Characteristics of a Danish Post-COVID Cohort Referred for Examination due to Persistent Symptoms Six Months after Mild Acute COVID-19
Abstract
1. Introduction
2. Materials and Methods
2.1. Data Collection
2.2. Setting
2.3. Definition of Variables for Analysis
2.4. Data Analyses
3. Results
3.1. Demographic Characteristics
3.2. Characteristics of Symptoms
3.3. PCQ Score
3.3.1. PCQ and Health Scores
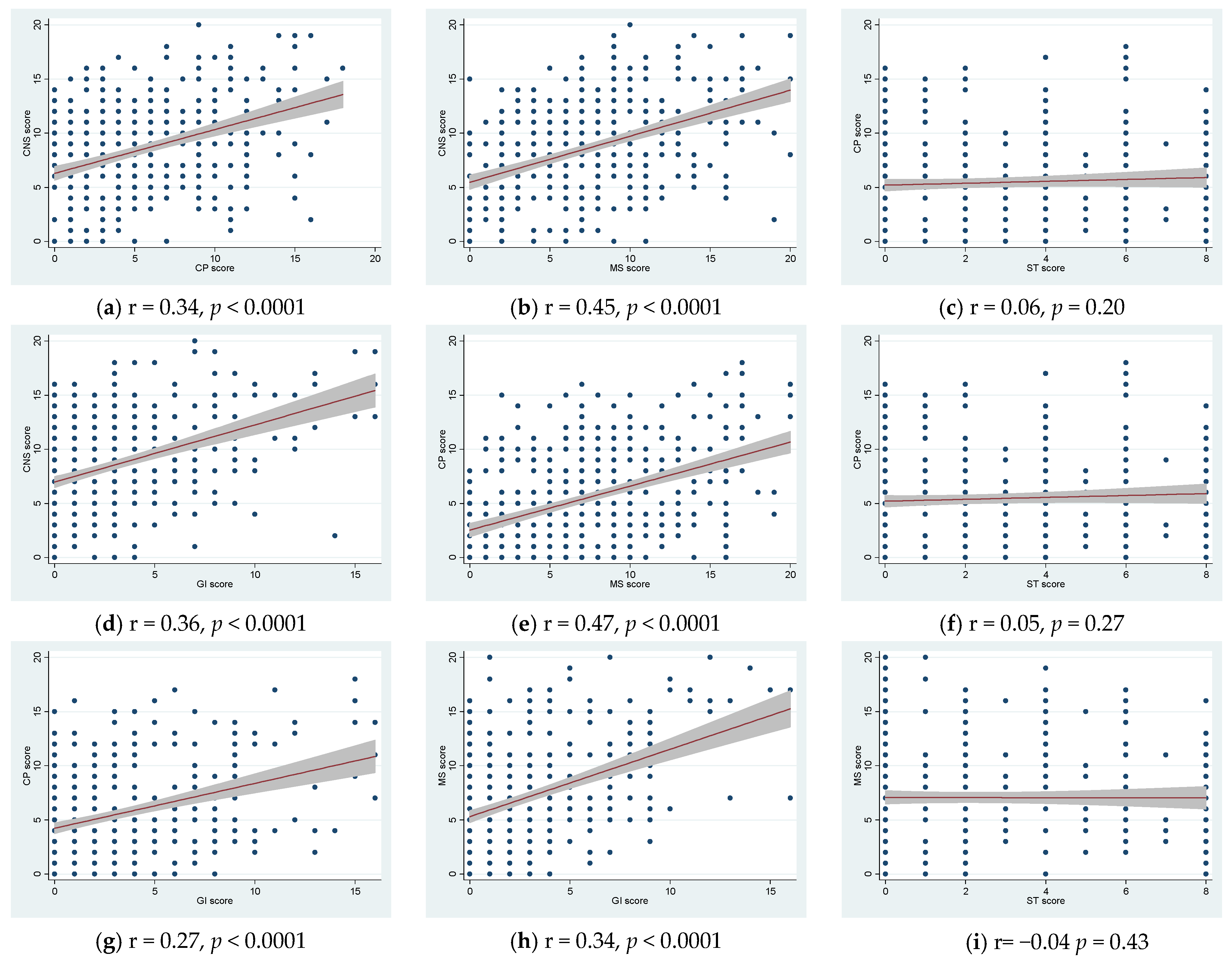
3.3.2. Organ-Specific Symptom Scores
4. Discussion
4.1. Assessment of Long COVID
4.1.1. Organ-Specific and General Symptom Registration
4.1.2. Cognitive Assessment
4.1.3. Dyspnea Assessment
4.1.4. Fatigue Assessment
4.1.5. General Health Assessment
4.2. Evaluation of the PCQ Score
4.3. Demographic Characteristics and Generalizability
4.3.1. Limitations
4.3.2. Generalizability
5. Conclusions
Supplementary Materials
Author Contributions
Funding
Institutional Review Board Statement
Informed Consent Statement
Data Availability Statement
Acknowledgments
Conflicts of Interest
References
- Carfi, A.; Bernabei, R.; Landi, F. Persistent Symptoms in Patients After Acute COVID-19. JAMA 2020, 324, 603–605. [Google Scholar] [CrossRef] [PubMed]
- Huang, C.; Huang, L.; Wang, Y.; Li, X.; Ren, L.; Gu, X.; Kang, L.; Guo, L.; Liu, M.; Zhou, X.; et al. 6-month consequences of COVID-19 in patients discharged from hospital: A cohort study. Lancet 2021, 397, 220–232. [Google Scholar] [CrossRef]
- Leth, S.; Gunst, J.D.; Mathiasen, V.; Hansen, K.; Søgaard, O.; Østergaard, L.; Jensen-Fangel, S.; Storgaard, M.; Agergaard, J. Persistent Symptoms in Patients Recovering From COVID-19 in Denmark. Open Forum Infect. Dis. 2021, 8, ofab042. [Google Scholar] [CrossRef] [PubMed]
- Ballering, A.V.; van Zon, S.K.R.; Hartman, T.C.O.; Rosmalen, J.G.M. Persistence of somatic symptoms after COVID-19 in the Netherlands: An observational cohort study. Lancet 2022, 400, 452–461. [Google Scholar] [CrossRef] [PubMed]
- Chen, C. Global Prevalence of Post-Acute Sequelae of COVID-19 (PASC) or Long COVID: A Meta-Analysis and Systematic Review. MedRxiw 2022, 1, 4. [Google Scholar]
- Groff, D.; Sun, A.; Ssentongo, A.E.; Ba, D.M.; Parsons, N.; Poudel, G.R.; Lekoubou, A.; Oh, J.S.; Ericson, J.E.; Ssentongo, P.; et al. Short-term and Long-term Rates of Postacute Sequelae of SARS-CoV-2 Infection: A Systematic Review. JAMA Netw. Open 2021, 4, e2128568. [Google Scholar] [CrossRef] [PubMed]
