Association between Preoperative Medication Lists and Postoperative Hospital Length of Stay after Endoscopic Transsphenoidal Pituitary Surgery
Abstract
1. Introduction
2. Materials and Methods
2.1. Ethical Approval
2.2. Cohort Selection
2.3. Data Source
2.4. Outcomes
2.5. Statistical Analysis
3. Results
3.1. Patient Characteristics
3.2. Preoperative Medications
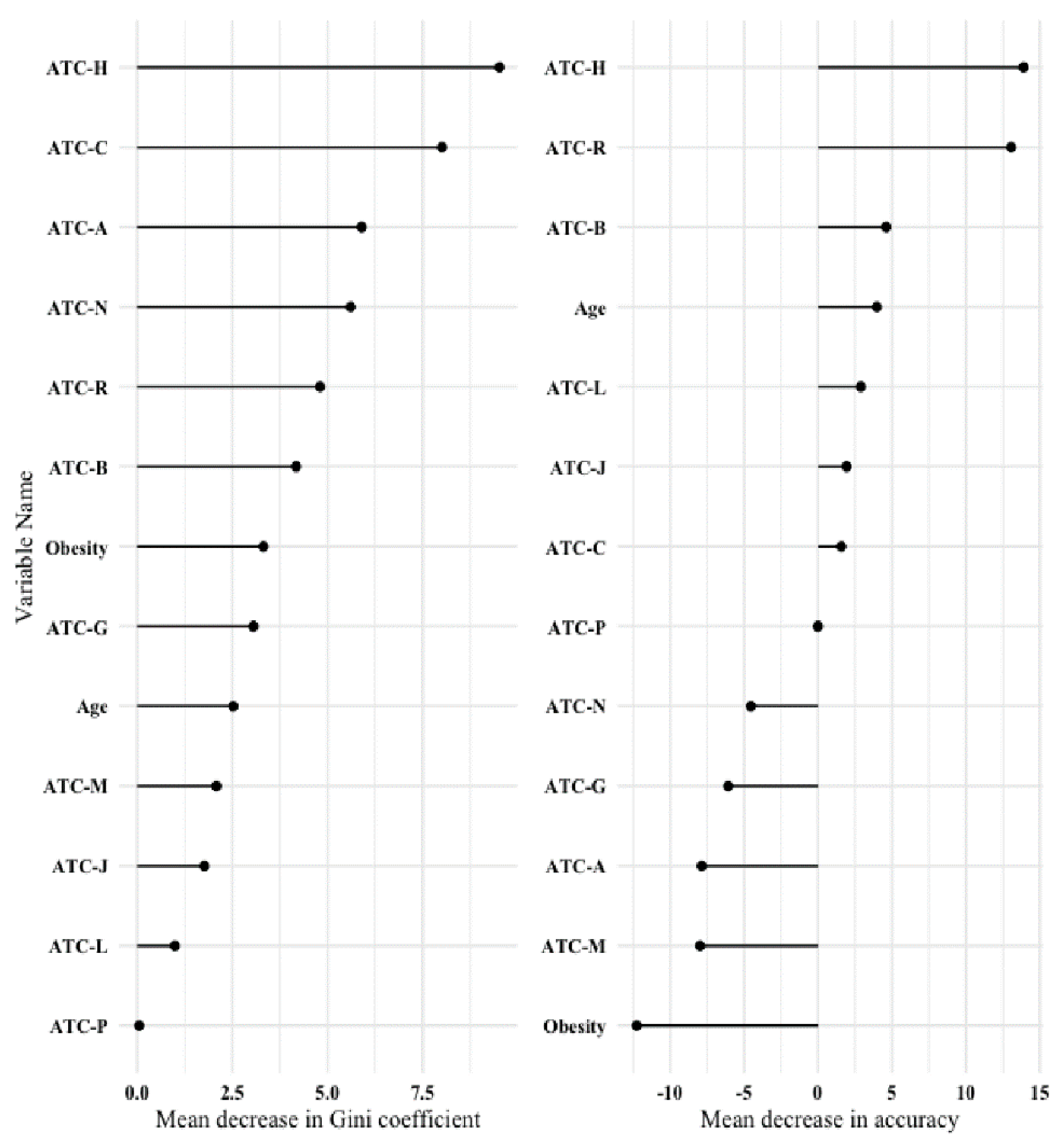
3.3. Factors Associated with a Prolonged Postoperative Length of Stay
4. Discussion
5. Conclusions
Supplementary Materials
Author Contributions
Funding
Institutional Review Board Statement
Informed Consent Statement
Data Availability Statement
Acknowledgments
Conflicts of Interest
References
- Collins, T.C.; Daley, J.; Henderson, W.H.; Khuri, S.F. Risk factors for prolonged length of stay after major elective surgery. Ann. Surg. 1999, 230, 251–259. [Google Scholar] [CrossRef] [PubMed]
- Missios, S.; Bekelis, K. Drivers of hospitalization cost after craniotomy for tumor resection: Creation and validation of a predictive model. BMC Health Serv. Res. 2015, 15, 85. [Google Scholar] [CrossRef] [PubMed]
- Dasenbrock, H.H.; Liu, K.X.; Devine, C.A.; Chavakula, V.; Smith, T.R.; Gormley, W.B.; Dunn, I.F. Length of hospital stay after craniotomy for tumor: A National Surgical Quality Improvement Program analysis. Neurosurg. Focus 2015, 39, E12. [Google Scholar] [CrossRef] [PubMed]
- Farley, J.F.; Harley, C.R.; Devine, J.W. A comparison of comorbidity measurements to predict healthcare expenditures. Am. J. Manag. Care 2006, 12, 110–119. [Google Scholar] [PubMed]
- Yurkovich, M.; Avina-Zubieta, J.A.; Thomas, J.; Gorenchtein, M.; Lacaille, D. A systematic review identifies valid comorbidity indices derived from administrative health data. J. Clin. Epidemiol. 2015, 68, 3–14. [Google Scholar] [CrossRef]
- Parker, J.P.; McCombs, J.S.; Graddy, E.A. Can pharmacy data improve prediction of hospital outcomes? Comparisons with a diagnosis-based comorbidity measure. Med. Care 2003, 41, 407–419. [Google Scholar] [CrossRef]
