Next Article in Journal
A Molecular Dynamics Investigation of the Temperature Effect on the Mechanical Properties of Selected Thin Films for Hydrogen Separation
Next Article in Special Issue
Acidic Gases Solubility in Bis(2-Ethylhexyl) Sulfosuccinate Based Ionic Liquids Using the Predictive Thermodynamic Model
Previous Article in Journal
Impact of MWCO and Dopamine/Polyethyleneimine Concentrations on Surface Properties and Filtration Performance of Modified Membranes
Previous Article in Special Issue
Synthesis and Performance of Aromatic Polyamide Ionenes as Gas Separation Membranes
 
 
Font Type:
Arial Georgia Verdana
Font Size:
Aa Aa Aa
Line Spacing:
Column Width:
Background:
Article

Ionic Polyureas—A Novel Subclass of Poly(Ionic Liquid)s for CO2 Capture

by
Sofia M. Morozova
1,2,†,
Elena I. Lozinskaya
1,
Haritz Sardon
3,*,
Fabian Suárez-García
4,
Petr S. Vlasov
5,
Régis Vaudemont
6,
Yakov S. Vygodskii
1 and
Alexander S. Shaplov
6,*
1
A.N. Nesmeyanov Institute of Organoelement Compounds Russian Academy of Sciences (INEOS RAS), Vavilov Str. 28, 119991 Moscow, Russia
2
Laboratory of Solution Chemistry of Advanced Materials and Technologies, ITMO University, Lomonosova str. 9, 191002 St. Petersburg, Russia
3
POLYMAT, University of the Basque Country UPV/EHU, Joxe Mari Korta Center, Avda. Tolosa 72, 20018 Donostia-San Sebastian, Spain
4
Instituto de Ciencia y Tecnología del Carbono, INCAR-CSIC, Francisco Pintado Fe 26, 33011 Oviedo, Spain
5
Department of Macromolecular Chemistry, Saint-Petersburg State University, Universitetsky pr. 26, 198504 Saint-Petersburg, Russia
6
Luxembourg Institute of Science and Technology (LIST), 5 avenue des Hauts-Fourneaux, L-4362 Esch-sur-Alzette, Luxembourg
*
Authors to whom correspondence should be addressed.
ITMO University declares no claims or rights (legal or otherwise) related to the work described here.
Membranes 2020, 10(9), 240; https://doi.org/10.3390/membranes10090240
Submission received: 29 June 2020 / Revised: 30 August 2020 / Accepted: 3 September 2020 / Published: 18 September 2020
(This article belongs to the Special Issue Ionic Liquid-based Materials for Membrane Processes)

Abstract

The growing concern for climate change and global warming has given rise to investigations in various research fields, including one particular area dedicated to the creation of solid sorbents for efficient CO2 capture. In this work, a new family of poly(ionic liquid)s (PILs) comprising cationic polyureas (PURs) with tetrafluoroborate (BF4) anions has been synthesized. Condensation of various diisocyanates with novel ionic diamines and subsequent ion metathesis reaction resulted in high molar mass ionic PURs (Mw = 12 ÷ 173 × 103 g/mol) with high thermal stability (up to 260 °C), glass transition temperatures in the range of 153–286 °C and remarkable CO2 capture (10.5–24.8 mg/g at 0 °C and 1 bar). The CO2 sorption was found to be dependent on the nature of the cation and structure of the diisocyanate. The highest sorption was demonstrated by tetrafluoroborate PUR based on 4,4′-methylene-bis(cyclohexyl isocyanate) diisocyanate and aromatic diamine bearing quinuclidinium cation (24.8 mg/g at 0 °C and 1 bar). It is hoped that the present study will inspire novel design strategies for improving the sorption properties of PILs and the creation of novel effective CO2 sorbents.

