Next Article in Journal
Bibliometric and Visual Analysis of Studies on Ceramic Membranes: A Review
Previous Article in Journal
The Performance and Spatial Distribution of Membrane Fouling in a Sequencing Batch Ceramic Membrane Bioreactor: A Pilot Study for Swine Wastewater Treatment
 
 
Font Type:
Arial Georgia Verdana
Font Size:
Aa Aa Aa
Line Spacing:
Column Width:
Background:
Article

On the Maximum Obtainable Purity and Resultant Maximum Useful Membrane Selectivity of a Membrane Separator

Research Institute of Chemical Process Technology, National Institute of Advanced Industrial Science and Technology (AIST), 4-2-1 Nigatake, Miyagino-ku, Sendai 983-8551, Japan
*
Author to whom correspondence should be addressed.
Membranes 2024, 14(6), 143; https://doi.org/10.3390/membranes14060143
Submission received: 20 May 2024 / Revised: 14 June 2024 / Accepted: 17 June 2024 / Published: 19 June 2024
(This article belongs to the Section Membrane Applications)

Abstract

Design considerations concerning the maximum purity of a membrane separator, and the resultant maximum effective selectivity of the membranes were explored by modeling a binary gas membrane separator (pressure-driven permeance) using a dimensionless form. Although the maximum purity has an analytical solution at the limit of zero recovery or stage cut, this solution over-predicts the obtained purity as the recovery is increased. Furthermore, at combinations of high recovery, low feed mole fraction, and low pressure ratio, the maximum purity becomes independent of selectivity above some critical selectivity. As a consequence of this purity limitation, a maximum selectivity is defined at which further increases in selectivity will result in less than a 1% change in the final purity. An equation is obtained that specifies the region in which a limiting purity is less than unity (indicating the existence of a limiting selectivity); operating at less than the limiting pressure ratio results in a purity limitation less than unity. This regime becomes larger and more significant as the inlet mole fraction decreases (e.g., inlet feed mole fraction of 10% and pressure ratio of 100 results in a maximum useful membrane selectivity of only 130 at 95% recovery). These results suggest that membrane research should focus on increasing permeance rather than selectivity for low-concentration separations. The results found herein can be used to set benchmarks for membrane development in various gas separation applications.

Graphical Abstract

1. Introduction

Gas separations represent a growing market segment, with several potential applications including carbon capture [1,2], hydrogen purification [3], and chemical upgrading [4]. Compared to pressure-swing adsorption or cryogenic distillation, membrane separators do not require the energy-intensive processes of pressure or thermal cycling. However, historically, membranes have suffered from low selectivity or low permeance that has prevented them from being economically viable for the large number of potential applications available [5]. Yet, as membrane technologies improve, so do the economics [6]. This has resulted in an increased interest in membrane separations in the research community, with a wide range of target separations and numerous techno-economic assessments being published.
Potential gas separations span a wide range, including the most common applications of hydrogen generation, air purification, and CO2 capture. With these applications, a range of potential feed gas compositions is possible, with concentrations as high as 75% for hydrogen production from ammonia [7], to as low as ca. 400 ppm for direct air capture of CO2 [8]. Additionally, a large number of potential separations sit within a moderate concentration range, including O2 purification from air (20%) [9], and CO2 separation from industrial flue gases (typically 5–30%) [10,11]. Thus, any modeling study analyzing the separation of membranes from a general perspective must span a wide range of inlet concentrations. Although most studies focus on a small number of applications and thus limit the feed conditions to within a limited range.
The primary challenges in modeling membrane separators include the presence of concentration polarization and non-ideal gas behavior. Concentration polarization is the phenomenon of reduced concentration near the membrane surface that results in reduced effective permeance due to non-idealities arising from the convective and diffusive transport. Several modeling studies have explored these effects, with the requirement of a 2D or 3D geometry to model the diffusion effects perpendicular to the convective flow [12,13,14]. Concentration polarization is increasingly significant at higher permeances, but some techniques can reduce the effects. Feed spacers or baffles aid in gas mixing within the membrane module [15,16,17,18], showing that some of the non-ideal geometry issues can be solved by optimizing the design of the separator itself. In the case of propylene/propane separation, it has been shown that modified equations of state were necessary to correctly calculate gas properties and accurately model the membrane separator [19]. Nevertheless, a large number of studies have shown that simplified 1D models with ideal gas assumptions can accurately model some gas separations [1,9,10], making them efficient for techno-economic studies and surveys of large variable spaces due to the low computational power required. Two recent reviews by Kancherla et al. [20] and Foo et al. [21] on the topic of membrane separator modeling provide thorough overviews of the aforementioned topics.
Optimization of a membrane separator can involve either direct operational parameters, typically purity and recovery, or cost targets, such as total membrane area and compression costs. Due to limitations with purity and recovery in single-stage separators, techno-economic assessments rely on multi-stage separators with recycle loop configurations to obtain the cheapest potential membrane separations [1,22,23,24,25,26]. Amongst these studies, several techno-economic designs suggest operating at pressure ratios of less than 50 [25,26,27,28,29]. However, low pressure ratios combined with high recovery targets can lead to limitations in the obtainable purity. Previously, Kaldis et al. [30] observed a notable lack of purity or recovery increase with increasing membrane selectivity when a membrane separator was modeled at a pressure ratio of 20. Similarly, a fractionally decreasing cost reduction was reported for increasing selectivity above ca. 30 by Ahmad et al. [23]. However, neither study explored the limited purity in detail. Huang et al. [31] introduced the concept of a pressure-ratio-limited regime, in which operating below a limiting feed concentration results in the purity being limited by the pressure ratio. Yet, while this study offered insight into the maximum purity trends, it did not provide any equations for predicting the pressure-ratio-limited regime without modeling each condition explicitly. In the current work, a membrane separator model is used to explore the parameter space of operation across a much wider range than previously reported, with an emphasis on the purity limitations of membrane separators and the resultant useful membrane selectivity targets.

2. Materials and Methods

2.1. Model Assumptions

A simplified membrane-based gas separator model has been employed with the following assumptions: (1) steady-state operation; (2) isothermal operation; (3) isobaric operation; (4) negligible dispersion (diffusion) effects; and (5) constant permeance and selectivity.
For continuous membrane separation processes, a system can be assumed to be running at a steady state such that no time dependencies remain. Because the permeation process involves negligible energy changes (e.g., adsorption/desorption), an isothermal assumption is valid. The isobaric assumption is valid for larger geometry membranes such as supported silica or zeolite membranes on porous supports with radii greater than ca. 5 mm but is less valid for spiral-wound or densely-packed hollow fiber polymer membrane modules. Conversely, the negligible dispersion assumption is more valid for spiral-wound or hollow fiber modules and less valid for larger supported membrane modules due to the increased radial distance of supported membrane tubes. In both cases, the assumptions imply an idealized system, with decreases in performance expected in real systems. However, techno-economic assessments commonly employ a simple 1D approach with isobaric conditions to obtain approximate notions of the economic feasibility of a membrane process [22,26]. Lastly, the use of constant permeance and selectivity means that adsorption-induced permeance inhibitions or time-dependent degradations in the membrane structure are ignored. The effects of permeance-inhibitions can be ignored because the modeled permeance can be considered an effective permeance rather than the theoretical permeance of a specific material. The use of theoretical permeance would be applicable when optimizing a specific membrane system, but the goal is to obtain a generalized result that is independent of membrane selection so that the general trends of the membrane separator can be understood. Note, however, that this effective permeance does not include concentration polarization effects, which would require a 2D model to accurately interpret.