- Blitz, J.D.; Mackersey, K.S.; Miller, J.C.; Kendale, S.M. Objective model using only gender, age and medication list predicts in-hospital morbidity after elective surgery. Br. J. Anaesth. 2017, 118, 544–550. [Google Scholar] [CrossRef]
- Haws, B.E.; Khechen, B.; Patel, D.V.; Bawa, M.S.; Guntin, J.A.; Cardinal, K.L.; Wiggins, A.B.; Singh, K. The effect of preoperative medications on length of stay, inpatient pain, and narcotics consumption after minimally invasive transforaminal lumbar interbody fusion. Clin. Spine Surg. 2019, 32, E37–E42. [Google Scholar] [CrossRef]
- Shen, J.; Yu, Y.; Wang, C.; Chu, Y.; Yan, S. Association of preoperative medication with postoperative length of stay in elderly patients undergoing hip fracture surgery. Aging Clin. Exp. Res. 2021, 33, 641–649. [Google Scholar] [CrossRef]
- Gaillard, S. The transition from microscopic to endoscopic transsphenoidal surgery in high-caseload neurosurgical centers: The experience of Foch Hospital. World Neurosurg. 2014, 82, S116–S120. [Google Scholar] [CrossRef]
- Khalafallah, A.M.; Liang, A.L.; Jimenez, A.E.; Rowan, N.R.; Oyesiku, N.M.; Mamelak, A.N.; Mukherjee, D. Trends in endoscopic and microscopic transsphenoidal surgery: A survey of the international society of pituitary surgeons between 2010 and 2020. Pituitary 2020, 23, 526–533. [Google Scholar] [CrossRef] [PubMed]
- McKee, S.; Yang, A.; Kidwai, S.; Govindaraj, S.; Shrivastava, R.; Iloreta, A. The socioeconomic determinants for transsphenoidal pituitary surgery: A review of New York State from 1995 to 2015. Int. Forum Allergy Rhinol. 2018, 8, 1145–1156. [Google Scholar] [CrossRef] [PubMed]
- Vimawala, S.; Chitguppi, C.; Reilly, E.; Fastenberg, J.H.; Garzon-Muvdi, T.; Farrell, C.; Rabinowitz, M.R.; Rosen, M.R.; Evans, J.; Nyquist, G.G. Predicting prolonged length of stay after endoscopic transsphenoidal surgery for pituitary adenoma. Int. Forum Allergy Rhinol. 2020, 10, 785–790. [Google Scholar] [CrossRef] [PubMed]
- Available online: https://solidarites-sante.gouv.fr/professionnels/gerer-un-etablissement-de-sante-medico-social/financement/financement-des-etablissements-de-sante-10795/financement-des-etablissements-de-sante-glossaire/article/diagnosis-related-groups-drgs (accessed on 12 December 2021).
