Flame-Resistant Poly(vinyl alcohol) Composites with Improved Ionic Conductivity
Abstract
1. Introduction
2. Materials and Methods
2.1. Materials
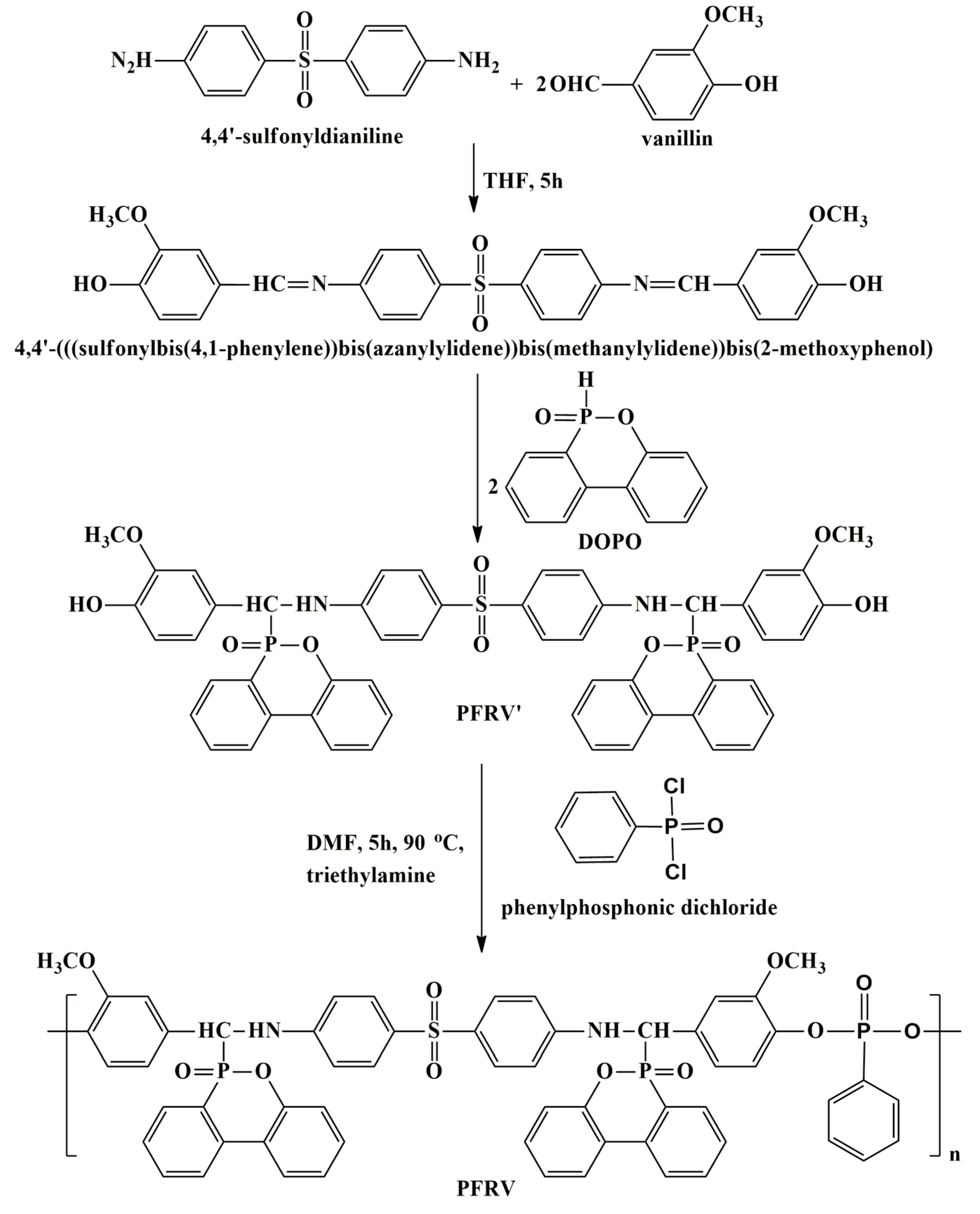
2.2. Preparation of 4,4′-(Bis(4-hidroxy-3-methoxyphenyl)(6-oxido-6H-dibenzo))
2.3. Preparation of Polyphosphonate Based on DOPO and Vanillin (PFRV)
2.4. Preparation of PVA Composites
2.5. Measurements
3. Results
3.1. Synthesis and Characterization of PFRV
3.2. Structural and Morphological Characterization of PVA Composites
3.3. Thermal Characterization of PVA Composites
3.4. Microscale Combustion Calorimetry (MCC) Tests
3.5. Electrical Properties
4. Conclusions
Author Contributions
Funding
Institutional Review Board Statement
Data Availability Statement
Conflicts of Interest
References
- Guo, Y.; Wu, S.; He, Y.-B.; Kang, F.; Chen, L.; Li, H.; Yang, Q.-H. Solid-state lithium batteries: Safety and prospects. eScience 2022, 2, 138–163. [Google Scholar] [CrossRef]
- Khurana, R.; Schaefer, J.L.; Archer, L.A.; Coates, G.W. Suppression of Lithium Dendrite Growth Using Cross-Linked Polyethylene/Poly(ethylene oxide) Electrolytes: A New Approach for Practical Lithium-Metal Polymer Batteries. J. Am. Chem. Soc. 2014, 136, 7395–7402. [Google Scholar] [CrossRef] [PubMed]
- Larrabide, A.; Rey, I.; Lizundia, E. Environmental Impact Assessment of Solid Polymer Electrolytes for Solid-State Lithium Batteries. Adv. Energy Sustain. Res. 2022, 3, 2200079. [Google Scholar] [CrossRef]
- An, Y.; Han, X.; Liu, Y.; Azhar, A.; Na, J.; Nanjundan, A.K.; Wang, S.; Yu, J.; Yamauchi, Y. Progress in Solid Polymer Electrolytes for Lithium-Ion Batteries and Beyond. Small 2022, 18, 2103617. [Google Scholar] [CrossRef]
- Ahmad, S. Retracted Article: Polymer electrolytes: Characteristics and peculiarities. Ionics 2009, 15, 309–321. [Google Scholar] [CrossRef]
- Zhou, D.; Shanmukaraj, D.; Tkacheva, A.; Armand, M.; Wang, G. Polymer Electrolytes for Lithium-Based Batteries: Advances and Prospects. Chem 2019, 5, 2326–2352. [Google Scholar] [CrossRef]
- Singh, P.; Sachdeva, A.; Bhargava, C. Polymer Electrolyte a Novel Material for Electrochemical Devices: A Review. J. Phys. Conf. Ser. 2022, 2327, 012021. [Google Scholar] [CrossRef]
- Li, H.; Yang, J.; Chen, S.; Xu, Z.; Wang, J.; Nuli, Y.; Guo, Y.; Liang, C. Inherently flame-retardant solid polymer electrolyte for safety-enhanced lithium metal battery. Chem. Eng. J. 2021, 410, 128415. [Google Scholar] [CrossRef]
- Yao, P.; Yu, H.; Ding, Z.; Liu, Y.; Lu, J.; Lavorgna, M.; Wu, J.; Liu, X. Review on Polymer-Based Composite Electrolytes for Lithium Batteries. Front. Chem. 2019, 7, 522. [Google Scholar] [CrossRef]
