Vestibular Disability/Handicap in Fibromyalgia: A Questionnaire Study
Abstract
1. Introduction
2. Materials and Methods
2.1. Ethical Approval, Study Population and Recruitment
2.2. Questionnaires
2.3. Statistical Analyses
3. Results
3.1. Clinical Characteristics
3.2. Comparisons between FM Patients and Controls
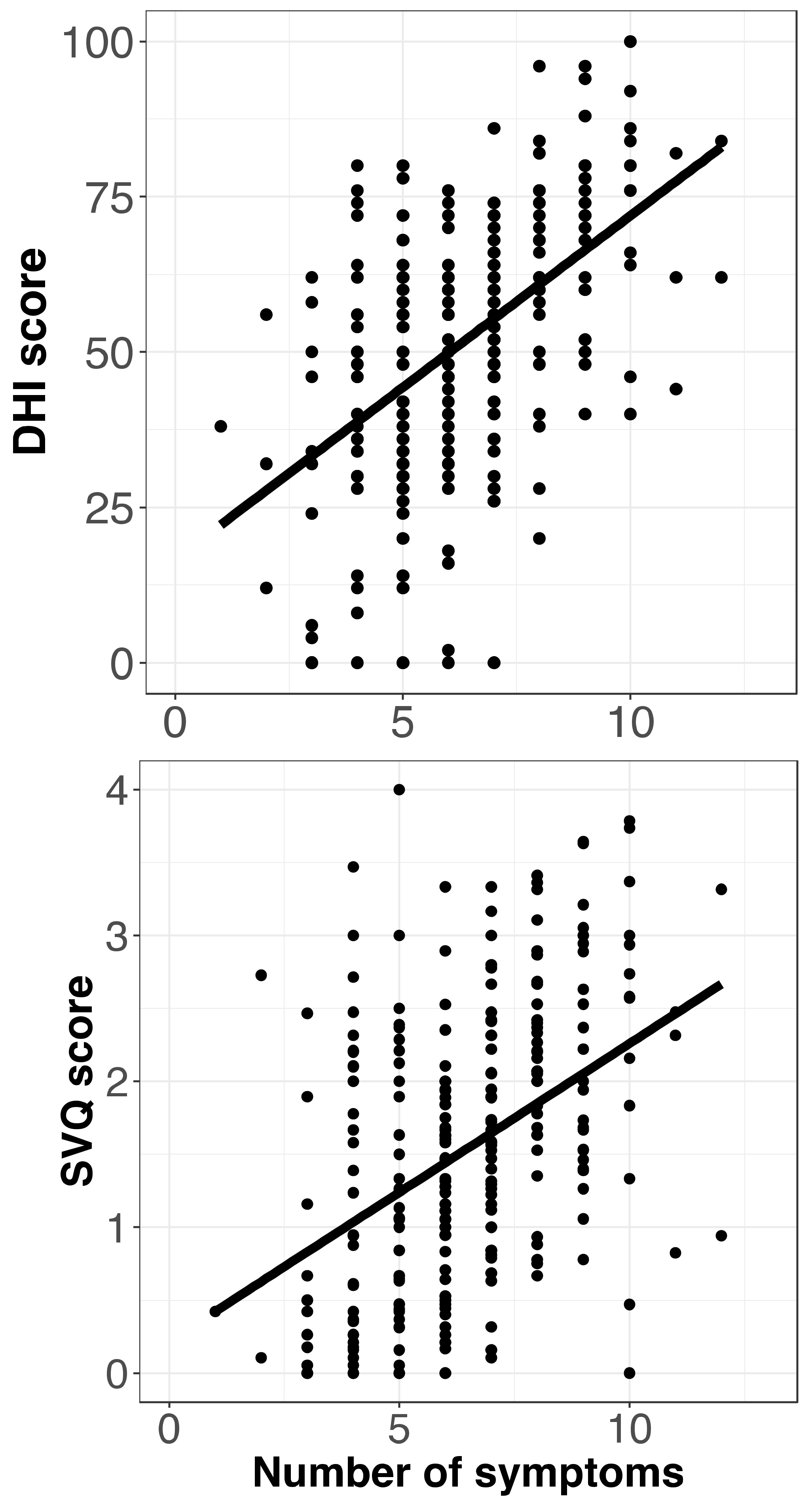
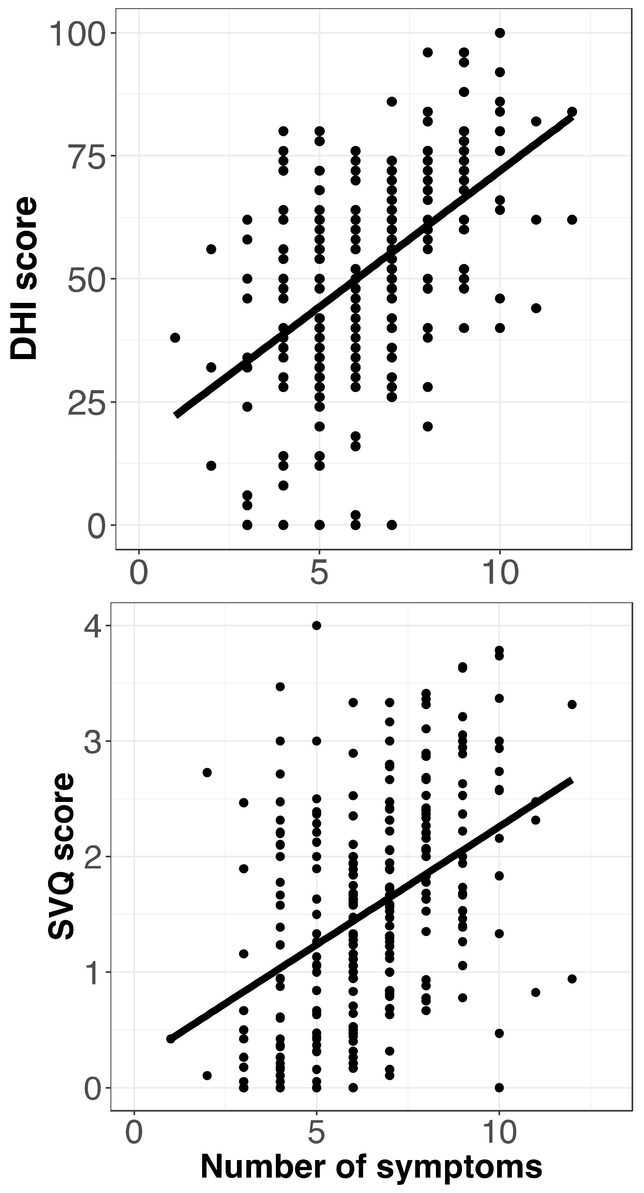
3.3. Correlations between Vestibular Scores and Pain Perception
3.4. Correlations between DHI Handicap Levels and Diagnosis Delay or PD-Q Scores
3.5. Associations between Vestibular Tests and CBA-H or Non-Pain Symptoms
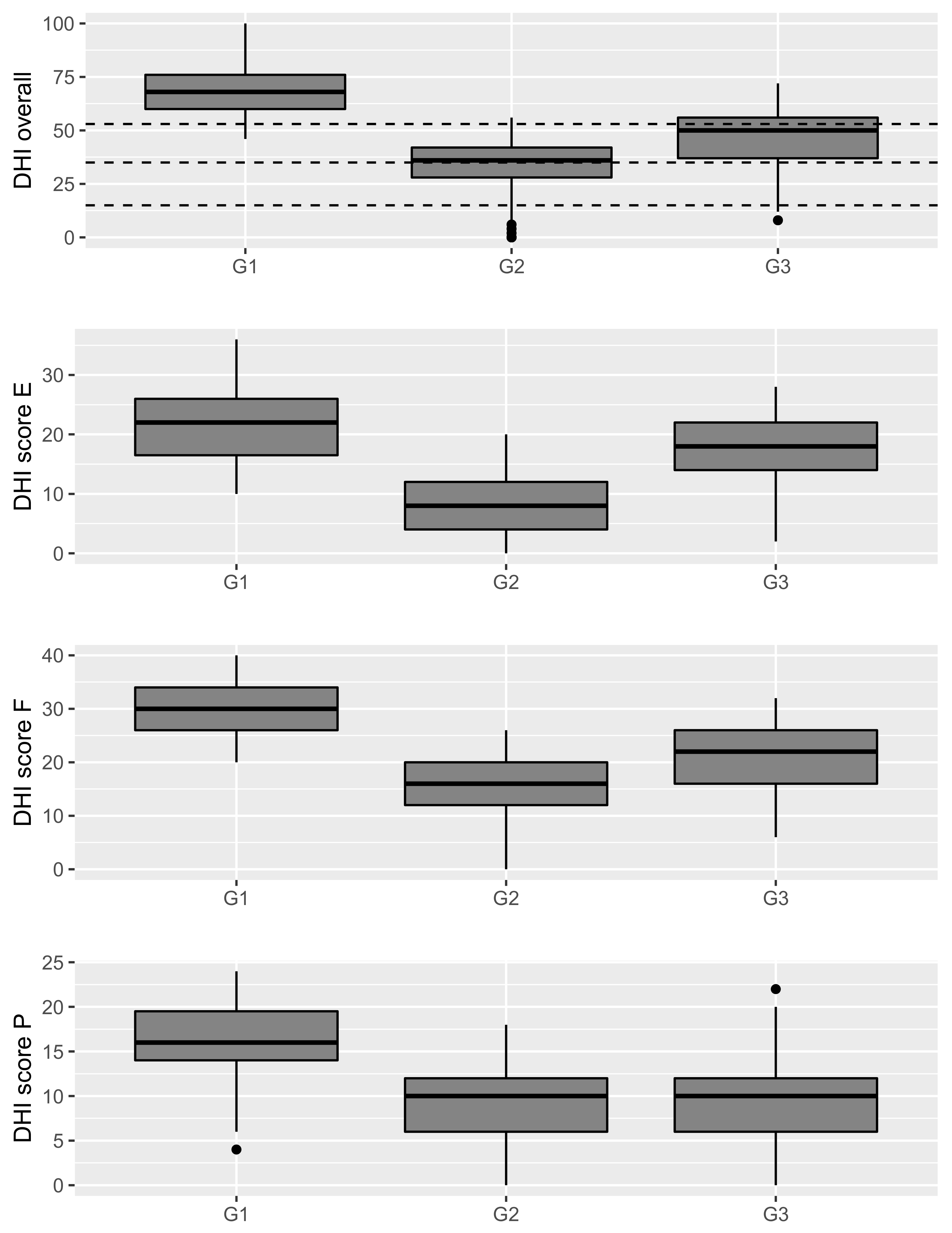
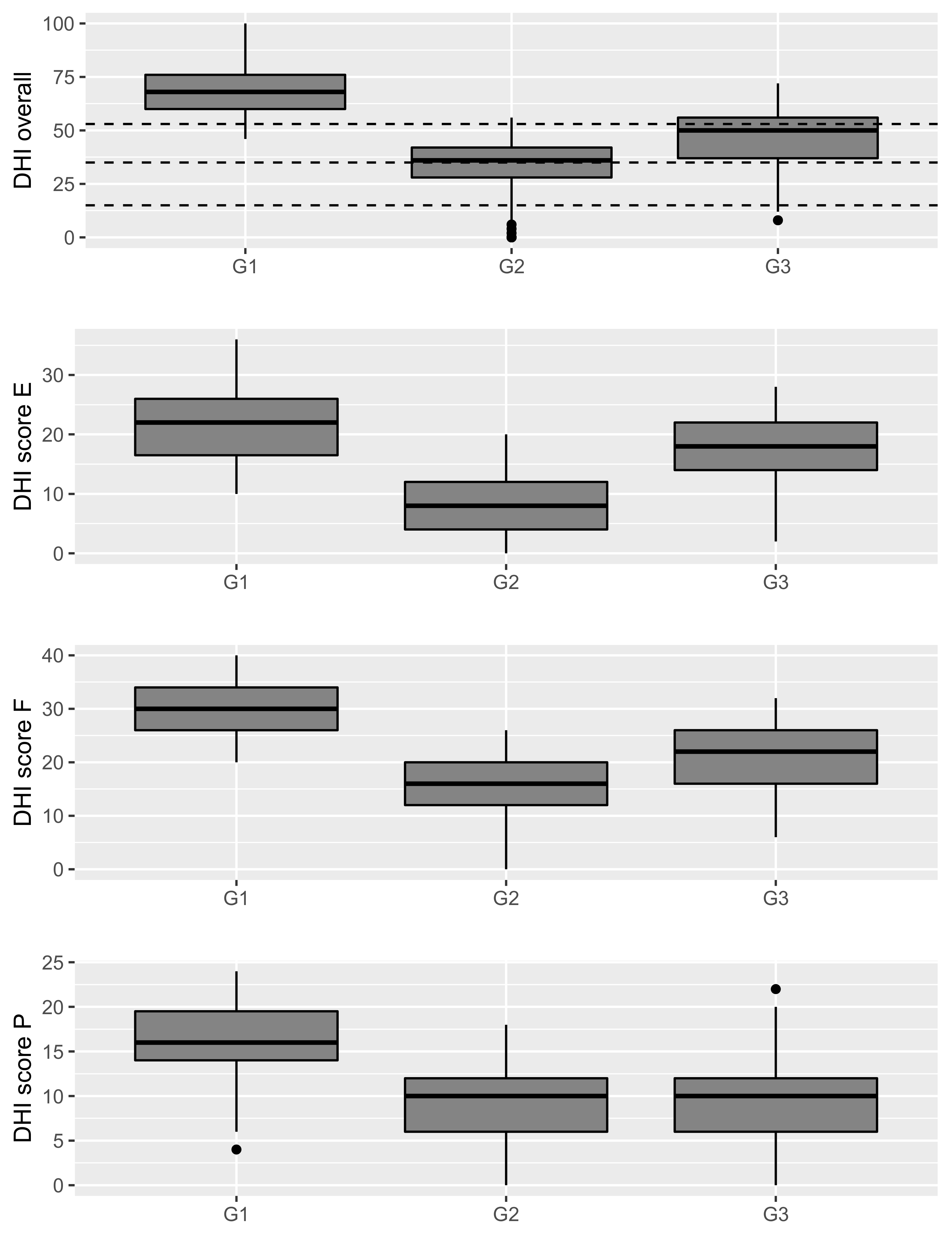
3.6. Multivariate Analysis of DHI and SVQ Data
3.6.1. Analysis of Participants
3.6.2. Analysis of Questionnaire Items
4. Discussion
4.1. Presence of Vestibular Symptoms in FM
4.2. Peculiarity of FM Dizziness Symptoms
4.3. Involvement of Cognitive and Behavioral Impairment
5. Conclusions
- FM participants scored high in self-perceived handicap associated with dizziness and VID, despite a low number of vestibular diagnoses;
 - vestibular symptoms were correlated with different FM pain and non-pain symptom scales, suggesting we should further explore the correlation between stress and psychological symptoms in relation to dizziness;
 - the pattern of symptoms other than pain suggested a prevalence of migraine and dysautonomia, possibly co-existing with central vestibular dysfunctions;
 - data revealed an impact of dizziness on the subject emotional status, possibly involving a noxious self-sustained chronic stress condition, and raising the need for including stress and psychological components when considering vestibular symptoms in FM patients.
 
Supplementary Materials
Author Contributions
Funding
Institutional Review Board Statement
Informed Consent Statement
Data Availability Statement
Acknowledgments
Conflicts of Interest
References
- Goldenberg, D.L. Pharmacological treatment of fibromyalgia and other chronic musculoskeletal pain. Best Pract. Res. Clin. Rheumatol. 2007, 21, 499–511. [Google Scholar] [CrossRef] [PubMed]