- Fetter, R.B.; Shin, Y.; Freeman, J.L.; Averill, R.F.; Thompson, J.D. Case mix definition by diagnosis-related groups. Med. Care 1980, 18, 1–53. [Google Scholar]
- Cohen, J. Statistical Power Analysis for the Behavioral Sciences, 2nd ed.; Lawrence Earlbaum Associates: Hillsdale, NJ, USA, 1988. [Google Scholar]
- Soper, D.S. A-Priori Sample Size Calculator for Multiple Regression. Software. 2022. Available online: https://www.danielsoper.com/statcalc (accessed on 27 August 2022).
- McVeigh, T.P.; Al-Azawi, D.; O’Donoghue, G.T.; Kerin, M.J. Assessing the impact of an ageing population on complication rates and in-patient length of stay. Int. J. Surg. 2013, 11, 872–875. [Google Scholar] [CrossRef]
- R Core Team. R: A Language and Environment for Statistical Computing; R Foundation for Statistical Computing: Vienna, Austria, 2020. [Google Scholar]
- Liaw, A.; Wiener, M. Classification and Regression by Random Forest. R News 2002, 2, 18–22. [Google Scholar]
- Lobatto, D.J.; de Vries, F.; Zamanipoor Najafabadi, A.H.; Pereira, A.M.; Peul, W.C.; Vliet Vlieland, T.P.; Biermasz, N.R.; van Furth, W.R. Preoperative risk factors for postoperative complications in endoscopic pituitary surgery: A systematic review. Pituitary 2018, 21, 84–97. [Google Scholar] [CrossRef]
- Woodfield, J.C.; Sagar, P.M.; Thekkinkattil, D.K.; Gogu, P.; Plank, L.D.; Burke, D. Accuracy of the surgeons’ clinical prediction of postoperative major complications using a visual analog scale. Med. Decis. Mak. 2017, 37, 101–112. [Google Scholar] [CrossRef]
- Pei, K.Y.; Healy, J.; Davis, K.A. Surgeons overestimate postoperative complications and death when compared with the National Surgical Quality Improvement Project risk calculator. J. Surg. Res. 2018, 225, 95–100. [Google Scholar] [CrossRef]
- Ramesh, V.J.; Rao, G.S.; Guha, A.; Thennarasu, K. Evaluation of POSSUM and P-POSSUM scoring systems for predicting the mortality in elective neurosurgical patients. Br. J. Neurosurg. 2008, 22, 275–278. [Google Scholar] [CrossRef]
- Cinotti, R.; Bruder, N.; Srairi, M.; Paugam-Burtz, C.; Beloeil, H.; Pottecher, J.; Geeraerts, T.; Atthar, V.; Guéguen, A.; Triglia, T.; et al. Prediction score for postoperative neurologic complications after brain tumor craniotomy: A multicenter observational study. Anesthesiology 2018, 129, 1111–1120. [Google Scholar] [CrossRef] [PubMed]
- Muhlestein, W.E.; Akagi, D.S.; Davies, J.M.; Chambless, L.B. Predicting inpatient length of stay after brain tumor surgery: Developing machine learning ensembles to improve predictive performance. Neurosurgery 2019, 85, 384–393. [Google Scholar] [CrossRef] [PubMed]
- Rajkomar, A.; Oren, E.; Chen, K.; Dai, A.; Hajaj, N.; Liu, P.; Liu, X.; Sun, M.; Sundberg, P.; Yee, H.; et al. Scalable and accurate deep learning with electronic health records. NPJ Digit. Med. 2018, 1, 18. [Google Scholar] [CrossRef] [PubMed]
- Khalafallah, A.M.; Shah, P.P.; Huq, S.; Jimenez, A.E.; Patel, P.P.; London, N.R.; Hamrahian, A.H.; Salvatori, R.; Gallia, G.L.; Rowan, N.R.; et al. The 5-factor modified frailty index predicts health burden following surgery for pituitary adenomas. Pituitary 2020, 23, 630–640. [Google Scholar] [CrossRef]
- Raymond, B.L.; Wanderer, J.P.; Hawkins, A.T.; Geiger, T.M.; Ehrenfeld, J.M.; Stokes, J.W.; McEvoy, M.D. Use of the American College of Surgeons National Surgical Quality Improvement Program Surgical Risk Calculator during preoperative risk discussion: The patient perspective. Anesth. Analg. 2019, 128, 643–650. [Google Scholar] [CrossRef] [PubMed]
