Highly Efficient Cationic/Anionic Cellulose Membranes for Removal of Cr(VI) and Pb(II) Ions
Abstract
1. Introduction
2. Materials and Methods
2.1. Reagents
2.2. Oxidation of Cellulose Fabrics by Periodate
2.3. Surface Grafting of DACs with GT
2.4. Surface Sulfonation of DACs with Sodium Bisulfite
2.5. Determination of Degrees of Oxidation, Quaternization, and Sulfonation
2.6. Characterization of Modified Cellulose Membranes
2.7. Static Adsorption
2.8. Dynamic Adsorption Properties of Cationic/Anionic Cellulose Membranes
2.9. Influence of Coexisting Ions on Dynamic Adsorption Capacity
2.10. Adsorption Performance of SPIRAL Wound Filtration Cartridges Based on Cationic/Anionic Cellulose Membranes
2.11. Desorption
3. Results and Discussion
3.1. Oxidation, Quaternization, and Sulfonation of Cellulose Fabrics
3.2. Surface Morphology of Cellulose Membrane after Modifications
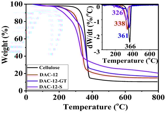
3.3. Thermal Stability of Pristine, Oxidized, Cationic/Anionic Cellulose Membranes
3.4. Mechanical Properties
3.5. Hydrophilic Properties
3.6. Hydrophilic Properties
3.6.1. Effect of Solution pH and Adsorption Time on Adsorption Capacity
3.6.2. Adsorption Kinetics
3.6.3. Isotherms
3.6.4. Adsorption Thermodynamics
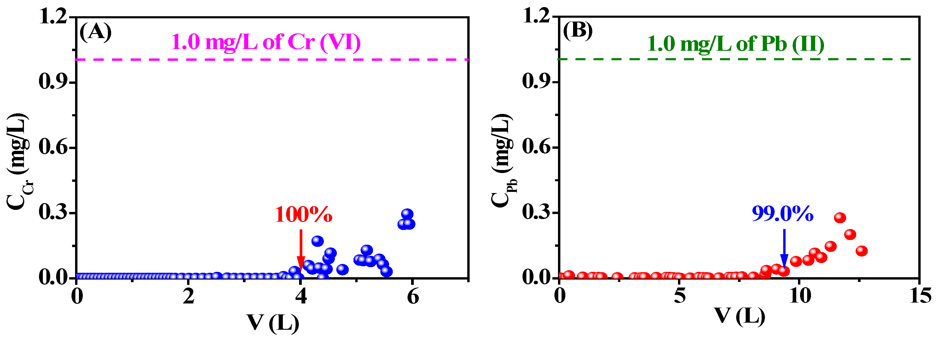
3.7. Dynamic Adsorptions
3.8. Evaluation of Long-Term Adsorption Capacity of Spiral Wound Adsorption Cartridge
3.9. Adsorption Mechanism
3.10. Desorption
4. Conclusions
Author Contributions
Funding
Conflicts of Interest
References
- Du, Z.; Zheng, T.; Wang, P.; Hao, L.; Wang, Y. Fast Microwave-Assisted Preparation of a Low-Cost and Recyclable Carboxyl Modified Lignocellulose-Biomass Jute Fiber for Enhanced Heavy Metal Removal from Water. Bioresour. Technol. 2016, 201, 41–49. [Google Scholar] [CrossRef]
- Selambakkannu, S.; Othman, N.A.F.; Bakar, K.A.; Shukor, S.A.; Karim, Z.A. A Kinetic and Mechanistic Study of Adsorptive Removal of Metal Ions by Imidazole-Functionalized Polymer Graft Banana Fiber. Radiat. Phys. Chem. 2018, 153, 58–69. [Google Scholar] [CrossRef]
- Imamoglu, M.; Tekir, O. Removal of Copper (II) and Lead (II) Ions from Aqueous Solutions by Adsorption on Activated Carbon from a New Precursor Hazelnut Husks. Desalination 2008, 228, 108–113. [Google Scholar] [CrossRef]
- Zhang, Y.; Li, Y.; Li, X.; Yang, L.; Bai, X.; Ye, Z.; Zhou, L.; Wang, L. Selective Removal for Pb2+ in Aqueous Environment by Using Novel Macroreticular PVA Beads. J. Hazard. Mater. 2010, 181, 898–907. [Google Scholar] [CrossRef]
- Sun, X.; Yang, L.; Li, Q.; Zhao, J.; Li, X.; Wang, X.; Liu, H. Amino-Functionalized Magnetic Cellulose Nanocomposite as Adsorbent for Removal of Cr(VI): Synthesis and Adsorption Studies. Chem. Eng. J. 2014, 241, 175–183. [Google Scholar] [CrossRef]