 - Kia, S.; Choy, E. Update on Treatment Guideline in Fibromyalgia Syndrome with Focus on Pharmacology. Biomedicines 2017, 5, 20. [Google Scholar] [CrossRef] [PubMed]
 - Lopez-Sola, M.; Woo, C.W.; Pujol, J.; Deus, J.; Harrison, B.J.; Monfort, J.; Wager, T.D. Towards a neurophysiological signature for fibromyalgia. Pain 2017, 158, 34–47. [Google Scholar] [CrossRef] [PubMed]
 - Jones, K.D.; Horak, F.B.; Winters-Stone, K.; Irvine, J.M.; Bennett, R.M. Fibromyalgia is associated with impaired balance and falls. J. Clin. Rheumatol. 2009, 15, 16–21. [Google Scholar] [CrossRef]
 - Russek, L.N.; Fulk, G.D. Pilot study assessing balance in women with fibromyalgia syndrome. Physiother. Theory Pract. 2009, 25, 555–565. [Google Scholar] [CrossRef]
 - Sawada, F.; Nomura, Y.; Goto, F.; Murakami, M.; Jike, M.; Toi, T.; Furusaka, T.; Ikeda, M.; Oshima, T. Relationship of physical distress to dizziness in patients with fibromyalgia. Acta Oto Laryngol. 2016, 136, 56–61. [Google Scholar] [CrossRef]
 - Zeigelboim, B.S.; Moreira, D.N. Achados Vestibulares Em Pacientes Portadores De Fibromialgia. Arquivos Int. Otorrinolaringol. 2011, 15, 283–289. [Google Scholar] [CrossRef][Green Version]
 - Jacomini, L.C.L.; da Silva, N.A. Disautonomia: Um conceito emergente na síndrome da fibromialgia. Rev. Bras. Reumatol. 2007, 47, 354–361. [Google Scholar] [CrossRef][Green Version]
 - Knapstad, M.K.; Nordahl, S.H.G.; Skouen, J.S.; Ask, T.; Goplen, F.K. Neck pain associated with clinical symptoms in dizzy patients-A cross-sectional study. Physiother. Res. Int. 2020, 25, e1815. [Google Scholar] [CrossRef]
 - Brandt, T.; Strupp, M. Migraine and Vertigo: Classification, clinical features, and special treatment considerations. Headache Curr. 2006, 3, 12–19. [Google Scholar] [CrossRef]
 - Klein, A.; Schankin, C.J. Visual snow syndrome, the spectrum of perceptual disorders, and migraine as a common risk factor: A narrative review. Headache 2021, 61, 1306–1313. [Google Scholar] [CrossRef]
 - De Tommaso, M.; Federici, A.; Serpino, C.; Vecchio, E.; Franco, G.; Sardaro, M.; Delussi, M.; Livrea, P. Clinical features of headache patients with fibromyalgia comorbidity. J. Headache Pain 2011, 12, 629–638. [Google Scholar] [CrossRef]