- Office for National Statistics. Prevalence of Ongoing Symptoms Following Coronavirus (COVID-19) Infection in the UK: 6 October 2022. Available online: https://www.ons.gov.uk/peoplepopulationandcommunity/healthandsocialcare/conditionsanddiseases/bulletins/prevalenceofongoingsymptomsfollowingcoronaviruscovid19infectionintheuk/6october2022/ (accessed on 14 March 2022).
- Sørensen, A.I.V.; Spiliopoulos, L.; Bager, P.; Nielsen, N.M.; Hansen, J.V.; Koch, A.; Meder, I.K.; Ethelberg, S.; Hviid, A. A nationwide questionnaire study of post-acute symptoms and health problems after SARS-CoV-2 infection in Denmark. Nat. Commun. 2022, 13, 4213. [Google Scholar] [CrossRef]
- Whitaker, M.; Elliott, J.; Chadeau-Hyam, M.; Riley, S.; Darzi, A.; Cooke, G.; Ward, H.; Elliott, P. Persistent COVID-19 symptoms in a community study of 606,434 people in England. Nat. Commun. 2022, 13, 1957. [Google Scholar] [CrossRef] [PubMed]
- Huang, L.; Yao, Q.; Gu, X.; Wang, Q.; Ren, L.; Wang, Y.; Hu, P.; Guo, L.; Liu, M.; Xu, J.; et al. 1-year outcomes in hospital survivors with COVID-19: A longitudinal cohort study. Lancet 2021, 398, 747–758. [Google Scholar] [CrossRef]
- Mølhave, M.; Leth, S.; Gunst, J.D.; Jensen-Fangel, S.; Østergaard, L.; Wejse, C.; Agergaard, J. Long-Term Symptoms among Hospitalized COVID-19 Patients 48 Weeks after Discharge-A Prospective Cohort Study. J. Clin. Med. 2021, 10, 5298. [Google Scholar] [CrossRef]
- Augustin, M.; Schommers, P.; Stecher, M.; Dewald, F.; Gieselmann, L.; Gruell, H.; Horn, C.; Vanshylla, K.; Cristanziano, V.D.; Osebold, L.; et al. Post-COVID syndrome in non-hospitalised patients with COVID-19: A longitudinal prospective cohort study. Lancet Reg. Health Eur. 2021, 6, 100122. [Google Scholar] [CrossRef]
- Nasserie, T.; Hittle, M.; Goodman, S.N. Assessment of the Frequency and Variety of Persistent Symptoms among Patients with COVID-19: A Systematic Review. JAMA Netw. Open 2021, 4, e2111417. [Google Scholar] [CrossRef] [PubMed]
- Soriano, J.B.; Murthy, S.; Marshall, J.C.; Relan, P.; Diaz, J.V. A clinical case definition of post-COVID-19 condition by a Delphi consensus. Lancet Infect. Dis. 2022, 22, e102–e107. [Google Scholar] [CrossRef]
- Sundhedsstyrelsen. Senfølger ved COVID-19. Anbefalinger til Organisering af Indsatsen for Patienter Med Langvarige Symptomer ved COVID-19; Sundhedsstyrelsen: København, Denmark, 2021. [Google Scholar]
- NHS. National Guidance for Post-COVID Syndrome Assessment Clinics. NHS England and NHS Improvement. Available online: https://www.england.nhs.uk/coronavirus/publication/national-guidance-for-post-covid-syndrome-assessment-clinics/ (accessed on 14 December 2020).