- Fu, F.; Wang, Q. Removal of Heavy Metal Ions from Wastewaters: A Review. J. Environ. Manag. 2011, 92, 407–418. [Google Scholar] [CrossRef]
- Qasem, N.A.A.; Mohammed, R.H.; Lawal, D.U. Removal of Heavy Metal Ions from Wastewater: A Comprehensive and Critical Review. Npj Clean Water 2021, 4, 36. [Google Scholar] [CrossRef]
- Aderhold, D. The Removal of Heavy-Metal Ions by Seaweeds and Their Derivatives. Bioresour. Technol. 1996, 58, 1–6. [Google Scholar] [CrossRef]
- Da̧browski, A.; Hubicki, Z.; Podkościelny, P.; Robens, E. Selective Removal of the Heavy Metal Ions from Waters and Industrial Wastewaters by Ion-Exchange Method. Chemosphere 2004, 56, 91–106. [Google Scholar] [CrossRef]
- Kang, S.Y.; Lee, J.U.; Moon, S.H.; Kim, K.W. Competitive Adsorption Characteristics of Co2+, Ni2+, and Cr3+ by IRN-77 Cation Exchange Resin in Synthesized Wastewater. Chemosphere 2004, 56, 141–147. [Google Scholar] [CrossRef]
- Reshmy, R.; Philip, E.; Madhavan, A.; Pugazhendhi, A.; Sindhu, R.; Sirohi, R.; Awasthi, M.K.; Pandey, A.; Binod, P. Nanocellulose as Green Material for Remediation of Hazardous Heavy Metal Contaminants. J. Hazard. Mater. 2022, 424, 127516. [Google Scholar] [CrossRef] [PubMed]
- Xu, X.; Ouyang, X.; Yang, L.-Y. Adsorption of Pb(II) from Aqueous Solutions Using Crosslinked Carboxylated Chitosan/Carboxylated Nanocellulose Hydrogel Beads. J. Mol. Liq. 2021, 322, 114523. [Google Scholar] [CrossRef]
- Jain, P.; Varshney, S.; Srivastava, S. Site-Specific Functionalization for Chemical Speciation of Cr(III) and Cr(VI) Using Polyaniline Impregnated Nanocellulose Composite: Equilibrium, Kinetic, and Thermodynamic Modeling. Appl. Water Sci. 2017, 7, 1827–1839. [Google Scholar] [CrossRef]
- Kumar, N.; Kardam, A.; Jain, V.; Nagpal, S. A Rapid, Reusable Polyaniline-Impregnated Nanocellulose Composite-Based System for Enhanced Removal of Chromium and Cleaning of Wastewater. Sep. Sci. Technol. 2020, 55, 1436–1448. [Google Scholar] [CrossRef]
- Shahnaz, T.; Padmanaban, V.C.; Narayanasamy, S. Surface Modification of Nanocellulose Using Polypyrrole for the Adsorptive Removal of Congo Red Dye and Chromium in Binary Mixture. Int. J. Biol. Macromol. 2020, 151, 322–332. [Google Scholar] [CrossRef]
- Alsaiari, N.S.; Katubi, K.M.; Alzahrani, F.M.; Amari, A.; Osman, H.; Rebah, F.B.; Tahoon, M.A. Synthesis, Characterization and Application of Polypyrrole Functionalized Nanocellulose for the Removal of Cr(VI) from Aqueous Solution. Polymers 2021, 13, 3691. [Google Scholar] [CrossRef]
- Xu, Q.; Wang, Y.; Jin, L.; Wang, Y.; Qin, M. Adsorption of Cu(II), Pb(II) and Cr(VI) from Aqueous Solutions Using Black Wattle Tannin-Immobilized Nanocellulose. J. Hazard. Mater. 2017, 339, 91–99. [Google Scholar] [CrossRef]