 - Warnock, J.K.; Clayton, A.H. Chronic episodic disorders in women. Psychiatr. Clin. N. Am. 2003, 26, 725–740. [Google Scholar] [CrossRef]
 - Whealy, M.; Nanda, S.; Vincent, A.; Mandrekar, J.; Cutrer, F.M. Fibromyalgia in migraine: A retrospective cohort study. J. Headache Pain 2018, 19, 61. [Google Scholar] [CrossRef]
 - Yunus, M.B. The prevalence of fibromyalgia in other chronic pain conditions. Pain Res. Treat. 2012, 2012, 584573. [Google Scholar] [CrossRef]
 - Jeong, S.H.; Oh, S.Y.; Kim, H.J.; Koo, J.W.; Kim, J.S. Vestibular dysfunction in migraine: Effects of associated vertigo and motion sickness. J. Neurol. 2010, 257, 905–912. [Google Scholar] [CrossRef]
 - Mutlu, B.; Serbetcioglu, B. Discussion of the dizziness handicap inventory. J. Vestib. Res. 2013, 23, 271–277. [Google Scholar] [CrossRef]
 - Mucci, V.; Meier, C.; Bizzini, M.; Romano, F.; Agostino, D.; Ventura, A.; Bertolini, G.; Feddermann-Demont, N. Combined Optokinetic Treatment and Vestibular Rehabilitation to Reduce Visually Induced Dizziness in a Professional Ice Hockey Player After Concussion: A Clinical Case. Front. Neurol. 2019, 10, 1200. [Google Scholar] [CrossRef]
 - Van Ombergen, A.; Heine, L.; Jillings, S.; Roberts, R.E.; Jeurissen, B.; Van Rompaey, V.; Mucci, V.; Vanhecke, S.; Sijbers, J.; Vanhevel, F.; et al. Altered functional brain connectivity in patients with visually induced dizziness. Neuroimage Clin. 2017, 14, 538–545. [Google Scholar] [CrossRef]
 - Bisdorff, A.R. Management of vestibular migraine. Ther. Adv. Neurol. Disord. 2011, 4, 183–191. [Google Scholar] [CrossRef]
 - Staab, J.P.; Eckhardt-Henn, A.; Horii, A.; Jacob, R.; Strupp, M.; Brandt, T.; Bronstein, A. Diagnostic criteria for persistent postural-perceptual dizziness (PPPD): Consensus document of the committee for the Classification of Vestibular Disorders of the Barany Society. J. Vestib. Res. 2017, 27, 191–208. [Google Scholar] [CrossRef]
 - Sarzi-Puttini, P.; Giorgi, V.; Marotto, D.; Atzeni, F. Fibromyalgia: An update on clinical characteristics, aetiopathogenesis and treatment. Nat. Rev. Rheumatol. 2020, 16, 645–660. [Google Scholar] [CrossRef]
