.; Giontella, A.; Fava, C.; Hellwege, J.N.; Shuey, M.M.; et al. Relationship Between Blood Pressure and Incident Cardiovascular Disease: Linear and Nonlinear Mendelian Randomization Analyses. Hypertension 2021, 77, 2004–2013. [Google Scholar] [CrossRef] [PubMed]
- Shihab, S.; Boucher, R.E.; Abraham, N.; Wei, G.; Beddhu, S. Influence of Baseline Diastolic Blood Pressure on the Effects of Intensive Systolic Blood Pressure Lowering on the Risk of Stroke. Hypertension 2022, 79, 785–793. [Google Scholar] [CrossRef] [PubMed]
- Dolui, S.; Detre, J.A.; Gaussoin, S.A.; Herrick, J.S.; Wang, D.J.J.; Tamura, M.K.; Cho, M.E.; Haley, W.E.; Launer, L.J.; Punzi, H.A.; et al. Association of Intensive vs Standard Blood Pressure Control With Cerebral Blood Flow: Secondary Analysis of the SPRINT MIND Randomized Clinical Trial. JAMA Neurol. 2022, 79, 380–389. [Google Scholar] [CrossRef] [PubMed]
- Avanzo, M.; Wei, L.; Stancanello, J.; Vallières, M.; Rao, A.; Morin, O.; Mattonen, S.A.; El Naqa, I. Machine and deep learning methods for radiomics. Med. Phys. 2020, 47, e185–e202. [Google Scholar] [CrossRef]
- Zhang, F. Application of machine learning in CT images and X-rays of COVID-19 pneumonia. Medicine 2021, 100, e26855. [Google Scholar] [CrossRef]
- Tokodi, M.; Schwertner, W.R.; Kovács, A.; Tősér, Z.; Staub, L.; Sárkány, A.; Lakatos, B.K.; Behon, A.; Boros, A.M.; Perge, P.; et al. Machine learning-based mortality prediction of patients undergoing cardiac resynchronization therapy: The SEMMELWEIS-CRT score. Eur. Heart J. 2020, 41, 1747–1756. [Google Scholar] [CrossRef]
- Cohen-Shelly, M.; Attia, Z.I.; Friedman, P.A.; Ito, S.; Essayagh, B.A.; Ko, W.Y.; Murphree, D.H.; Michelena, H.I.; Enriquez-Sarano, M.; Carter, R.E.; et al. Electrocardiogram screening for aortic valve stenosis using artificial intelligence. Eur. Heart J. 2021, 42, 2885–2896. [Google Scholar] [CrossRef]
- Hannun, A.Y.; Rajpurkar, P.; Haghpanahi, M.; Tison, G.H.; Bourn, C.; Turakhia, M.P.; Ng, A.Y. Cardiologist-level arrhythmia detection and classification in ambulatory electrocardiograms using a deep neural network. Nat. Med. 2019, 25, 65–69. [Google Scholar] [CrossRef]
- Sidey-Gibbons, J.A.M.; Sidey-Gibbons, C.J. Machine learning in medicine: A practical introduction. BMC Med. Res. Methodol. 2019, 19, 64. [Google Scholar] [CrossRef] [PubMed]
- Niedziela, J.T.; Cieśla, D.; Wojakowski, W.; Gierlotka, M.; Dudek, D.; Witkowski, A.; Zdrojewski, T.; Lesiak, M.; Buszman, P.; Gąsior, M. Is neural network better than logistic regression in death prediction in patients after ST-segment elevation myocardial infarction? Kardiol. Pol. (Pol. Heart J.) 2021, 79, 1353–1361. [Google Scholar] [CrossRef] [PubMed]
- Oikonomou, E.K.; Spatz, E.S.; Suchard, M.A.; Khera, R. Individualising intensive systolic blood pressure reduction in hypertension using computational trial phenomaps and machine learning: A post-hoc analysis of randomised clinical trials. Lancet Digit. Health 2022, 4, e796–e805. [Google Scholar] [CrossRef] [PubMed]
- Sinski, M.; Sobieraj, P.; Lewandowski, J. Not afraid of low diastolic blood pressure anymore? Aging 2019, 11, 9229–9230. [Google Scholar] [CrossRef] [PubMed]
- van Smeden, M.; Heinze, G.; Van Calster, B.; Asselbergs, F.W.; Vardas, P.E.; Bruining, N.; de Jaegere, P.; Moore, J.H.; Denaxas, S.; Boulesteix, A.L.; et al. Critical appraisal of artificial intelligence-based prediction models for cardiovascular disease. Eur. Heart J. 2022, 43, 2921–2930. [Google Scholar] [CrossRef]




, KNN—k-nearest neighbor classifier
, LR—logistic regression
, MLP—multi-layer perceptron
, NB—naive Bayesian classifier
, RF—random forest
.
