Membrane Technologies for Lactic Acid Separation from Fermentation Broths Derived from Renewable Resources
Abstract
1. Introduction
2. Materials and Methods
2.1. Microorganisms
2.2. Substrate Preparation
2.3. Pilot Scale Fermentations
2.4. Membranes and Experimental Procedures
2.5. Calculations
2.6. Analytical Methods
3. Results and Discussion
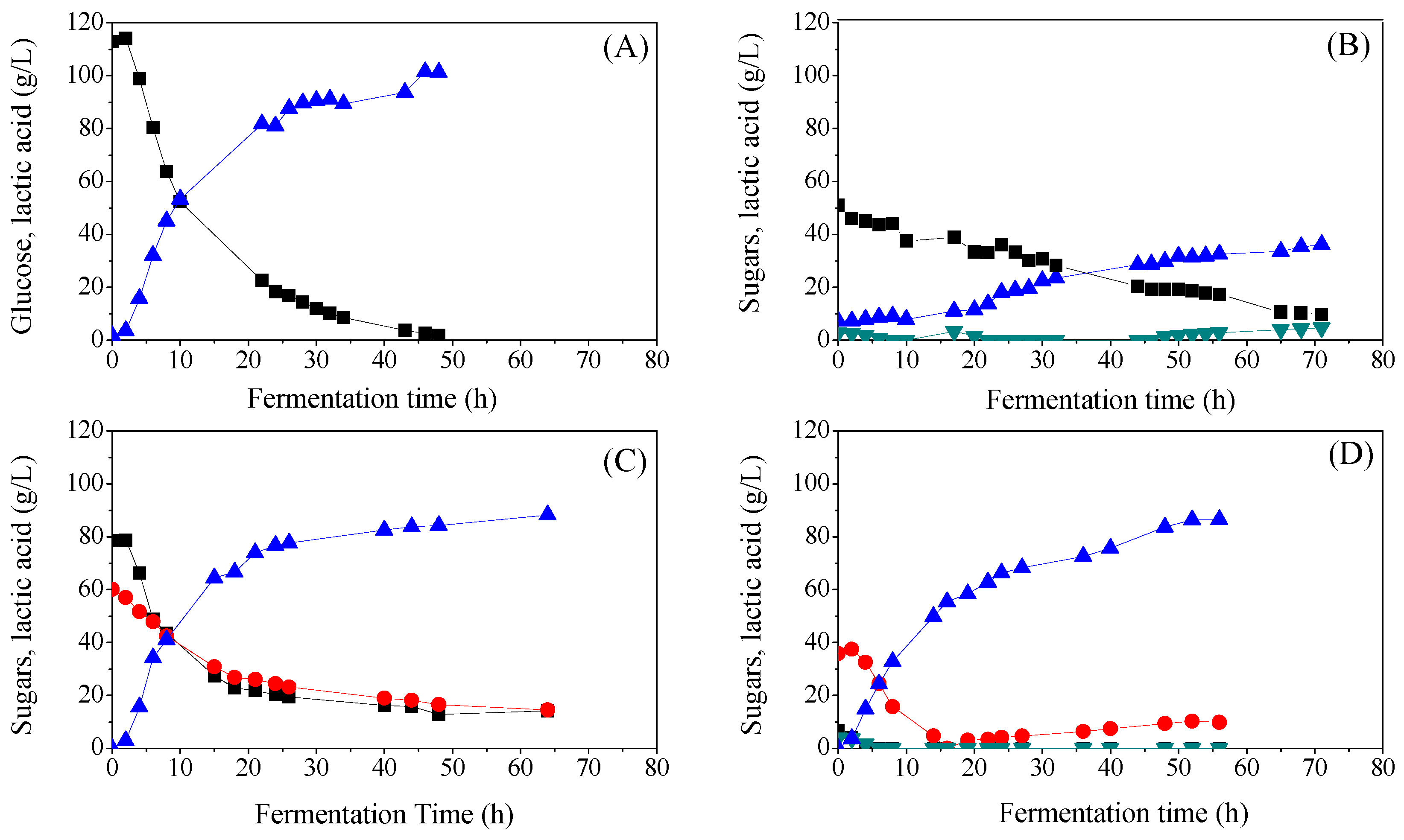
3.1. Fermentation
3.2. Microfiltration
3.3. Nanofiltration
3.3.1. Permeate Flux of the Different Substrates
3.3.2. Rejection of Sugars, Lactic Acid and Metal Ions
4. Conclusions
Author Contributions
Funding
Conflicts of Interest
References
- Alves de Oliveira, R.; Komesu, A.; Vaz Rossell, C.E.; Maciel Filho, R. Challenges and opportunities in lactic acid bioprocess design—From economic to production aspects. Biochem. Eng. J. 2018, 133, 219–239. [Google Scholar] [CrossRef]
- E4tech. From the Sugar Platform to biofuels and biochemicals. Final Report for the European Commission Directorate-General Energy. Available online: https://ec.europa.eu/energy/sites/ener/files/documents/EC%20Sugar%20Platform%20final%20report.pdf (accessed on 9 October 2018).