- Gaaz, T.S.; Sulong, A.B.; Akhtar, M.N.; Kadhum, A.A.H.; Mohamad, A.B.; Al-Amiery, A.A. Properties and Applications of Polyvinyl Alcohol, Halloysite Nanotubes and Their Nanocomposites. Molecules 2015, 20, 22833–22847. [Google Scholar] [CrossRef]
- Aslam, M.; Kalyar, M.A.; Ali Raza, Z. Polyvinyl alcohol: A review of research status and use of polyvinyl alcohol based nanocomposites. Polym. Eng. Sci. 2018, 58, 2119–2132. [Google Scholar] [CrossRef]
- Jain, N.; Singh, V.K.; Chauhan, S. A review on mechanical and water absorption properties of polyvinyl alcohol based composites/films. J. Mech. Behav. Mater. 2017, 26, 213–222. [Google Scholar] [CrossRef]
- Wang, X.; Li, Y.; Meng, D.; Gu, X.; Sun, J.; Hu, Y.; Bourbigot, S.; Zhang, S. A Review on Flame-Retardant Polyvinyl Alcohol: Additives and Technologies. Polym. Rev. 2023, 63, 324–364. [Google Scholar] [CrossRef]
- Xie, W.; Bao, Q.; Liu, Y.; Wen, H.; Wang, Q. Hydrogen Bond Association to Prepare Flame Retardant Polyvinyl Alcohol Film with High Performance. ACS Appl. Mater. Interfaces 2021, 13, 5508–5517. [Google Scholar] [CrossRef] [PubMed]
- Serbezeanu, D.; Vlad-Bubulac, T.; Hamciuc, C.; Hamciuc, E.; Grădinaru, L.M.; Lisa, G.; Anghel, I.; Şofran, I.-E.; Mocioi, I.-A.; Enache, A.A. Poly (vinyl alcohol)-oligophosphonate eco-friendly composites with improved reaction-to-fire properties. Compos. Commun. 2020, 22, 100505. [Google Scholar] [CrossRef]
- Hamciuc, C.; Vlad-Bubulac, T.; Serbezeanu, D.; Hamciuc, E.; Aflori, M.; Lisa, G.; Anghel, I.; Şofran, I.-E.; Trofin, A. Tailoring thermal and flame retardant properties via synergistic effect in polyvinyl alcohol nanocomposites based on polyphosphonate and/or SiO2 nanoparticles. Compos. Part C Open Access 2020, 3, 100063. [Google Scholar] [CrossRef]
- Peng, S.; Zhou, M.; Liu, F.; Zhang, C.; Liu, X.; Liu, J.; Zou, L.; Chen, J.; Sha, P.; Ming, Z.; et al. Flame-retardant polyvinyl alcohol membrane with high transparency based on a reactive phosphorus-containing compound. R. Soc. Open Sci. 2017, 4, 170512. [Google Scholar] [CrossRef]
- Liu, Q.; Wang, D.; Li, Z.; Li, Z.; Peng, X.; Liu, C.; Zhang, Y.; Zheng, P. Recent Developments in the Flame-Retardant System of Epoxy Resin. Materials 2020, 13, 2145. [Google Scholar] [CrossRef]
- Hamciuc, C.; Serbezeanu, D.; Carja, I.-D.; Vlad-Bubulac, T.; Musteata, V.-E.; Pérez, V.F.; López, C.G.; Buendia, A.M.L. Effect of DOPO units and of polydimethylsiloxane segments on the properties of epoxy resins. J. Mater. Sci. 2013, 48, 8520–8529. [Google Scholar] [CrossRef]
- Zhao, S.; Xu, B.; Shan, H.; Zhang, Q.; Wang, X. How Do Phosphorus Compounds with Different Valence States Affect the Flame Retardancy of PET? Polymers 2023, 15, 1917. [Google Scholar] [CrossRef]