- Huang, X.; Dognani, G.; Hadi, P.; Yang, M.; Job, A.E.; Hsiao, B.S. Cationic Dialdehyde Nanocellulose from Sugarcane Bagasse for Efficient Chromium (VI) Removal. ACS Sustain. Chem. Eng. 2020, 8, 4734–4744. [Google Scholar] [CrossRef]
- Li, C.; Ma, H.; Venkateswaran, S.; Hsiao, B.S. Highly Efficient and Sustainable Carboxylated Cellulose Filters for Removal of Cationic Dyes/Heavy Metals Ions. Chem. Eng. J. 2020, 389, 123458. [Google Scholar] [CrossRef]
- Yang, H.; van de Ven, T.G.M. Preparation of Hairy Cationic Nanocrystalline Cellulose. Cellulose 2016, 23, 1791–1801. [Google Scholar] [CrossRef]
- Rajalaxmi, D.; Jiang, N.; Leslie, G.; Ragauskas, A.J. Synthesis of Novel Water-Soluble Sulfonated Cellulose. Carbohydr. Res. 2010, 345, 284–290. [Google Scholar] [CrossRef]
- Dong, C.; Zhang, F.; Pang, Z.; Yang, G. Efficient and Selective Adsorption of Multi-Metal Ions Using Sulfonated Cellulose as Adsorbent. Carbohydr. Polym. 2016, 151, 230–236. [Google Scholar] [CrossRef]
- Coseri, S.; Biliuta, G.; Zemljič, L.F.; Srndovic, J.S.; Tomas, P.; Strnad, S.; Kreže, T.; Naderi, A.; Lindström, T. One-Shot Carboxylation of Microcrystalline Cellulose in the Presence of Nitroxyl Radicals and Sodium Periodate. RSC Adv. 2015, 104, 85889–85897. [Google Scholar] [CrossRef]
- Fiol, N.; Escudero, C.; Villaescusa, I. Chromium Sorption and Cr(VI) Reduction to Cr(III) by Grape Stalks and Yohimbe Bark. Bioresour. Technol. 2008, 99, 5030–5036. [Google Scholar] [CrossRef] [PubMed]
- Zhao, R.; Li, X.; Sun, B.; Shen, M.; Tan, X.; Ding, Y.; Jiang, Z.; Wang, C. Preparation of Phosphorylated Polyacrylonitrile-Based Nanofiber Mat and Its Application for Heavy Metal Ion Removal. Chem. Eng. J. 2015, 268, 290–299. [Google Scholar] [CrossRef]
- Kim, U.-J.; Kuga, S. Thermal Decomposition of Dialdehyde Cellulose and Its Nitrogen-Containing Derivatives. Thermochim. Acta 2001, 369, 79–85. [Google Scholar] [CrossRef]
- Yue, Y.; Han, G.; Wu, Q. Transitional Properties of Cotton Fibers from Cellulose I to Cellulose II Structure. BioResources 2013, 8, 6460–6471. [Google Scholar] [CrossRef]
- Xu, Y.H.; Huang, C. Effect of Sodium Periodate Selective Oxidation on Crystallinity of Cotton Cellulose. Adv. Mater. Res. 2011, 197–198, 1201–1204. [Google Scholar] [CrossRef]
- Kang, X.; Deng, L.; Yi, L.; Ruan, C.-Q.; Zeng, K. A Facile Method for Preparation of Green and Antibacterial Hydrogel Based on Chitosan and Water-Soluble 2,3-Dialdehyde Cellulose. Cellulose 2021, 28, 6403–6416. [Google Scholar] [CrossRef]
- Chang, S.; Condon, B.; Edwards, J.V. Preparation and Characterization of Aminobenzyl Cellulose by Two Step Synthesis from Native Cellulose. Fibers Polym. 2010, 11, 1101–1105. [Google Scholar] [CrossRef]
- Sirviö, J.A.; Anttila, A.-K.; Pirttilä, A.M.; Liimatainen, H.; Kilpeläinen, I.; Niinimäki, J.; Hormi, O. Cationic Wood Cellulose Films with High Strength and Bacterial Anti-Adhesive Properties. Cellulose 2014, 21, 3573–3583. [Google Scholar] [CrossRef]