Graphical Abstract

1. Introduction

The anthropogenic emission of CO2, particularly from fossil fuel combustion, is one of the main sources of greenhouse gas emission and global warming [1,2]. The search for effective methods to address the effects of climate change due to increased CO2 emissions relates to important challenges facing the global chemical community [2,3].
Purification of flue gas streams can add important value to the fight against CO2 emissions. Recently, among other promising approaches, the application of polymeric ionic liquids or poly(ionic liquid)s (PILs) as potential solid sorbent materials for CO2 capture and separation gained significant attention [4]. Such attention was deserved due to the fact that PILs, being a subclass of polyelectrolytes, combine the advantages of polymers (processability, film-forming properties, solid state, light weight, etc.) and ionic liquids (high thermal and electrochemical stabilities, enhanced ionic conductivity, high gas absorption, affinity to CO2, etc.) [4,5,6,7,8,9,10,11]. The broad variety of PILs that can be prepared using countless combinations of cations (ammonium, pyridinium, imidazolium, phosphonium, 1,2,3- and 1,2,4-triazolium…) and anions (halide, perfluorinated sulfonimide…) allows the ability to control their properties and CO2 sorption in particular [4,10]. Among other tools for gaining the desirable control is the variation in the nature of polymer backbone and side groups as well as playing with macromolecular architecture by synthesis of linear, branched, star-shaped or cross-linked polymers. Moreover, it was recently shown that PILs possess several orders of magnitude higher CO2 sorption capability than respective ionic-liquid-like monomers and higher CO2 capture and desorption rates in comparison with ionic liquids (ILs) [12,13,14,15]. The light weight, the ease of handling, comparatively low cost and safety for humans and the environment were named among other advantages of PILs in the CO2 sorption process [4,10,12,16].
Over the past 10 years, various sorbents derived from both linear [4,17,18,19] and cross-linked [20,21,22] PILs have been investigated (see the examples in Scheme 1 and in Table 2). To enhance PILs’ CO2 sorption capacity, a number of approaches have been applied, such as PILs’ immobilization on carbon fibers [23,24], grafting of PILs on silica nanoparticles [25,26,27], incorporation of PILs into a metal–organic framework (MOF) [28,29,30,31] or preparation of ordered porous PIL-based crystallines [32]. It was found that the CO2 adsorption behavior of PILs is dependent on many factors, such as their chemical composition (nature of the cation and anion, type of the polymer backbone), molar mass and pore structure (surface area, pore size, atomic packing, etc.) [4,10].
Despite the fact that cross-linked PILs generally demonstrate higher sorption properties than their linear analogues, the study of the later is crucial for a more detailed fundamental insight into how the polymer structure affects the complex CO2 sorption mechanism [4,33]. Previously, the attention was mainly focused on understanding the influence of cations’ and anions’ structures on the CO2 sorption properties of PILs [4,13]. Effect of the cation’s structure. Comparing the influence of the cation’s structure on PILs’ CO2 capture, it was found that aliphatic cations (ammonium, quinuclidinium, etc.) commonly demonstrate higher CO2 sorption capacity than polyelectrolytes with aromatic cations (pyridinium, imidazolium, etc.) [16,17,34]. Effect of the number of cations. The higher the number of cations in the monomer unit (repeat unit charge density), the better the CO2 sorption ability of PILs [16]. Effect of the anion’s structure. The nature of the counter anion has a pronounced effect on the CO2 sorption of PILs as well. This was widely studied using such anions as R1COO (R1=CF3, C3F7, CH3), R2SO3 (R2=CF3, CH3, C6H4-), (CF3SO2)2N, BF4, PF6, NO3, N(CN)2, B(CN)4, FeCl3Br, ZnCl2Br, CuCl2Br [14,15,16,18,19,27,35,36]. Among this vast variety of anions, the best CO2 uptake was demonstrated by CH3COO, B(CN)4, BF4 and PF6 containing PILs [15,16]. These results were in part explained for cellulose-based PILs by semi-empirical molecular dynamics simulations suggesting that different CO2 sorption capacities of PILs are driven by the cation–anion coordination peculiarities [15]. Comparing (CF3SO2)2N and PF6 anions, it was revealed that bulkier and significantly polar bis(trifluoromethylsulfonyl)imide ion is located near the most CO2-philic groups of imidazole cation and cellulose backbone, thus shielding them from interaction with CO2. In contrast, the same effect is much less pronounced for PF6 containing PILs, thus allowing for a higher number of centers for interaction with CO2 molecules and for higher CO2 sorption, respectively [15].
Effect of the polymer backbone. To date, the majority of PILs studied for CO2 capture are based on carbochain polymers, namely those derived from radical polymerization of styrene derivatives and (metha)acrylates (see Scheme 1 and Table 2) [4,10,14,17,37]. However, more detailed consideration allows for the conclusion that the polymer backbone plays an important role [4,10]. Thus, the subsequent transfer from carbochain to heterochain polymers is often accompanied by a significant increase in CO2 sorption [15,16,38,39]. This can be explained by the presence of polar groups in the polymer backbone capable of additional interaction with CO2 molecules—for example, by hydrogen bonding [4,10,40].
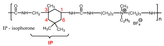
In ionic polyesters and polyethers, CO2 can additionally interact with the oxygen atom of the ester or ether linkages, as was shown by the dissolution study of various esters in supercritical scCO2 by Raman vibrational spectroscopy [41]. The secondary amine groups provide an effective adsorbate−adsorbent interaction in the capture of CO2 by polyamines [42]. In the same way, the amine group in ionic polyamides and polyurethanes [16,38,40] will offer an additional interaction with CO2 molecules and, as a result, increased CO2 capture capacity in comparison with carbochain PILs with similar cation/anion pairs. Therefore, the increase in the content of amine groups from two in ionic polyurethanes to four in ionic polyureas potentially should increase the points of interaction and subsequently the CO2 sorption capacity of PILs. Moreover, the synthesis of ionic polyureas with structures identical to previously developed ionic polyurethanes [16] will serve as a convenient model system for the comparison and estimation of the influence of hydrogen bonding on PILs’ CO2 capture.
Utilization of PILs in the commercial CO2 capture process requires the elaboration of low-cost and simple ionic monomers. Thus, for the synthesis of ionic polyureas, two ionic diamines, namely 3,3-bis(4-aminophenyl)-1-ethylquinuclidin-1-ium iodide and 3-amino-1-(5-(3-aminoquinuclidin-1-ium-1-yl)pentyl)-quinuclidin-1-ium bromide, were suggested (Scheme 2). The first one was previously developed by our group [43], while the second is newly designed, taking into account the aim of the work consisting of the comparison of ionic polyureas with ionic polyurethanes reported antecedently [16]. Both monomers differ from known ionic diamines [44,45,46] by the simplicity of their synthesis, which consists of only two reaction steps (see Materials and Methods for details).
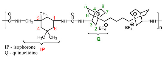
Relying on the assumption that the increase in the number of secondary amino groups in the polymer backbone can improve the CO2 sorption properties of PILs, the aim of the present study was to synthesize a series of ionic polyureas and to investigate their ability for CO2 capture (Scheme 3). Thus, in this work, we report synthesis and properties investigation of five novel tetrafluoroborate PILs based on ionic polyureas (PURs) varying in the structure of diisocyanate (PUR1.BF4–PUR3.BF4), the nature of the cations (PUR3.BF4–PUR6.BF4) and their quantity (PUR3.BF4 and PUR6.BF4).