2.2. Membrane Geometry and Solving Environment

The geometry of the membrane separator is assumed to be a concentric shell-and-tube design with a membrane placed in the inner volume of an outer shell, the feed introduced on the shell side, and the permeate collected on the lumen side. For a single tube separator, this is shown schematically in Figure 1 with the required variables to define the system labeled and tabulated (Table 1). The geometry is defined by the membrane length, Lm [m], membrane radius, rm [m], and shell radius, rs [m]. The membrane properties include the permeance of species i, φi [mol m−2 s−1 Pa−1], and the ideal selectivity of species i vs. j, Sij. Lastly, the operational conditions include the feed temperature, T [K], the feed composition of each species i, xr,i,0, the total volumetric feed flow rate, V ˙ f [m3 s−1], the retentate pressure, Pr [Pa], the sweep composition of each species i, xp,i,0, the total volumetric sweep flow rate, V ˙ s [m3 s−1], and the permeate total pressure, Pp [Pa]. Although this system is for a single tube, the final model derivation allows for the comparison of differing geometries via normalization of the active permeable membrane area and total volume on the retentate side. As will be shown in the derivation, the dimensional analysis results in a grouping of terms for the geometry such that only the membrane area Am [m2] remains. Furthermore, although the model shows a co-current flow, the presence of the sweep is for model convergence only and the final results can be assumed to occur for systems with zero sweep flow.
This model has been developed in the finite element analysis software COMSOL Multiphysics® 6.1 (Burlington, MA, USA). The retentate and permeate transport equations were solved simultaneously using a parallel sparse direct solver (PARDISO) algorithm. A mesh consisting of 100 domain elements was used for the iterative solver and the solution was determined based on residual or error criteria below 10−6.

2.3. Model Equations

2.3.1. Dimensional Mass Balances and Variable Transformations

The governing steady-state transport equations with the aforementioned assumptions for the retentate and permeate streams of a 1D membrane separator model are as follows:
u r , z c r , i z = P m J i A r
u p , z c p , i z = P m J i A p
where uz [m s−1] is the velocity in the axial direction, ci [mol m−3] is the bulk concentration of species i, Ji [mol m−2 s−1] is the flux of species i through the membrane, Pm [m] is the circumference of the membrane, Ar [m2] is the cross-sectional area of the retentate, Ap [m2] is the cross-sectional area of the permeate, and the subscripts r and p denote the retentate and permeate sides, respectively. A negative flux is assigned to the retentate, and a positive flux is assigned to the permeate to balance the species leaving and entering each system, respectively. Within the COMSOL solving environment, the 1D model requires definitions for a physical system including all of the parameters listed except for rs.
The concentrations are related to mole fractions using the ideal gas relationship, as follows:
c r , i = x r , i P r R T
c p , i = x p , i P p R T
where R [J mol−1 K−1] is the universal gas constant and T [K] is the temperature. To simplify the model and reduce variable dependence, dimensionless variables were introduced. The axial length was reduced using the following:
ζ = z L m
where Lm [m] is the length of the membrane. The flow velocity was reduced with the following:
υ r , z = u r , z u r , z , 0
υ p , z = u p , z u p , z , 0
where ur,z,0 [m s−1] is the inlet velocity of the feed, and up,z,0 [m s−1] is the inlet velocity of the sweep. The feed and sweep velocities are converted to volumetric feed flow rates using the following:
u r , z , 0 = V ˙ f A r
u p , z , 0 = V ˙ s A p
where V ˙ f [m3 s−1] is the feed flow rate and V ˙ s [m3 s−1] is the sweep flow rate. The volumetric flow rates are converted to standard flow rates V ˙ f,STP, and V ˙ s,STP assuming ideal gas relationships, as follows:
V ˙ f = P 0 T T 0 P r V ˙ f , STP
V ˙ s = P 0 T T 0 P p V ˙ s , STP
where P0 is the standard pressure [100 kPa] and T0 is the standard temperature [273.15 K]. Lastly, permeance through the membrane, φi [mol m−2 s−1 Pa−1], is modeled as a pressure-driven flux gradient with the following:
φ i = J i x r , i P r x p , i P p
where xr,i is the local retentate mole fraction of species i, and xp,i is the local permeate mole fraction of species i. Relative permeances of differing species are related by the ideal selectivity of species i vs. j, Sij, using the following:
S i j = φ i φ j .
Combining the previous equations, substituting into the mass balances, and rearranging terms results in the following:
υ r , z x r , i ζ = R T 0 A m φ i P r V ˙ f , STP P 0 x r , i x p , i P p P r
υ p , z x p , i ζ = R T 0 A m φ i P r V ˙ s , STP P 0 x r , i x p , i P p P r
where Am [m2] is the membrane permeable area. Note that in this form the geometric terms for the tubular geometry have disappeared and only Am remains. From this, it is clear that any geometry (e.g., planar or tubular) can be used, as well as any multilayer or multitube system. As long as the separator acts as a single stage (i.e., a single feed, single retentate, and single permeate stream), only the effective total membrane surface area is required to model the system.

2.3.2. Dimensionless Transport Parameter and Reduced Pressure

From the dimensionless forms of the mass balances, two dimensionless parameters are observed. The first will be called a transport variable, θi, as follows:
θ i = V ˙ f , STP P 0 R T 0 A m φ i P r
which balances the feed flow rate on the numerator with the membrane permeance, membrane area, and retentate pressure on the denominator. The transport parameter is defined for each species i, but note that each θi is related to other species using Sij because the only difference in the definition is φi. Variants of this parameter have been used in other dimensionless approaches to membrane reactors [32], sometimes being referred to as a modified Pe number by [33]. The second relationship is the reduced pressure, ψ, as follows:
ψ = P r P p
where Pr is placed in the numerator such that, intuitively, as ψ increases, so does the permeation driving force in the membrane system. This definition, or its inverse, is used often in modeling studies to relate the retentate and permeate pressures of a membrane system.

2.3.3. Dimensionless Mass Balances

Upon replacement of terms in the mass balances with the dimensionless groups defined here, the final mass balances can be written as follows:
υ r , z x r , i ζ = ψ x r , i x p , i θ i ψ
υ r , z x r , j ζ = S i j ψ x r , i x p , i θ i ψ
υ p , z x p , i ζ = V ˙ f , STP V ˙ s , STP ψ x r , i x p , i θ i ψ
υ p , z x p , j ζ = V ˙ f , STP V ˙ s , STP S i j ψ x r , i x p , i θ i ψ
where the sweep side includes the ratio of feed to sweep flow rates at the inlet. Based on this definition, a zero sweep condition results in an unstable system so V ˙ s was set to be 0.001% of V ˙ f. For all conditions modeled, the sweep flow remained negligibly low at less than 0.1% of the permeated flow when the recovery was greater than 1%. The use of negligible permeate sweep flow means that the steady-state permeate concentrations will be constant along the length of the module. This causes the results to be identical whether the system is modeled as a co-current or counter-current configuration. Results discussed herein apply to systems with zero sweep flow such that the maximum potential permeate purity can be achieved. Due to the introduction of the reduced flow velocity parameter, the flow rate boundary conditions at the inlets are as follows:
υ r , z z = 0 = 1
υ p , z z = 0 = 1 .
The inlet concentrations of both retentate and permeate sides must be specified for n − 1 species, where n is the total number of species, as follows:
x r , i z = 0 = x r , i , 0
x p , i z = 0 = x p , i , 0 .
Because a negligible sweep flow is introduced the inlet permeate compositions do not affect the results, so the values were set arbitrarily to an equimolar concentration to prevent poor convergence of the model. In total, the model requires 2 dimensionless inputs (θi, ψ), n − 1 selectivities (Sij), and n − 1 inlet feed compositions (xr,i,0) to be defined, resulting in a total requirement of 2n input parameters to specify a 1D membrane separator (Table 2). To keep the number of variables reasonable, a binary gas mixture is assumed on the basis that tertiary-order gases can be classified as either low permeance (i.e., high Sij) or low feed concentration compared to the primary two gases. Thus, a system consisting only of gases i and j, and requiring 4 input criteria was used for further analysis.