- Plappert, S.F.; Quraishi, S.; Pircher, N.; Mikkonen, K.S.; Veigel, S.; Klinger, K.M.; Potthast, A.; Rosenau, T.; Liebner, F.W. Transparent, Flexible, and Strong 2,3-Dialdehyde Cellulose Films with High Oxygen Barrier Properties. Biomacromolecules 2018, 19, 2969–2978. [Google Scholar] [CrossRef]
- Farooq, M.; Zou, T.; Riviere, G.; Sipponen, M.H.; Österberg, M. Strong, Ductile, and Waterproof Cellulose Nanofibril Composite Films with Colloidal Lignin Particles. Biomacromolecules 2019, 20, 693–704. [Google Scholar] [CrossRef]
- Chen, F.; Xiang, W.; Sawada, D.; Bai, L.; Hummel, M.; Sixta, H.; Budtova, T. Exploring Large Ductility in Cellulose Nanopaper Combining High Toughness and Strength. ACS Nano 2020, 14, 11150–11159. [Google Scholar] [CrossRef] [PubMed]
- Sirvi, J.A.; Visanko, M.; Laitinen, O.; Mml, A.; Liimatainen, H. Amino-Modified Cellulose Nanocrystals with Adjustable Hydrophobicity from Combined Regioselective Oxidation and Reductive Amination. Carbohydr. Polym. 2016, 136, 581–587. [Google Scholar] [CrossRef] [PubMed]
- Li, G.; Zhang, J.; Liu, J.; Sun, C.; Yan, Z. Adsorption Characteristics of White Pottery Clay towards Pb(II), Cu(II), and Cd (II). Arab. J. Geosci. 2020, 13, 519. [Google Scholar] [CrossRef]
- Matouq, M.; Jildeh, N.; Qtaishat, M.; Hindiyeh, M.; Al Syouf, M.Q. The Adsorption Kinetics and Modeling for Heavy Metals Removal from Wastewater by Moringa Pods. J. Environ. Chem. Eng. 2015, 3, 775–784. [Google Scholar] [CrossRef]
- Brdar, M.; Šćiban, M.; Takači, A.; Došenović, T. Comparison of Two and Three Parameters Adsorption Isotherm for Cr(VI) onto Kraft Lignin. Chem. Eng. J. 2012, 183, 108–111. [Google Scholar] [CrossRef]
- Benhammou, A.; Yaacoubi, A.; Nibou, L.; Tanouti, B. Adsorption of Metal Ions onto Moroccan Stevensite: Kinetic and Isotherm Studies. J. Colloid Interface Sci. 2005, 282, 320–326. [Google Scholar] [CrossRef]
- Deng, X.; Qi, L.; Zhang, Y. Experimental Study on Adsorption of Hexavalent Chromium with Microwave-Assisted Alkali Modified Fly Ash. Water. Air. Soil Pollut. 2018, 229, 18. [Google Scholar] [CrossRef]
- Brandes, R.; Brouillette, F.; Chabot, B. Phosphorylated Cellulose/Electrospun Chitosan Nanofibers Media for Removal of Heavy Metals from Aqueous Solutions. J. Appl. Polym. Sci. 2021, 138, 50021. [Google Scholar] [CrossRef]
- Liu, B.; Lv, X.; Meng, X.; Yu, G.; Wang, D. Removal of Pb(II) from Aqueous Solution Using Dithiocarbamate Modified Chitosan Beads with Pb(II) as Imprinted Ions. Chem. Eng. J. 2013, 220, 412–419. [Google Scholar] [CrossRef]
- Zhao, Z.; Xu, X.; Chen, X.; Huo, G.; Chen, A.; Liu, X.; Xu, H. Thermodynamics and Kinetics of Adsorption of Molybdenum Blue with D301 Ion Exchange Resin. Trans. Nonferrous Met. Soc. China 2012, 22, 686–693. [Google Scholar] [CrossRef]