2. Materials and Methods

2.1. Materials

N-Methyldiethanolamine (>99%, Aldrich, Darmstadt, Germany), quinuclidinol-3 (99%, Aldrich, Darmstadt, Germany), 3-aminoquinuclidine dihydrochloride (98%, TCI Europe, Zwijndrecht, Belgium), potassium tetrafluoroborate (99%, Acros, Geel, Belgium), potassium carbonate (K2CO3, > 98%, Aldrich, Darmstadt, Germany), tin(II) 2-ethylhexanoate (98%, Aldrich, Darmstadt, Germany), iodoethane (99%, Aldrich, Darmstadt, Germany), N,N-dimethylformamide (DMF, anhydrous, 99.8%, Acros, Geel, Belgium), dichloromethane (CH2Cl2, anhydrous, 99.8%, Aldrich, Darmstadt, Germany), diethyl ether (Et2O, > 99%, Aldrich, Darmstadt, Germany), acetonitrile (CH3CN, anhydrous, 99.8%, Acros, Geel, Belgium), ethyl acetate (AcOEt, anhydrous, 99.8%, Acros, Geel, Belgium), 1,1,1,3,3,3-hexafluoro-propan-2-ol (HFIP, 99%, Apollo Scientific, Stockport, UK), 4,4′-methylene-bis(cyclohexyl isocyanate) (H12MDI, 2, 99%, Covestro AG, Leverkusen, Germany) and isophorone diisocyanate (IPDI, 3, 98%, Aldrich, Darmstadt, Germany) were used without purification.
Toluene-2,4-diisocyanate (TDI, 1, 95%, Aldrich, Darmstadt, Germany) was purified by vacuum distillation. Meanwhile, 1,5-Dibromopentane (97%, Aldrich, Darmstadt, Germany) and N,N-bis-(3-aminopropyl)methylamine (6, 96%, Aldrich, Darmstadt, Germany) were purified by vacuum distillation over CaH2 and NaOH, respectively.

