Cobalt-Based Cathode Catalysts for Oxygen-Reduction Reaction in an Anion Exchange Membrane Fuel Cell
Abstract
:1. Introduction
2. Materials and Methods
2.1. Materials
2.2. Preparation of Co-N-C Catalyst
2.3. Characterization
2.3.1. Raman Spectroscopy
2.3.2. Wide-Angle X-ray Diffraction (WXRD)
2.3.3. Scanning Electronic Microscopy (SEM)
2.3.4. Transmission Electron Microscopy (TEM)
2.3.5. Surface Area and Pore Size Measurement (BET Method)
2.4. Electrochemical Characterization
2.4.1. Current–Potential Polarization-Linear Scan Voltammetry (LSV)
2.4.2. MEA Preparation
2.4.3. Single-Cell Performance Testing
3. Results and Discussion
3.1. FTIR
3.2. XRD
3.3. Raman Spectroscopy
3.4. SEM and TEM Micrographs
3.5. BET Surface Area and Pore Size Distribution
3.6. Possible Mechanism of ORR by Co-N-C Cathode Catalyst
3.7. Electrochemical Properties
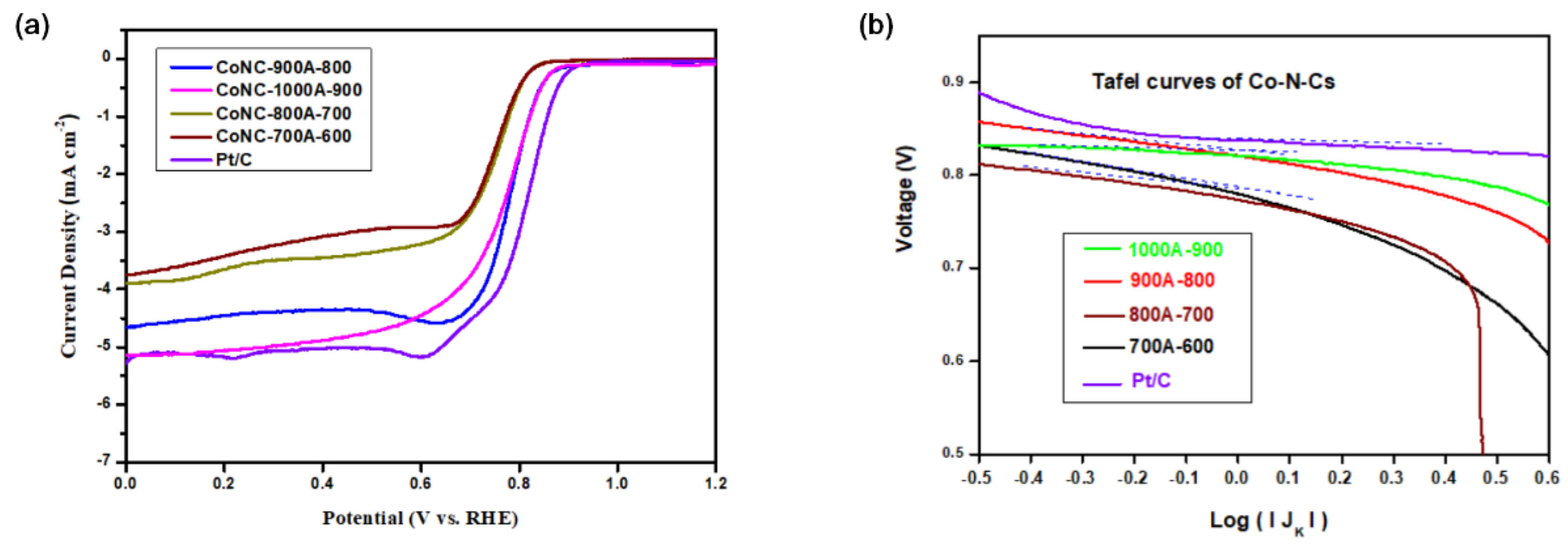
3.7.1. CV and LSV Measurements
3.7.2. MEA and Single Cell Testing
3.7.3. Durability and Stability Test of Cathode Catalyst
4. Conclusions
Author Contributions
Funding
Institutional Review Board Statement
Informed Consent Statement
Data Availability Statement
Acknowledgments
Conflicts of Interest
References
- He, D.; Zeng, C.; Xu, C.; Cheng, N.; Li, H.; Mu, S.; Pan, M. Polyaniline-functionalized carbon nanotube supported platinum catalysts. Langmuir 2011, 27, 5582–5588. [Google Scholar] [CrossRef] [PubMed]
- Michel, M.; Ettingshausen, F.; Scheiba, F.; Wolz, A.; Roth, C. Using layer-by-layer assembly of polyaniline fibers in the fast preparation of high performance fuel cell nanostructured membrane electrodes. Phys. Chem. Chem. Phys. 2008, 10, 3796–3801. [Google Scholar] [CrossRef] [PubMed]
- Kinoshita, K. Carbon: Electrochemical and Physicochemical Properties; Wiley: New York, NY, USA, 1988; pp. 5–10. [Google Scholar]
- Kinoshita, K.; Bett, J.A.S. Potentiodynamic analysis of surface oxides on carbon blacks. Carbon 1973, 11, 403–411. [Google Scholar] [CrossRef]
- Yang, Z.; Wang, M.; Liu, G.; Chen, M.; Ye, F.; Zhang, W.; Yang, W.; Wang, X. Octahedral Pt-Ni nanoparticles prepared by pulse-like hydrothermal method for oxygen reduction reaction. Ionics 2019, 26, 293–300. [Google Scholar] [CrossRef]
- Wu, R.-H.; Tsai, M.-J.; Ho, K.-S.; Wei, T.-E.; Hsieh, T.-H.; Han, Y.-K.; Kuo, C.-W.; Tseng, P.-H.; Wang, Y.-Z. Sulfonated polyaniline nanofiber as Pt-catalyst conducting support for proton exchange membrane fuel cell. Polymer 2014, 55, 2035–2043. [Google Scholar] [CrossRef]