- Rodrigues, F.H.A.; de C. Magalhães, C.E.; Medina, A.L.; Fajardo, A.R. Hydrogel Composites Containing Nanocellulose as Adsorbents for Aqueous Removal of Heavy Metals: Design, Optimization, and Application. Cellulose 2019, 26, 9119–9133. [Google Scholar] [CrossRef]
- Asuquo, E.; Martin, A.; Nzerem, P.; Siperstein, F.; Fan, X. Adsorption of Cd (II) and Pb(II) Ions from Aqueous Solutions Using Mesoporous Activated Carbon Adsorbent: Equilibrium, Kinetics and Characterisation Studies. J. Environ. Chem. Eng. 2017, 5, 679–698. [Google Scholar] [CrossRef]
- Qiu, B.; Xu, C.; Sun, D.; Yi, H.; Guo, J.; Zhang, X.; Qu, H.; Guerrero, M.; Wang, X.; Noel, N.; et al. Polyaniline Coated Ethyl Cellulose with Improved Hexavalent Chromium Removal. ACS Sustain. Chem. Eng. 2014, 2, 2070–2080. [Google Scholar] [CrossRef]
- Fan, J.; Cai, C.; Chi, H.; Reid, B.J.; Coulon, F.; Zhang, Y.; Hou, Y. Remediation of Cadmium and Lead Polluted Soil Using Thiol-Modified Biochar. J. Hazard. Mater. 2020, 388, 122037. [Google Scholar] [CrossRef] [PubMed]
- Choi, H.Y.; Bae, J.H.; Hasegawa, Y.; An, S.; Kim, I.S.; Lee, H.; Kim, M. Thiol-Functionalized Cellulose Nanofiber Membranes for the Effective Adsorption of Heavy Metal Ions in Water. Carbohydr. Polym. 2020, 234, 115881. [Google Scholar] [CrossRef]
- Depci, T.; Kul, A.R.; Önal, Y. Competitive Adsorption of Lead and Zinc from Aqueous Solution on Activated Carbon Prepared from Van Apple Pulp: Study in Single- and Multi-Solute Systems. Chem. Eng. J. 2012, 200–202, 224–236. [Google Scholar] [CrossRef]
- Wu, Y.; Cha, L.; Fan, Y.; Fang, P.; Ming, Z.; Sha, H. Activated Biochar Prepared by Pomelo Peel Using H3PO4 for the Adsorption of Hexavalent Chromium: Performance and Mechanism. Water. Air. Soil Pollut. 2017, 228, 405. [Google Scholar] [CrossRef]
- Aquino, R.R.; Tolentino, M.S.; Elacion, R.M.P.D.; Ladrillono, R.; Laurenciana, T.R.C.; Basilia, B.A. Adsorptive Removal of Lead (Pb2+) Ion from Water Using Cellulose Acetate/Polycaprolactone Reinforced Nanostructured Membrane. IOP Conf. Ser. Earth Environ. Sci. 2018, 191, 012139. [Google Scholar] [CrossRef]
- Cheng, S.; Liu, Y.; Xing, B.; Qin, X.; Zhang, C.; Xia, H. Lead and Cadmium Clean Removal from Wastewater by Sustainable Biochar Derived from Poplar Saw Dust. J. Clean. Prod. 2021, 314, 128074. [Google Scholar] [CrossRef]
- Ihsanullah; Al-Khaldi, F.A.; Abu-Sharkh, B.; Abulkibash, A.M.; Qureshi, M.I.; Laoui, T.; Atieh, M.A. Effect of Acid Modification on Adsorption of Hexavalent Chromium (Cr(VI)) from Aqueous Solution by Activated Carbon and Carbon Nanotubes. Desalin. Water Treat. 2016, 57, 7232–7244. [Google Scholar] [CrossRef]
- Li, J.; Ma, J.; Guo, Q.; Zhang, S.; Han, H.; Zhang, S.; Han, R. Adsorption of Hexavalent Chromium Using Modified Walnut Shell from Solution. Water Sci. Technol. 2020, 81, 824–833. [Google Scholar] [CrossRef] [PubMed]
