Impact of Weight on Clinical Outcomes of Edoxaban Therapy in Atrial Fibrillation Patients Included in the ETNA-AF-Europe Registry
Abstract
:1. Introduction
2. Materials and Methods
3. Results
3.1. Baseline Characteristics
3.2. Outcomes
3.2.1. Stroke and Systemic Embolism
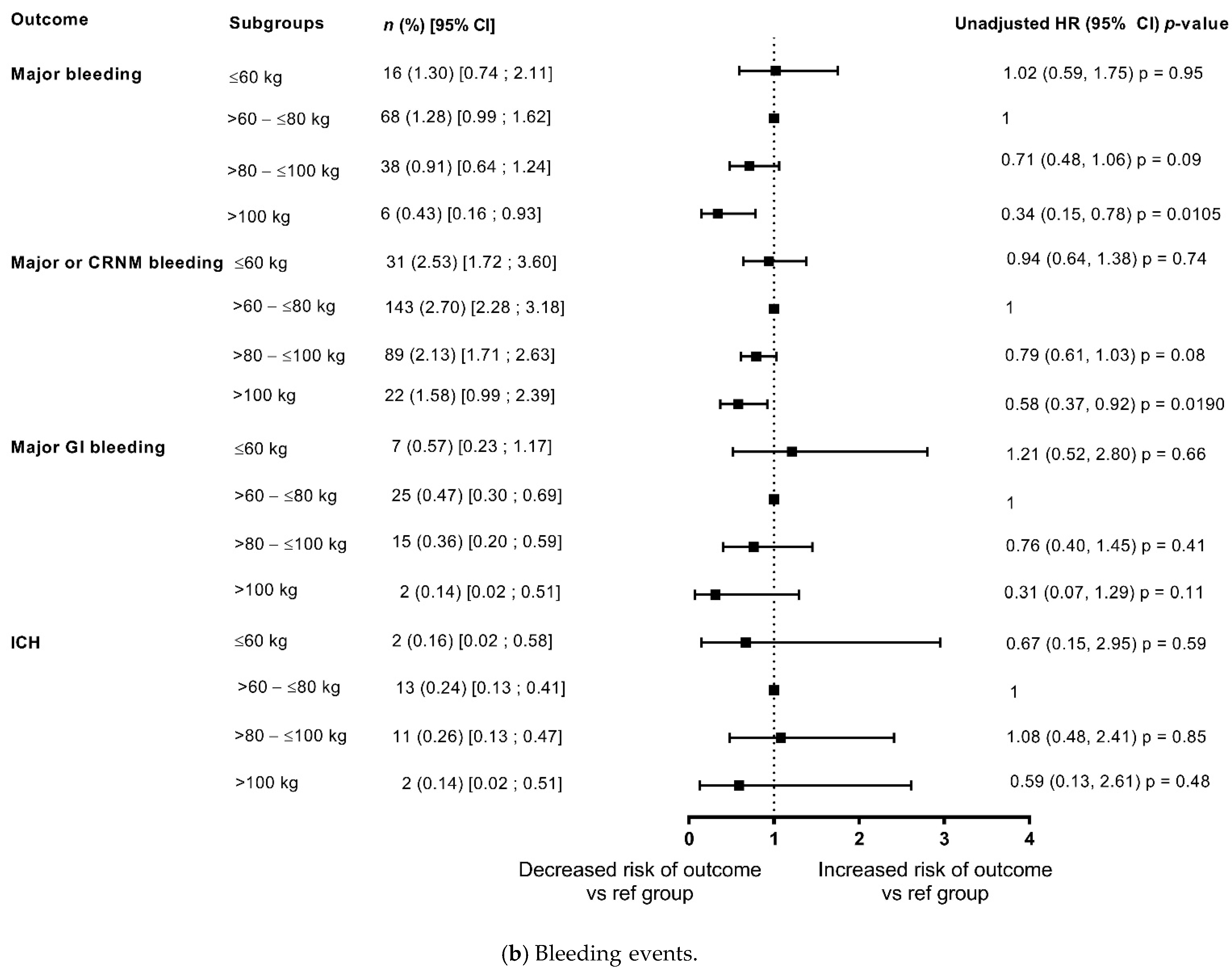
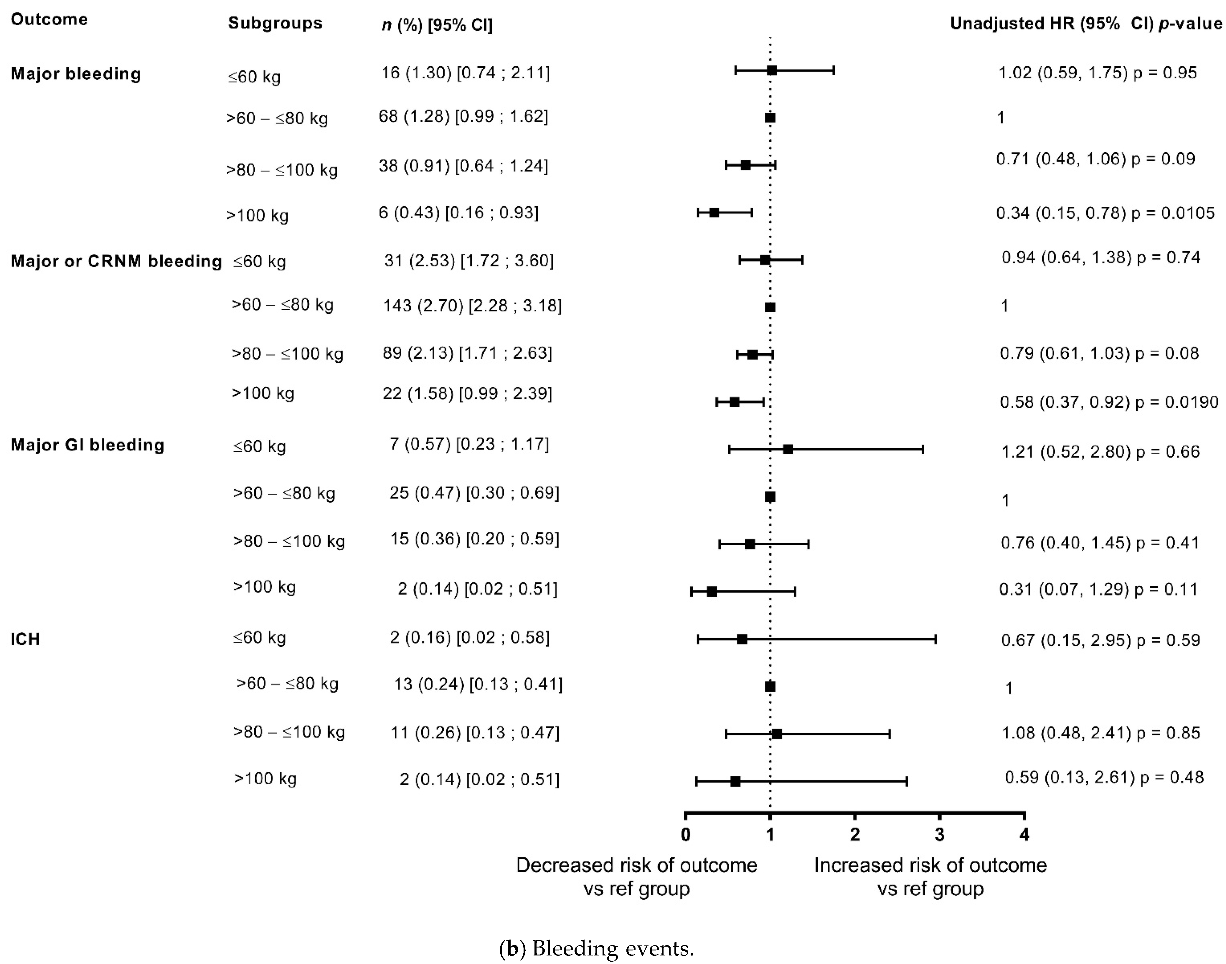
3.2.2. Bleeding
3.2.3. Death Due to Any Cause and CV Deaths
3.2.4. Additional Analyses
4. Discussion
5. Conclusions
Supplementary Materials
Author Contributions
Funding
Institutional Review Board Statement
Informed Consent Statement
Data Availability Statement
Acknowledgments
Conflicts of Interest
References
- Goudis, C.A.; Korantzopoulos, P.; Ntalas, I.V.; Kallergis, E.M.; Ketikoglou, D.G. Obesity and atrial fibrillation: A comprehensive review of the pathophysiological mechanisms and links. J. Cardiol. 2015, 66, 361–369. [Google Scholar] [CrossRef] [Green Version]
- Rocca, B.; Fox, K.A.A.; Ajjan, R.A.; Andreotti, F.; Baigent, C.; Collet, J.-P.; Grove, E.L.; Halvorsen, S.; Huber, K.; Morais, J.; et al. Antithrombotic therapy and body mass: An expert position paper of the ESC Working Group on Thrombosis. Eur. Heart J. 2018, 39, 1672–1686f. [Google Scholar] [CrossRef]
- Boriani, G.; Ruff, C.T.; Kuder, J.F.; Shi, M.; Lanz, H.J.; Antman, E.M.; Braunwald, E.; Giugliano, R.P. Edoxaban versus Warfarin in Patients with Atrial Fibrillation at the Extremes of Body Weight: An Analysis from the ENGAGE AF-TIMI 48 Trial. Thromb. Haemost. 2020, 121, 140–149. [Google Scholar] [CrossRef] [PubMed]
- Pandey, A.K.; Eikelboom, J.W. Direct Oral Anticoagulant Dosing in Extremes of Body Weight: Time to Revisit the Guidelines? Thromb. Haemost. 2021, 121, 118–120. [Google Scholar] [CrossRef]
- Hindricks, G.; Potpara, T.; Dagres, N.; Arbelo, E.; Bax, J.J.; Blomström-Lundqvist, C.; Boriani, G.; Castella, M.; Dan, G.-A.E.; Dilaveris, P.E.; et al. 2020 ESC Guidelines for the diagnosis and management of atrial fibrillation developed in collaboration with the European Association for Cardio-Thoracic Surgery (EACTS). Eur. Heart J. 2020, 42, 373–498. [Google Scholar] [CrossRef] [PubMed]
- Steffel, J.; Collins, R.; Antz, M.; Cornu, P.; Desteghe, L.; Haeusler, K.G.; Oldgren, J.; Reinecke, H.; Roldan-Schilling, V.; Rowell, N.; et al. 2021 European Heart Rhythm Association Practical Guide on the Use of Non-Vitamin K Antagonist Oral Anticoagulants in Patients with Atrial Fibrillation. Europace 2021, euab065. [Google Scholar] [CrossRef]
- Testa, S.; Legnani, C.; Antonucci, E.; Paoletti, O.; Dellanoce, C.; Cosmi, B.; Pengo, V.; Poli, D.; Morandini, R.; Testa, R.; et al. Drug levels and bleeding complications in atrial fibrillation patients treated with direct oral anticoagulants. J. Thromb. Haemost. 2019, 17, 1064–1072. [Google Scholar] [CrossRef] [Green Version]