2.3.4. Performance Criteria

The goal of this study is to elucidate the maximum separation capability of a membrane separator in terms of total flow productivity, recovery, and purity. Recovery of species i is defined as follows:
R i = n ˙ r , i , 0 n ˙ r , i , 1 n ˙ r , i , 0
where r,i,0 is the inlet molar flow rate of species i and r,i,1 is the outlet molar species of i in the retentate. Purity is defined as follows:
x p , i = n ˙ p , i n ˙ p
where p,i is the outlet molar flow rate of species i, and p is the total outlet molar flow rate. A maximum volumetric productivity can be acquired, for example, by setting targets for Ri or xp,i and obtaining the highest value of θi possible.

3. Results

3.1. Modified Pressure Ratio

In the derivations, the total pressure ratio (Pr/Pp) was used to define ψ, which is reasonable given its appearance in the mass balances. However, a simple ratio of pressures fails to account for the change in partial pressures of the system, particularly when the species of interest is at a low concentration in the inlet. Instead, a reduced pressure ratio, ψi, based on the permeance equation to balance the partial pressure gradient across the membrane is required, as follows:
ψ i = x r , i , 0 P r x p , i , 0 P p x r , i , 0 P r P p .
This ratio is a measure of the effective driving force for permeation at the separator inlet, as it uses the feed and sweep inlet concentrations (xr,i,0 and xp,i,0). At a value of unity the driving force for permeation of species i is zero so no separation occurs, and as ψi increases the driving force increases resulting in higher recovery. Because the sweep gas in this system is negligibly small to avoid issues with further purification, the value of xp,i,0 is not a known input. However, for conditions at which φiΔPi,0φjΔPj,0 the value of xs,i,0 converges on unity, which will be increasingly valid as Sij increases. Thus, a value of xp,i,0 = 1 is used for all conditions. Importantly, this decision does not affect the accuracy of the results as it only changes the input parameter calculations, not the model equations themselves. Previously, Huang et al. [31] discussed a similar modified pressure ratio.
The ability of the modified ψi term to normalize pressure driving force is illustrated in Figure 2 using a θi,offset value defined as follows:
θ i , o f f s e t = θ i R i = 0.98 , ψ i = 10 2 θ i R i = 0.98 , ψ i = 10 4 θ i R i = 0.98 , ψ i = 10 4 .
In this equation, the value of θi,offset is determined as a fractional difference between the θi obtained for 98% recovery at a ψi of 102 and 104. Equivalently, a θi,offset is also calculated using the unmodified ψ of 102 and 104 for comparison. The θi,offset was calculated at xr,i,0 of 0.10 and 0.70, and Sij of 10 and 500, and shown for both ψ and ψi in Figure 2. At higher xr,i,0 the θi,offset is low and similar for both ψ and ψi, which is reasonable as the value of ψ and ψi converge at a feed mole fraction of one. However, at xr,i,0 = 0.10 the θi,offset is significantly more negative when calculated using ψ, meaning that increasing the pressure ratio from 102 to 104 would result in a significant increase in the obtained θi (i.e., higher productivity with higher pressure gradient). The use of ψi compresses the change in θi with respect to xr,i,0 and Sij, and Figure S1 indicates that negligible change in Ri is expected above ψi of 103 for any condition tested (xr,i,0 > 0.10 and Sij < 500).

3.2. Absolute Maximum Permeate Purity

The absolute maximum purity of the membrane separator is obtained as an analytical solution for the limiting case in which the recovery (stage cut) goes to zero [19], given as follows:
x p , i , max = x p , i lim R i 0 = ψ 2 x r , i , 0 + 1 ψ + 1 S i j 1 x r , i , 0 + 1 ψ + 1 S i j 1 2 4 S i j x r , i , 0 ψ S i j 1
which requires xr,i,0, Sij, and ψ to be defined. The maximum purity, xp,i,max, is shown for Sij vs. xr,i,0 at a ψi of 102 in Figure 3a. Both Sij and xr,i,0 strongly influence xp,i,max, with the xp,i,max converging on xr,i,0 as Sij decreases to unity. Sij = 1 implies the membrane is unselective and all species transport equally, so the purity is equal to the input concentration. Generally, xp,i,max increases as either xr,i,0 or Sij increases. Next, xp,i,max is shown for Sij vs. ψi at xr,i,0 of 0.10 in Figure 3b, wherein the majority of change with ψi occurs for ψi < 10. Above ψi = 10, the maximum purity becomes asymptotic with little change in the range of Sij explored. However, note that the change in xp,i,max, with respect to ψi, increases as Sij increases, indicating a substantially high Sij would require an increased ψi to stabilize (i.e., ψi > 102 at Sij > 104).

3.3. The Effect of Recovery on the Maximum Purity

The issue with the analytical solution, with regard to maximum purity, is that it only applies at Ri = 0. To understand the effects of increasing recovery on the maximum attainable purity, first consider the effects of θi and ψi on Ri (Figure 4a) and xp,i (Figure 4b). Although increasing ψi results in an asymptotic Ri and xp,i, the contour lines arise from opposite ends of the θi scale, which means the maximum xp,i at a specified Ri occurs at the highest ψi possible. As before, the majority of change occurs for ψi < 102, so a value of ψi = 102 will be chosen as a reasonable maximum operating condition. Note that, as previously mentioned and shown in ESI Figure S1, the selection of ψi = 102 is reasonable across a wide range of xr,i,0, and Sij. Furthermore, it is important to realize that real systems will not likely operate at ψi > 102, but the choice of pressure ratio is driven by the desire to obtain an estimate of the maximum potential purity. Any decrease in pressure ratio driven by economic arguments will result in a lower obtained purity, which is the reason this result may be considered the maximum obtainable purity of a single-stage separator.
Using ψi = 102 as the pressure ratio, the effects of Sij and Ri on the maximum purity are shown for xr,i,0 of 0.10 (Figure 5a) and 0.90 (Figure 5c). Here, the maximum purity was obtained using simulated data by optimizing θi until the target Ri was achieved for each combination of Sij, xr,i,0, and ψi. As Ri increases, xp,i slightly decrease for a specified Sij. Furthermore, the contour lines show that while the absolute xp,i changes with xr,i,0, the overall trends of constant xp,i remain similar. To illustrate this effect in detail, the Sij at a specified Ri was compared to the analytical solution Sij as Ri goes to zero (Sij,min), and shown as surface plots in Figure 5b,d. This information can be useful in predicting the minimum selectivity of a separation given a target Ri and xp,i using the relationship
S i j S i j , min = S i j x p , i , R i S i j x p , i , R i = 0 .