 - Shaw, J.C.; Crombie, G.K.; Zakar, T.; Palliser, H.K.; Hirst, J.J. Perinatal compromise contributes to programming of GABAergic and glutamatergic systems leading to long-term effects on offspring behaviour. J. Neuroendocrinol. 2020, 32, e12814. [Google Scholar] [CrossRef]
 - Galvez-Sanchez, C.M.; Duschek, S.; Reyes Del Paso, G.A. Psychological impact of fibromyalgia: Current perspectives. Psychol. Res. Behav. Manag. 2019, 12, 117–127. [Google Scholar] [CrossRef]
 - Bair, M.J.; Robinson, R.L.; Katon, W.; Kroenke, K. Depression and pain comorbidity: A literature review. Arch. Intern. Med. 2003, 163, 2433–2445. [Google Scholar] [CrossRef]
 - Saman, Y.; Bamiou, D.E.; Gleeson, M.; Dutia, M.B. Interactions between Stress and Vestibular Compensation-A Review. Front. Neurol. 2012, 3, 116. [Google Scholar] [CrossRef]
 - Breivik, E.K.; Bjornsson, G.A.; Skovlund, E. A comparison of pain rating scales by sampling from clinical trial data. Clin. J. Pain 2000, 16, 22–28. [Google Scholar] [CrossRef]
 - Freynhagen, R.; Baron, R.; Gockel, U.; Tolle, T.R. painDETECT: A new screening questionnaire to identify neuropathic components in patients with back pain. Curr. Med. Res. Opin. 2006, 22, 1911–1920. [Google Scholar] [CrossRef] [PubMed]
 - Zotti, A.M.; Bertolotti, G.; Michielin, P.; Sanavio, E.; Vidotto, G. Linee Guida Per lo Screening di Tratti di Personalità, Cognizioni e Comportamenti Avversi Alla Salute. Manuale D’uso Per Il CBA Forma Hospital; Maugeri Foundation Books: Pavia, Italy, 2000; p. 126. [Google Scholar]
 - Nola, G.; Mostardini, C.; Salvi, C.; Ercolani, A.P.; Ralli, G. Validity of Italian adaptation of the Dizziness Handicap Inventory (DHI) and evaluation of the quality of life in patients with acute dizziness. Acta Otorhinolaryngol. Ital. 2010, 30, 190. [Google Scholar] [PubMed]
 - Colnaghi, S.; Rezzani, C.; Gnesi, M.; Manfrin, M.; Quaglieri, S.; Nuti, D.; Mandala, M.; Monti, M.C.; Versino, M. Validation of the Italian Version of the Dizziness Handicap Inventory, the Situational Vertigo Questionnaire, and the Activity-Specific Balance Confidence Scale for Peripheral and Central Vestibular Symptoms. Front. Neurol. 2017, 8, 528. [Google Scholar] [CrossRef] [PubMed]