2.2. Synthesis of Ionic Diamine 3,3-Bis(4-Aminophenyl)-1-Ethylquinuclidin-1-Ium Iodide (4)

The 3,3-Bis(4-aminophenyl)-1-ethylquinuclidin-1-ium iodide monomer (4) was obtained according to the procedure reported by our group previously [43] (Scheme 4).
m.p. 293–294 °C; 1H NMR (400 MHz, DMSO-d6, δ ppm): 7.02–7.04 (d, 4H, J = 8.2 Hz, -C6H4-(10)), 6.46–6.48 (d, 4H, J = 8.2 Hz, -C6H4-(11)), 4.95 (s, 4H, -NH2), 4.07 (m, 2H, Q(2)), 3.10–3.36 (m, 7H, Q(4,6,7), N-CH2CH3), 1.77–1.88 (m, 4H, Q(5,8)), 1.30 (m, 3H, N-CH2CH3); 13C NMR (100 MHz, DMSO-d6, δ ppm): 145.5 (-C6H4-(12)), 137.4 (-C6H4-(9)), 126.9 (-C6H4-(10)), 113.9 (-C6H4-(11)), 59.4 (Q(2)), 49.2 (N-CH2CH3), 46.8 (Q(3,4)), 43.5 (Q(6,7)), 28.1 (Q(5)), 23.3 (q(8), N-CH2CH3); IR (KBr, ν, cm−1): 3466 (w, νNH), 3389 (m, νNH), 3037 (m, νCHAr), 2980 (w, νCHAlk), 2875 (w, νCHAlk), 1619 (s), 1590 (s, νCCAr), 1521 (s), 1465 (m, νCCAr), 1445 (m, δasCH3), 1410 (m), 1388 (m, δsCH3), 1344 (w), 1260 (m), 1234 (m, νCCAlk), 1202 (m), 1111 (m, νCN), 1094 (w), 989 (m), 922 (m, νCN), 855 (w), 800 (w), 715 (s), 673 (s), 555 (w); Calc. for C21H28N3I (449.4): C 56.13; H 6.28; N 9.35; found: C 56.17; H 6.14; N 9.39.