3.4. Estimating the Minimum Selectivity for a Desired Purity and Recovery

Although the analytical result of Equation (30) can be solved to obtain a selectivity target for a desired purity, the change with recovery is not considered. Using the relationship in Equation (31) and data from Figure 5, an improved estimate for the minimum selectivity can be obtained via the following:
  • Using the analytical solution (Equation (30)), solve for the Sij required to obtain the target xp,i at the specified xr,i,0, and use a ψi > 102. Consider this Sij as Sij,min;
  • Use the relationship shown in Figure 5b to identify the multiplication factor for the target Ri (e.g., 2.7 at Ri = 90%, Sij of 102);
  • Multiply the Sij/Sij,min factor by Sij,min to obtain the minimum selectivity required to achieve the target xp,i at the target Ri.
Using these steps, the application is explained using separation of CO2 for carbon capture projects; however, note that the method can be applied to higher selectivity operations or differing feed concentrations depending on the target application. CO2 separation membranes have a typical Sij range of less than 100, with a maximum no higher than ca. 800 [34,35,36]. Sources of CO2 include flue gas from burners, with low CO2 concentrations of about 10% being common [11,37]. Thus, a 10% CO2 feed is considered, and the discussion will focus on identifying Sij targets of 50 to 100 as reasonable. Table 3 shows the results for the example separation of 10% CO2 for carbon capture applications. The result of solving Equation (30) is provided as Ri = 0% and then targets of 90% and 95% recovery are set to show the difference. In this sample, the target purity of 90% is seemingly achievable for CO2 membranes using Equation (30), with a required Sij of 89. However, raising the Ri to 95% shows that the true minimum Sij is 300 for the high recovery targets of carbon capture, which is in the upper range of all reported CO2 membranes [34,35,38]. Instead, a more accurate maximum final purity will be closer to 70%, which shows that a recovery of 95% may be achieved with a selectivity of 72. Note that this minimum Sij is still an underestimation due to the expected overprediction of both high ψi and the 1D model in general, but the outcome is simple to calculate and can provide a significantly more accurate target Sij than the analytical solution at Ri = 0% alone.

3.5. Limiting Pressure Ratios and Asymptotic Purity Zones

Although the previous section provides insight into the minimum selectivity at high recovery, the primary limitation is that it applies only to high pressure ratios that are almost certainly not economically viable [26,29]. To explore the effects at lower pressure ratios, xp,i is plotted against Sij vs. Ri for pressure ratios of ψi = 2, 5, 10, and 25 in Figure 6. At ψi = 2 (Figure 6a), xp,i increases slowly with Ri until an asymptotic rise is observed. The asymptotic Ri value increases with increasing Sij, but poses a severe limitation on the maximum achievable purity at high recovery for all Sij of interest. Increasing ψi to 5 (Figure 6b), the asymptotic rise is delayed to higher Ri, but is still a concern at Ri > 0.8 for the Sij up to 104. Further increasing ψi to 10 (Figure 6c) increases the limiting Ri to about 0.90, but it requires an increase in ψi to 25 (Figure 6d) to remove the limiting regime up to the maximum plotted condition of Ri = 0.95. Note that the asymptote arises due to the physical limitations imposed by permeation at near-complete recovery. As Ri goes to unity, θi must go to zero to allow for 100% of the inlet target species to permeate due to the increase in residence time required for permeation. This means that the asymptote will arise for all ψi, but at sufficiently high ψi, this situation does not occur until the Ri is above a reasonable target and can be ignored.
The important lesson from Figure 6 is that at high Ri and low ψi, the asymptotic trends result in a maximum effective Sij. Increasing Sij beyond the maximum results in no increase in purity and is unlikely to be economically viable considering higher Sij is associated with lower membrane permeance (productivity) and higher development and fabrication costs. Thus, identifying the regime in which the asymptotic maximum Sij arises is important in understanding the target regions of operation.

