Cell Attachment Capacity and Compounds of Fibrin Membranes Isolated from Fresh Frozen Plasma and Cryoprecipitate
Abstract
1. Introduction
2. Materials and Methods
2.1. Cryoprecipitate Isolation and Blood Component Measurements
2.2. Fibrin Membrane Preparation and Weight Measurement
2.3. Human PDGF-AB ELISA
2.4. Cell Culture
2.5. Live-Dead Staining of Mesenchymal Stem Cells Cultured on the Fibrin Membranes
2.6. Viability of hBM-dMSCs Cultured on the Fibrin Membranes Measured by XTT
2.7. Statistical Analysis
3. Results
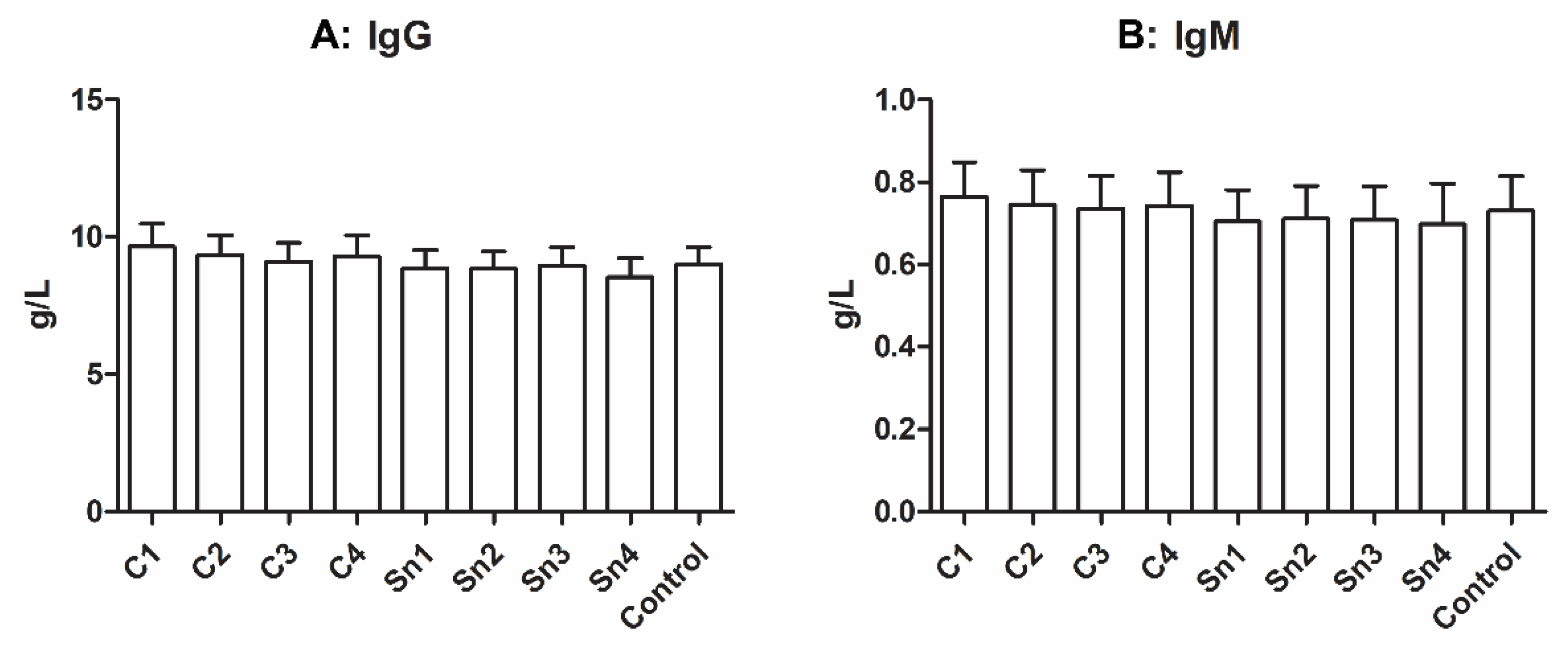
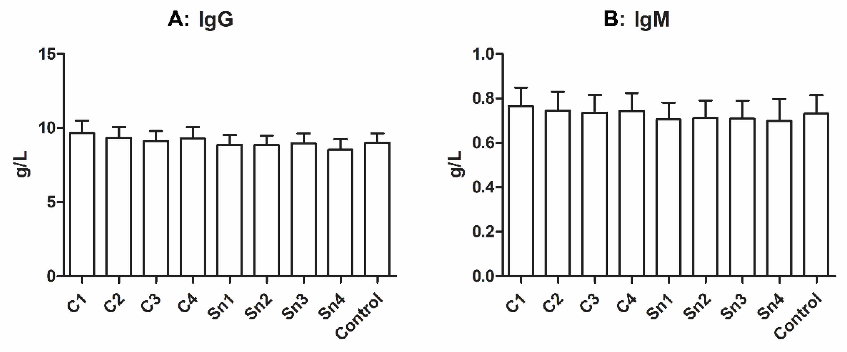
3.1. Blood Component Measurements in Cryoprecipitates
3.2. Weight Measurement of the Freeze-Dried Fibrin Membranes
3.3. Human PDGF-AB Concentration
3.4. Live-Dead Staining of hBM-dMSCs Cultured on the Fibrin Membranes
3.5. Viability of hBM-dMSCs Cultured on the Fibrin Membranes Measured by XTT
4. Discussion
5. Conclusions
Author Contributions
Funding
Institutional Review Board Statement
Informed Consent Statement
Data Availability Statement
Acknowledgments
Conflicts of Interest
References
- Kattula, S.; Byrnes, J.R.; Wolberg, A.S. Fibrinogen and fibrin in hemostasis and thrombosis. Arterioscler. Thromb. Vasc. Biol. 2017, 37, e13–e21. [Google Scholar] [CrossRef]
- Weisel, J.W.; Litvinov, R.I. Fibrin formation, structure and properties. Subcell. Biochem. 2017, 82, 405–456. [Google Scholar]
- Litvinov, R.I.; Weisel, J.W. what is the biological and clinical relevance of fibrin? Semin. Thromb. Hemost. 2016, 42, 333–343. [Google Scholar] [CrossRef]
- Walton, B.L.; Byrnes, J.R.; Wolberg, A.S. Fibrinogen, red blood cells, and factor XIII in venous thrombosis. J. Thromb. Haemost. 2015, 13 (Suppl. 1), S208–S215. [Google Scholar] [CrossRef]
- Wong, H.; Curry, N.N. Cryoprecipitate transfusion: Current perspectives. Int. J. Clin. Transfus. Med. 2016, 4, 89–97. [Google Scholar]
- Iliassa, I.I.; Mohammad, W.M.; Tan, J.J.; Ayob, Y. A retrospective review of cryoprecipitate transfusion practice in Kuala Lumpur Hospital. Asian J. Transfus. Sci. 2016, 10, 145–149. [Google Scholar] [PubMed]
- Nascimento, B.; Goodnough, L.T.; Levy, J.H. Cryoprecipitate therapy. Br. J. Anaesth. 2014, 113, 922–934. [Google Scholar] [CrossRef] [PubMed]
- Lasky, J.; Teitel, J.; Wang, M.; Dalton, D.; Schmidt, D.S.; Brainsky, A. Fibrinogen concentrate for bleeding in patients with congenital fibrinogen deficiency: Observational study of efficacy and safety for prophylaxis and treatment. Res. Pract. Thromb. Haemost. 2020, 4, 1313–1323. [Google Scholar] [CrossRef]