- Munblit, D.; Nicholson, T.; Akrami, A.; Apfelbacher, C.; Chen, J.; Groote, W.D.; Diaz, J.V.; Gorst, S.; Harman, N.; Kokorina, A.; et al. A core outcome set for post-COVID-19 condition in adults for use in clinical practice and research: An international Delphi consensus study. Lancet Respir. Med. 2022, 10, 715–724. [Google Scholar] [CrossRef] [PubMed]
- Tran, V.T.; Porcher, R.; Pane, I.; Ravaud, P. Course of post COVID-19 disease symptoms over time in the ComPaRe long COVID prospective e-cohort. Nat. Commun. 2022, 13, 1812. [Google Scholar] [CrossRef]
- Sivan, M.; Taylor, S. NICE guideline on long covid. Bmj 2020, 371, m4938. [Google Scholar] [CrossRef]
- Christensen, K.S.; Fink, P.; Toft, T.; Frostholm, L.; Ørnbøl, E.; Olesen, F. A brief case-finding questionnaire for common mental disorders: The CMDQ. Fam. Pract. 2005, 22, 448–457. [Google Scholar] [CrossRef] [PubMed]
- Drent, M.; Lower, E.E.; De, V.J. Sarcoidosis-associated fatigue. Eur. Respir. J. 2012, 40, 255–263. [Google Scholar] [CrossRef]
- Michielsen, H.J.; De, V.J.; Van Heck, G.L. Psychometric qualities of a brief self-rated fatigue measure: The Fatigue Assessment Scale. J. Psychosom. Res. 2003, 54, 345–352. [Google Scholar] [CrossRef]
- Janssen, M.F.; Bonsel, G.J.; Luo, N. Is EQ-5D-5L Better Than EQ-5D-3L? A Head-to-Head Comparison of Descriptive Systems and Value Sets from Seven Countries. Pharmacoeconomics 2018, 36, 675–697. [Google Scholar] [CrossRef]
- Klok, F.A.; Boon, G.J.A.M.; Barco, S.; Endres, M.; Geelhoed, J.J.M.; Knauss, S.; Rezek, S.A.; Spruit, M.A.; Vehreschild, J.; Siegerink, B. The Post-COVID-19 Functional Status scale: A tool to measure functional status over time after COVID-19. Eur. Respir. J. 2020, 56, 2001494. [Google Scholar] [CrossRef] [PubMed]
- Dans Selskab for Infektionsmedicin. Følger efter COVID-19. September 2021. Available online: https://www.infmed.dk/guidelines#covid19_foelger_2021.pdf/ (accessed on 14 March 2022).