 - Bisdorff, A.; Von Brevern, M.; Lempert, T.; Newman-Toker, D.E. Classification of vestibular symptoms: Towards an international classification of vestibular disorders. J. Vestib. Res. 2009, 19, 1–13. [Google Scholar] [CrossRef]
 - Perez, N.; Garmendia, I.; Garcia-Granero, M.; Martin, E.; Garcia-Tapia, R. Factor analysis and correlation between dizziness handicap inventory and dizziness characteristics and impact on quality of life scales. Acta Otolaryngol. Suppl. 2001, 545, 145–154. [Google Scholar]
 - Riva, R.; Mork, P.J.; Westgaard, R.H.; Ro, M.; Lundberg, U. Fibromyalgia syndrome is associated with hypocortisolism. Int. J. Behav. Med. 2010, 17, 223–233. [Google Scholar] [CrossRef]
 - Bramwell, B.L. The role of sex hormones on fibromyalgia pain mediators. Int. J. Pharm. Compd. 2010, 14, 193–199. [Google Scholar]
 - Kulekcioglu, S. Diagnostic difficulty, delayed diagnosis, and increased tendencies of surgical treatment in fibromyalgia syndrome. Clin. Rheumatol. 2021, 41, 831–837. [Google Scholar] [CrossRef]
 - Martinez-Jauand, M.; Sitges, C.; Femenia, J.; Cifre, I.; Gonzalez, S.; Chialvo, D.; Montoya, P. Age-of-onset of menopause is associated with enhanced painful and non-painful sensitivity in fibromyalgia. Clin. Rheumatol. 2013, 32, 975–981. [Google Scholar] [CrossRef]
 - Choy, E.; Perrot, S.; Leon, T.; Kaplan, J.; Petersel, D.; Ginovker, A.; Kramer, E. A patient survey of the impact of fibromyalgia and the journey to diagnosis. BMC Health Serv. Res. 2010, 10, 102. [Google Scholar] [CrossRef]
 - Okifuji, A.; Turk, D.C. Sex hormones and pain in regularly menstruating women with fibromyalgia syndrome. J. Pain 2006, 7, 851–859. [Google Scholar] [CrossRef]
 - Staab, J.P. Psychiatric Considerations in the Management of Dizzy Patients. Adv. Otorhinolaryngol. 2019, 82, 170–179. [Google Scholar] [CrossRef]
 - Bittar, R.S.; Lins, E.M. Clinical characteristics of patients with persistent postural-perceptual dizziness. Braz. J. Otorhinolaryngol. 2015, 81, 276–282. [Google Scholar] [CrossRef]