- Zhao, J.; Yu, L.; Ma, H.; Zhou, F.; Yang, K.; Wu, G. Corn Stalk-Based Activated Carbon Synthesized by a Novel Activation Method for High-Performance Adsorption of Hexavalent Chromium in Aqueous Solutions. J. Colloid Interface Sci. 2020, 578, 650–659. [Google Scholar] [CrossRef]
- Chwastowski, J.; Staroń, P.; Kołoczek, H.; Banach, M. Adsorption of Hexavalent Chromium from Aqueous Solutions Using Canadian Peat and Coconut Fiber. J. Mol. Liq. 2017, 248, 981–989. [Google Scholar] [CrossRef]
- Sun, Y.; Yue, Q.; Gao, B.; Gao, Y.; Li, Q.; Wang, Y. Adsorption of Hexavalent Chromium on Arundo Donax Linn Activated Carbon Amine-Crosslinked Copolymer. Chem. Eng. J. 2013, 217, 240–247. [Google Scholar] [CrossRef]
- Wang, Y.; Liu, D.; Lu, J.; Huang, J. Enhanced Adsorption of Hexavalent Chromium from Aqueous Solutions on Facilely Synthesized Mesoporous Iron–Zirconium Bimetal Oxide. Colloids Surf. Physicochem. Eng. Asp. 2015, 481, 133–142. [Google Scholar] [CrossRef]
- Klimaviciute, R.; Bendoraitiene, J.; Rutkaite, R.; Zemaitaitis, A. Adsorption of Hexavalent Chromium on Cationic Cross-Linked Starches of Different Botanic Origins. J. Hazard. Mater. 2010, 181, 624–632. [Google Scholar] [CrossRef]
- Maleki, A.; Hayati, B.; Naghizadeh, M.; Joo, S.W. Adsorption of Hexavalent Chromium by Metal Organic Frameworks from Aqueous Solution. J. Ind. Eng. Chem. 2015, 28, 211–216. [Google Scholar] [CrossRef]
- Lin, H.; Han, S.; Dong, Y.; He, Y. The Surface Characteristics of Hyperbranched Polyamide Modified Corncob and Its Adsorption Property for Cr(VI). Appl. Surf. Sci. 2017, 412, 152–159. [Google Scholar] [CrossRef]
- Dong, Z.; Zhao, L. Covalently Bonded Ionic Liquid onto Cellulose for Fast Adsorption and Efficient Separation of Cr(VI): Batch, Column and Mechanism Investigation. Carbohydr. Polym. 2018, 189, 190–197. [Google Scholar] [CrossRef] [PubMed]
- Dovi, E.; Aryee, A.A.; Kani, A.N.; Mpatani, F.M.; Li, J.; Qu, L.; Han, R. High-Capacity Amino-Functionalized Walnut Shell for Efficient Removal of Toxic Hexavalent Chromium Ions in Batch and Column Mode. J. Environ. Chem. Eng. 2022, 10, 107292. [Google Scholar] [CrossRef]
- Sheth, Y.; Dharaskar, S.; Khalid, M.; Walvekar, R. Investigating Chromium Cr(VI) Removal Using Imidazolium Based Ionic Liquid-Chitosan Composite Adsorptive Film. J. Mol. Liq. 2022, 347, 118317. [Google Scholar] [CrossRef]
- Song, Z.; Guo, K.; Bai, W.; Tang, C. Adsorption and Removal of Cr(VI) from Aqueous Solution with Amine-Functionalized Porous Boron Nitride. J. Solid State Chem. 2023, 317, 123720. [Google Scholar] [CrossRef]
- Liu, M.; Jia, S.; Gong, Y.; Song, C.; Guo, X. Effective Hydrolysis of Cellulose into Glucose over Sulfonated Sugar-Derived Carbon in an Ionic Liquid. Ind. Eng. Chem. Res. 2013, 52, 8167–8173. [Google Scholar] [CrossRef]