- Wang, Y.-Z.; Chang, K.-J.; Hung, L.-F.; Ho, K.-S.; Chen, J.-P.; Hsieh, T.-H.; Chao, L. Carboxylated carbonized polyaniline nanofibers as Pt-catalyst conducting support for proton exchange membrane fuel cell. Synth. Met. 2014, 188, 21–29. [Google Scholar] [CrossRef]
- Wang, Y.-Z.; Ko, T.-H.; Huang, W.-Y.; Hsieh, T.-H.; Ho, K.-S.; Chen, Y.-Y.; Hsieh, S.-J. Preparation of Pt-Catalyst by Poly (p-phenylenediamine) Nanocomposites Assisted by Microwave Radiation for Proton Exchange Membrane Fuel Cell. Polymer 2018, 10, 1388. [Google Scholar] [CrossRef] [Green Version]
- Tsai, M.-J.; Hsieh, T.-H.; Wang, Y.-Z.; Ho, K.-S.; Chang, C.-Y. Microwave Assisted Reduction of Pt-Catalyst by N-Phenyl-p-Phenylenediamine for Proton Exchange Membrane Fuel Cells. Polymer 2017, 9, 104. [Google Scholar] [CrossRef] [Green Version]
- Huang, W.-Y.; Chang, M.-Y.; Wang, Y.-Z.; Huang, Y.-C.; Ho, K.-S.; Hsieh, T.-H.; Kuo, Y.-C. Polyaniline Based Pt-Electrocatalyst for a Proton Exchanged Membrane Fuel Cell. Polymer 2020, 12, 617. [Google Scholar] [CrossRef] [Green Version]
- Bai, L.; Hsu, C.-S.; Alexander, D.T.L.; Chen, H.M.; Hu, X. A Cobalt–Iron Double-Atom Catalyst for the Oxygen Evolution Reaction. J. Am. Chem. Soc. 2019, 141, 14190–14199. [Google Scholar] [CrossRef]
- Liang, X.; Li, Z.; Xiao, H.; Zhang, T.; Xu, P.; Zhang, H.; Gao, Q.; Zheng, L. Two Types of Single-Atom FeN4 and FeN5 Electrocatalytic Active Centers on N-Doped Carbon Driving High Performance of the SA-Fe-NC Oxygen Reduction Reaction Catalyst. Chem. Mater. 2021, 33, 5542–5555. [Google Scholar] [CrossRef]
- Lei, H.-Y.; Piao, J.-H.; Brouzgou, A.; Gorbova, E.; Tsiakaras, P.; Liang, Z.-X. Synthesis of nitrogen-doped mesoporous carbon nanosheets for oxygen reduction electrocatalytic activity enhancement in acid and alkaline media. Int. J. Hydrogen Energy 2019, 44, 4423–4431. [Google Scholar] [CrossRef]
- Wang, Y.; Yang, Y.; Jia, S.; Wang, X.; Lyu, K.; Peng, Y.; Zheng, H.; Wei, X.; Ren, H.; Xiao, L.; et al. Synergistic Mn-Co catalyst outperforms Pt on high-rate oxygen reduction for alkaline polymer electrolyte fuel cells. Nat. Commun. 2019, 10, 1506. [Google Scholar] [CrossRef] [PubMed] [Green Version]
- Cheng, Y.W.; Hsieh, T.H.; Huang, Y.C.; Tseng, P.H.; Wang, Y.Z.; Ho, K.S.; Huang, Y.J. Calcined Co(II)-Chelated Polyazomethine as Cathode Catalyst of Anion Exchange Membrane Fuel Cells. Polymer 2022, 14, 1784. [Google Scholar] [CrossRef]