 - Habs, M.; Strobl, R.; Grill, E.; Dieterich, M.; Becker-Bense, S. Primary or secondary chronic functional dizziness: Does it make a difference? A DizzyReg study in 356 patients. J. Neurol. 2020, 267, 212–222. [Google Scholar] [CrossRef]
 - Indovina, I.; Passamonti, L.; Mucci, V.; Chiarella, G.; Lacquaniti, F.; Staab, J.P. Brain Correlates of Persistent Postural-Perceptual Dizziness: A Review of Neuroimaging Studies. J. Clin. Med. 2021, 10, 4274. [Google Scholar] [CrossRef]
 - Yun, D.J.; Choi, H.N.; Oh, G.S. A case of postural orthostatic tachycardia syndrome associated with migraine and fibromyalgia. Korean J. Pain 2013, 26, 303–306. [Google Scholar] [CrossRef]
 - Yardley, L.; Luxon, L.M.; Haacke, N.P. A longitudinal study of symptoms, anxiety and subjective well-being in patients with vertigo. Clin. Otolaryngol. Allied Sci. 1994, 19, 109–116. [Google Scholar] [CrossRef]
 - Zhu, C.; Li, Y.; Ju, Y.; Zhao, X. Dizziness handicap and anxiety depression among patients with benign paroxysmal positional vertigo and vestibular migraine. Medicine 2020, 99, e23752. [Google Scholar] [CrossRef]
 - Schneider, T.R.; Rench, T.A.; Lyons, J.B.; Riffle, R.R. The influence of neuroticism, extraversion and openness on stress responses. Stress Health 2012, 28, 102–110. [Google Scholar] [CrossRef]
 - Coppens, E.; Van Wambeke, P.; Morlion, B.; Weltens, N.; Giao Ly, H.; Tack, J.; Luyten, P.; Van Oudenhove, L. Prevalence and impact of childhood adversities and post-traumatic stress disorder in women with fibromyalgia and chronic widespread pain. Eur. J. Pain 2017, 21, 1582–1590. [Google Scholar] [CrossRef]
 - Fries, E.; Hesse, J.; Hellhammer, J.; Hellhammer, D.H. A new view on hypocortisolism. Psychoneuroendocrinology 2005, 30, 1010–1016. [Google Scholar] [CrossRef]
 - Tafet, G.E.; Nemeroff, C.B. The Links Between Stress and Depression: Psychoneuroendocrinological, Genetic, and Environmental Interactions. J. Neuropsychiatry Clin. Neurosci. 2016, 28, 77–88. [Google Scholar] [CrossRef] [PubMed]
 - Hauser, W.; Kosseva, M.; Uceyler, N.; Klose, P.; Sommer, C. Emotional, physical, and sexual abuse in fibromyalgia syndrome: A systematic review with meta-analysis. Arthritis Care Res. 2011, 63, 808–820. [Google Scholar] [CrossRef]