- Testa, S.; Paoletti, O.; Legnani, C.; Dellanoce, C.; Antonucci, E.; Cosmi, B.; Pengo, V.; Poli, D.; Morandini, R.; Testa, R.; et al. Low drug levels and thrombotic complications in high-risk atrial fibrillation patients treated with direct oral anticoagulants. J. Thromb. Haemost. 2018, 16, 842–848. [Google Scholar] [CrossRef] [PubMed]
- De Caterina, R.; Lip, G.Y.H. The non-vitamin K antagonist oral anticoagulants (NOACs) and extremes of body weight—A systematic literature review. Clin. Res. Cardiol. 2017, 106, 565–572. [Google Scholar] [CrossRef] [PubMed]
- Parasrampuria, D.A.; Truitt, K.E. Pharmacokinetics and Pharmacodynamics of Edoxaban, a Non-Vitamin K Antagonist Oral Anticoagulant that Inhibits Clotting Factor Xa. Clin. Pharmacokinet. 2016, 55, 641–655. [Google Scholar] [CrossRef] [PubMed] [Green Version]
- Yamashita, T.; Koretsune, Y.; Yasaka, M.; Inoue, H.; Kawai, Y.; Yamaguchi, T.; Uchiyama, S.; Matsumoto, M.; Ogawa, S. Randomized, Multicenter, Warfarin-Controlled Phase II Study of Edoxaban in Japanese Patients with Non-Valvular Atrial Fibrillation. Circ. J. 2012, 76, 1840–1847. [Google Scholar] [CrossRef] [PubMed] [Green Version]
- Moll, S.; Crona, D.J.; Martin, K. Direct oral anticoagulants in extremely obese patients: OK to use? Res. Pr. Thromb. Haemost. 2018, 3, 152–155. [Google Scholar] [CrossRef] [Green Version]
- Martin, K.; Beyer-Westendorf, J.; Davidson, B.L.; Huisman, M.V.; Sandset, P.M.; Moll, S. Use of the direct oral anticoagulants in obese patients: Guidance from the SSC of the ISTH. J. Thromb. Haemost. 2016, 14, 1308–1313. [Google Scholar] [CrossRef]
- De Caterina, R.; on behalf of the ETNA-AF-Europe investigators; Kelly, P.; Monteiro, P.; Deharo, J.C.; de Asmundis, C.; López-De-Sá, E.; Weiss, T.W.; Waltenberger, J.; Steffel, J.; et al. Characteristics of patients initiated on edoxaban in Europe: Baseline data from edoxaban treatment in routine clinical practice for patients with atrial fibrillation (AF) in Europe (ETNA-AF-Europe). BMC Cardiovasc. Disord. 2019, 19, 165. [Google Scholar] [CrossRef] [Green Version]
- De Caterina, R.; Kelly, P.; Monteiro, P.; Deharo, J.C.; de Asmundis, C.; López-De-Sá, E.; Weiss, T.W.; Waltenberger, J.; Steffel, J.; de Groot, J.R.; et al. Design and rationale of the Edoxaban Treatment in routiNe clinical prActice for patients with Atrial Fibrillation in Europe (ETNA-AF-Europe) study. J. Cardiovasc. Med. 2019, 20, 97–104. [Google Scholar] [CrossRef] [PubMed] [Green Version]
- de Groot, J.R.; Weiss, T.W.; Kelly, P.; Monteiro, P.; Deharo, J.C.; de Asmundis, C.; López-De-Sá, E.; Waltenberger, J.; Steffel, J.; Levy, P.; et al. Edoxaban for stroke prevention in atrial fibrillation in routine clinical care: 1-year follow-up of the prospective observational ETNA-AF-Europe study. Eur. Heart J. Cardiovasc. Pharmacother. 2020, 7, f30–f39. [Google Scholar] [CrossRef]