- Katzman, R.; Brown, T.; Fuld, P.; Peck, A.; Schechter, R.; Schimmel, H. Validation of a short Orientation-Memory-Concentration Test of cognitive impairment. Am. J. Psychiatry 1983, 140, 734–739. [Google Scholar] [PubMed]
- Davous, P.; Lamour, Y.; Debrand, E.; Rondot, P. A comparative evaluation of the short orientation memory concentration test of cognitive impairment. J. Neurol. Neurosurg. Psychiatry 1987, 50, 1312–1317. [Google Scholar] [CrossRef]
- Bestall, J.C.; Paul, E.A.; Garrod, R.; Garnham, R.; Jones, P.W.; Wedzicha, J.A. Usefulness of the Medical Research Council (MRC) dyspnoea scale as a measure of disability in patients with chronic obstructive pulmonary disease. Thorax 1999, 54, 581–586. [Google Scholar] [CrossRef]
- DeSalvo, K.B.; Bloser, N.; Reynolds, K.; He, J.; Muntner, P. Mortality prediction with a single general self-rated health question. A meta-analysis. J. Gen. Intern. Med. 2006, 21, 267–275. [Google Scholar] [CrossRef]
- Dansk Selkab for almen Medicin (DSAM). Diagnostik og Udredning af Funktionelle Lideselser. May 2013. Available online: https://vejledninger.dsam.dk/media/files/10/funkt-lidelser-ark1-blaat.pdf/ (accessed on 14 March 2022).
- Budtz-Lilly, A.; Fink, P.; Ørnbøl, E.; Vestergaard, M.; Moth, G.; Christensen, K.S.; Rosendal, M. A new questionnaire to identify bodily distress in primary care: The ‘BDS checklist’. J. Psychosom. Res. 2015, 78, 536–545. [Google Scholar] [CrossRef] [PubMed]
- Statestikbanken. Danmarks Statestik. 2022. Available online: https://www.statistikbanken.dk/statbank5a/default.asp?w=1366/ (accessed on 14 March 2022).
- Statens Serum Institut. Statens Serum Institut—COVID-19—Danmark. 2022. Available online: https://experience.arcgis.com/experience/aa41b29149f24e20a4007a0c4e13db1d/ (accessed on 14 March 2022).
- Harris, P.A.; Taylor, R.; Thielke, R.; Payne, J.; Gonzalez, N.; Conde, J.G. Research electronic data capture (REDCap)—A metadata-driven methodology and workflow process for providing translational research informatics support. J. Biomed. Inform. 2009, 42, 377–381. [Google Scholar] [CrossRef]
- Harris, P.A.; Taylor, R.; Minor, B.L.; Elliott, V.; Fernandez, M.; O’Neal, L.; McLeod, L.; Delacqua, G.; Delacqua, F.; Kirby, J.; et al. The REDCap consortium: Building an international community of software platform partners. J. Biomed. Inform. 2019, 95, 103208. [Google Scholar] [CrossRef]
- Charlson, M.E.; Pompei, P.; Ales, K.L.; MacKenzie, C.R. A new method of classifying prognostic comorbidity in longitudinal studies: Development and validation. J. Chronic. Dis. 1987, 40, 373–383. [Google Scholar] [CrossRef]
- Quan, H.; Li, B.; Couris, C.M.; Fushimi, K.; Graham, P.; Hider, P.; Januel, J.M.; Sundararajan, V. Updating and validating the Charlson comorbidity index and score for risk adjustment in hospital discharge abstracts using data from 6 countries. Am. J. Epidemiol. 2011, 173, 676–682. [Google Scholar] [CrossRef]
- Medicial Research Council; UK Research and Innovation. MRC Dyspnea Scale. 24 January 2022. Available online: https://www.ukri.org/councils/mrc/facilities-and-resources/find-an-mrc-facility-or-resource/mrc-dyspnoea-scale/ (accessed on 14 March 2022).
- World Association for Sarcoidosis and Other Granulomatous Disorders (WASOG). Fatigue Assessment Scale. 2000. Available online: https://www.wasog.org/educational-material/fatigue-assessment-scale.html/ (accessed on 14 March 2022).