2.3. Synthesis of 3-Amino-1-(5-(3-Aminoquinuclidin-1-Ium-1-Yl)Pentyl)-Quinuclidin-1-Ium Bromide (5)

Synthesis of ionic monomer 5 was conducted via two reaction steps, as presented in Scheme 5.
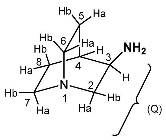
3-Aminoquinuclidine dihydrochloride (3.00 g, 0.015 mol) was dissolved in 30% NaOH aqueous solution at room temperature. The solution was further extracted with diethyl ether (5 × 25 mL) and the combined extracts were dried over K2CO3. Potash was filtered off and diethyl ether was evaporated under reduced pressure. Then, 3-Aminoquinuclidine (Scheme 6) was obtained as white crystalline solid and was dried for 8 h at 40 °C/12 mm Hg. Yield: 1.23 g (64%); m.p. = 219–222 °C (218–220 °C [47]);
1H NMR (400 MHz, DMSO-d6, δ ppm): 2.93 (m, 1H, Q (2a)), 2.79 (m, 1H, Q (3)), 2.72–2.30 (m, 6H, Q (6,7), NH2), 2.14 (m, 1H, Q (2b)) 1.84 (m, 1H, Q (5a)), 1.53 (m, 1H, Q (8b)), 1.48 (m, 1H, Q (4)), 1.39 (m, 1H, Q (8a)), 1.18 (m, 1H, Q (5b)). 13C NMR (100 MHz, DMSO-d6, δ ppm): 57.20 (Q(2)), 47.25 (Q(3)), 46.67 (Q(6)), 45.44 (Q(7)), 28.23 (Q(4)), 25.45 (Q(8)), 18.43 (Q(5)).
The solution of 1,5-dibromopentane (1.30 g, 5.67 mmol) in 20 mL of anhydrous CH3OH was added dropwise to the solution of 3-aminoquinuclidine (1.50 g4, 11.91 mmol) in 30 mL of CH3OH at room temperature under inert atmosphere. The reaction mixture was stirred for 24 h at ambient temperature, whereupon product was isolated by precipitation into the excess of anhydrous Et2O and subsequent filtration. Diamine 5 was obtained as white powder that was dried for 8 h at 60 °C/1 mmHg. Yield: 2.50 g (93%); m.p. 89-90°C; 1H NMR (400 MHz, DMSO-d6, δ ppm): 4.0–3.7 (br. m., 4H, NH2) 3.66 (m, 2H, Q (2a)), 3.39 (br. m, 10H, Q (3,6,7)), 3.22 (br. t, 4H, N-CH2-CH2-CH2, J = 7.3 Hz), 2.98 (m, 2H, Q (2b)), 1.98 (m, 2H, Q (4)), 1.89–1.60 (m, 12H, Q (5,8), N-CH2-CH2-CH2), 1.22–1.24 (m, 2H, N-CH2-CH2-CH2-); 13C NMR (100 MHz, DMSO-d6, δ ppm): 67.30 (Q (2)), 63.88 (Q(3)), 62.94 (N-CH2-CH2-CH2), 53.29 (Q(6, 7), 29.80 (Q(4)), 26.51 (Q(5 or 8)), 24.35 (N-CH2-CH2-CH2), 21.08 (N-CH2-CH2-CH2), 17.83 (Q(5 or 8)); Calc. for C19H38N4Br2 (482.3): C 47.31; H 7.94; N 11.62; found: C 47.06; H 7.99; N 11.45.

2.4. Polycondensation

Iodide PURs, namely PUR1.I–PUR3.I, were synthesized by polycondensation of respective diisocyanates with ionic diamine 4. Bromide PUR6.Br and neutral PUR4 were prepared by reaction of IPDI diisocyanate with ionic diamine 5 and noncharged diamine 6, respectively. All mentioned polyureas were synthesized following the general procedure reported for PUR1.I below, with the exception that PUR1.I–PUR3.I were precipitated from DMF solution into the excess of water, while PUR6.Br and PUR4 were precipitated into the acetone excess.
Ionic diamine 4 (1.0370 g, 2.3 mmol) and diisocyanate 1 (0.4019 g, 2.3 mmol) were dissolved in 7 mL of anhydrous DMF in a Schlenk flask inside an argon-filled glovebox (MBRAUN MB-Labstar, Garching, Germany, H2O and O2 content < 0.5 ppm). The flask was closed with a rubber septum, taken out of the glovebox and placed in a preheated to 60 °C oil bath.
Then, 2-(Ethyl)hexanoate tin (II) (0.0233 g, 0.06 mmol, 2.5% mol with respect to 4) was dissolved separately in 0.5 mL of anhydrous DMF inside the glovebox. The flask was then taken out of the glovebox and the catalyst solution was injected via syringe technique into the preheated solution of monomers. The reaction mixture was stirred at 60 °C for 15 h, whereupon polymer was isolated by precipitation into the excess of water, collected by centrifugation (15,000 rpm, 10 min, 5 °C), and thoroughly washed with water and acetone. PUR1.I was isolated as yellow powder and dried for 12 h at 100 °C/1 mm Hg. Yield: 1.24 g (87%).

2.5. Quaternization of PUR.4

The solution of C2H5I (4.67 g, 29.93 mmol) in 20 mL of DMF was added dropwise to the solution of PUR4 (1.10 g, 2.99 mmol) in 50 mL of DMF preheated at 40 °C. Stirring was continued at 40 °C for 12 h, whereupon polymer was isolated by precipitation into the excess of ethyl acetate and thoroughly washed with ethyl acetate. PUR5.I in a form of white powder was dried for 12 h at 70 °C/1 mm Hg. Yield: 1.48 g (95%).