- Sacchi, V.; Mittermayr, R.; Hartinger, J.; Martino, M.M.; Lorentz, K.M.; Wolbank, S.; Hofmann, A.; Largo, R.A.; Marschall, J.S.; Groppa, E.; et al. Long-lasting fibrin matrices ensure stable and functional angiogenesis by highly tunable, sustained delivery of recombinant VEGF164. Proc. Natl. Acad. Sci. USA 2014, 111, 6952–6957. [Google Scholar] [CrossRef]
- Sabatini, L.; Trecci, A.; Imarisio, D.; Uslenghi, M.D.; Bianco, G.; Scagnelli, R. Fibrin tissue adhesive reduces postoperative blood loss in total knee arthroplasty. J. Orthop. Traumatol. 2012, 13, 145–151. [Google Scholar] [CrossRef][Green Version]
- Esposito, F.; Angileri, F.F.; Kruse, P.; Cavallo, L.M.; Solari, D.; Esposito, V.; Tomasello, F.; Cappabianca, P. Fibrin sealants in dura sealing: A systematic literature review. PLoS ONE 2016, 11, e0151533. [Google Scholar] [CrossRef] [PubMed]
- Noori, A.; Ashrafi, S.J.; Vaez-Ghaemi, R.; Hatamian-Zaremi, A.; Webster, T.J. A review of fibrin and fibrin composites for bone tissue engineering. Int. J. Nanomed. 2017, 12, 4937–4961. [Google Scholar] [CrossRef] [PubMed]
- Pitzurra, L.; Jansen, I.D.C.; de Vries, T.J.; Hoogenkamp, M.A.; Loos, B.G. Effects of L-PRF and A-PRF+ on periodontal fibroblasts in in vitro wound healing experiments. J. Periodontal Res. 2020, 55, 287–295. [Google Scholar] [CrossRef] [PubMed]
- Lund, J.; Tou, S.; Doleman, B.; Williams, J.P. Fibrin glue for pilonidal sinus disease. Cochrane Database Syst. Rev. 2017, 1, Cd011923. [Google Scholar] [CrossRef]
- de Melo, B.A.G.; Jodat, Y.A.; Cruz, E.M.; Benincasa, J.C.; Shin, S.R.; Porcionatto, M.A. Strategies to use fibrinogen as bioink for 3D bioprinting fibrin-based soft and hard tissues. Acta Biomater. 2020, 117, 60–76. [Google Scholar] [CrossRef]
- Hinsenkamp, A.; Benyó, Z.; Hornyák, I. Overview of tissue engineering patent strategies and patents from 2010 to 2020, including outcomes. Tissue Eng. Part B Rev. 2021. [Google Scholar] [CrossRef]
- Li, Y.; Meng, H.; Liu, Y.; Lee, B.P. Fibrin gel as an injectable biodegradable scaffold and cell carrier for tissue engineering. Sci. World J. 2015, 2015, 685690. [Google Scholar] [CrossRef]
- Hinsenkamp, A.; Ézsiás, B.; Pál, É.; Hricisák, L.; Fülöp, Á.; Besztercei, B.; Somkuti, J.; Smeller, L.; Pinke, B.; Kardos, D.; et al. Crosslinked hyaluronic acid gels with blood-derived protein components for soft tissue regeneration. Tissue Eng. Part A 2020, 27, 806–820. [Google Scholar] [CrossRef]