- Lopez-Leon, S.; Wegman-Ostrosky, T.; Perelman, C.; Sepulveda, R.; Rebolledo, P.A.; Cuapio, A.; Villapol, S. More than 50 long-term effects of COVID-19: A systematic review and meta-analysis. Sci. Rep. 2021, 11, 16144. [Google Scholar] [CrossRef]
- Wu, Q.; Ailshire, J.A.; Crimmins, E.M. Long COVID and symptom trajectory in a representative sample of Americans in the first year of the pandemic. Sci. Rep. 2022, 12, 11647. [Google Scholar] [CrossRef] [PubMed]
- Evans, R.A.; McAuley, H.; Harrison, E.M.; Shikotra, A.; Singapuri, A.; Sereno, M.; Elneima, O.; Docherty, A.B.; Lone, N.I.; Leavy, O.C.; et al. Physical, cognitive, and mental health impacts of COVID-19 after hospitalisation (PHOSP-COVID): A UK multicentre, prospective cohort study. Lancet Respir. Med. 2021, 9, 1275–1287. [Google Scholar] [CrossRef] [PubMed]
- Hampshire, A.; Trender, W.; Chamberlain, S.R.; Jolly, A.E.; Grant, J.E.; Patrick, F.; Mazibuko, N.; Williams, S.C.; Barnby, J.M.; Hellyer, P.; et al. Cognitive deficits in people who have recovered from COVID-19. EClinicalMedicine 2021, 39, 101044. [Google Scholar] [CrossRef]
- Miskowiak, K.W.; Johnsen, S.; Sattler, S.M.; Nielsen, S.; Kunalan, K.; Rungby, J.; Lapperre, T.; Porsberg, C.M. Cognitive impairments four months after COVID-19 hospital discharge: Pattern, severity and association with illness variables. Eur. Neuropsychopharmacol. 2021, 46, 39–48. [Google Scholar] [CrossRef] [PubMed]
- Woo, M.S.; Malsy, J.; Pöttgen, J.; Seddiq, Z.S.; Ufer, F.; Hadjilaou, A.; Schmiedel, S.; Addo, M.M.; Gerloff, C.; Heesen, C.; et al. Frequent neurocognitive deficits after recovery from mild COVID-19. Brain Commun. 2020, 2, fcaa205. [Google Scholar] [CrossRef]
- Chronic Obstructive Pulmonary Disease in Over 16s: Diagnoses and Treatment; NICE Guideline [NG115]; National Institue for Health and Care Excellence (NICE): London, UK, 5 December 2018.
- Hendriks, C.; Drent, M.; Elfferich, M.; De, V.J. The Fatigue Assessment Scale: Quality and availability in sarcoidosis and other diseases. Curr. Opin. Pulm. Med. 2018, 24, 495–503. [Google Scholar] [CrossRef]
- Davis, H.E.; Assaf, G.S.; McCorkell, L.; Wei, H.; Low, R.J.; Re’em, Y.; Redfield, S.; Austin, J.P.; Akrami, A. Characterizing long COVID in an international cohort: 7 months of symptoms and their impact. EClinicalMedicine 2021, 38, 101019. [Google Scholar] [CrossRef]
- Benkalfate, N.; Eschapasse, E.; Georges, T.; Leblanc, C.; Dirou, S.; Melscoet, L.; Chéné, A.L.; Horeau-Langlard, D.; Bry, C.; Chambellan, A.; et al. Evaluation of the Post-COVID-19 Functional Status (PCFS) Scale in a cohort of patients recovering from hypoxemic SARS-CoV-2 pneumonia. BMJ Open Respir. Res. 2022, 9, e001136. [Google Scholar] [CrossRef]
- Machado, F.V.C.; Meys, R.; Delbressine, J.M.; Vaes, A.W.; Goërtz, Y.M.J.; Van Herck, M.; Houben-Wilke, S.; Boon, G.J.A.M.; Barco, S.; Burtin, C.; et al. Construct validity of the Post-COVID-19 Functional Status Scale in adult subjects with COVID-19. Health Qual. Life Outcomes 2021, 19, 40. [Google Scholar] [CrossRef] [PubMed]
- Van, W.L.; Rammant, E.; Clays, E.; Devleesschauwer, B.; Pauwels, N.; De, S.D. A comprehensive catalogue of EQ-5D scores in chronic disease: Results of a systematic review. Qual. Life Res. 2019, 28, 3153–3161. [Google Scholar]
- Sørensen, J.; Davidsen, M.; Gudex, C.; Pedersen, K.M.; Brønnum-Hansen, H. Danish EQ-5D population norms. Scand. J. Public Health 2009, 37, 467–474. [Google Scholar] [CrossRef]