- Hamciuc, C.; Vlad-Bubulac, T.; Serbezeanu, D.; Carja, I.-D.; Hamciuc, E.; Lisa, G.; Pérez, V.F. Environmentally friendly fire-resistant epoxy resins based on a new oligophosphonate with high flame retardant efficiency. RSC Adv. 2016, 6, 22764–22776. [Google Scholar] [CrossRef]
- Hamciuc, C.; Vlad-Bubulac, T.; Serbezeanu, D.; Lisa, G.; Anghel, I.; Preda, D.M. Eco-friendly flame retardant epoxy nanocomposites based on polyphosphonate and halloysite nanotubes. J. Vinyl Addit. Technol. 2023, 29, 29–40. [Google Scholar] [CrossRef]
- Hamciuc, C.; Vlad-Bubulac, T.; Serbezeanu, D.; Macsim, A.-M.; Lisa, G.; Anghel, I.; Şofran, I.-E. Effects of Phosphorus and Boron Compounds on Thermal Stability and Flame Retardancy Properties of Epoxy Composites. Polymers 2022, 14, 4005. [Google Scholar] [CrossRef] [PubMed]
- Carja, I.-D.; Serbezeanu, D.; Vlad-Bubulac, T.; Hamciuc, C.; Coroaba, A.; Lisa, G.; López, C.G.; Soriano, M.F.; Pérez, V.F.; Sánchez, M.D.R. A straightforward, eco-friendly and cost-effective approach towards flame retardant epoxy resins. J. Mater. Chem. A 2014, 2, 16230–16241. [Google Scholar] [CrossRef]
- You, G.; Cheng, Z.; Tang, Y.; He, H. Functional Group Effect on Char Formation, Flame Retardancy and Mechanical Properties of Phosphonate–Triazine-based Compound as Flame Retardant in Epoxy Resin. Ind. Eng. Chem. Res. 2015, 54, 7309–7319. [Google Scholar] [CrossRef]
- Salmeia, K.A.; Gaan, S. An overview of some recent advances in DOPO-derivatives: Chemistry and flame retardant applications. Polym. Degrad. Stab. 2015, 113, 119–134. [Google Scholar] [CrossRef]
- Li, F.-F. Comprehensive Review of Recent Research Advances on Flame-Retardant Coatings for Building Materials: Chemical Ingredients, Micromorphology, and Processing Techniques. Molecules 2023, 28, 1842. [Google Scholar] [CrossRef]
- Dennis, J.O.; Shukur, M.F.; Aldaghri, O.A.; Ibnaouf, K.H.; Adam, A.A.; Usman, F.; Hassan, Y.M.; Alsadig, A.; Danbature, W.L.; Abdulkadir, B.A. A Review of Current Trends on Polyvinyl Alcohol (PVA)-Based Solid Polymer Electrolytes. Molecules 2023, 28, 1781. [Google Scholar] [CrossRef]
- Gunawan, I.; Sugeng, B. Synthesis and characterization of PVA blended LiClO4 as electrolyte material for battery Li-ion. IOP Conf. Ser. Mater. Sci. Eng. 2017, 223, 012039. [Google Scholar] [CrossRef]
- Ramaswamy, M.; Malayandi, T.; Subramanian, S.; Srinivasalu, J.; Rangaswamy, M.; Soundararajan, V. Development and Study of Solid Polymer Electrolyte Based on Polyvinyl Alcohol: Mg(ClO4)2. Polym.-Plast. Technol. Eng. 2017, 56, 992–1002. [Google Scholar] [CrossRef]
- Cyriac, V.; Molakalu Padre, S.; Ismayil Sangam Chandrashekar, G.; Chavan, C.; Fakeerappa Bhajantri, R.; Murari, M.S. Tuning the ionic conductivity of flexible polyvinyl alcohol/sodium bromide polymer electrolyte films by incorporating silver nanoparticles for energy storage device applications. J. Appl. Polym. Sci. 2022, 139, e52525. [Google Scholar] [CrossRef]