3.6. Obtention of the Limiting Selectivity

Although the information presented in Figure 6 could be construed as a maximum Ri for a given set of conditions, it is more practical to consider a minimum Sij to avoid asymptotic regions. To approach this, first consider the residual impurity
ξ p , i = 1 x p , i .
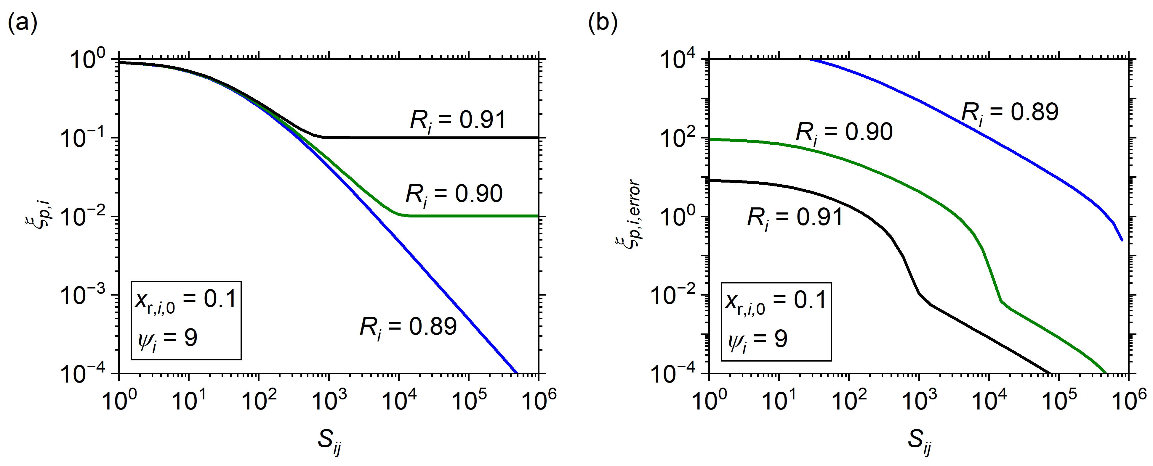
The use of impurity is for convenience; a plot of the impurity as the value goes to zero is observed easily on a log scale compared to purity with its convergence on unity. Figure 7a shows sample data of the impurity level vs. Sij at xr,i,0 of 0.10, ψi of 9, and Ri that straddle the asymptotic region. Note that ψi of 9 is an arbitrary choice, but it clearly illustrates the asymptotic effect that can occur near a target recovery of 90%; any value of ψi sufficiently low as to have an asymptotic purity regime could have been used, with appropriate change in Ri to illustrate the asymptotic phenomena. At Ri of 0.89, the impurity level decreases continuously as Sij increases toward 106, whereas the impurity level plateaus for Ri of 0.90 and 0.91. The plateau for Ri of 0.90 occurs at Sij of ca. 104, whereat further increases in Sij do not decrease the impurity level below ca. 0.01 (xp,i = ca. 0.99). The effect is worse at Ri of 0.91, with a minimum impurity level of ca. 0.1 (xp,i = ca. 0.9) at Sij of ca. 103.
To obtain an approximate Sij at which the impurity level no longer declines, an error is defined as follows:
ξ p , i , e r r o r = ξ p , i ξ p , i S i j = 10 8 ξ p , i S i j = 10 8 .
where the difference between the impurity level at some specified Sij and at Sij = 108 is divided by the level at Sij = 108. A maximum selectivity of 108 was defined because it is sufficiently close to infinity when considering that thin film membrane technologies do not achieve selectivity greater than 105 even for the best-reported composite Pd membranes [39] (except for those in which the true impurity was below the detection limit of the equipment and the authors mistakenly claim infinity). The results of this calculation with respect to the conditions of Figure 7a are shown in Figure 7b. For the Ri = 0.89 condition, the error decreases continuously but never drops below 10−2 at Sij less than 106. Contrastingly, the two Ri with asymptotic impurity levels both experience a rapid decline to below 10−2 before declining further. Given this information, a change of 10−2 is chosen arbitrarily as a sufficient predictor of the asymptotic Sij value, as it suggests that any further increase in Sij will result in less than a 1% further increase in purity. Using the technique developed above, the maximum selectivity with continued decreases in impurity level was obtained across the parameter space by performing two steps. First, xp,i data were obtained for a range of Sij at a specified xr,i,0, ψi, and Ri (Ri is obtained by optimizing θi). Second, ξp,i and ξp,i,error were calculated for each data point, and then Sij that results in ξp,i,error = 10−2 was interpolated, up to the maximum Sij = 108 range used; this Sij value is defined as Sij,max.
The results of the fitting process are shown as surface plots of Sij,max and xp,i,max across ψi vs. Ri for xr,i,0 of 0.01 (Figure 8a,b), xr,i,0 of 0.10 (Figure 8c,d), xr,i,0 of 0.90 (Figure 8e,f). First, consider the case of Sij,max for xr,i,0 of 0.01 (Figure 8a). Sij,max increases with increasing ψi but decreasing Ri. Due to the rapid approach toward infinite Sij, an arbitrary maximum Sij of 105 was used for clarity in the plot, with the gray-colored region effectively infinity (i.e., Sij > 108). Note that while the modified pressure ratio (ψi) varies between 1 and 10, the absolute pressure ratio (ψ) is a factor of 102 higher and a Sij,max exists for 90% recovery up to an absolute pressure ratio of 103. In addition, the Sij,max is only around 102 at the more reasonable ψ of 102. Given this limitation, further increases in Sij from currently reported levels of CO2 separation membranes are unlikely to significantly enhance performance for very low feed fraction CO2 recovery.
Although not as severe as the xr,i,0 = 0.01 case, increasing the feed concentration to xr,i,0 = 0.10 still results in Sij,max that may affect research targets for membrane performance. As shown in Figure 8c, Sij,max exists for Ri of 0.90 up to a ψ of 102, with a Sij,max of 102 occurring at ψ = 45 and Sij,max of 103 at ψ = 80. An equally important result is the maximum purity, shown in Figure 8d. As recovery increases so do the gradients of the purity contour lines, showing that as Ri is increased to 0.90 or higher the pressure ratio required to increase purity increases substantially. Thus high Ri targets with low xr,i,0 feeds become increasingly limited in the maximum purity regardless of improvement in the selectivity of the membranes.
The dotted line denoted as xp,i,max = 1 in each of the Figure 8 panels is the expected condition at which no asymptotic Sij occurs, meaning that the impurities can decline substantially even for Sij > 108. This line was plotted using a relationship obtained by fitting
ψ i , lim x p , i , max = 1 = x r , i , 0 + 1 x r , i , 0 1 R i
where the pressure ratio that separates the purity-limited zone is defined as ψi,lim, and is calculated as a function of the inlet mole fraction, xr,i,0, and target recovery, Ri. Although empirically derived here, this equation fits the data accurately with the dotted lines straddling the gray region limits for xr,i,0 from 1% (Figure 8a) to 90% (Figure 8e). Although this equation provides no information on the specific limiting Sij, it clearly defines the region in which Sij,lim exists for all conditions of a binary membrane separator. If a separator is operated at ψi, > ψi,lim, then no maximum exists and an increase in Sij will always lead to a valuable increase in xp,i; however, if a separator is operated at ψi, < ψi,lim, then a xp,i,max is expected that results in a Sij,max above which no further gains in purity can be expected.
For high Ri targets coupled with low xr,i,0 feed sources, the Sij,max limit could result in the limitation being near currently obtained research levels. Again taking CO2 capture as the example, if a 90% Ri is coupled with a 10% xr,i,0 feed condition, then a ψi,lim of 9.1 is obtained. Yet, some studies have optimized membrane separators at high recovery and suggested ψi of less than 10 [26]. More specifically, Kaldis et al. [30] reported that an increase in Sij from 50 to 90 did not increase the purity for a binary separator operating at xr,i,0 of 0.35 and ψi of 7. Extracting information from the plot manually indicates the Ri was around 97% for both Sij, which would result in a ψi,lim > 17 and a Sij,max of 46 using the techniques outlined above. Thus, any Sij above 46 would not be expected to increase xp,i in a simple 1D model and the results of the current study can be considered validated against similar simulation studies. However, it is unclear how the results would change if pressure drop, and diffusion/concentration polarization effects were considered in the model. Additionally, no experimental studies were found that observed limited changes with Sij, so the validity of this with real systems is not well understood.

4. Conclusions

A study on the maximum purity of a single-stage gas separator has been performed across a wide parameter space, with insight into the maximum effective selectivity of the membrane imposed by the purity limitations. Due to the tendency of non-idealities to reduce membrane separator performance, the simplified model is suggested to provide the maximum theoretical purity of a single-stage membrane separator. Note, however, that the conclusions found herein are not to be interpreted as the maximum potential purity of a multi-stage separator. For a more complex separator configuration with multiple stages and recycle loops, the results of this study should be applied individually to each stage using the separator feed condition after the recycle loop has been added. Furthermore, this study has focused on collecting a purified permeate stream, but another technique could potentially involve the removal of impurities and collecting a purified retentate stream. This study did not explore such options, but it is suggested that the removal of all impurities is not likely to be the economical choice if high purity is required because it would require that all components in a multi-component mixture be more permeable than the desired component. Nevertheless, this topic is left open to future study. A summary of the main observations and conclusions are:
  • An ideal membrane separator requires four input variables: the transport parameter, θi, which balances the flow rate with the membrane permeance, the feed mole fraction, xr,i,0, the pressure ratio, ψi, and the ideal selectivity, Sij;
  • For the majority of industrial applications, xr,i,0 is a fixed parameter based on the upstream processes or source. Similarly, to reduce waste and meet a target recovery (e.g., carbon capture requiring RCO2 = 90%), θi becomes fixed. Thus, optimization of the purity is accomplished primarily with ψi and Sij;
  • xp,i increases with increasing ψi until a maximum is reached at ψi = ca. 102. For ψi > 102, only Sij affects the purity. The required minimum Sij, or Sij,min, to achieve a target xp,i can be obtained by using the analytical solution for xp,i at Ri = 0 and then dividing by a factor obtained from the plot of Sij/Sij,min for Sij vs. Ri (Figure 5b). If the Sij,min is greater than the attainable technology, then the information can provide either new research objective targets or show that a multi-stage separator is the only option for the target purity;
  • Because ψi > 102 causes ψ to become very large for low xr,i,0, there exist regimes in which a maximum Sij is observed due to a maximum xp,i limitation. To determine if the desired operating condition has a Sij,max value, the target Ri and xr,i,0 are input into Equation (33) to obtain ψi,lim. If operating at ψi < ψi,lim then a Sij,max exists, but if operating with ψi > ψi,lim then no maximum Sij exists. Sij,max is dependent on xr,i,0, ψi, and Ri, so data must be gathered for the specific xr,i,0 of interest. Yet, as xr,i,0 decreases, the limitation with Sij becomes more important, potentially limiting any reason for further research on increasing Sij.
The above information is expected to be useful in setting membrane ideal selectivity targets for specified separations and membrane technologies.

Supplementary Materials

The following supporting information can be downloaded at https://www.mdpi.com/article/10.3390/membranes14060143/s1, Figure S1: Product recovery, Ri (a,c,e,g), and permeate purity, xp,i (b,d,f,h), dependence on the transport parameter, θi, and modified dimensionless pressure ratio ψi. (a,b) xr,i,0 = 0.10, Sij = 10, (c,d) xr,i,0 = 0.7, Sij = 10, (e,f) xr,i,0 = 0.10, Sij = 500, (g,h) xr,i,0 = 0.7, Sij = 500.