2.6. Ion Exchange

All ionic PURs with tetrafluoroborate anions, namely PUR1.BF4–PUR6.BF4, were synthesized via anion metathesis reaction with the excess of KBF4. In the case of hydrophobic PUR1.I–PUR3.I, the ion exchange reaction was performed in DMF:CH3CN mixture (4:1 by volume), while for hydrophilic PUR5.I and PUR6.Br, metathesis was carried out in water. General procedures are reported below for PUR1.BF4 and PUR6.BF4.
KBF4 (0.48 g, 3.82 mmol) was added in one shot to the solution of PUR1.I (1.59 g, 2.55 mmol) in 50 mL of DMF:CH3CN (4:1 by volume). The reaction suspension was stirred at RT for 12 h. The desired polymer was isolated by precipitation into the excess of water, thoroughly washed with water and dried for 4 h at ambient temperature. Further on, the polymer was redissolved in HFIP and precipitated into the excess of ethyl acetate. PUR1.BF4 in the form of yellow-beige powder was dried for 12 h at 100 °C/1 mm Hg. Yield: 1.37 g (92%).
The solution of KBF4 (1.12 g, 8.87 mmol) in 10 mL of water was added dropwise to the solution of PUR6.Br (2.50 g, 3.55 mmol) in 45 mL of water. The precipitation of the polymer was immediately observed, whereupon it was collected by centrifugation (15,000 rpm, 10 min, 5 °C), thoroughly washed with water and dried for 4 h at ambient temperature. Afterwards, polymer was redissolved in HFIP and precipitated into the excess of ethyl acetate. PUR6.BF4 in the form of yellow powder was dried for 12 h at 160 °C/1 mm Hg. Yield: 1.71 g (67%).
PUR1.BF4
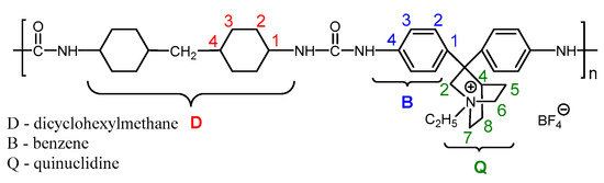
1H NMR (600 MHz, DMSO-d6, δ ppm, Scheme 7): 9.04, 8.68, 8.57 (m, 4H, NH), 7.90 (m, 1H, T-2), 7.39 (m, 8H, B-2, B-3), 7.22 (m, 1H, T-6), 7.07 (m, 1H, T-5), 4.20 (m, 2H, Q-2), 3.43 (m, 2H, NCH2CH3), 3.33 & 3.14 (m, 4H, Q-6 & Q-7), 3.32 (m, 1H, Q-4), 2.18 (s, 3H, CH3), 1.94 & 1.77 (m, 4H, Q-5 and Q-8), 1.33 (m, 3H, NCH2CH3); 13C NMR (151 MHz, DMSO-d6, δ ppm): 152.43 (CONH), 138.84 (B-1,4), 137.47 (T-3), 130.79 (T-5), 126.94 (B-2,6), 120.59 (T-4), 118.69 (B-3,5), 113.15 (T-6), 111.33 (T-2), 62.50 (Q-2), 59.14 (NCH2CH3), 52.97 (Q-6, Q-7), 45.95 (Q-3), 27.04 (Q-4), 21.12 (Q-5, Q-8), 17.83 (CH3), 7.98 (NCH2CH3); IR, (ATR mode, ν, cm−1): 3645 (w), 3625 (w), 3392 (w, νNH), 3250 (w, νNH), 1689 (s, νC=O), 1595 (s), 1512 (vs, νC=O), 1409 (s, νCN), 1409 (m), 1320 (m), 1293 (m), 1210 (vs), 1127 (w), 1049 (vs, νBF), 741 (m), 664 (w), 640 (w), 598 (w), 556 (vs), 530 (m); Mw = 12,000 g/mol; Mw/Mn = 1.42 (GPC); Tg = 286 °C (TMA).