, KNN—k-nearest neighbor classifier
, LR—logistic regression
, MLP—multi-layer perceptron
, NB—naive Bayesian classifier
, RF—random forest
.
| Model Excluding DBP | Model Including DBP | |||||||
|---|---|---|---|---|---|---|---|---|
| ML Algorithm | Accuracy (%) | AUC (%) | mF1 (%) | wF1 (%) | Accuracy (%) | AUC (%) | mF1 (%) | wF1 (%) |
| PRIMARY OUTCOME | ||||||||
| DT | 63.2 | 61.9 | 58.7 | 62.3 | 63.6 | 59.0 | 59.3 | 62.7 |
| RF | 64.1 | 69.1 | 59.5 | 64.3 | 61.3 | 68.1 | 55.4 | 61.5 |
| KNN | 64.4 | 67.4 | 61.8 | 64.1 | 64.5 | 67.4 | 62.1 | 64.3 |
| NB | 65.9 | 68.6 | 62.7 | 65.4 | 65.6 | 68.3 | 62.8 | 65.2 |
| MLP | 68.9 | 73.4 | 66.3 | 68.5 | 69.3 | 73.6 | 66.6 | 68.9 |
| LR | 65.6 | 68.3 | 61.7 | 64.9 | 65.7 | 68.4 | 61.8 | 65.1 |
| STROKE | ||||||||
| DT | 64.3 | 57.2 | 54.7 | 62.8 | 64.3 | 55.2 | 57.1 | 65.0 |
| RF | 66.9 | 76.3 | 63.2 | 70.0 | 64.3 | 72.6 | 58.2 | 66.1 |
| KNN | 73.0 | 79.2 | 70.6 | 73.0 | 74.8 | 81.0 | 72.8 | 74.9 |
| NB | 66.0 | 68.9 | 61.0 | 65.2 | 65.7 | 68.5 | 60.9 | 65.0 |
| MLP | 75.0 | 81.7 | 72.3 | 74.8 | 75.7 | 82.2 | 73.1 | 75.5 |
| LR | 66.8 | 70.0 | 60.7 | 65.7 | 66.9 | 70.0 | 60.9 | 65.9 |
| MYOCARDIAL INFARCTION | ||||||||
| DT | 65.3 | 62.8 | 60.1 | 64.4 | 65.0 | 61.1 | 59.8 | 64.1 |
| RF | 65.2 | 72.1 | 61.4 | 68.3 | 63.9 | 70.8 | 61.2 | 68.7 |
| KNN | 70.0 | 75.1 | 67.4 | 69.9 | 70.8 | 76.1 | 68.3 | 70.7 |
| NB | 68.3 | 68.9 | 64.2 | 67.7 | 67.6 | 68.5 | 63.8 | 67.1 |
| MLP | 72.6 | 77.4 | 69.2 | 72.2 | 73.6 | 78.4 | 70.4 | 73.2 |
| LR | 67.3 | 68.0 | 61.8 | 66.4 | 67.3 | 68.0 | 61.8 | 66.4 |
| HEART FAILURE | ||||||||
| DT | 69.5 | 71.0 | 65.7 | 69.0 | 66.2 | 68.4 | 64.5 | 66.8 |
| RF | 73.2 | 79.5 | 69.5 | 72.9 | 71.8 | 78.2 | 67.5 | 71.5 |
| KNN | 74.2 | 79.7 | 71.9 | 74.2 | 74.2 | 80.4 | 72.0 | 74.2 |
| NB | 70.1 | 75.0 | 66.6 | 69.7 | 69.8 | 75.1 | 66.8 | 69.6 |
| MLP | 78.0 | 84.2 | 75.7 | 77.9 | 79.1 | 85.3 | 76.9 | 78.9 |
| LR | 70.7 | 75.9 | 66.6 | 70.2 | 71.0 | 76.4 | 67.0 | 70.4 |
| Model Excluding DBP | Model Including DBP | |||||||
|---|---|---|---|---|---|---|---|---|
| ML Algorithm | Accuracy (%) | AUC (%) | mF1 (%) | wF1 (%) | Accuracy (%) | AUC (%) | mF1 (%) | wF1 (%) |
| PRIMARY OUTCOME | ||||||||
| DT | 61.1 | 63.2 | 60.4 | 61.0 | 61.1 | 61.5 | 60.0 | 60.9 |
| RF | 65.0 | 70.8 | 64.1 | 65.0 | 62.0 | 69.4 | 61.4 | 63.0 |
| KNN | 63.3 | 68.6 | 62.8 | 63.3 | 63.0 | 68.2 | 62.6 | 63.0 |
| NB | 64.2 | 68.4 | 63.7 | 64.2 | 64.2 | 68.4 | 63.6 | 64.1 |
| MLP | 68.2 | 74.5 | 67.7 | 68.2 | 68.5 | 75.7 | 67.8 | 68.4 |
| LR | 64.3 | 67.9 | 63.4 | 64.2 | 64.3 | 68.0 | 63.4 | 64.2 |
| STROKE | ||||||||
| DT | 59.9 | 60.5 | 56.0 | 58.1 | 58.5 | 56.1 | 57.7 | 62.1 |