Author Contributions

Conceptualization, S.-T.B.L., A.I. and Y.H.; methodology, S.-T.B.L. and A.I.; software, S.-T.B.L.; validation, S.-T.B.L.; formal analysis, S.-T.B.L.; investigation, S.-T.B.L.; resources, Y.H.; data curation, S.-T.B.L.; writing—original draft preparation, S.-T.B.L.; writing—review and editing, A.I. and Y.H.; visualization, S.-T.B.L.; supervision, Y.H.; project administration, Y.H.; funding acquisition, S.-T.B.L. and Y.H. All authors have read and agreed to the published version of the manuscript.

Funding

This research received no external funding.

Institutional Review Board Statement

Not applicable.

Data Availability Statement

The original contributions presented in the study are included in the article/Supplementary Materials, further inquiries can be directed to the corresponding author.

Conflicts of Interest

The authors declare no conflicts of interest.

Nomenclature

Ammembrane permeable area
Apcross-sectional area of the permeate
Arcross-sectional area of the retentate
cp,ibulk concentration of species i in the permeate
cr,ibulk concentration of species i in the retentate
Jiflux of species i through the membrane
Lmmembrane length
r,i,0retentate inlet molar flow rate of species i
r,i,1retentate outlet molar flow rate of species i
ppermeate outlet total molar flow rate
p,ipermeate outlet molar flow rate of species i
Pmmembrane circumference
Pppermeate total pressure
Prretentate total pressure
P0standard pressure (100 kPa)
Runiversal gas constant (8.314 J mol−1 K−1)
Rirecovery of species i
rmmembrane radius
rsshell radius
Sijideal selectivity of component i vs. j
Sij,maxmaximum selectivity defined as selectivity to obtain 99% of maximum purity
Sij,minminimum selectivity for specified purity obtained from solution at zero recovery
Tfeed temperature
T0standard temperature (273.15 K)
ur,zretentate axial fluid velocity
ur,z,0feed inlet axial fluid velocity
up,zpermeate axial fluid velocity
up,z,0sweep inlet axial fluid velocity
V ˙ ffeed volumetric flow rate
V ˙ ssweep volumetric flow rate
xr,iretentate mole fraction of species i
xr,i,0feed inlet mole fraction of species i
xp,ipermeate mole fraction of species i (purity of species i at outlet)
xp,i,0sweep inlet mole fraction of species i
xp,i,maxmaximum potential purity obtained from analytical solution at zero recovery
zaxial position
ξp,iimpurity fraction in permeate of component i
ξp,i,errorimpurity fraction error between two specified conditions
φipermeation constant of component i
θidimensionless transport parameter (modified Péclet number)
θi,offsetfractional change in the difference of θi between two specified conditions
ζdimensionless axial position along the membrane
νr,zdimensionless retentate flow velocity
νp,zdimensionless permeate flow velocity
ψreduced pressure ratio
ψimodified reduced pressure ratio of component i
ψi,limlimiting modified reduced pressure ratio of component i