- Rathod, S.G.; Bhajantri, R.F.; Ravindrachary, V.; Pujari, P.K.; Sheela, T. Ionic conductivity and dielectric studies of LiClO4 doped poly(vinylalcohol)(PVA)/chitosan(CS) composites. J. Adv. Dielectr. 2014, 04, 1450033. [Google Scholar] [CrossRef]
- Jinisha, B.; Femy, A.F.; Ashima, M.S.; Jayalekshmi, S. Polyethylene oxide (PEO)/polyvinyl alcohol (PVA) complexed with lithium perchlorate (LiClO4) as a prospective material for making solid polymer electrolyte films. Mater. Today Proc. 2018, 5 Pt 1, 21189–21194. [Google Scholar] [CrossRef]
- Varganici, C.; Rosu, L.; Lehner, S.; Hamciuc, C.; Jovic, M.; Rosu, D.; Mustata, F.; Gaan, S. Semi–interpenetrating networks based on epoxy resin and oligophosphonate: Comparative effect of three hardeners on the thermal and fire properties. Mater. Des. 2021, 212, 110237. [Google Scholar] [CrossRef]
- Vlad-Bubulac, T.; Hamciuc, C.; Serbezeanu, D.; Suflet, D.M.; Rusu, D.; Lisa, G.; Anghel, I.; Preda, D.-M.; Todorova, T.; Rîmbu, C.M. Organophosphorus Reinforced Poly(vinyl alcohol) Nanocomposites Doped with Silver-Loaded Zeolite L Nanoparticles as Sustainable Materials for Packaging Applications. Polymers 2023, 15, 2573. [Google Scholar] [CrossRef] [PubMed]
- Rathod, S.G.; Bhajantri, R.F.; Ravindrachary, V.; Poojary, B.; Pujari, P.K.; Sheela, T.; Naik, J. Influence of transport parameters on conductivity of lithium perchlorate-doped poly(vinyl alcohol)/chitosan composites. J. Elastomers Plast. 2016, 48, 442–455. [Google Scholar] [CrossRef]
- Chen-Yang, Y.; Chen, Y.; Chen, H.; Lin, W.; Tsai, C. Effect of the addition of hydrophobic clay on the electrochemical property of polyacrylonitrile/LiClO4 polymer electrolytes for lithium battery. Polymer 2009, 50, 2856–2862. [Google Scholar] [CrossRef]
- Seo, D.M.; Borodin, O.; Han, S.-D.; Boyle, P.D.; Henderson, W.A. Electrolyte Solvation and Ionic Association II. Acetonitrile-Lithium Salt Mixtures: Highly Dissociated Salts. J. Electrochem. Soc. 2012, 159, A1489. [Google Scholar] [CrossRef]
- Wu, N.; Deng, S.; Wang, F.; Wang, M.; Xia, M.; Cui, H.; Jia, H. Highly Efficient Flame-Retardant and Enhanced PVA-Based Composite Aerogels through Interpenetrating Cross-Linking Networks. Polymers 2023, 15, 657. [Google Scholar] [CrossRef]
- Zhao, P.; Rao, W.; Luo, H.; Wang, L.; Liu, Y.; Yu, C. Novel organophosphorus compound with amine groups towards self-extinguishing epoxy resins at low loading. Mater. Des. 2020, 193, 108838. [Google Scholar] [CrossRef]
- Lyon, R.E.; Walters, R.N.; Stoliarov, S.I. Thermal analysis of flammability. J. Therm. Anal. Calorim. 2007, 89, 441–448. [Google Scholar] [CrossRef]