- Hsieh, T.H.; Chen, S.N.; Wang, Y.Z.; Ho, K.S.; Chuang, J.K.; Ho, L.C. Cobalt-Doped Carbon Nitride Frameworks Obtained from Calcined Aromatic Polyimines as Cathode Catalyst of Anion Exchange Membrane Fuel Cells. Membranes 2022, 12, 74. [Google Scholar] [CrossRef]
- Cheng, Y.W.; Huang, W.Y.; Ho, K.S.; Hsieh, T.H.; Jheng, L.C.; Kuo, Y.M. Fe, N-Doped Metal Organic Framework Prepared by the Calcination of Iron Chelated Polyimines as the Cathode-Catalyst of Proton Exchange Membrane Fuel Cells. Polymer 2021, 13, 3850. [Google Scholar] [CrossRef]
- Huang, W.Y.; Jheng, L.C.; Hsieh, T.H.; Ho, K.S.; Wang, Y.Z.; Gao, Y.J.; Tseng, P.H. Calcined Co(II)-Triethylenetetramine, Co(II)- Polyaniline-Thiourea as the Cathode Catalyst of Proton Exchanged Membrane Fuel Cell. Polymer 2020, 12, 3070. [Google Scholar] [CrossRef]
- Zhang, H.-J.; Zhang, X.; Li, H.; Zhang, W.; Ma, Z.-F.; Yang, J. Improve the electrocatalytic performance of non-precious metal CoDETA/C catalyst for oxygen reduction reaction by post-treatment. Int. J. Hydrogen Energy 2017, 42, 14115–14123. [Google Scholar] [CrossRef]
- Zhang, H.-J.; Li, H.; Li, X.; Qiu, H.; Yuan, X.; Zhao, B.; Ma, Z.-F.; Yang, J. Pyrolyzing cobalt diethylenetriamine chelate on carbon (CoDETA/C) as a family of non-precious metal oxygen reduction catalyst. Int. J. Hydrogen Energy 2014, 39, 267–276. [Google Scholar] [CrossRef]
- Huh, Y.; Green, M.L.H.; Kim, Y.H.; Lee, J.Y.; Lee, C.J. Control of carbon nanotube growth using cobalt nanoparticles as catalyst. Appl. Surf. Sci. 2005, 249, 145–150. [Google Scholar] [CrossRef]
- Zhang, Y.B.; Lau, S.P.; Li, H.F. Field emission from nanoforest carbon nanotubes grown on cobalt-containing amorphous carbon composite films. J. Appl. Phys. 2007, 101, 033524. [Google Scholar] [CrossRef]
- Wang, Y.; Qiu, L.; Zhang, L.; Tang, D.-M.; Ma, R.; Wang, Y.; Zhang, B.; Ding, F.; Liu, C.; Cheng, H.-M. Precise Identification of the Active Phase of Cobalt Catalyst for Carbon Nanotube Growth by In Situ Transmission Electron Microscopy. ACS Nano 2020, 14, 16823–16831. [Google Scholar] [CrossRef] [PubMed]
- Lin, M.; Tan, J.P.Y.; Boothroyd, C.; Loh, K.P.; Tok, E.S.; Foo, Y.-L. Dynamical Observation of Bamboo-like Carbon Nanotube Growth. Nano Lett. 2007, 7, 2234–2238. [Google Scholar] [CrossRef] [PubMed]
- Wang, A.; Li, J.; Zhang, T. Heterogeneous single-atom catalysis. Nat. Rev. Chem. 2018, 2, 65–81. [Google Scholar] [CrossRef]