References

  1. Mat, N.C.; Lipscomb, G.G. Membrane Process Optimization for Carbon Capture. Int. J. Greenh. Gas Control 2017, 62, 1–12. [Google Scholar] [CrossRef]
  2. Ignatusha, P.; Lin, H.; Kapuscinsky, N.; Scoles, L.; Ma, W.; Patarachao, B.; Du, N. Membrane Separation Technology in Direct Air Capture. Membranes 2024, 14, 30. [Google Scholar] [CrossRef]
  3. Amin, M.; Butt, A.S.; Ahmad, J.; Lee, C.; Azam, S.U.; Mannan, H.A.; Naveed, A.B.; Farooqi, Z.U.R.; Chung, E.; Iqbal, A. Issues and Challenges in Hydrogen Separation Technologies. Energy Rep. 2023, 9, 894–911. [Google Scholar] [CrossRef]
  4. Roozitalab, A.; Hamidavi, F.; Kargari, A. A Review of Membrane Material for Biogas and Natural Gas Upgrading. Gas Sci. Eng. 2023, 114, 204969. [Google Scholar] [CrossRef]
  5. Ding, Y. Perspective on Gas Separation Membrane Materials from Process Economics Point of View. Ind. Eng. Chem. Res. 2020, 59, 556–568. [Google Scholar] [CrossRef]
  6. Iulianelli, A.; Drioli, E. Membrane Engineering: Latest Advancements in Gas Separation and Pre-Treatment Processes, Petrochemical Industry and Refinery, and Future Perspectives in Emerging Applications. Fuel Process. Technol. 2020, 206, 106464. [Google Scholar] [CrossRef]
  7. Lamb, K.E.; Dolan, M.D.; Kennedy, D.F. Ammonia for Hydrogen Storage; A Review of Catalytic Ammonia Decomposition and Hydrogen Separation and Purification. Int. J. Hydrogen Energy 2019, 44, 3580–3593. [Google Scholar] [CrossRef]
  8. Castro-Muñoz, R.; Zamidi Ahmad, M.; Malankowska, M.; Coronas, J. A New Relevant Membrane Application: CO2 Direct Air Capture (DAC). Chem. Eng. J. 2022, 446, 137047. [Google Scholar] [CrossRef]
  9. Gilassi, S.; Taghavi, S.M.; Rodrigue, D.; Kaliaguine, S. Simulation of Gas Separation Using Partial Element Stage Cut Modeling of Hollow Fiber Membrane Modules. AIChE J. 2018, 64, 1766–1777. [Google Scholar] [CrossRef]
  10. Brunetti, A.; Drioli, E.; Lee, Y.M.; Barbieri, G. Engineering Evaluation of CO2 Separation by Membrane Gas Separation Systems. J. Membr. Sci. 2014, 454, 305–315. [Google Scholar] [CrossRef]
  11. Bui, M.; Adjiman, S.C.; Bardow, A.; Anthony, J.E.; Boston, A.; Brown, S.; Fennell, P.; Fuss, S.; Galindo, A.; Hackett, L.A.; et al. Carbon Capture and Storage (CCS): The Way Forward. Energy Environ. Sci. 2018, 11, 1062–1176. [Google Scholar] [CrossRef]
  12. Nekhamkina, O.; Sheintuch, M. Approximate Models of Concentration-Polarization in Pd-Membrane Separators. Fast Numerical Analysis. J. Membr. Sci. 2016, 500, 136–150. [Google Scholar] [CrossRef]
  13. Caravella, A.; Melone, L.; Sun, Y.; Brunetti, A.; Drioli, E.; Barbieri, G. Concentration Polarization Distribution along Pd-Based Membrane Reactors: A Modelling Approach Applied to Water-Gas Shift. Int. J. Hydrogen Energy 2016, 41, 2660–2670. [Google Scholar] [CrossRef]
  14. Lundin, S.-T.B.; Movick, W.J.; Ikeda, A.; Hasegawa, Y.; Wolden, C.A.; Way, J.D. Modeling of an Ammonia Decomposition Membrane Reactor Including Purity with Complex Geometry and Non-Isothermal Behavior. J. Membr. Sci. 2024, 693, 122345. [Google Scholar] [CrossRef]
  15. Chen, W.-H.; Syu, W.-Z.; Hung, C.-I.; Lin, Y.-L.; Yang, C.-C. Influences of Geometry and Flow Pattern on Hydrogen Separation in a Pd-Based Membrane Tube. Int. J. Hydrogen Energy 2013, 38, 1145–1156. [Google Scholar] [CrossRef]
  16. Alkhamis, N.; Anqi, A.E.; Oztekin, A. Computational Study of Gas Separation Using a Hollow Fiber Membrane. Int. J. Heat Mass Transf. 2015, 89, 749–759. [Google Scholar] [CrossRef]
  17. Alkhamis, N.; Oztekin, D.E.; Anqi, A.E.; Alsaiari, A.; Oztekin, A. Numerical Study of Gas Separation Using a Membrane. Int. J. Heat Mass Transf. 2015, 80, 835–843. [Google Scholar] [CrossRef]
  18. Alrehili, M.; Usta, M.; Alkhamis, N.; Anqi, A.E.; Oztekin, A. Flows Past Arrays of Hollow Fiber Membranes—Gas Separation. Int. J. Heat Mass Transf. 2016, 97, 400–411. [Google Scholar] [CrossRef]
  19. DeJaco, R.F.; Loprete, K.; Pennisi, K.; Majumdar, S.; Siepmann, J.I.; Daoutidis, P.; Murnen, H.; Tsapatsis, M. Modeling and Simulation of Gas Separations with Spiral-Wound Membranes. AIChE J. 2020, 66, e16274. [Google Scholar] [CrossRef]
  20. Kancherla, R.; Nazia, S.; Kalyani, S.; Sridhar, S. Modeling and Simulation for Design and Analysis of Membrane-Based Separation Processes. Comput. Chem. Eng. 2021, 148, 107258. [Google Scholar] [CrossRef]
  21. Foo, K.; Liang, Y.Y.; Goh, P.S.; Fletcher, D.F. Computational Fluid Dynamics Simulations of Membrane Gas Separation: Overview, Challenges and Future Perspectives. Chem. Eng. Res. Des. 2023, 191, 127–140. [Google Scholar] [CrossRef]
  22. Tessendorf, S.; Gani, R.; Michelsen, M.L. Modeling, Simulation and Optimization of Membrane-Based Gas Separation Systems. Chem. Eng. Sci. 1999, 54, 943–955. [Google Scholar] [CrossRef]
  23. Ahmad, F.; Lau, K.K.; Shariff, A.M.; Murshid, G. Process Simulation and Optimal Design of Membrane Separation System for CO2 Capture from Natural Gas. Comput. Chem. Eng. 2012, 36, 119–128. [Google Scholar] [CrossRef]
  24. Yuan, M.; Narakornpijit, K.; Haghpanah, R.; Wilcox, J. Consideration of a Nitrogen-Selective Membrane for Postcombustion Carbon Capture through Process Modeling and Optimization. J. Membr. Sci. 2014, 465, 177–184. [Google Scholar] [CrossRef]
  25. Zarca, R.; Ortiz, A.; Gorri, D.; Biegler, L.T.; Ortiz, I. Optimization of Multistage Olefin/Paraffin Membrane Separation Processes through Rigorous Modeling. AIChE J. 2019, 65, e16588. [Google Scholar] [CrossRef]
  26. Ramírez-Santos, Á.A.; Bozorg, M.; Addis, B.; Piccialli, V.; Castel, C.; Favre, E. Optimization of Multistage Membrane Gas Separation Processes. Example of Application to CO2 Capture from Blast Furnace Gas. J. Membr. Sci. 2018, 566, 346–366. [Google Scholar] [CrossRef]
  27. He, X.; Fu, C.; Hägg, M.-B. Membrane System Design and Process Feasibility Analysis for CO2 Capture from Flue Gas with a Fixed-Site-Carrier Membrane. Chem. Eng. J. 2015, 268, 1–9. [Google Scholar] [CrossRef]
  28. Lock, S.S.M.; Lau, K.K.; Ahmad, F.; Shariff, A.M. Modeling, Simulation and Economic Analysis of CO2 Capture from Natural Gas Using Cocurrent, Countercurrent and Radial Crossflow Hollow Fiber Membrane. Int. J. Greenh. Gas Control 2015, 36, 114–134. [Google Scholar] [CrossRef]
  29. Taifan, G.S.P.; Maravelias, C.T. Generalized Optimization-Based Synthesis of Membrane Systems for Multicomponent Gas Mixture Separation. Chem. Eng. Sci. 2022, 252, 117482. [Google Scholar] [CrossRef]
  30. Kaldis, S.P.; Kapantaidakis, G.C.; Papadopoulos, T.I.; Sakellaropoulos, G.P. Simulation of Binary Gas Separation in Hollow Fiber Asymmetric Membranes by Orthogonal Collocation. J. Membr. Sci. 1998, 142, 43–59. [Google Scholar] [CrossRef]
  31. Huang, Y.; Merkel, T.C.; Baker, R.W. Pressure Ratio and Its Impact on Membrane Gas Separation Processes. J. Membr. Sci. 2014, 463, 33–40. [Google Scholar] [CrossRef]
  32. Lundin, S.-T.B.; Miklautz, M.; Ikeda, A.; Hasegawa, Y.; Ted Oyama, S. Criteria for the Use of 1D and 2D Models in Catalytic Membrane Reactor Modeling. Chem. Eng. J. 2023, 477, 147007. [Google Scholar] [CrossRef]
  33. Gómez-García, M.á.; Dobrosz-Gómez, I.; Fontalvo, J.; Rynkowski, J.M. Membrane Reactor Design Guidelines for Ammonia Decomposition. Catal. Today 2012, 191, 165–168. [Google Scholar] [CrossRef]
  34. Prasetya, N.; Himma, N.F.; Sutrisna, P.D.; Wenten, I.G.; Ladewig, B.P. A Review on Emerging Organic-Containing Microporous Material Membranes for Carbon Capture and Separation. Chem. Eng. J. 2020, 391, 123575. [Google Scholar] [CrossRef]
  35. Tong, Z.; Sekizkardes, A. Recent Developments in High-Performance Membranes for CO2 Separation. Membranes 2021, 11, 156. [Google Scholar] [CrossRef]
  36. Han, Y.; Ho, W.S.W. Polymeric Membranes for CO2 Separation and Capture. J. Membr. Sci. 2021, 628, 119244. [Google Scholar] [CrossRef]
  37. Lee, J.-Y.; Keener, T.C.; Yang, Y.J. Potential Flue Gas Impurities in Carbon Dioxide Streams Separated from Coal-Fired Power Plants. J. Air Waste Manag. Assoc. 2009, 59, 725–732. [Google Scholar] [CrossRef]
  38. Hassan, N.S.; Jalil, A.A.; Bahari, M.B.; Khusnun, N.F.; Aldeen, E.M.S.; Mim, R.S.; Firmansyah, M.L.; Rajendran, S.; Mukti, R.R.; Andika, R.; et al. A Comprehensive Review on Zeolite-Based Mixed Matrix Membranes for CO2/CH2 Separation. Chemosphere 2023, 314, 137709. [Google Scholar] [CrossRef]
  39. Wang, H.; Lundin, S.-T.B.; Takanabe, K.; Ted Oyama, S. Synthesis of Size-Controlled Boehmite Sols: Application in High-Performance Hydrogen-Selective Ceramic Membranes. J. Mater. Chem. A 2022, 10, 12869–12881. [Google Scholar] [CrossRef]
Figure 1. Schematic of a shell-and-tube membrane separator with relevant geometric and operational parameters for modeling purposes. Blue: retentate gas phase, gray: permeate gas phase (light) and membrane (dark). Note that the sweep flow will be assumed negligible in the final system, so its placement as co-current or counter-current is irrelevant.
Figure 1. Schematic of a shell-and-tube membrane separator with relevant geometric and operational parameters for modeling purposes. Blue: retentate gas phase, gray: permeate gas phase (light) and membrane (dark). Note that the sweep flow will be assumed negligible in the final system, so its placement as co-current or counter-current is irrelevant.
Membranes 14 00143 g001
Figure 2. Offset in θi between the unmodified ψ and modified ψi ratios at low and high xr,i,0, and low and high Sij conditions. Offset is calculated as the difference between θi at either ψi = 102 and 104 or ψ = 102 and 104 with Ri of 98%.
Figure 2. Offset in θi between the unmodified ψ and modified ψi ratios at low and high xr,i,0, and low and high Sij conditions. Offset is calculated as the difference between θi at either ψi = 102 and 104 or ψ = 102 and 104 with Ri of 98%.
Membranes 14 00143 g002
Figure 3. Maximum purity, xp,i,max, of an ideal membrane separator using an analytical solution (Ri = 0). (a) xp,i,max for Sij vs. xr,i,0 at ψi = 102, (b) xp,i,max for Sij vs. ψi at xr,i,0 = 0.10.
Figure 3. Maximum purity, xp,i,max, of an ideal membrane separator using an analytical solution (Ri = 0). (a) xp,i,max for Sij vs. xr,i,0 at ψi = 102, (b) xp,i,max for Sij vs. ψi at xr,i,0 = 0.10.
Membranes 14 00143 g003
Figure 4. (a) Product recovery, Ri, and (b) permeate purity, xp,i, dependence on the transport parameter, θi, and modified dimensionless pressure ratio ψi at xr,i,0 = 0.10 and Sij = 500.
Figure 4. (a) Product recovery, Ri, and (b) permeate purity, xp,i, dependence on the transport parameter, θi, and modified dimensionless pressure ratio ψi at xr,i,0 = 0.10 and Sij = 500.
Membranes 14 00143 g004
Figure 5. Maximum purity of the 1D model (a,c) and relative selectivity vs. the analytical solution (b,d) vs. Sij and Ri for (a,b) xr,i,0 = 0.10, ψi = 102, and (c,d) xr,i,0 = 0.90, ψi = 102.
Figure 5. Maximum purity of the 1D model (a,c) and relative selectivity vs. the analytical solution (b,d) vs. Sij and Ri for (a,b) xr,i,0 = 0.10, ψi = 102, and (c,d) xr,i,0 = 0.90, ψi = 102.
Membranes 14 00143 g005
Figure 6. Resultant xp,i surface plots for Sij vs. Ri at xr,i,0 of 0.10 and (a) ψi = 2, (b) ψi = 5, (c) ψi = 10, and (d) ψi = 25.
Figure 6. Resultant xp,i surface plots for Sij vs. Ri at xr,i,0 of 0.10 and (a) ψi = 2, (b) ψi = 5, (c) ψi = 10, and (d) ψi = 25.
Membranes 14 00143 g006
Figure 7. (a) Impurity level vs. Sij, and (b) impurity error vs. Sij for Ri of 0.89, 0.90, and 0.91 at xr,i,0 of 0.10 and ψi of 9.
Figure 7. (a) Impurity level vs. Sij, and (b) impurity error vs. Sij for Ri of 0.89, 0.90, and 0.91 at xr,i,0 of 0.10 and ψi of 9.
Membranes 14 00143 g007
Figure 8. Sij,max and xp,i,max surface plots of ψi vs. Ri at xr,i,0 of 0.01 (a,b), 0.10 (c,d), and 0.90 (e,f). Unmodified pressure ratio, ψ, labeled on the right axis for comparison. Light gray zones indicate no asymptotic purity observed up to the maximum simulated Sij of 108. Solid lines represent Sij,max or xp,i,max contours. The dashed line xp,i,max = 1 originates from Equation (33). Roughness in data near the dashed line due to discrete data point fidelity and the rapid rise toward infinite Sij.
Figure 8. Sij,max and xp,i,max surface plots of ψi vs. Ri at xr,i,0 of 0.01 (a,b), 0.10 (c,d), and 0.90 (e,f). Unmodified pressure ratio, ψ, labeled on the right axis for comparison. Light gray zones indicate no asymptotic purity observed up to the maximum simulated Sij of 108. Solid lines represent Sij,max or xp,i,max contours. The dashed line xp,i,max = 1 originates from Equation (33). Roughness in data near the dashed line due to discrete data point fidelity and the rapid rise toward infinite Sij.
Membranes 14 00143 g008
Table 1. Summary of required input variables for a shell-and-tube membrane system.
Table 1. Summary of required input variables for a shell-and-tube membrane system.
Required InputVariableUnit
GeometryMembrane lengthLmm
Membrane radiusrmm
Shell radiusrsm
MembranePermeation rateφimol m−2 s−1 Pa−1
Ideal selectivitySij-
ConditionsFeed rate V ˙ fm3 s−1
Feed compositionxr,i,0-
Sweep rate V ˙ sm3 s−1
Sweep compositionxp,i,0-
Reactor pressurePrPa
Permeate pressurePpPa
TemperatureTK
Table 2. Summary of input variables for the membrane separator model.
Table 2. Summary of input variables for the membrane separator model.
Required InputVariableUnit
Dimensionless
Parameters
Ideal selectivitySij-
Feed compositionxr,i,0-
Transport parameterθi-
Pressure ratioψ-
Table 3. Minimum required membrane selectivity to obtain target xp,i and Ri for ideal CO2 separation (e.g., CO2/N2 or CO2/CH4) with 10% feed concentration. Calculated using ψi = 102.
Table 3. Minimum required membrane selectivity to obtain target xp,i and Ri for ideal CO2 separation (e.g., CO2/N2 or CO2/CH4) with 10% feed concentration. Calculated using ψi = 102.
Target Purity (xp,i)Required Selectivity (Sij)
Ri = 0%Ri = 90%Ri = 95%
70%215772
90%89240300
99%95026003200
99.9%500014,00017,000
Disclaimer/Publisher’s Note: The statements, opinions and data contained in all publications are solely those of the individual author(s) and contributor(s) and not of MDPI and/or the editor(s). MDPI and/or the editor(s) disclaim responsibility for any injury to people or property resulting from any ideas, methods, instructions or products referred to in the content.