- Lyon, R.; Safronava, N.; Walters, R.; Stoliarov, S. A statistical model for the results of flammability tests. In Proceedings of the Fire and Materials 2009, 11th International Conference and Exhibition, San Francisco, CA, USA, 26–28 January 2009. [Google Scholar]
- Ayoola, B.; Balachandran, R.; Frank, J.; Mastorakos, E.; Kaminski, C. Spatially resolved heat release rate measurements in turbulent premixed flames. Combust. Flame 2006, 144, 1–16. [Google Scholar] [CrossRef]
- Witkowski, A.; Stec, A.A.; Hull, T.R. Thermal Decomposition of Polymeric Materials. In SFPE Handbook of Fire Protection Engineering; Hurley, M.J., Ed.; Springer: New York, NY, USA, 2016; pp. 167–254. [Google Scholar]
- Schartel, B.; Pawlowski, K.H.; Lyon, R.E. Pyrolysis combustion flow calorimeter: A tool to assess flame retarded PC/ABS materials? Thermochim. Acta 2007, 462, 1–14. [Google Scholar] [CrossRef]
- Lyon, R.E.; Speitel, L.; Walters, R.N.; Crowley, S. Fire-resistant elastomers. Fire Mater. 2003, 27, 195–208. [Google Scholar] [CrossRef]
- Cogen, J.M.; Lin, T.S.; Lyon, R.E. Correlations between pyrolysis combustion flow calorimetry and conventional flammability tests with halogen-free flame retardant polyolefin compounds. Fire Mater. 2009, 33, 33–50. [Google Scholar] [CrossRef]
- Sundaramahalingam, K.; Muthuvinayagam, M.; Nallamuthu, N.; Vanitha, D.; Vahini, M. Investigations on lithium acetate-doped PVA/PVP solid polymer blend electrolytes. Polym. Bull. 2019, 76, 5577–5602. [Google Scholar] [CrossRef]
- Aziz, S.B.; Woo, T.J.; Kadir, M.F.; Ahmed, H.M. A conceptual review on polymer electrolytes and ion transport models. J. Sci. Adv. Mater. Devices 2018, 3, 1–17. [Google Scholar] [CrossRef]
- Muthiah, M.; Chellasamy, G.; Natarajan, R.; Subramanian, S.; Chinnappa, S. Proton conducting polymer electrolytes based on PVdF-PVA with NH4NO3. J. Polym. Eng. 2013, 33, 315–322. [Google Scholar] [CrossRef]










| Sample | PVA (g) | PFRV (g/%) | P (%) | BaTiO3 (g/%) | GO (g/%) | LiClO4 (g/%) | OA (g/%) |
|---|---|---|---|---|---|---|---|
| PVA-0 | 2.15 | 0 | 0 | 0 | 0 | 0 | 0.162 |
| PVA-1 | 2.15 | 0.30/11.48 | 1 | 0 | 0 | 0 | 0.162 |
| PVA-2 | 2.15 | 0.690/22.25 | 2 | 0 | 0 | 0 | 0.162 |
| PVA-3 | 2.15 | 0.319/11.48 | 1 | 0.138/5 | 0.0083/0.3 | 0 | 0.162 |
| PVA-4 | 2.15 | 0.298 | 1 | 0.109/5 | 0.0065/0.3 | 0.64/20 | 0.162 |
| PVA-5 | 2.15 | 0 | 0 | 0.109/5 | 0.0065/0.3 | 0.5663/20 | 0.162 |
| PVA-6 | 2.15 | 0.298 | 1 | 0.109/5 | 0.0065/0.3 | 1.38/35 | 0.162 |
| Sample | Tg(1) (°C) | T5(2) (°C) | T30(3) (°C) | THRI(4) (°C) | Tmax1(5) (°C) | Tmax2(5) (°C) | Char Yield at 700 °C (wt%) |
|---|---|---|---|---|---|---|---|
| PFRV | 101 | 244 | 402 | 166 | 249 | 415 | 45.7 |