- Krittayaphong, R.; Chichareon, P.; Komoltri, C.; Kornbongkotmas, S.; Yindeengam, A.; Lip, G.Y.H. Low Body Weight Increases the Risk of Ischemic Stroke and Major Bleeding in Atrial Fibrillation: The COOL-AF Registry. J. Clin. Med. 2020, 9, 2713. [Google Scholar] [CrossRef]
- Hohnloser, S.H.; Fudim, M.; Alexander, J.H.; Wojdyla, D.M.; Ezekowitz, J.A.; Hanna, M.; Atar, D.; Hijazi, Z.; Bahit, M.C.; Al-Khatib, S.M.; et al. Efficacy and Safety of Apixaban Versus Warfarin in Patients with Atrial Fibrillation and Extremes in Body Weight. Circulation 2019, 139, 2292–2300. [Google Scholar] [CrossRef]
- Sanghai, S.; Wong, C.; Wang, Z.; Clive, P.; Tran, W.; Waring, M.; Goldberg, R.; Hayward, R.; Saczynski, J.S.; McManus, D.D. Rates of Potentially Inappropriate Dosing of Direct-Acting Oral Anticoagulants and Associations with Geriatric Conditions Among Older Patients with Atrial Fibrillation: The SAGE-AF Study. J. Am. Heart Assoc. 2020, 9, e014108. [Google Scholar] [CrossRef] [PubMed]
- Godino, C.; Bodega, F.; Melillo, F.; Rubino, F.; Parlati, A.L.M.; Cappelletti, A.; Mazzone, P.; Mattiello, P.; Della Bella, P.; Castiglioni, A.; et al. Inappropriate dose of nonvitamin-K antagonist oral anticoagulants: Prevalence and impact on clinical outcome in patients with nonvalvular atrial fibrillation. J. Cardiovasc. Med. 2020, 21, 751–758. [Google Scholar] [CrossRef] [PubMed]
- Camm, A.J.; Cools, F.; Virdone, S.; Bassand, J.-P.; Fitzmaurice, D.A.; Fox, K.A.A.; Goldhaber, S.Z.; Goto, S.; Haas, S.; Mantovani, L.G.; et al. Mortality in Patients with Atrial Fibrillation Receiving Nonrecommended Doses of Direct Oral Anticoagulants. J. Am. Coll. Cardiol. 2020, 76, 1425–1436. [Google Scholar] [CrossRef] [PubMed]
- Lee, K.-N.; Choi, J.-I.; Boo, K.Y.; Kim, D.Y.; Kim, Y.G.; Oh, S.-K.; Baek, Y.-S.; Lee, D.I.; Roh, S.-Y.; Shim, J.; et al. Effectiveness and Safety of Off-label Dosing of Non–vitamin K Antagonist Anticoagulant for Atrial Fibrillation in Asian Patients. Sci. Rep. 2020, 10, 1801. [Google Scholar] [CrossRef] [PubMed] [Green Version]
- Proietti, M.; Laroche, C.; Nieuwlaat, R.; Crijns, H.J.; Maggioni, A.P.; Lane, D.A.; Boriani, G.; Lip, G.Y.H.; Registry, E.-A.G.P.; Euro Heart Survey on, A.F.I. Increased burden of comorbidities and risk of cardiovascular death in atrial fibrillation patients in Europe over ten years: A comparison between EORP-AF pilot and EHS-AF registries. Eur. J. Intern. Med. 2018, 55, 28–34. [Google Scholar] [CrossRef] [Green Version]