- Zhang, L.; Ren, Y.; Liu, W.; Wang, A.; Zhang, T. Single-atom catalyst: A rising star for green synthesis of fine chemicals. Natl. Sci. Rev. 2018, 5, 653–672. [Google Scholar] [CrossRef] [Green Version]
- Cheng, N.; Zhang, L.; Doyle-Davis, K.; Sun, X. Single-Atom Catalysts: From Design to Application. Electrochem. Energy Rev. 2019, 2, 539–573. [Google Scholar] [CrossRef] [Green Version]
- Cui, L.; Cui, L.; Li, Z.; Zhang, J.; Wang, H.; Lu, S.; Xiang, Y. A copper single-atom catalyst towards efficient and durable oxygen reduction for fuel cells. J. Mater. Chem. A 2019, 7, 16690–16695. [Google Scholar] [CrossRef]
- Peng, X.; Omasta, T.J.; Magliocca, E.; Wang, L.G.; Varcoe, J.R.; Mustain, W.E. Nitrogen-doped Carbon–CoOx Nanohybrids: A Precious Metal Free Cathode that Exceeds 1.0 W cm−2 Peak Power and 100 h Life in Anion-Exchange Membrane Fuel Cells. Angew. Chem. 2019, 58, 1046–1051. [Google Scholar] [CrossRef] [Green Version]
- Yang, H.; Li, Z.; Kou, S.; Lu, G.; Liu, Z. A complex-sequestered strategy to fabricate Fe single-atom catalyst for efficient oxygen reduction in a broad pH-range. Appl. Catal. B Environ. 2020, 278, 119270. [Google Scholar] [CrossRef]
- Kaiser, S.K.; Chen, Z.; Akl, D.F.; Mitchell, S.; Perez-Ramirez, J. Single-Atom Catalysts across the Periodic Table. Chem. Rev. 2020, 120, 11703–11809. [Google Scholar] [CrossRef]
- Han, J.; Bian, J.; Sun, C. Recent Advances in Single-Atom Electrocatalysts for Oxygen Reduction Reaction. Research 2020, 2020, 9512763. [Google Scholar] [CrossRef] [PubMed]
- Zhong, L.; Li, S. Unconventional Oxygen Reduction Reaction Mechanism and Scaling Relation on Single-Atom Catalysts. ACS Catal. 2020, 10, 4313–4318. [Google Scholar] [CrossRef]
- Zhao, C.X.; Li, B.Q.; Liu, J.N.; Zhang, Q. Intrinsic Electrocatalytic Activity Regulation of M–N–C Single-Atom Catalysts for the Oxygen Reduction Reaction. Angew. Chem. Int. Ed. 2021, 60, 4448–4463. [Google Scholar] [CrossRef]
- Guo, J.; Li, B.; Zhang, Q.; Liu, Q.; Wang, Z.; Zhao, Y.; Shui, J.; Xiang, Z. Highly Accessible Atomically Dispersed Fe-N x Sites Electrocatalyst for Proton-Exchange Membrane Fuel Cell. Adv. Sci. 2021, 8, 2002249. [Google Scholar] [CrossRef]
- Zhang, A.; Zhou, M.; Liu, S.; Chai, M.; Jiang, S. Synthesis of Single-Atom Catalysts Through Top-Down Atomization Approaches. Front. Catal. 2021, 1, 11. [Google Scholar] [CrossRef]