- Bahmer, T.; Borzikowsky, C.; Lieb, W.; Horn, A.; Krist, L.; Fricke, J.; Scheibenbogen, C.; Rabe, K.F.; Maetzler, W.; Maetzler, C.; et al. Severity, predictors and clinical correlates of post-COVID syndrome (PCS) in Germany: A prospective, multi-centre, population-based cohort study. EClinicalMedicine 2022, 51, 101549. [Google Scholar] [CrossRef] [PubMed]
- Huang, Y.; Pinto, M.D.; Borelli, J.L.; Mehrabadi, M.A.; Abrihim, H.; Dutt, N.; Lambert, N.; Nurmi, E.L.; Chakraborty, R.; Rahmani, A.M.; et al. COVID Symptoms, Symptom Clusters, and Predictors for Becoming a Long-Hauler: Looking for Clarity in the Haze of the Pandemic. medRxiv 2021, 5, 2021. [Google Scholar] [CrossRef] [PubMed]
- Liane, S.; Canas, E.M.J.D.; Carole, H.; Sudre, B.M. Profiling post-COVID syndrome across different variants of SARS-CoV-2. medRxiv 2022. [Google Scholar] [CrossRef]
- Douaud, G.; Lee, S.; Alfaro-Almagro, F.; Arthofer, C.; Wang, C.; McCarthy, P.; Lange, F.; Andersson, J.L.R.; Griffanti, L.; Duff, E.; et al. SARS-CoV-2 is associated with changes in brain structure in UK Biobank. Nature 2022, 604, 697–707. [Google Scholar] [CrossRef]
- Agergaard, J.; Leth, S.; Pedersen, T.H.; Harbo, T.; Blicher, J.U.; Karlsson, P.; Østergaard, L.; Andersen, H.; Tankisi, H. Myopathic changes in patients with long-term fatigue after COVID-19. Clin. Neurophysiol. 2021, 132, 1974–1981. [Google Scholar] [CrossRef] [PubMed]
- Hejbøl, E.K.; Harbo, T.; Agergaard, J.; Madsen, L.B.; Pedersen, T.H.; Østergaard, L.J.; Andersen, H.; Schrøder, H.D.; Tankisi, H. Myopathy as a cause of fatigue in long-term post-COVID-19 symptoms: Evidence of skeletal muscle histopathology. Eur. J. Neurol. 2022, 29, 2832–2841. [Google Scholar] [CrossRef]
- Statens Serum Institut. Prævalensundersøgelse af COVID-19. Available online: https://covid19.ssi.dk/overvagningsdata/undersoegelser/praevalensundersogelsen (accessed on 14 March 2022).
- Dryden, M.; Mudara, C.; Vika, C.; Blumberg, L.; Mayet, N.; Cohen, C.; Tempia, S.; Parker, A.; Nel, J.; Perumal, R.; et al. Post-COVID-19 condition 3 months after hospitalisation with SARS-CoV-2 in South Africa: A prospective cohort study. Lancet Glob. Health 2022, 10, e1247–e1256. [Google Scholar] [CrossRef] [PubMed]
- Syddansk Universitet SIfFS. Danskernes Sundhed. Tal fra Den Nationale Sundhedsprofil. 2021. Available online: https://www.danskernessundhed.dk/ (accessed on 14 March 2022).
- Sudre, C.H.; Murray, B.; Varsavsky, T.; Graham, M.S.; Penfold, R.S.; Bowyer, R.C.; Pujol, J.C.; Klaser, K.; Antonelli, M.; Canas, L.S.; et al. Attributes and predictors of long COVID. Nat. Med. 2021, 27, 626–631. [Google Scholar] [CrossRef] [PubMed]
- Taquet, M.; Geddes, J.R.; Husain, M.; Luciano, S.; Harrison, P.J. 6-month neurological and psychiatric outcomes in 236 379 survivors of COVID-19: A retrospective cohort study using electronic health records. Lancet Psychiatry 2021, 8, 416–427. [Google Scholar] [CrossRef] [PubMed]
- Petersen, M.W.; Schröder, A.; Jørgensen, T.; Ørnbøl, E.; Dantoft, T.M.; Eliasen, M.; Carstensen, T.W.; Falgaard Eplov, L.; Fink, P. Prevalence of functional somatic syndromes and bodily distress syndrome in the Danish population: The DanFunD study. Scand. J. Public Health 2020, 48, 567–576. [Google Scholar] [CrossRef]
- Norredam, M.; Hayward, S.; Deal, A.; Agyemang, C.; Hargreaves, S. Understanding and addressing long-COVID among migrants and ethnic minorities in Europe. Lancet Reg. Health Eur. 2022, 19, 100427. [Google Scholar] [CrossRef]
- Ørum, M.; Storgaard, M.; Denton, P.W.; Mogensen, T.H.; Højbjerg, C.K.; Pedersen, M.; Gunst, J.D. Predicting Cognitive Rehabilitation Needs in Patients with Central Nervous System Infections Using Montreal Cognitive Assessment. SN Compr. Clin. Med. 2021, 3, 1350–1357. [Google Scholar] [CrossRef]