- Demichelis, F.; Pleissner, D.; Fiore, S.; Mariano, S.; Michelle, I.; Gutiérrez, N.; Schneider, R.; Venus, J. Investigation of food waste valorization through sequential lactic acid fermentative production and anaerobic digestion of fermentation residues. Bioresour. Technol. 2017, 241, 508–516. [Google Scholar] [CrossRef] [PubMed]
- Pleissner, D.; Demichelis, F.; Mariano, S.; Fiore, S.; Schneider, R.; Venus, J.; Michelle, I.; Guti, N. Direct Production of Lactic Acid Based on Simultaneous Saccharification and Fermentation of Mixed Restaurant Food Waste. 2017. Available online: https://www.sciencedirect.com/science/article/pii/S0959652616321266 (accessed on 9 October 2018).
- Kwan, T.H.; Vlysidis, A.; Wu, Z.; Hu, Y.; Koutinas, A.; Lin, C.S.K. Lactic acid fermentation modelling of Streptococcus thermophilus YI-B1 and Lactobacillus casei Shirota using food waste derived media. Biochem. Eng. J. 2017, 127, 97–109. [Google Scholar] [CrossRef]
- Yang, X.; Zhu, M.; Huang, X.; Lin, C.S.K.; Wang, J.; Li, S. Valorisation of mixed bakery waste in non-sterilized fermentation for l-lactic acid production by an evolved Thermoanaerobacterium sp. strain. Bioresour. Technol. 2015, 198, 47–54. [Google Scholar] [CrossRef] [PubMed]
- Pleissner, D.; Neu, A.K.; Mehlmann, K.; Schneider, R.; Puerta-Quintero, G.I.; Venus, J. Fermentative lactic acid production from coffee pulp hydrolysate using Bacillus coagulans at laboratory and pilot scales. Bioresour. Technol. 2016, 218, 167–173. [Google Scholar] [CrossRef] [PubMed]
- Neu, A.K.; Pleissner, D.; Mehlmann, K.; Schneider, R.; Puerta-Quintero, G.I.; Venus, J. Fermentative utilization of coffee mucilage using Bacillus coagulans and investigation of down-stream processing of fermentation broth for optically pure l(+)-lactic acid production. Bioresour. Technol. 2016, 211, 398–405. [Google Scholar] [CrossRef] [PubMed]
- Pleissner, D.; Lau, Y.; Zhang, C.; Sze, C.; Lin, K. Plasticizer and Surfactant Formation from Food-Waste- and Algal Biomass-Derived Lipids. ChemSusChem 2015, 8, 1686–1691. [Google Scholar] [CrossRef] [PubMed]
- Kuo, Y.C.; Yuan, S.F.; Wang, C.A.; Huang, Y.J.; Guo, G.L.; Hwang, W.S. Production of optically pure l-lactic acid from lignocellulosic hydrolysate by using a newly isolated and d-lactate dehydrogenase gene-deficient Lactobacillus paracasei strain. Bioresour. Technol. 2015, 198, 651–657. [Google Scholar] [CrossRef] [PubMed]
- Thuy, N.T.H.; Boontawan, A. Production of very-high purity succinic acid from fermentation broth using microfiltration and nanofiltration-assisted crystallization. J. Membr. Sci. 2017, 524, 470–481. [Google Scholar] [CrossRef]
- Davey, C.J.; Leak, D.; Patterson, D.A. Hybrid and mixed matrix membranes for separations from fermentations. Membranes 2016, 6, 17. [Google Scholar] [CrossRef] [PubMed]
- Zaman, N.K.; Law, J.Y.; Chai, P.V.; Rohani, R.; Mohammad, A.W. Recovery of Organic Acids from Fermentation Broth Using Nanofiltration Technologies: A Review. J. Phys. Sci. 2017, 28, 85–109. [Google Scholar] [CrossRef]
- Karp, S.G.; Igashiyama, A.H.; Siqueira, P.F.; Carvalho, J.C.; Vandenberghe, L.P.S.; Thomaz-Soccol, V.; Coral, J.; Tholozan, J.L.; Pandey, A.; Soccol, C.R. Application of the biorefinery concept to produce l-lactic acid from the soybean vinasse at laboratory and pilot scale. Bioresour. Technol. 2011, 102, 1765–1772. [Google Scholar] [CrossRef] [PubMed]