- Proietti, M.; Guiducci, E.; Cheli, P.; Lip, G.Y. Is There an Obesity Paradox for Outcomes in Atrial Fibrillation? Stroke 2017, 48, 857–866. [Google Scholar] [CrossRef]
- Oesch, L.; Tatlisumak, T.; Arnold, M.; Sarikaya, H. Obesity paradox in stroke—Myth or reality? A systematic review. PLoS ONE 2017, 12, e0171334. [Google Scholar] [CrossRef] [PubMed]
- Boriani, G.; Savelieva, I.; Dan, G.-A.; Deharo, J.C.; Ferro, C.; Israel, C.W.; Lane, D.A.; La Manna, G.; Morton, J.; Mitjans, A.M.; et al. Chronic kidney disease in patients with cardiac rhythm disturbances or implantable electrical devices: Clinical significance and implications for decision making-a position paper of the European Heart Rhythm Association endorsed by the Heart Rhythm Society and the Asia Pacific Heart Rhythm Society. Europace 2015, 17, 1169–1196. [Google Scholar] [CrossRef] [PubMed]
- Magnocavallo, M.; Bellasi, A.; Mariani, M.V.; Fusaro, M.; Ravera, M.; Paoletti, E.; Di Iorio, B.; Barbera, V.; Della Rocca, D.G.; Palumbo, R.; et al. Thromboembolic and Bleeding Risk in Atrial Fibrillation Patients with Chronic Kidney Disease: Role of Anticoagulation Therapy. J. Clin. Med. 2020, 10, 83. [Google Scholar] [CrossRef] [PubMed]
- Boriani, G.; Laroche, C.; Diemberger, I.; Popescu, M.I.; Rasmussen, L.H.; Petrescu, L.; Crijns, H.J.G.M.; Tavazzi, L.; Maggioni, A.P.; Lip, G.Y.H. Glomerular filtration rate in patients with atrial fibrillation and 1-year outcomes. Sci. Rep. 2016, 6, 30271. [Google Scholar] [CrossRef] [PubMed]
- Lauterbach, M.; Uhrich, E.; Eggebrecht, L.; Göbel, S.; Panova-Noeva, M.; Nagler, M.; Cate, V.T.; Bickel, C.; Espinola-Klein, C.; Münzel, T.; et al. Specialized Management of Oral Anticoagulation Therapy Improves Outcome in Patients with Chronic Renal Insufficiency. J. Clin. Med. 2020, 9, 645. [Google Scholar] [CrossRef]
- Hirsh, J.; Eikelboom, J.W.; Chan, N.C. Fifty years of research on antithrombotic therapy: Achievements and disappointments. Eur. J. Intern. Med. 2019, 70, 1–7. [Google Scholar] [CrossRef]
- Sandhu, R.K.; Ezekowitz, J.; Andersson, U.; Alexander, J.H.; Granger, C.B.; Halvorsen, S.; Hanna, M.; Hijazi, Z.; Jansky, P.; Lopes, R.D.; et al. The ‘obesity paradox’ in atrial fibrillation: Observations from the ARISTOTLE (Apixaban for Reduction in Stroke and Other Thromboembolic Events in Atrial Fibrillation) trial. Eur. Heart J. 2016, 37, 2869–2878. [Google Scholar] [CrossRef] [Green Version]
- Doucette, K.; Latif, H.; Vakiti, A.; Tefera, E.; Patel, B.; Fitzpatrick, K. Efficacy and Safety of Direct-Acting Oral Anticoagulants (DOACs) in the Overweight and Obese. Adv. Hematol. 2020, 2020, 1–7. [Google Scholar] [CrossRef]
- Boriani, G.; Ruff, C.T.; Kuder, J.F.; Shi, M.; Lanz, H.J.; Rutman, H.; Mercuri, M.F.; Antman, E.M.; Braunwald, E.; Giugliano, R.P. Relationship between body mass index and outcomes in patients with atrial fibrillation treated with edoxaban or warfarin in the ENGAGE AF-TIMI 48 trial. Eur. Heart J. 2019, 40, 1541–1550. [Google Scholar] [CrossRef]