| RF | 68.1 | 78.9 | 67.2 | 72.6 | 64.7 | 76.5 | 64.3 | 67.3 |
| KNN | 72.1 | 80.1 | 71.5 | 75.5 | 72.6 | 80.1 | 72.2 | 72.8 |
| NB | 64.3 | 69.8 | 63.0 | 66.2 | 64.2 | 69.8 | 62.8 | 64.0 |
| MLP | 77.0 | 84.3 | 76.5 | 80.2 | 77.7 | 84.8 | 77.0 | 77.7 |
| LR | 65.7 | 69.9 | 63.8 | 66.7 | 66.0 | 69.9 | 64.0 | 65.7 |
| MYOCARDIAL INFARCTION | ||||||||
| DT | 63.5 | 63.8 | 61.7 | 63.2 | 62.8 | 60.3 | 60.6 | 62.5 |
| RF | 68.1 | 73.9 | 66.6 | 68.3 | 64.4 | 72.0 | 63.2 | 65.8 |
| KNN | 66.9 | 74.1 | 66.3 | 67.0 | 68.0 | 74.9 | 67.5 | 68.2 |
| NB | 65.8 | 69.6 | 64.6 | 65.7 | 65.0 | 69.3 | 63.7 | 64.8 |
| MLP | 72.4 | 79.8 | 71.7 | 72.4 | 74.1 | 80.9 | 73.4 | 74.1 |
| LR | 65.5 | 68.3 | 63.8 | 65.2 | 65.5 | 68.4 | 63.7 | 65.2 |
| HEART FAILURE | ||||||||
| DT | 67.6 | 68.7 | 67.5 | 67.6 | 58.5 | 56.5 | 58.1 | 59.1 |
| RF | 70.8 | 79.9 | 70.8 | 70.9 | 69.4 | 78.3 | 69.3 | 69.4 |
| KNN | 71.9 | 79.2 | 72.1 | 72.1 | 70.9 | 78.2 | 71.0 | 71.1 |
| NB | 68.8 | 75.6 | 68.7 | 68.9 | 68.8 | 75.2 | 68.7 | 68.8 |
| MLP | 76.2 | 83.6 | 76.2 | 76.3 | 77.2 | 84.2 | 77.2 | 77.2 |
| LR | 71.0 | 76.6 | 70.8 | 71.0 | 71.0 | 76.6 | 70.9 | 71.0 |
| Is AI Needed to Solve the Targeted Medical Problem? In the Current Study ML Methods Were Used to Solve the Problem of the DBP Relevance as an Independent Risk Factor. Previous Analysis Using Classical Methods Gave Ambiguous Results. |
| How does the AI prediction model fit in the existing clinical workflow? The current analysis is a secondary analysis of the clinical trial. It does not apply to any specific existing clinical workflow. |
| Are the data for prediction model development and testing representative for the targeted patient population and intended use? The SPRINT population was representative for the population of patients with high cardiovascular risk requiring antihypertensive treatment. |
| Is the (time)point of prediction clear and aligned with the feature measurements? The current analysis is a secondary analysis of the clinical trial. |
| Is the outcome variable labelling procedure reliable, replicable and independent? It is secondary analysis of the clinical trial. We used labeling of the original SPRINT database. |
| Was the sample size sufficient for AI prediction model development and testing? The sample size of the analysis was determined by the sample size of the SPRINT. The environment used for the analysis did not reveal sample size issues. A posteriori sample size calculation was not performed. |
| Is optimism of predictive performance of the AI prediction model avoided? The performance of AI prediction models was tested. |