- El Bagdadi, K.; Kubesch, A.; Yu, X.; Al-Maawi, S.; Orlowska, A.; Dias, A.; Booms, P.; Dohle, E.; Sader, R.; Kirkpatrick, C.J.; et al. Reduction of relative centrifugal forces increases growth factor release within solid platelet-rich-fibrin (PRF)-based matrices: A proof of concept of LSCC (low speed centrifugation concept). Eur. J. Trauma Emerg. Surg. 2019, 45, 467–479. [Google Scholar] [CrossRef]
- Dohan, D.M.; Choukroun, J.; Diss, A.; Dohan, S.L.; Dohan, A.J.; Mouhyi, J.; Gogly, B. Platelet-rich fibrin (PRF): A second-generation platelet concentrate. Part I: Technological concepts and evolution. Oral Surg. Oral Med. Oral Pathol. Oral Radiol. Endod. 2006, 101, e37–e44. [Google Scholar] [CrossRef]
- Hinsenkamp, A.; Kardos, D.; Lacza, Z.; Hornyák, I. A practical guide to class iia medical device development. Appl. Sci. 2020, 10, 3638. [Google Scholar] [CrossRef]
- Brown, A.C.; Barker, T.H. Fibrin-based biomaterials: Modulation of macroscopic properties through rational design at the molecular level. Acta Biomater. 2014, 10, 1502–1514. [Google Scholar] [CrossRef]
- Mallis, P.; Gontika, I.; Dimou, Z.; Panagouli, E.; Zoidakis, J.; Makridakis, M.; Vlahou, A.; Georgiou, E.; Gkioka, V.; Stavropoulos-Giokas, C.; et al. Short term results of fibrin gel obtained from cord blood units: A preliminary in vitro study. Bioengineering 2019, 6, 66. [Google Scholar] [CrossRef]
- Liao, H.T.; Marra, K.G.; Rubin, J.P. Application of platelet-rich plasma and platelet-rich fibrin in fat grafting: Basic science and literature review. Tissue Eng. Part B Rev. 2014, 20, 267–276. [Google Scholar] [CrossRef]
- Kardos, D.; Hornyák, I.; Simon, M.; Hinsenkamp, A.; Marschall, B.; Várdai, R.; Kállay-Menyhárd, A.; Pinke, B.; Mészáros, L.; Kuten, O.; et al. Biological and Mechanical Properties of Platelet-Rich Fibrin Membranes after Thermal Manipulation and Preparation in a Single-Syringe Closed System. Int. J. Mol. Sci. 2018, 19, 3433. [Google Scholar] [CrossRef]
- Cantore, S.; Crincoli, V.; Boccaccio, A.; Uva, A.E.; Fiorentino, M.; Monno, G.; Bollero, P.; Derla, C.; Fabiano, F.; Ballini, A.; et al. Recent advances in endocrine, metabolic and immune disorders: Mesenchymal stem cells (MSCs) and engineered scaffolds. Endocr. Metab. Immune Disord. Drug Targets 2018, 18, 466–469. [Google Scholar] [CrossRef]