 - De Kloet, E.R.; Joels, M.; Holsboer, F. Stress and the brain: From adaptation to disease. Nat. Rev. Neurosci. 2005, 6, 463–475. [Google Scholar] [CrossRef] [PubMed]
 - Jahan, F.; Nanji, K.; Qidwai, W.; Qasim, R. Fibromyalgia syndrome: An overview of pathophysiology, diagnosis and management. Oman Med. J. 2012, 27, 192–195. [Google Scholar] [CrossRef] [PubMed]
 - Lomas-Vega, R.; Rodriguez-Almagro, D.; Peinado-Rubia, A.B.; Zagalaz-Anula, N.; Molina, F.; Obrero-Gaitan, E.; Ibanez-Vera, A.J.; Osuna-Perez, M.C. Joint Assessment of Equilibrium and Neuromotor Function: A Validation Study in Patients with Fibromyalgia. Diagnostics 2020, 10, 1057. [Google Scholar] [CrossRef] [PubMed]
 






| Gender | Female | Male | No answer | |||
| FM | 89.5 * | 4.0 * | 6.5 | |||
| Control | 81.3 # | 18.7 # | 0 | |||
| Education | Primary | Lower secondary | Upper secondary | Academic degree | PhD or equivalent | |
| 1.1 | 17.3 | 55.6 | 18.4 | 7.6 | ||
| Marital status | Single | Married/cohabitant | Separated/divorced | Widowed | ||
| 20.9 | 60.7 | 16.6 | 1.8 | |||
| Employment | Grey-collar | White-collar | Blue-collar | Shopkeeper | Unemployed | No answer | 
| 11.5 | 35.0 | 13.7 | 4.7 | 34 | 1.1 | 
| Q1 | Median | Mean ± SD | Q3 | ||
|---|---|---|---|---|---|
| Patient age (years) | FM | 41 | 50 * | 48.1 ± 10.7 | 56 | 
| controls | 35 | 42 * | 46.9 ± 13.5 | 60 | |
| Height (cm) | 160 | 164 | 164 ± 6.3 | 168 | |
| Weight (Kg) | 58 | 66 | 68.2 ± 15.2 | 77 | |
| Body Mass Index (BMI) | 21.2 | 24.2 | 25.3 ± 5.3 | 28.4 | |
| Age-of-onset (years) | 30 | 39 | 37.2 ± 11 | 45 | |
| Disease duration (years) | 5 | 9 | 11.9 ± 9.3 | 16 | |
| Diagnostic delay (years) | 1 | 4 | 6.35 ± 7.9 | 8 | 
| Symptom | Percent Frequency | 
|---|---|
| Fatigue | 98.6 | 
| Sleep disturbance | 89.9 | 
| Brain fog | 81 | 
| Migraine | 65.8 | 
| Dizziness | 63.6 | 
| Anxiety | 63.3 | 
| Photophobia | 51.3 | 
| Depression | 39.6 | 
| Nausea | 37.8 | 
| Diplopia | 33.4 | 
| Gut disorders | 12 | 
| Tinnitus | 5.8 | 
| Score | Group | Min | Q1 | Median | Mean | Q3 | Max | 
|---|---|---|---|---|---|---|---|