- Subramanian, A.; Nirantharakumar, K.; Hughes, S.; Myles, P.; Williams, T.; Gokhale, K.M.; Taverner, T.; Chandan, J.S.; Brown, K.; Simms-Williams, N.; et al. Symptoms and risk factors for long COVID in non-hospitalized adults. Nat. Med. 2022, 28, 1706–1714. [Google Scholar] [CrossRef] [PubMed]


| % 1 | n/N 2 | |
|---|---|---|
| Sex (male) | 28 | 127/447 |
| Age in years | Median 47 | IQR 36–56 |
| Other ethnic origin than Danish | 8 | 36/446 |
| Familiar dispositions | 41 | 183/447 |
| Autoimmune | 12 | 52/447 |
| Metabolic | 23 | 104/447 |
| Allergic | 16 | 72/447 |
| Transmission of SARS-CoV-2 | ||
| Work | 37 | 166/447 |
| Family | 26 | 116/447 |
| Travel | 3 | 14/447 |
| Unknown | 18 | 80/447 |
| Other | 14 | 63/447 |
| Time from symptom onset, median | 6.3 | IQR 4.4–9.9 |
| Positive SARS-CoV-2 PCR test | 87 | 391/447 |
| Positive SARS-CoV-2 Ab test at follow-up | 77 | 345/447 |
| No positive SARS-CoV-2 test | 2 | 10/447 |
| Hospitalized 3 | 12 | 53/447 |
| Charlson comorbidity index >1 | 15 | 68/447 |
| Diabetes | 2 | 7/447 |
| Asthma | 14 | 63/447 |
| COPD | 2 | 8/447 |
| Coronary heart disease | 1 | 5/447 |
| Cerebrovascular disease | <1 | – |
| Hypertension | 10 | 46/447 |
| Malignancy (previous) | 3 | 15/447 |
| Connective tissue disease | 1 | 5/447 |
| Immunodeficiency | <1 | – |
| Previous depression | 13 | 56/447 |
| Previous stressful episode | 12 | 54/447 |
| Medicine | ||
| ACE or AT2 rec inhibitor | 11 | 45/425 |
| Statins | 10 | 41/424 |
| Steroids | 1 | 5/421 |
| Other immunosuppressant | 2 | 9/422 |
| Current smoker | 7 | 30/412 |
| Alcohol, > 7 units per week | 5 | 20/404 |
| BMI > 25 | 65 | 266/412 |
| Socioeconomic status | ||
| Education | ||
| Primary school | 9 | 42/447 |
| High school | 15 | 66/447 |
| Vocational education | 24 | 109/447 |
| Medium-cycle higher education | 40 | 178/447 |
| Long-cycle higher education | 10 | 43/447 |
| Work | ||
| Employed | 81 | 361/447 |
| Self-employed | 5 | 24/447 |
| Voluntary | 2 | 8/447 |
| Student | 5 | 22/447 |
| Stay at home | 2 | 10/447 |
| Retired | 6 | 25/447 |
| Not living alone | 82 | 300/364 |
| Size of housing, mean m2 | 143 | sd 64 |
| Symptoms -Acute Phase of COVID-19 1,3 | Long COVID Symptoms (Some to Very Much) 2,3 | |||
|---|---|---|---|---|
| % | n/N | % | n/N | |
| Central Nervous system | ||||
| Headache | 82 | 358/434 | 62 | 262/423 |
| Dizziness | 67 | 283/421 | 37 | 156/422 |
| Paresthesia | 38 | 154/408 | 27 | 114/417 |
| Confusion | 31 | 128/413 | – | – |
| Concentration difficulties | – | – | 82 | 337/413 |
| Short-term memory problems | – | – | 64 | 268/422 |
| Long-term memory problems | – | – | 43 | 179/420 |
| Disturbed smell and taste | ||||
| Impaired smell | 76 | 323/425 | 37 | 156/424 |
| Impaired taste | 73 | 311/425 | 34 | 143/422 |
| Upper respiratory tract | ||||
| Runny nose or nasal obstruction | 52 | 218/417 | 23 | 95/417 |
| Sore throat | 57 | 242/427 | 15 | 61/416 |
| Cough | 76 | 329/434 | 17 | 71/415 |
| Expectoration | 32 | 136/419 | 12 | 49/420 |
| Cardiopulmonary | ||||
| Dyspnea at rest | – | – | 29 | 123/423 |
| Dyspnea at physical activity | 73 | 314/431 | 61 | 260/425 |
| Chest pain | 53 | 225/423 | 28 | 117/422 |
| Palpitations | 48 | 202/419 | 30 | 126/422 |
| Gastrointestinal | ||||
| Loss of appetite | – | – | 18 | 71/390 |
| Nausea | 47 | 199/422 | 17 | 71/421 |
| Diarrhea | 31 | 131/418 | 10 | 41/416 |
| Abdominal pain | 27 | 113/413 | 13 | 56/417 |