| Was the AI model performance evaluated beyond simple classification statistics? The created models were evaluated using 10-fold cross-validation. Various quality criteria was computed. Overall accuracy, mF1, and wF1 measures were used to evaluate the model as a whole, AUC was used to evaluate the model when predicting the diagnosis. |
| Were the relevant reporting guidelines for AI prediction model studies followed? The topics included in the TRIPOD statement were addressed in the manuscript. |
| Is algorithmic (un)fairness considered and appropriately addressed? SPRINT focuses on the population of patients with high cardiovascular risk requiring antihypertensive treatment and the results were biased towards this group of patients. |
| Is the developed AI prediction model open for use, further testing, critical appraisal and updating, and use in daily practice? Standard data mining platform RapidMiner was used so it is easy to perform retest. |
| Are the presented relations between individual features and the outcome not overinterpreted? Conclusions were drawn with caution. |
Publisher’s Note: MDPI stays neutral with regard to jurisdictional claims in published maps and institutional affiliations. |
© 2022 by the authors. Licensee MDPI, Basel, Switzerland. This article is an open access article distributed under the terms and conditions of the Creative Commons Attribution (CC BY) license (https://creativecommons.org/licenses/by/4.0/).
Share and Cite
Siński, M.; Berka, P.; Lewandowski, J.; Sobieraj, P.; Piechocki, K.; Paleczny, B.; Siennicka, A. Answering Clinical Questions Using Machine Learning: Should We Look at Diastolic Blood Pressure When Tailoring Blood Pressure Control? J. Clin. Med. 2022, 11, 7454. https://doi.org/10.3390/jcm11247454
Siński M, Berka P, Lewandowski J, Sobieraj P, Piechocki K, Paleczny B, Siennicka A. Answering Clinical Questions Using Machine Learning: Should We Look at Diastolic Blood Pressure When Tailoring Blood Pressure Control? Journal of Clinical Medicine. 2022; 11(24):7454. https://doi.org/10.3390/jcm11247454
Chicago/Turabian StyleSiński, Maciej, Petr Berka, Jacek Lewandowski, Piotr Sobieraj, Kacper Piechocki, Bartłomiej Paleczny, and Agnieszka Siennicka. 2022. "Answering Clinical Questions Using Machine Learning: Should We Look at Diastolic Blood Pressure When Tailoring Blood Pressure Control?" Journal of Clinical Medicine 11, no. 24: 7454. https://doi.org/10.3390/jcm11247454
APA StyleSiński, M., Berka, P., Lewandowski, J., Sobieraj, P., Piechocki, K., Paleczny, B., & Siennicka, A. (2022). Answering Clinical Questions Using Machine Learning: Should We Look at Diastolic Blood Pressure When Tailoring Blood Pressure Control? Journal of Clinical Medicine, 11(24), 7454. https://doi.org/10.3390/jcm11247454