| DHI | FM | 0 | 38 | 54 * | 52 | 66 | 100 | 
| Control | 0 | 0 | 2 * | 7.2 | 8 | 82 | |
| SVQ | FM | 0 | 0.78 | 1.53 # | 1.53 | 2.22 | 4 | 
| Control | 0 | 0 | 0.19 # | 0.41 | 0.44 | 2.81 | 
| Pain Types | DHI | SVQ | 
|---|---|---|
| Occasional pain | 0.395 (p < 0.001) | 0.302 (p < 0.001) | 
| Pressure pain | 0.328 (p < 0.001) | 0.217 (p < 0.001) | 
| Numbness | 0.351 (p < 0.001) | 0.285 (p < 0.001) | 
| Burning | 0.348 (p < 0.001) | 0.244 (p < 0.001) | 
| Tingling | 0.347 (p < 0.001) | 0.319 (p < 0.001) | 
| Light contact | 0.347 (p < 0.001) | 0.299 (p < 0.001) | 
| Sudden pain | 0.264 (p < 0.001) | 0.236 (p < 0.001) | 
Publisher’s Note: MDPI stays neutral with regard to jurisdictional claims in published maps and institutional affiliations.  | 
© 2022 by the authors. Licensee MDPI, Basel, Switzerland. This article is an open access article distributed under the terms and conditions of the Creative Commons Attribution (CC BY) license (https://creativecommons.org/licenses/by/4.0/).
Share and Cite
Mucci, V.; Demori, I.; Rapallo, F.; Molinari, E.; Losacco, S.; Marinelli, L.; Browne, C.J.; Burlando, B. Vestibular Disability/Handicap in Fibromyalgia: A Questionnaire Study. J. Clin. Med. 2022, 11, 4017. https://doi.org/10.3390/jcm11144017
Mucci V, Demori I, Rapallo F, Molinari E, Losacco S, Marinelli L, Browne CJ, Burlando B. Vestibular Disability/Handicap in Fibromyalgia: A Questionnaire Study. Journal of Clinical Medicine. 2022; 11(14):4017. https://doi.org/10.3390/jcm11144017
Chicago/Turabian StyleMucci, Viviana, Ilaria Demori, Fabio Rapallo, Elena Molinari, Serena Losacco, Lucio Marinelli, Cherylea J. Browne, and Bruno Burlando. 2022. "Vestibular Disability/Handicap in Fibromyalgia: A Questionnaire Study" Journal of Clinical Medicine 11, no. 14: 4017. https://doi.org/10.3390/jcm11144017
APA StyleMucci, V., Demori, I., Rapallo, F., Molinari, E., Losacco, S., Marinelli, L., Browne, C. J., & Burlando, B. (2022). Vestibular Disability/Handicap in Fibromyalgia: A Questionnaire Study. Journal of Clinical Medicine, 11(14), 4017. https://doi.org/10.3390/jcm11144017
        
                                                