| Altered bowel habits | – | – | 27 | 112/411 |
| Dermatology | ||||
| Skin rash | 13 | 55/411 | 8 | 34/408 |
| Itching skin | 19 | 80/411 | 15 | 64/415 |
| Musculoskeletal | ||||
| Joint pain | 68 | 288/424 | 41 | 168/414 |
| Swollen joints | 13 | 52/410 | 10 | 39/406 |
| Myalgia | 80 | 340/432 | 48 | 200/416 |
| Muscle exhaustion | – | – | 55 | 224/407 |
| Physical exhaustion | 94 | 398/425 | 82 | 343/420 |
| General symptoms | ||||
| Subjective fever | 74 | 322/434 | 13 | 48/373 |
| Duration of fever > 7 days | 55 | 115/211 | – | – |
| Weight loss during initial illness | 32 | 134/417 | – | – |
| Disturbed sleep | – | – | 84 | 357/423 |
| Problems falling asleep | – | – | 40 | 172/425 |
| Awakening | – | – | 56 | 235/419 |
| Symptom and health scores | ||||
| PCQ total score | – | – | median 32 | IQR 23–44 |
| CNS score | – | – | median 9 | IQR 5–11 |
| ST score | – | – | median 5 | IQR 2–8 |
| CP score | – | – | median 1 | IQR 0–4 |
| GI score | – | – | median 2 | IQR 0–4 |
| Musculoskeletal score | – | – | median 7 | IQR 3–10 |
| Orientation-concentration-memory OMC ≤ 24 | – | – | 26 | 94/366 |
| Dyspnea score, MRC ≥ 3 | – | – | 28 | 94/336 |
| Post COVID Functional Status, PCFS 3–4 | – | – | 33 | 128/387 |
| Fatigue Assessment Scale, FAS ≥ 35 | – | – | 62 | 244/391 |
| Depression score > 8, SCL-13 item 8–13 | – | – | 15 | 62/414 |
| Anxiety score > 5, SCL-13, item 1–4 | – | – | 28 | 116/417 |
| General strain, SCL-13, item 2–9 | – | – | mean 14 | sd 6.3 |
| Bodily Distress Syndrome (BDS) | – | – | 11 | 39/355 |
| EQ VAS 1–100 4 | – | – | 60 | IQR 45–70 |
| EQ-5D-5L index 4 | – | – | 0.72 | sd 0.19 |
| EQ-5D-5L items | – | – | – | – |
| Mobility 3–5 | – | – | 14 | 60/421 |
| Self-care 3–5 | – | – | 4 | 19/424 |
| Usual activity 3–5 | – | – | 58 | 244/422 |
| Pain/discomfort 3–5 | – | – | 60 | 254/423 |
| Anxiety/depression 3–5 | – | – | 18 | 75/420 |
Publisher’s Note: MDPI stays neutral with regard to jurisdictional claims in published maps and institutional affiliations. |
© 2022 by the authors. Licensee MDPI, Basel, Switzerland. This article is an open access article distributed under the terms and conditions of the Creative Commons Attribution (CC BY) license (https://creativecommons.org/licenses/by/4.0/).
Share and Cite
Agergaard, J.; Ullahammer, W.M.; Gunst, J.D.; Østergaard, L.; Schiøttz-Christensen, B. Characteristics of a Danish Post-COVID Cohort Referred for Examination due to Persistent Symptoms Six Months after Mild Acute COVID-19. J. Clin. Med. 2022, 11, 7338. https://doi.org/10.3390/jcm11247338
Agergaard J, Ullahammer WM, Gunst JD, Østergaard L, Schiøttz-Christensen B. Characteristics of a Danish Post-COVID Cohort Referred for Examination due to Persistent Symptoms Six Months after Mild Acute COVID-19. Journal of Clinical Medicine. 2022; 11(24):7338. https://doi.org/10.3390/jcm11247338
Chicago/Turabian StyleAgergaard, Jane, William M. Ullahammer, Jesper D. Gunst, Lars Østergaard, and Berit Schiøttz-Christensen. 2022. "Characteristics of a Danish Post-COVID Cohort Referred for Examination due to Persistent Symptoms Six Months after Mild Acute COVID-19" Journal of Clinical Medicine 11, no. 24: 7338. https://doi.org/10.3390/jcm11247338
APA StyleAgergaard, J., Ullahammer, W. M., Gunst, J. D., Østergaard, L., & Schiøttz-Christensen, B. (2022). Characteristics of a Danish Post-COVID Cohort Referred for Examination due to Persistent Symptoms Six Months after Mild Acute COVID-19. Journal of Clinical Medicine, 11(24), 7338. https://doi.org/10.3390/jcm11247338