- Logeshwaran, N.; Panneerselvam, I.R.; Ramakrishnan, S.; Kumar, R.S.; Kim, A.R.; Wang, Y.; Yoo, D.J. Quasihexagonal Platinum Nanodendrites Decorated over CoS2-N-Doped Reduced Graphene Oxide for Electro-Oxidation of C1-, C2-, and C3-Type Alcohols. Adv. Sci. 2022, 9, 2105344. [Google Scholar] [CrossRef]
- Logeshwaran, N.; Ramakrishnan, S.; Chandrasekaran, S.S.; Vinothkannan, M.; Kim, A.R.; Sengodan, S.; Velusamy, D.B.; Varadhan, P.; He, J.-H.; Yoo, D.J. An efficient and durable trifunctional electrocatalyst for zinc–air batteries driven overall water splitting. Appl. Catal. B Environ. 2021, 297, 120405. [Google Scholar] [CrossRef]
- Kisand, K.; Sarapuu, A.; Danilian, D.; Kikas, A.; Kisand, V.; Rahn, M.; Treshchalov, A.; Kaarik, M.; Merisalu, M.; Paiste, P.; et al. Transition metal-containing nitrogen-doped nanocarbon catalysts derived from 5-methylresorcinol for anion exchange membrane fuel cell application. J. Colloid Interface Sci. 2021, 584, 263–274. [Google Scholar] [CrossRef]
- Lilloja, J.; Kibena-Poldsepp, E.; Sarapuu, A.; Kikas, A.; Kisand, V.; Kaarik, M.; Merisalu, M.; Treshchalov, A.; Leis, J.; Sammelselg, V.; et al. Nitrogen-doped carbide-derived carbon/carbon nanotube composites as cathode catalysts for anion exchange membrane fuel cell application. Appl. Catal. B-Environ. 2020, 272, 119012. [Google Scholar] [CrossRef]
- Zhang, J.F.; Zhu, W.K.; Pei, Y.B.; Liu, Y.; Qin, Y.Z.; Zhang, X.W.; Wang, Q.F.; Yin, Y.; Guiver, M.D. Hierarchically Porous Co-N-C Cathode Catalyst Layers for Anion Exchange Membrane Fuel Cells. Chemsuschem 2019, 12, 4165–4169. [Google Scholar] [CrossRef]
- Truong, V.M.; Yang, M.K.; Yang, H. Functionalized Carbon Black Supported Silver (Ag/C) Catalysts in Cathode Electrode for Alkaline Anion Exchange Membrane Fuel Cells. Int. J. Precis. Eng. Manuf.-Green Technol. 2019, 6, 711–721. [Google Scholar] [CrossRef]
- Zhang, J.F.; Pei, Y.B.; Zhu, W.K.; Liu, Y.; Yin, Y.; Qin, Y.Z.; Guiver, M.D. Ionomer dispersion solvent influence on the microstructure of Co-N-C catalyst layers for anion exchange membrane fuel cell. J. Power Sources 2021, 484, 229259. [Google Scholar] [CrossRef]
- Peng, X.; Kashyap, V.; Ng, B.; Kurungot, S.; Wang, L.Q.; Varcoe, J.R.; Mustain, W.E. High-Performing PGM-Free AEMFC Cathodes from Carbon-Supported Cobalt Ferrite Nanoparticles. Catalysts 2019, 9, 264. [Google Scholar] [CrossRef] [Green Version]
- Lilloja, J.; Kibena-Poldsepp, E.; Sarapuu, A.; Kodali, M.; Chen, Y.C.; Asset, T.; Kaarik, M.; Merisalu, M.; Paiste, P.; Aruvali, J.; et al. Cathode Catalysts Based on Cobalt- and Nitrogen-Doped Nanocarbon Composites for Anion Exchange Membrane Fuel Cells. ACS Appl. Energy Mater. 2020, 3, 5375–5384. [Google Scholar] [CrossRef]