- Tittl, L.; Endig, S.; Marten, S.; Reitter, A.; Beyer-Westendorf, I.; Beyer-Westendorf, J. Impact of BMI on clinical outcomes of NOAC therapy in daily care—Results of the prospective Dresden NOAC Registry (NCT01588119). Int. J. Cardiol. 2018, 262, 85–91. [Google Scholar] [CrossRef] [PubMed]
- Pandey, A.; Gersh, B.J.; McGuire, D.K.; Shrader, P.; Thomas, L.; Kowey, P.R.; Mahaffey, K.W.; Hylek, E.; Sun, S.; Burton, P.; et al. Association of Body Mass Index with Care and Outcomes in Patients With Atrial Fibrillation: Results From the ORBIT-AF Registry. JACC Clin. Electrophysiol. 2016, 2, 355–363. [Google Scholar] [CrossRef] [PubMed]
- Patti, G.; Pecen, L.; Manu, M.C.; Huber, K.; Rohla, M.; Renda, G.; Siller-Matula, J.; Ricci, F.; Kirchhof, P.; de Caterina, R. Thromboembolic and bleeding risk in obese patients with atrial fibrillation according to different anticoagulation strategies. Int. J. Cardiol. 2020, 318, 67–73. [Google Scholar] [CrossRef] [PubMed]
- Speed, V.; Green, B.; Roberts, L.N.; Woolcombe, S.; Bartoli-Abdou, J.; Barsam, S.; Byrne, R.; Gee, E.; Czuprynska, J.; Brown, A.; et al. Fixed dose rivaroxaban can be used in extremes of bodyweight: A population pharmacokinetic analysis. J. Thromb. Haemost. 2020, 18, 2296–2307. [Google Scholar] [CrossRef]
- Sebaaly, J.; Kelley, D. Direct Oral Anticoagulants in Obesity: An Updated Literature Review. Ann. Pharmacother. 2020, 54, 1144–1158. [Google Scholar] [CrossRef] [PubMed]
- Piran, S.; Traquair, H.; Chan, N.; Bhagirath, V.; Schulman, S. Peak plasma concentration of direct oral anticoagulants in obese patients weighing over 120 kilograms: A retrospective study. Res. Pr. Thromb. Haemost. 2018, 2, 684–688. [Google Scholar] [CrossRef]
- Peterson, E.D.; Ashton, V.; Chen, Y.-W.; Wu, B.; Spyropoulos, A.C. Comparative effectiveness, safety, and costs of rivaroxaban and warfarin among morbidly obese patients with atrial fibrillation. Am. Heart J. 2019, 212, 113–119. [Google Scholar] [CrossRef]
- Kido, K.; Ngorsuraches, S. Comparing the Efficacy and Safety of Direct Oral Anticoagulants With Warfarin in the Morbidly Obese Population With Atrial Fibrillation. Ann. Pharmacother. 2019, 53, 165–170. [Google Scholar] [CrossRef] [PubMed]
- Wang, S.Y.; Giugliano, R.P. Non-Vitamin K Antagonist Oral Anticoagulant for Atrial Fibrillation in Obese Patients. Am. J. Cardiol. 2020, 127, 176–183. [Google Scholar] [CrossRef] [PubMed]