- Doan, L.V.; Wang, J.; Padjen, K.; Gover, A.; Rashid, J.; Osmani, B.; Avraham, S.; Kendale, S. Preoperative long-acting opioid use is associated with increased length of stay and readmission rates after elective surgeries. Pain Med. 2019, 20, 2539–2551. [Google Scholar] [CrossRef] [PubMed]
- Vashishta, R.; Kendale, S.M. Relationship between preoperative antidepressant and antianxiety medications and postoperative hospital length of stay. Anesth. Analg. 2019, 128, 248–255. [Google Scholar] [CrossRef] [PubMed]
- Dong, Y.-H.; Chang, C.-H.; Shau, W.-Y.; Kuo, R.N.; Lai, M.S.; Chan, K.A. Development and validation of a pharmacy-based comorbidity measure in a population-based automated health care database. Pharmacotherapy 2013, 33, 126–136. [Google Scholar] [CrossRef]
- Robusto, F.; Lepore, V.; D’Ettorre, A.; Lucisano, G.; De Berardis, G.; Bisceglia, L.; Tognoni, G.; Nicolucci, A. The Drug Derived Complexity Index (DDCI) predicts mortality, unplanned hospitalization and hospital readmissions at the population level. PLoS ONE 2016, 11, e0149203. [Google Scholar] [CrossRef]
- Kalish, R.L.; Daley, J.; Duncan, C.C.; Davis, R.B.; Coffman, G.A.; Iezzoni, L.I. Costs of potential complications of care for major surgery patients. Am. J. Med. Qual. 1995, 10, 48–54. [Google Scholar] [CrossRef] [PubMed]
- Brasel, K.J.; Lim, H.J.; Nirula, R.; Weigelt, J.A. Length of stay: An appropriate quality measure? Arch. Surg. 2007, 142, 461–465. [Google Scholar] [CrossRef]
- Gao, Y.; Zhong, C.; Wang, Y.; Xu, S.; Guo, Y.; Dai, C.; Zheng, Y.; Wang, Y.; Luo, Q.; Jiang, J. Endoscopic versus microscopic transsphenoidal pituitary adenoma surgery: A meta-analysis. World J. Surg. Oncol. 2014, 12, 94. [Google Scholar] [CrossRef]
- Lawrence, L.A.; Baker, A.B.; Nguyen, S.A.; Karnezis, T.T.; Soler, Z.M.; Schlosser, R.J. Predictors of 30-day morbidity and mortality in transnasal microscopic pituitary tumor excision. Int. Forum Allergy Rhinol. 2016, 6, 206–213. [Google Scholar] [CrossRef] [PubMed]
- Jasim, S.; Alahdab, F.; Ahmed, A.T.; Tamhane, S.; Prokop, L.J.; Nippoldt, T.B.; Murad, M.H. Mortality in adults with hypopituitarism: A systematic review and meta-analysis. Endocrine 2017, 56, 33–42. [Google Scholar] [CrossRef] [PubMed]
- Olsson, D.S.; Bryngelsson, I.-L.; Ragnarsson, O. Time trends of mortality in patients with non-functioning pituitary adenoma: A Swedish nationwide study. Pituitary 2017, 20, 218–224. [Google Scholar] [CrossRef][Green Version]
- Smith, J.C. Hormone replacement therapy in hypopituitarism. Expert Opin. Pharmacother. 2004, 5, 1023–1031. [Google Scholar] [CrossRef] [PubMed]
- Zhang, R.; Wang, Z.; Gao, L.; Guo, X.; Feng, C.; Deng, K.; Lian, W.; Yao, Y.; Feng, M.; Bao, X.; et al. Clinical characteristics and postoperative recovery of hypopituitarism in patients with nonfunctional pituitary adenoma. World Neurosurg. 2019, 126, e1183–e1189. [Google Scholar] [CrossRef]
- Vansteelandt, S.; Bekaert, M.; Claeskens, G. On model selection and model misspecification in causal inference. Stat. Methods Med. Res. 2012, 21, 7–30. [Google Scholar] [CrossRef]
- Sauerbrei, W.; Buchholz, A.; Boulesteix, A.L.; Binder, H. On stability issues in deriving multivariable regression models. Biom. J. 2015, 57, 531–555. [Google Scholar] [CrossRef]