- Qiu, S.; Zhang, H.; Nie, D.; Wang, W.; Nie, G. Designing a 3D-MoS2 Nanocomposite Based on the Donnan Membrane Effect for Superselective Pb(II) Removal from Water. Chem. Eng. J. 2023, 452, 139101. [Google Scholar] [CrossRef]
- Pan, J.; Deng, H.; Du, Z.; Tian, K.; Zhang, J. Design of Nitrogen-Phosphorus-Doped Biochar and Its Lead Adsorption Performance. Environ. Sci. Pollut. Res. 2022, 29, 28984–28994. [Google Scholar] [CrossRef]
- Xu, C.; Feng, Y.; Li, H.; Wu, R.; Ju, J.; Liu, S.; Yang, Y.; Wang, B. Adsorption of Heavy Metal Ions by Iron Tailings: Behavior, Mechanism, Evaluation and New Perspectives. J. Clean Prod. 2022, 344, 131065. [Google Scholar] [CrossRef]
- Liu, X.; Li, Y.; Wang, C.; Ji, M. Cr(VI) Removal by a New Type of Anion Exchange Resin DEX-Cr: Adsorption Affecting Factors, Isotherms, Kinetics, and Desorption Regeneration. Environ. Prog. Sustain. Energy 2015, 34, 387–393. [Google Scholar] [CrossRef]
- Daneshvar, E.; Zarrinmehr, M.J.; Kousha, M.; Hashtjin, A.M.; Saratale, G.D.; Maiti, A.; Vithanage, M.; Bhatnagar, A. Hexavalent Chromium Removal from Water by Microalgal-Based Materials: Adsorption, Desorption and Recovery Studies. Bioresour. Technol. 2019, 293, 122064. [Google Scholar] [CrossRef] [PubMed]


















| First-Order Kinetic Model | Second-Order Kinetic Model | |||||
|---|---|---|---|---|---|---|
| qe (mg/g) | K1 (min−1) | R2 | qe (mg/g) | K2 (g·min−1·mg−1) | R2 | |
| Cr(VI) | 10.14 | 0.0044 | 0.6613 | 25.84 | 0.0033 | 0.9995 |
| Pb(II) | 66.27 | 0.0084 | 0.8608 | 68.97 | 0.0015 | 0.9996 |
| Model Type | Model Equations | Parameters | |
|---|---|---|---|
| Langmuir | R2 | 0.98 | |
| 0.97 | |||
| qm | 61.73 | ||
| 63.69 | |||
| KL | 0.0038 | ||
| 0.083 | |||
| RL | 0.81 | ||
| 0.16 | |||
| Freundlich | R2 | 0.98 | |
| 0.96 | |||
| n | 1.40 | ||
| 8.33 | |||
| KF | 0.56 | ||
| 17.38 | |||
| Tempkin | R2 | 0.90 | |
| 0.96 | |||
| bT | 158.76 | ||
| 200.88 | |||
| KT | 0.031 | ||
| 1.22 | |||
| Dubinin–Radushkevich | R2 | 0.83 | |
| 0.90 | |||
| qm | 30.68 | ||
| 54.60 | |||
| KD | 8 × 10−7 | ||
| 1.75 × 10−5 | |||
| ES | 790.51 | ||
| 168.92 | |||
| ΔG KJ/mol | |||||||||
|---|---|---|---|---|---|---|---|---|---|
| R2 | ΔH KJ/mol | ΔS J/(mol·K) | T/°C | ||||||
| 1/T − qe | 1/T − ln(KC) | 25 | 30 | 40 | 50 | 60 | |||
| Cr(VI) | 0.96 | 0.96 | 6.32 | 28.34 | −2.13 | −2.27 | −2.55 | −2.84 | −3.12 |
| Pb(II) | 0.97 | 0.97 | −5.95 | −19.54 | −0.13 | −0.03 | 0.16 | 0.36 | 0.55 |
| Adsorbents | pH | qm (mg/g) |
|---|---|---|
| Polyethyleneimine modified ethyl cellulose | 1.0 | 36.8 |
| Polyaniline coated ethyl cellulose | 1.0 | 38.8 |
| Apple peel | 2.0 | 36.0 |
| Sunflower scrap | 2.0 | 53.8 |
| EDTA-modified sisal natural fiber | 2.0 | 61.5 |