- Sibul, R.; Kibena-Poldsepp, E.; Ratso, S.; Kook, M.; Sougrati, M.T.; Kaarik, M.; Merisalu, M.; Aruvali, J.; Paiste, P.; Treshchalov, A.; et al. Iron- and Nitrogen-Doped Graphene-Based Catalysts for Fuel Cell Applications. Chemelectrochem 2020, 7, 1739–1747. [Google Scholar] [CrossRef]
- Piana, M.; Boccia, M.; Filpi, A.; Flammia, E.; Miller, H.A.; Orsini, M.; Salusti, F.; Santiccioli, S.; Ciardelli, F.; Pucci, A. H-2/air alkaline membrane fuel cell performance and durability, using novel ionomer and non-platinum group metal cathode catalyst. J. Power Sources 2010, 195, 5875–5881. [Google Scholar] [CrossRef]
- Li, X.G.; Popov, B.N.; Kawahara, T.; Yanagi, H. Non-precious metal catalysts synthesized from precursors of carbon, nitrogen, and transition metal for oxygen reduction in alkaline fuel cells. J. Power Sources 2011, 196, 1717–1722. [Google Scholar] [CrossRef]
- Wang, C.H.; Yang, C.W.; Lin, Y.C.; Chang, S.T.; Chang, S.L.Y. Cobalt-iron(II,III) oxide hybrid catalysis with enhanced catalytic activities for oxygen reduction in anion exchange membrane fuel cell. J. Power Sources 2015, 277, 147–154. [Google Scholar] [CrossRef]
- Palaniselvam, T.; Kashyap, V.; Bhange, S.N.; Baek, J.B.; Kurungot, S. Nanoporous Graphene Enriched with Fe/Co-N Active Sites as a Promising Oxygen Reduction Electrocatalyst for Anion Exchange Membrane Fuel Cells. Adv. Funct. Mater. 2016, 26, 2150–2162. [Google Scholar] [CrossRef]













| Functional Groups | Assigned Wave Numbers (cm−1) |
|---|---|
| -NH- & -NH2- stretch | 3424, 3363 |
| -CH2-CH2- stretch | 2987, 2903 |
| -C=O stretch | 1701 |
| -C=N- stretch | 1640 |
| -CH2-CH2- bending | 1523 |
| para-sub. benzene ring | 817 |
| CoNC-Catalysts | C | N | O | Co |
|---|---|---|---|---|
| 1000A-900 | 92.21% | 4.59% | 3.57% | 0.64% |
| 900A-800 | 92.36% | 4.52% | 2.84% | 0.27% |
| 800A-700 | 84.73% | 8.74% | 5.95% | 0.84% |
| Co-N-Cs | BET SA (m2/g) | SAmicro (m2/g) | SAext (m2/g) | Vmicro (cm3) | Vext (cm3) | Vtot (cm3) |
|---|---|---|---|---|---|---|
| 1000A-900 | 583.58 | 65.76 | 517.82 | 0.24 | 1.92 | 2.18 |
| 900A-800 | 452.58 | 36.42 | 416.16 | 0.10 | 1.12 | 1.27 |
| 800A-700 | 417.42 | 41.53 | 375.89 | 0.11 | 1.00 | 1.11 |
| Co-N-C Catalysts | Jred a (mAcm−2) | Vonset a (V) | V1/2 a (V) | Tafel Slope b (mVdec−1) | Pmax c (mWcm−2) |
|---|---|---|---|---|---|