- Lu, Z.; Wei, M.; Yu, L. Enhancement of pilot scale production of l(+)-lactic acid by fermentation coupled with separation using membrane bioreactor. Process Biochem. 2012, 47, 410–415. [Google Scholar] [CrossRef]
- Fan, R.; Ebrahimi, M.; Czermak, P. Anaerobic membrane bioreactor for continuous lactic acid fermentation. Membranes 2017, 7, 26. [Google Scholar] [CrossRef] [PubMed]
- Polom, E. The fouling of zirconium(IV) hydrous oxide-polyacrylate dynamically formed membranes during the nanofiltration of lactic acid solutions. Membranes 2013, 3, 415–423. [Google Scholar] [CrossRef] [PubMed]
- Dey, P.; Linnanen, L.; Pal, P. Separation of lactic acid from fermentation broth by cross flow nanofiltration: Membrane characterization and transport modelling. Desalination 2012, 288, 47–57. [Google Scholar] [CrossRef]
- Bouchoux, A.; Roux-de Balmann, H.; Lutin, F. Investigation of nanofiltration as a purification step for lactic acid production processes based on conventional and bipolar electrodialysis operations. Sep. Purif. Technol. 2006, 52, 266–273. [Google Scholar] [CrossRef]
- Kang, S.H.; Chang, Y.K.; Chang, H.N. Recovery of ammonium lactate and removal of hardness from fermentation broth by nanofiltration. Biotechnol. Prog. 2004, 20, 764–770. [Google Scholar] [CrossRef] [PubMed]
- Goulas, A.K.; Kapasakalidis, P.G.; Sinclair, H.R.; Rastall, R.A.; Grandison, A.S. Purification of oligosaccharides by nanofiltration. J. Membr. Sci. 2002, 209, 321–335. [Google Scholar] [CrossRef]
- Tsuru, T.; Izumi, S.; Yoshioka, T.; Asaeda, M. Temperature effect on transport performance by inorganic nanofiltration membranes. AIChE J. 2000, 46, 565–574. [Google Scholar] [CrossRef]
- Pontalier, P.; Ismail, A.; Ghoul, M. Mechanism for the selective rejection of solutes in nanofiltration membranes. Sep. Purif. Technol. 1997, 12, 175–181. [Google Scholar] [CrossRef]
- Li, Y.; Shahbazi, A. Lactic Acid Recovery from Cheese Whey Fermentation Broth Using Combined Ultrafiltration and Nanofiltration Membranes. Appl. Biochem. Biotechnol. 2006, 129, 985–996. [Google Scholar] [CrossRef]
- Sikder, J.; Chakraborty, S.; Pal, P.; Drioli, E.; Bhattacharjee, C. Purification of lactic acid from microfiltrate fermentation broth by cross-flow nanofiltration. Biochem. Eng. J. 2012, 69, 130–137. [Google Scholar] [CrossRef]
- Peeters, J.M.M.; Boom, J.P.; Mulder, M.H.V.; Strathmann, H. Retention measurements of nanofiltration membranes with electrolyte solutions. J. Membr. Sci. 1998, 145, 199–209. [Google Scholar] [CrossRef]
- Childress, A.E.; Elimelech, M. Effect of solution chemistry on the surface charge of polymeric reverse osmosis and nanofiltration membranes. J. Membr. Sci. 1996, 119, 253–268. [Google Scholar] [CrossRef]
- Mänttäri, M.; Lahti, J.; Hatakka, H.; Louhi-Kultanen, M.; Kallioinen, M. Separation phenomena in UF and NF in the recovery of organic acids from kraft black liquor. J. Membr. Sci. 2015, 490, 84–91. [Google Scholar] [CrossRef]




| Microfiltration | Nanofiltration | ||||||||
|---|---|---|---|---|---|---|---|---|---|
| Substrate | End of Fermentation | After Inactivation | Permeate | Retentate | Losses | Volume Processed | Permeate | Retentate | Water Addition |
| defined medium | 878 | 941 | 910 | 31 | 0 | 103.5 | 105 | 8.1 | 10 |