| PVA-0 | 68 | 251 | 339 | 149 | 336 | 441 | 7.9 |
| PVA-1 | 51 | 184 | 308 | 125 | 324 | 452 | 17.0 |
| PVA-2 | 48 | 182 | 293 | 122 | 309 | 450 | 20.5 |
| PVA-3 | 59 | 177 | 314 | 127 | 327 | 451 | 23.6 |
| Samples | PVA-0 | PVA-1 | PVA-2 | PVA-3 |
|---|---|---|---|---|
| CY (wt%) | 3.1 | 8.5 | 13.9 | 12.0 |
| THR (kJ/g) | 20.6 | 18.3 | 16.8 | 18.0 |
| PHRR 1 (W/g) | 195.6 | 15.2 | 20.8 | 17.5 |
| TPHRR 1 (°C) | 388.1 | 229.9 | 220.2 | 224.7 |
| Time 1 (s) | 167.0 | 128.0 | 132.5 | 121.5 |
| PHRR 2 (W/g) | 94.7 | 87.2 | 60.5 | 73.9 |
| TPHRR 2 (°C) | 456.3 | 349.8 | 321.1 | 340.4 |
| Time 2 (s) | 234.5 | 247.0 | 233.5 | 236.5 |
| PHRR 3 (W/g) | - | 84.0 | 70.9 | 84.6 |
| TPHRR 3 (°C) | - | 424.1 | 418.1 | 420.5 |
| Time 3 (s) | - | 325 | 334 | 319 |
| PHRR 4 (W/g) | - | 117.1 | 121.7 | 112.9 |
| TPHRR 4 (°C) | - | 463.4 | 458.5 | 463.5 |
| Time 4 (s) | - | 365 | 374 | 362 |
| HRC (J/(g·K)) | 326.3 | 321.3 | 231.3 | 231.1 |
Disclaimer/Publisher’s Note: The statements, opinions and data contained in all publications are solely those of the individual author(s) and contributor(s) and not of MDPI and/or the editor(s). MDPI and/or the editor(s) disclaim responsibility for any injury to people or property resulting from any ideas, methods, instructions or products referred to in the content. |
© 2023 by the authors. Licensee MDPI, Basel, Switzerland. This article is an open access article distributed under the terms and conditions of the Creative Commons Attribution (CC BY) license (https://creativecommons.org/licenses/by/4.0/).
Share and Cite
Serbezeanu, D.; Hamciuc, C.; Vlad-Bubulac, T.; Ipate, A.-M.; Lisa, G.; Turcan, I.; Olariu, M.A.; Anghel, I.; Preda, D.M. Flame-Resistant Poly(vinyl alcohol) Composites with Improved Ionic Conductivity. Membranes 2023, 13, 636. https://doi.org/10.3390/membranes13070636
Serbezeanu D, Hamciuc C, Vlad-Bubulac T, Ipate A-M, Lisa G, Turcan I, Olariu MA, Anghel I, Preda DM. Flame-Resistant Poly(vinyl alcohol) Composites with Improved Ionic Conductivity. Membranes. 2023; 13(7):636. https://doi.org/10.3390/membranes13070636
Chicago/Turabian StyleSerbezeanu, Diana, Corneliu Hamciuc, Tăchiță Vlad-Bubulac, Alina-Mirela Ipate, Gabriela Lisa, Ina Turcan, Marius Andrei Olariu, Ion Anghel, and Dana Maria Preda. 2023. "Flame-Resistant Poly(vinyl alcohol) Composites with Improved Ionic Conductivity" Membranes 13, no. 7: 636. https://doi.org/10.3390/membranes13070636
APA StyleSerbezeanu, D., Hamciuc, C., Vlad-Bubulac, T., Ipate, A.-M., Lisa, G., Turcan, I., Olariu, M. A., Anghel, I., & Preda, D. M. (2023). Flame-Resistant Poly(vinyl alcohol) Composites with Improved Ionic Conductivity. Membranes, 13(7), 636. https://doi.org/10.3390/membranes13070636