| 1000A-900 | 5.14 | 1.35 | 0.77 | 76.9 | 361 |
| 900A-800 | 4.65 | 1.26 | 0.78 | 78.2 | 184 |
| 800A-700 | 3.89 | 1.25 | 0.72 | 88.3 | 109 |
| 700A-600 | 3.75 | 1.19 | 0.73 | 93.6 | - |
| Pt/C | 5.27 | 1.43 | 0.80 | 78.9 | 284 |
| Cathode Catalyst | Cathode Loading (mg/cm2) | Anode Catalyst | Power Density (mW/cm2) | Ref. |
|---|---|---|---|---|
| Co-N-C (PIM) | 0.8 | 20 wt% Pt/C | 361 | This work |
| Pt/C | 0.8 | 20 wt% Pt/C | 284 | This work |
| Co-N-C (aromatic PIM) | 0.8 | 20 wt% Pt/C | 275 | [15] |
| Co-N-C (aromatic PIM) | 0.8 | 20 wt% Pt/C | 374 | [16] |
| FeCoNC-at | 2 | Pt-Ru/C(wt% 50:25:25) | 415 | [39] |
| Co-N-CDC/CNT | 0.4 | Pt-Ru/C (wt% 50/25/25) | 577 | [40] |
| ZIF-CB-700 | 0.4 | 60 wt% Pt/C | 122 | [41] |
| Ag/C | 0.8 | 40 wt% Pt/C, | 207 | [42] |
| Co–N–C | 0.4 | 60% Pt/C | 181 | [43] |
| CoFe2O4 on Vulcan XC-72 | 2.4 | Pt-Ru | 670 | [44] |
| N-doped CDC/ CNT | 0.4 | 40 wt% Pt/C | 310 | [45] |
| Fe-N-Graphene | 0.6 | Pt-Ru/C | 243 | [46] |
| HypermecTM 4020 (FeCo-based) | 0.8 | 40% Pt/C, 0.45 mgPt cm−2 | 205 | [47] |
| CoFeN/C | 0.4 | 46% Pt/C | 177 | [48] |
| Co-Fe3O4/C | 0.8 | Pt/C | 114 | [49] |
| Fe/Co-NpGr | 2.5 | 40 wt% Pt/C, 0.80 mgPt cm−2 | 35 | [50] |
Publisher’s Note: MDPI stays neutral with regard to jurisdictional claims in published maps and institutional affiliations. |
© 2022 by the authors. Licensee MDPI, Basel, Switzerland. This article is an open access article distributed under the terms and conditions of the Creative Commons Attribution (CC BY) license (https://creativecommons.org/licenses/by/4.0/).
Share and Cite
Hsieh, T.-H.; Wang, Y.-Z.; Ho, K.-S. Cobalt-Based Cathode Catalysts for Oxygen-Reduction Reaction in an Anion Exchange Membrane Fuel Cell. Membranes 2022, 12, 699. https://doi.org/10.3390/membranes12070699
Hsieh T-H, Wang Y-Z, Ho K-S. Cobalt-Based Cathode Catalysts for Oxygen-Reduction Reaction in an Anion Exchange Membrane Fuel Cell. Membranes. 2022; 12(7):699. https://doi.org/10.3390/membranes12070699
Chicago/Turabian StyleHsieh, Tar-Hwa, Yen-Zen Wang, and Ko-Shan Ho. 2022. "Cobalt-Based Cathode Catalysts for Oxygen-Reduction Reaction in an Anion Exchange Membrane Fuel Cell" Membranes 12, no. 7: 699. https://doi.org/10.3390/membranes12070699
APA StyleHsieh, T.-H., Wang, Y.-Z., & Ho, K.-S. (2022). Cobalt-Based Cathode Catalysts for Oxygen-Reduction Reaction in an Anion Exchange Membrane Fuel Cell. Membranes, 12(7), 699. https://doi.org/10.3390/membranes12070699