| Banana Biochar | 2.0 | 125.4 |
| Grapefruit peel biochar | 2.0 | 57.7 |
| Aminated cross-linked chitosan | 2.0 | 352.0 |
| Wheat bran | 3.0 | 0.9 |
| Walnut shells | 3.0 | 50.1 |
| Chitosan electrospinning fiber | 3.0 | 208.0 |
| Coconut fiber | 4.5 | 4.6 |
| Corn stalks | 4.5 | 89.5 |
| Activated carbon supported amine cross-linked copolymer | 5.0 | 102.9 |
| Cationic cross-linked starch | 5.5 | 74.4 |
| This work | 2.0 | 61.7 |
| Adsorbents | pH | qm (mg/g) |
|---|---|---|
| Mesoporous activated carbon | 7 | 20.3 |
| Cellulose-chitosan–pyridine | 5 | 80.3 |
| Thiol-modified rice straw biochar | 5 | 61.4 |
| Thiol-functionalized cellulose nanofiber | 4 | 22.0 |
| Apple pulp activated carbon | 5.5 | 15.96 |
| Magnetic litchi peel | 6 | 78.7 |
| Cellulose acetate electrospinning membrane | 6 | 70.50 |
| Biochar derived from poplar saw dust | 5 | 62.68 |
| Chitosan microspheres | 7 | 78.9 |
| Phosphoric acid-based cellulose microspheres | 5 | 108.5 |
| This work | 5 | 63.7 |
| Desorption Agent | Adsorbent | Desorption Rate (%) |
|---|---|---|
| 1.0 wt% NaOH solution | DAC-12-GT | 13.3 |
| Mixture of 1.0 wt% NaOH and 1.0 wt% NaCl solutions | DAC-12-GT | 12.5 |
| 10 wt% NaOH solution | DAC-12-GT | 4.8 |
| 1.0 mol/L HNO3 | DAC-12-S | 45.4 |
| 1.0 mol/L EDTA | DAC-12-S | 61.3 |
Disclaimer/Publisher’s Note: The statements, opinions and data contained in all publications are solely those of the individual author(s) and contributor(s) and not of MDPI and/or the editor(s). MDPI and/or the editor(s) disclaim responsibility for any injury to people or property resulting from any ideas, methods, instructions or products referred to in the content. |
© 2023 by the authors. Licensee MDPI, Basel, Switzerland. This article is an open access article distributed under the terms and conditions of the Creative Commons Attribution (CC BY) license (https://creativecommons.org/licenses/by/4.0/).
Share and Cite
Liu, L.; Ma, H.; Khan, M.; Hsiao, B.S. Highly Efficient Cationic/Anionic Cellulose Membranes for Removal of Cr(VI) and Pb(II) Ions. Membranes 2023, 13, 651. https://doi.org/10.3390/membranes13070651
Liu L, Ma H, Khan M, Hsiao BS. Highly Efficient Cationic/Anionic Cellulose Membranes for Removal of Cr(VI) and Pb(II) Ions. Membranes. 2023; 13(7):651. https://doi.org/10.3390/membranes13070651
Chicago/Turabian StyleLiu, Lu, Hongyang Ma, Madani Khan, and Benjamin S. Hsiao. 2023. "Highly Efficient Cationic/Anionic Cellulose Membranes for Removal of Cr(VI) and Pb(II) Ions" Membranes 13, no. 7: 651. https://doi.org/10.3390/membranes13070651
APA StyleLiu, L., Ma, H., Khan, M., & Hsiao, B. S. (2023). Highly Efficient Cationic/Anionic Cellulose Membranes for Removal of Cr(VI) and Pb(II) Ions. Membranes, 13(7), 651. https://doi.org/10.3390/membranes13070651