- Vácz, G.; Major, B.; Gaál, D.; Petrik, L.; Horváthy, D.B.; Han, W.; Holczer, T.; Simon, M.; Muir, J.M.; Hornyák, I.; et al. Hyperacute serum has markedly better regenerative efficacy than platelet-rich plasma in a human bone oxygen-glucose deprivation model. Regen. Med. 2018, 13, 531–543. [Google Scholar] [CrossRef]
- Jurk, K.; Shiravand, Y. Platelet phenotyping and function testing in Thrombocytopenia. J. Clin. Med. 2021, 10, 1114. [Google Scholar] [CrossRef]
- Balbaied, T.; Moore, E. Overview of optical and electrochemical alkaline phosphatase (ALP) biosensors: Recent approaches in cells culture techniques. Biosensors 2019, 9, 102. [Google Scholar] [CrossRef]
- Barbu, H.M.; Iancu, S.A.; Hancu, V.; Referendaru, D.; Nissan, J.; Naishlos, S. PRF-Solution in large sinus membrane perforation with simultaneous implant placement-micro ct and histological analysis. Membranes 2021, 11, 438. [Google Scholar] [CrossRef]








Publisher’s Note: MDPI stays neutral with regard to jurisdictional claims in published maps and institutional affiliations. |
© 2021 by the authors. Licensee MDPI, Basel, Switzerland. This article is an open access article distributed under the terms and conditions of the Creative Commons Attribution (CC BY) license (https://creativecommons.org/licenses/by/4.0/).
Share and Cite
Hinsenkamp, A.; Kun, K.; Gajnut, F.; Majer, A.; Lacza, Z.; Hornyák, I. Cell Attachment Capacity and Compounds of Fibrin Membranes Isolated from Fresh Frozen Plasma and Cryoprecipitate. Membranes 2021, 11, 783. https://doi.org/10.3390/membranes11100783
Hinsenkamp A, Kun K, Gajnut F, Majer A, Lacza Z, Hornyák I. Cell Attachment Capacity and Compounds of Fibrin Membranes Isolated from Fresh Frozen Plasma and Cryoprecipitate. Membranes. 2021; 11(10):783. https://doi.org/10.3390/membranes11100783
Chicago/Turabian StyleHinsenkamp, Adél, Kiara Kun, Fatime Gajnut, Aliz Majer, Zsombor Lacza, and István Hornyák. 2021. "Cell Attachment Capacity and Compounds of Fibrin Membranes Isolated from Fresh Frozen Plasma and Cryoprecipitate" Membranes 11, no. 10: 783. https://doi.org/10.3390/membranes11100783
APA StyleHinsenkamp, A., Kun, K., Gajnut, F., Majer, A., Lacza, Z., & Hornyák, I. (2021). Cell Attachment Capacity and Compounds of Fibrin Membranes Isolated from Fresh Frozen Plasma and Cryoprecipitate. Membranes, 11(10), 783. https://doi.org/10.3390/membranes11100783