| acid whey | 320 | 349 | 327 | 22 | 0 | 296.8 | 293.5 | 33 | 30 |
| sugar bread | 735 | 788 | 705 | 67 | 16 | 705 | 718.6 | 53 | 72 |
| crust bread | 730 | 784 | 640 | 119 | 25 | 640 | 637.5 | 60.9 | 60 |
| Substrate | Glucose (g/L) | Disaccharide (g/L) | Fru/Xyl/Gal (g/L) | Lactic Acid (g/L) | Monovalent Ions (mg/L) | Divalent Ions (mg/L) |
|---|---|---|---|---|---|---|
| Defined medium | 1.26 | n.d. | n.d. | 90.4 | 27,083.6 | 201.0 |
| Acid whey | n.d. | 8.9 | 4.2 | 33.0 | 36,657.0 | 1839.0 |
| Sugar Bread | 10.0 | 13.0 | n.d. | 77.0 | 21,207.4 | 264.4 |
| Crust Bread | n.d. | 10.0 | n.d. | 76.0 | 20,151.0 | 402.0 |
| Substrate | Vin (L) | Time (min) | VR (%) | Javer (L/m2/h) | Sugar Rejection (%) | Lactic Acid Losses (%)* |
|---|---|---|---|---|---|---|
| Defined medium | 941 | 34 | 3.3 | 263.3 | 1.6 | 3.2 |
| Acid whey | 349 | 23 | 11.2 | 143.7 | 0 | 0 |
| Sugar bread | 788 | 39 | 10.5 | 166.4 | 15.4 | 17.5 |
| Crust bread | 784 | 83 | 18.4 | 103.8 | 21.6 | 21.5 |
| Substrate | Total Sugars | Glucose | Disaccharide | Fructose/Galactose | Lactic Acid | Total N | Total P | Cl− | SO42− | Na+ | K+ | Mg2+ | Ca2+ |
|---|---|---|---|---|---|---|---|---|---|---|---|---|---|
| Defined medium | 18.5 | 18.5 | - | - | 12.5 | 51.0 | 89.5 | 25.6 | 84 | 24.0 | 21.7 | 82.8 | 64.5 |
| Acid whey | 61.1 | - | 82.0 | 16.7 | 10.0 | 39.9 | 55.8 | 1.8 | 88.4 | 13.5 | 14.2 | 75.4 | 68.8 |
| Sugar bread | 63.0 | 23.6 | 89.4 | 100.0 | 2.5 | 59.7 | 67.1 | 6.1 | 71.4 | 24.9 | 25.2 | 75.2 | 61.7 |
| Crust bread | 100.0 | - | 100.0 | - | 22.4 | 77.5 | 98.8 | 1.2 | 68.8 | 16.6 | 26.5 | 98.9 | 96.6 |
| Substrate | Total Sugars | Lactic Acid | Total N | Total P | Cl− | SO42− | Na+ | K+ | Mg2+ | Ca2+ | LA Purity before NF | LA Purity after NF |
|---|---|---|---|---|---|---|---|---|---|---|---|---|
| Defined medium | 1.0 | 76.6 | 0.4 | 0.1 | 0.03 | 0.02 | 20.2 | 0.3 | 0.004 | 0.02 | 74.9 | 77.6 |
| Acid whey | 5.1 | 29.7 | 1.4 | 3.7 | 9.3 | 0.1 | 14.0 | 7.0 | 0.1 | 0.05 | 39.0 | 44.2 |
| Sugar bread | 8.4 | 69.2 | 0.4 | 0.7 | 0.4 | 0.1 | 18.2 | 0.4 | 0.03 | 0.09 | 62.2 | 70.7 |
| Crust bread | 0 | 52.2 | 0.3 | 0.01 | 1.4 | 0.03 | 14.5 | 0.3 | traces | traces | 68.7 | 75.9 |
© 2018 by the authors. Licensee MDPI, Basel, Switzerland. This article is an open access article distributed under the terms and conditions of the Creative Commons Attribution (CC BY) license (http://creativecommons.org/licenses/by/4.0/).
Share and Cite
Alexandri, M.; Schneider, R.; Venus, J. Membrane Technologies for Lactic Acid Separation from Fermentation Broths Derived from Renewable Resources. Membranes 2018, 8, 94. https://doi.org/10.3390/membranes8040094
Alexandri M, Schneider R, Venus J. Membrane Technologies for Lactic Acid Separation from Fermentation Broths Derived from Renewable Resources. Membranes. 2018; 8(4):94. https://doi.org/10.3390/membranes8040094
Chicago/Turabian StyleAlexandri, Maria, Roland Schneider, and Joachim Venus. 2018. "Membrane Technologies for Lactic Acid Separation from Fermentation Broths Derived from Renewable Resources" Membranes 8, no. 4: 94. https://doi.org/10.3390/membranes8040094
APA StyleAlexandri, M., Schneider, R., & Venus, J. (2018). Membrane Technologies for Lactic Acid Separation from Fermentation Broths Derived from Renewable Resources. Membranes, 8(4), 94. https://doi.org/10.3390/membranes8040094