- Vitolo, M.; Proietti, M.; Harrison, S.; Lane, D.A.; Potpara, T.S.; Boriani, G.; Lip, G.Y.H. The Euro Heart Survey and EURObservational Research Programme (EORP) in atrial fibrillation registries: Contribution to epidemiology, clinical management and therapy of atrial fibrillation patients over the last 20 years. Intern. Emerg. Med. 2020, 15, 1183–1192. [Google Scholar] [CrossRef] [PubMed]
- Torp-Pedersen, C.; Goette, A.; Nielsen, P.B.; Potpara, T.; Fauchier, L.; Camm, A.J.; Arbelo, E.; Boriani, G.; Skjoeth, F.; Rumsfeld, J.; et al. ‘Real-world’ observational studies in arrhythmia research: Data sources, methodology, and interpretation. A position document from European Heart Rhythm Association (EHRA), endorsed by Heart Rhythm Society (HRS), Asia-Pacific HRS (APHRS), and Latin America HRS (LAHRS). Europace 2020, 22, 831–832. [Google Scholar] [CrossRef] [PubMed]




| ETNA-AF-Europe Total | Body Weight [kg] | |||||||
|---|---|---|---|---|---|---|---|---|
| ≤60 kg | >60–≤80 kg | >80–≤100 kg | >100 kg | |||||
| Patients, N (%) | 13,092 (100%) | 1310 (10.0%) | Standardized Difference to Weight >60–≤80 kg | 5565 (42.5%) | 4346 (33.2%) | Standardized Difference to Weight >60–≤80 kg | 1446 (11.0%) | Standardized Difference to Weight ≤60 kg |
| Female, n (%) | 5661 (43.2) | 1145 (87.4) | 0.83 | 2914 (52.4) | 1107 (25.5) | −0.57 | 323 (22.4) | −0.65 |
| Age, years mean ± SD median (Q1; Q3) <65 years 65–<75 years 75–<85 years ≥85 years | 73.6 ± 9.46 75 (68; 80) 1994 (15.2) 4456 (34.0) 5268 (40.2) 1372 (10.5) | 78.4 ± 8.64 79 (74; 84) 69 (5.3) 303 (23.1) 618 (47.2) 320 (24.4) | 0.33 | 75.6 ± 8.62 77 (71; 81) 537 (9.6) 1685 (30.3) 2590 (46.5) 753 (13.5) | 72.0 ± 9.02 73 (67; 79) 792 (18.2) 1707 (39.3) 1602 (36.9) 244 (5.6) | −0.41 | 66.6 ± 9.66 68 (60; 73) 541 (37.4) 601 (41.6) 289 (20.0) 14 (1.0) | −1.02 |
| Body weight, kg min, max mean ± SD median (Q1; Q3) ≤60 kg 60–<80 kg 80–<100 kg ≥100 kg | 38.0, 193.0 81.0 ± 17.29 80.0 (70.0; 90.0) 1310 (10.3) 5565 (43.9) 4346 (34.3) 1446 (11.4) | 38.0, 60.0 55.0 ± 4.64 56.0 (52.0; 59.0) 1310 (100.0%) 0 (0.0) 0 (0.0) 0 (0.0) | −2.41 | 61.0, 80.0 72.0 ± 5.59 72.0 (68.0; 77.0) 0 (0.0) 5565 (100.0) 0 (0.0) 0 (0.0) | 81.0, 100.0 89.3 ± 5.61 89.0 (85.0; 94.0) 0 (0.0) 0 (0.0) 4346 (100.0) 0 (0.0) | 2.11 | 101.0, 193.0 113.8 ± 13.26 110.0 (105.0; 119.0) 0 (0.0) 0 (0.0) 0 (0.0) 1446 (100.0) | 4.09 |
| BMI, kg/m2 min, max mean ± SD median (Q1; Q3) <18.5 kg/m2 18.5–<25 kg/m2 25–<30 kg/m2 30–<35 kg/m2 35–<40 kg/m2 ≥40 kg/m2 ≥30 kg/m2 | 13.8, 68.6 28.1 ± 5.11 27.3 (24.7; 30.7) 115 (0.9) 3341 (26.7) 5377 (42.9) 2544 (20.3) 792 (6.3) 352 (2.8) 3688 (29.5) | 13.8, 28.5 21.8 ±2.33 21.8 (20.2;23.4) 110 (8.5) 1066 (82.7) 113 (8.8) 0 (0.0) 0 (0.0) 0 (0.0) 0 (0.0) | −1.61 | 15.0, 39.4 26.0 ± 2.72 25.7 (24.2; 27.6) 5 (0.1) 2083 (37.8) 2934 (53.3) 459 (8.3) 24 (0.4) 0 (0.0) 483 (8.8) | 21.0, 46.3 29.8 ± 3.34 29.4 (27.5;31.6) 0 (0.0) 191 (4.4) 2249 (52.3) 1519 (35.3) 304 (7.1) 36 (0.8) 1859 (43.2) | 1.27 | 24.0, 68.6 36.6 ± 5.35 35.5 (33.0; 39.4) 0 (0.0) 1 (0.1) 81 (5.7) 566 (39.6) 464 (32.5) 316 (22.1) 1346 (94.3) | 3.08 |