Share and Cite

MDPI and ACS Style

Lundin, S.-T.B.; Ikeda, A.; Hasegawa, Y. On the Maximum Obtainable Purity and Resultant Maximum Useful Membrane Selectivity of a Membrane Separator. Membranes 2024, 14, 143. https://doi.org/10.3390/membranes14060143

AMA Style

Lundin S-TB, Ikeda A, Hasegawa Y. On the Maximum Obtainable Purity and Resultant Maximum Useful Membrane Selectivity of a Membrane Separator. Membranes. 2024; 14(6):143. https://doi.org/10.3390/membranes14060143

Chicago/Turabian Style

Lundin, Sean-Thomas B., Ayumi Ikeda, and Yasuhisa Hasegawa. 2024. "On the Maximum Obtainable Purity and Resultant Maximum Useful Membrane Selectivity of a Membrane Separator" Membranes 14, no. 6: 143. https://doi.org/10.3390/membranes14060143

APA Style

Lundin, S.-T. B., Ikeda, A., & Hasegawa, Y. (2024). On the Maximum Obtainable Purity and Resultant Maximum Useful Membrane Selectivity of a Membrane Separator. Membranes, 14(6), 143. https://doi.org/10.3390/membranes14060143

Note that from the first issue of 2016, this journal uses article numbers instead of page numbers. See further details here.

Article Metrics

Back to TopTop