- De Bin, R.; Janitza, S.; Sauerbrei, W.; Boulesteix, A.L. Subsampling versus bootstrapping in resampling-based model selection for multivariable regression. Biometrics 2016, 72, 272–280. [Google Scholar] [CrossRef] [PubMed]



| Characteristics | |
|---|---|
| N = 7041 | |
| Age | |
| 51 (16) | |
| ASA-PS Score | |
| 1 | 84 (12%) |
| 2 | 536 (76%) |
| 3 | 84 (12%) |
| Sex | |
| F | 390 (55%) |
| M | 314 (45%) |
| Obesity | |
| Non-obese | 506 (72%) |
| Obese | 198 (28%) |
| Type of Pituitary Tumor | |
| Null cell | 293 (44%) |
| Somatotrophic | 149 (22%) |
| Corticotrophic | 137 (21%) |
| Gonadotrophic | 28 (4.2%) |
| Lactotrophic | 39 (5.8%) |
| Thyrotrophic | 3 (0.4%) |
| Unknown | 19 (2.8%) |
| Tumor Size | |
| Microadenoma | 154 (23%) |
| Macroadenoma | 508 (76%) |
| Unknown | 6 (0.9%) |
| Redo surgery | 74 (11%) |
| Characteristic | OR 1 | 95% CI 1 | p-Value |
|---|---|---|---|
| atcH total | 1.53 | 1.24, 1.90 | <0.001 |
| atcLtotal | 0.19 | 0.01, 0.96 | 0.112 |
| Obesity | 1.42 | 0.97, 2.05 | 0.069 |
| Characteristic | No Preoperative ATC-H Medication, N = 472 1 | Preoperative ATC-H Medication, N = 232 1 | p-Value 2 |
|---|---|---|---|
| Postoperative length of stay (days) | 3.4 (1.7) | 4.5 (5.4) | 0.002 |
| Unplanned postoperative ICU | 0 (0%) | 2 (0.9%) | 0.108 |
| Postoperative in-hospital death | 0 (0%) | 1 (0.4%) | 0.330 |
| One-year death | 0 (0%) | 3 (1.3%) | 0.035 |
| Postoperative complications | 0.364 | ||
| No complication | 20 (23%) | 19 (27%) | |
| CSF leak | 34 (40%) | 20 (29%) | |
| Diabetes insipidus | 21 (24%) | 19 (27%) | |
| Surgical site bleeding | 2 (2.3%) | 0 (0%) | |
| Other | 9 (10%) | 12 (17%) |
Publisher’s Note: MDPI stays neutral with regard to jurisdictional claims in published maps and institutional affiliations. |
© 2022 by the authors. Licensee MDPI, Basel, Switzerland. This article is an open access article distributed under the terms and conditions of the Creative Commons Attribution (CC BY) license (https://creativecommons.org/licenses/by/4.0/).
Share and Cite
Saad, M.; Salze, B.; Trillat, B.; Corniou, O.; Vallée, A.; Le Guen, M.; Latouche, A.; Fischler, M. Association between Preoperative Medication Lists and Postoperative Hospital Length of Stay after Endoscopic Transsphenoidal Pituitary Surgery. J. Clin. Med. 2022, 11, 5829. https://doi.org/10.3390/jcm11195829
Saad M, Salze B, Trillat B, Corniou O, Vallée A, Le Guen M, Latouche A, Fischler M. Association between Preoperative Medication Lists and Postoperative Hospital Length of Stay after Endoscopic Transsphenoidal Pituitary Surgery. Journal of Clinical Medicine. 2022; 11(19):5829. https://doi.org/10.3390/jcm11195829
Chicago/Turabian StyleSaad, Mary, Benjamin Salze, Bernard Trillat, Olivier Corniou, Alexandre Vallée, Morgan Le Guen, Aurélien Latouche, and Marc Fischler. 2022. "Association between Preoperative Medication Lists and Postoperative Hospital Length of Stay after Endoscopic Transsphenoidal Pituitary Surgery" Journal of Clinical Medicine 11, no. 19: 5829. https://doi.org/10.3390/jcm11195829
APA StyleSaad, M., Salze, B., Trillat, B., Corniou, O., Vallée, A., Le Guen, M., Latouche, A., & Fischler, M. (2022). Association between Preoperative Medication Lists and Postoperative Hospital Length of Stay after Endoscopic Transsphenoidal Pituitary Surgery. Journal of Clinical Medicine, 11(19), 5829. https://doi.org/10.3390/jcm11195829