| CrCl (recalc.), mL/min, mean ± SD median (Q1;Q3) | 74.3 ± 30.42 69.8 (53.0; 89.6) | 48.7 ± 17.26 47.0 (36.8; 58.7) | −0.77 | 64.1 ± 20.47 62.6 (49.3; 76.4) | 82.2 ± 25.54 80.6 (64.4; 97.7) | 0.79 | 115.0 ± 38.26 110.3 (88.0; 137.0) | 2.03 |
| CHADS2 (recalc.) mean ± SD median (Q1;Q3) | 1.7 ± 1.07 2 (1; 2) | 1.9 ± 1.09 2 (1; 2) | 0.08 | 1.8 ± 1.08 2 (1; 2) | 1.7 ± 1.07 2 (1; 2) | −0.09 | 1.6 ± 0.95 1 (1; 2) | −0.22 |
| CHA2DS2-VASc (recalc.) mean ± SD median (Q1;Q3) 0 1 2 3 ≥4 | 3.1 ± 1.40 3 (2; 4) 290 (2.2) 1324 (10.1) 2802 (21.4) 3768 (28.8) 4908 (37.5) | 3.8 ± 1.26 4 (3; 4) 2 (0.2) 29 (2.2) 149 (11.4) 356 (27.2) 774 (59.1) | 0.37 | 3.3 ± 1.36 3 (2; 4) 91 (1.6) 378 (6.8) 1047 (18.8) 1638 (29.4) 2411 (43.3) | 2.9 ± 1.37 3 (2; 4) 119 (2.7) 574 (13.2) 1101 (25.3) 1270 (29.2) 1282 (29.5) | −0.33 | 2.5 ± 1.30 2 (2; 3) 62 (4.3) 283 (19.6) 413 (28.6) 387 (26.8) 301 (20.8) | −0.60 |
| mod. HAS-BLED (recalc.) mean ± SD median (Q1; Q3) <3 ≥3 | 2.5 ± 1.10 2 (2;3) 6711 (51.3) 6381 (48.7) | 2.6 ± 1.05 3 (2;3) 648 (49.5) 662 (50.5) | 0.02 | 2.6 ± 1.09 3 (2;3) 2748 (49.4) 2817 (50.6) | 2.5 ± 1.12 3 (2;3) 2164 (49.8) 2182 (50.2) | −0.03 | 2.3 ± 1.09 2 (2;3) 856 (59.2) 590 (40.8) | −0.24 |
| Frailty *, n (%) | ||||||||
| Yes | 1392 (10.6) | 341 (26.0) | 0.37 | 663 (11.9) | 293 (6.7) | −0.18 | 66 (4.6) | −0.27 |
| No | 10,820 (82.7) | 878 (67.0) | −0.34 | 4554 (81.8) | 3778 (87.0) | 0.14 | 1270 (87.9) | 0.17 |
| Not known | 878 (6.7) | 91 (6.9) | 0.03 | 348 (6.3) | 274 (6.3) | 0.002 | 109 (7.5) | 0.05 |
| Medical history, n (%) | ||||||||
| Hypertension | 10,088 (77.1) | 940 (71.8) | −0.10 | 4230 (76.0) | 3443 (79.2) | 0.08 | 1206 (83.4) | 0.18 |
| Diabetes | 2879 (22.0) | 199 (15.2) | −0.09 | 1041 (18.7) | 1080 (24.9) | 0.15 | 487 (33.7) | 0.35 |
| Dys-/hyperlipidaemia | 5626 (43.0) | 487 (37.2) | −0.12 | 2401 (43.1) | 1980 (45.6) | 0.05 | 610 (42.2) | −0.02 |
| Coronary heart disease | 2738 (20.9) | 220 (16.8) | −0.09 | 1123 (20.2) | 1031 (23.7) | 0.09 | 308 (21.3) | 0.03 |
| Peripheral artery disease | 437 (3.3) | 44 (3.4) | 0.0009 | 186 (3.3) | 152 (3.5) | 0.009 | 46 (3.2) | −0.009 |
| Congestive heart failure | 1850 (14.2) | 189 (14.4) | 0.0006 | 801 (14.4) | 601 (13.9) | −0.003 | 225 (15.6) | 0.06 |
| Myocardial infarction | 560 (4.3) | 57 (4.4) | 0.02 | 223 (4.0) | 211 (4.9) | 0.04 | 57 (3.9) | −0.003 |
| TIA | 448 (3.4) | 52 (4.0) | 0.02 | 202 (3.6) | 136 (3.1) | −0.03 | 34 (2.4) | −0.08 |
| History of stroke & ICH, n (%) | ||||||||
| Ischaemic stroke | 778 (5.9) | 102 (7.8) | 0.06 | 350 (6.3) | 237 (5.5) | −0.04 | 48 (3.3) | −0.14 |
| Intracranial haemorrhage | 62 (0.5) | 8 (0.6) | 0.02 | 26 (0.5) | 22 (0.5) | 0.006 | 4 (0.3) | −0.03 |
| History of bleeding, n (%) | 424 (3.2) | 59 (4.5) | 0.07 | 178 (3.2) | 133 (3.1) | −0.008 | 44 (3.0) | −0.009 |
| Major | 129 (1.0) | 23 (1.8) | 0.07 | 51 (0.9) | 39 (0.9) | −0.002 | 13 (0.9) | −0.002 |
| Major or CRNM | 270 (2.1) | 44 (3.4) | 0.08 | 114 (2.0) | 77 (1.8) | −0.02 | 29 (2.0) | −0.003 |
| Current AF type, n (%) | ||||||||
| Paroxysmal | 7039 (53.9) | 754 (57.7) | 0.05 | 3062 (55.1) | 2233 (51.4) | −0.07 | 713 (49.4) | −0.11 |
| Persistent | 3159 (24.2) | 263 (20.1) | −0.06 | 1243 (22.4) | 1160 (26.7) | 0.10 | 424 (29.4) | 0.16 |
| Long-standing persistent & Permanent | 2864 (21.9) | 289 (22.1) | −0.009 | 1248 (22.5) | 948 (21.8) | −0.01 | 305 (21.2) | −0.03 |
| Patients fulfilling ≥1 dose adjustment criteria,† n (%) | 3106 (23.7) | 1310 (100.0) | 2.50 | 1352 (24.3) | 408 (9.4) | −0.41 | 35 (2.4) | −0.68 |
| Edoxaban dose at baseline, n (%) 60 mg 30 mg | 9991 (76.3) 3101 (23.7) | 488 (37.3) 822 (62.7) | −0.85 0.85 | 4238 (76.2) 1327 (23.8) | 3637 (83.7) 709 (16.3) | 0.19 −0.19 | 1278 (88.4) 168 (11.6) | 0.32 −0.32 |
Publisher’s Note: MDPI stays neutral with regard to jurisdictional claims in published maps and institutional affiliations. |
© 2021 by the authors. Licensee MDPI, Basel, Switzerland. This article is an open access article distributed under the terms and conditions of the Creative Commons Attribution (CC BY) license (https://creativecommons.org/licenses/by/4.0/).
Share and Cite
Boriani, G.; De Caterina, R.; Manu, M.C.; Souza, J.; Pecen, L.; Kirchhof, P. Impact of Weight on Clinical Outcomes of Edoxaban Therapy in Atrial Fibrillation Patients Included in the ETNA-AF-Europe Registry. J. Clin. Med. 2021, 10, 2879. https://doi.org/10.3390/jcm10132879
Boriani G, De Caterina R, Manu MC, Souza J, Pecen L, Kirchhof P. Impact of Weight on Clinical Outcomes of Edoxaban Therapy in Atrial Fibrillation Patients Included in the ETNA-AF-Europe Registry. Journal of Clinical Medicine. 2021; 10(13):2879. https://doi.org/10.3390/jcm10132879
Chicago/Turabian StyleBoriani, Giuseppe, Raffaele De Caterina, Marius Constantin Manu, José Souza, Ladislav Pecen, and Paulus Kirchhof. 2021. "Impact of Weight on Clinical Outcomes of Edoxaban Therapy in Atrial Fibrillation Patients Included in the ETNA-AF-Europe Registry" Journal of Clinical Medicine 10, no. 13: 2879. https://doi.org/10.3390/jcm10132879
APA StyleBoriani, G., De Caterina, R., Manu, M. C., Souza, J., Pecen, L., & Kirchhof, P. (2021). Impact of Weight on Clinical Outcomes of Edoxaban Therapy in Atrial Fibrillation Patients Included in the ETNA-AF-Europe Registry. Journal of Clinical Medicine, 10(13), 2879. https://doi.org/10.3390/jcm10132879