PUR2.BF4
1H NMR (600 MHz, DMSO-d6, δ ppm, Scheme 8): 8.31 (m, 2H, NH), 7.28 (m, 8H, B-2, B-3), 6.26–5.49 (m, 2H, NH), 4.16 (m, 2H, Q-2), 3.40 (m, 2H, NCH2CH3), 3.31 & 3.13 (m, 4H, Q-6 & Q-7), 3.31 (m, 1H, Q-4), 1.95 & 1.75 (m, 4H, Q-5 & Q-8), 1.32 (m, 3H, NCH2CH3). 1.82–0.90 (br.m., 20H, CH-CH2-CH, D-2, D-3, D-4); 13C NMR (151 MHz, DMSO-d6, δ ppm): 154.33 (CONH), 138.24 (B-1,4), 126.22 (B-2,6), 117.54 (B-3,5), 61.85 (Q-2), 58.52 (NCH2CH3), 52.44 (Q-6, Q-7), 45.04 (Q-3), 48.03 & 44.00 (D-1), 26.53 (Q-4), 20.58 (Q-5, Q-8), 7.33 (NCH2CH3). 32.91 & 32.21 (D-4), 32.66 (D), 31.50 (D), 29.46 (CH-CH2-CH), 27.29 (D); 19F NMR (565 MHz, DMSO-d6, δ ppm): -148.2; IR, (ATR mode, ν, cm−1): 3645 (w), 3427 (w, νNH), 3332 (w, νNH), 2922 (m, νCHAlk), 2852 (m, νCHAlk), 1675 (s, νC=O), 1595 (m), 1513 (vs, νC=O), 1451 (m, νCN), 1407 (m), 1323 (s), 1197 (s), 1048 (vs, νBF), 740 (w), 713 (w), 664 (w), 643 (w), 598 (w), 556 (s), 509 (m); Mw = 15,800 g/mol; Mw/Mn = 1.61 (GPC); Tg = 271 °C (TMA).
PUR3.BF4
1H NMR (600 MHz, DMSO-d6, δ ppm, Scheme 9): 8.95 & 8.48–8.30 (br m, 2H, NH), 7.28 (m, 8H, CH(Ar)), 6.2–5.5 (br m., 2H, NH), 4.14 (m, 2H, Q-2), 3.76 (m, 1H, IP-1), 3.40 (m, 2H, NCH2CH3), 3.28 (m, 3H, Q-4, Q-6 & Q-7), 3.12 (m, 2H, Q-6 & Q-7), 2.88 & 2.79 (m, 2H, CH2NHCO), 1.91 & 1.78 (m, 4H, Q-5 and Q-8), 1.57 (m, 1H, IP-6), 1.52 (m, 1H, IP-2), 1.31 (m, 3H, NCH2CH3), 1.13 & 1.02 (m, 2H, IP-4), 1.00 (s, 3H, CH3 at IP-5), 0.96 (s, 2.25H, CH3 at trans-IP-3), 0.89 (s, 4H, IP-6 & CH3 at IP-5), 0.85 (m, 1H, IP-2), 0.82 (s, 0.75H, cis-IP-3); 13C NMR (151 MHz, DMSO-d6, δ ppm): 155.33 & 154.41 (CONH), 138.46–138.15 (B-1,4), 126.16 (B-2,6), 117.34 (B-3,5), 61.91 (Q-2), 58.34 (NCH2CH3), 52.54 (CH2NHCO), 52.23 (Q-6, Q-7), 46.65 (IP-4), 46.02 (IP-6), 45.44 (Q-3), 42.15 (IP-1), 41.96 (IP-2), 35.99 (IP-3), 34.74 (CH3 at IP-5), 31.33 (IP-5), 29.63 (CH3 at cis-IP-3), 27.28 (CH3 at IP-5), 26.29 (Q-4), 23.01 (CH3 at trans-IP-3), 20.40 (Q-5, Q-8), 7.16 (NCH2CH3); IR, (ATR mode, ν, cm−1): 3648 (w), 3422 (w, νNH), 3339 (w, νNH), 2951 (w, νCHAlk), 2904 (w, νCHAlk), 1681 (s, νC=O), 1596 (s), 1513 (vs, νC=O), 1464 (m, νCN), 1408 (m), 1321 (m), 1226 (s), 1197 (s), 1050 (vs, νBF), 740 (w), 698 (w), 645 (w), 601 (w), 556 (vs), 506 (m); Mw = 101,500 g/mol; Mw/Mn = 4.12 (GPC); Tg = 276 °C (TMA).
PUR5.BF4
1H NMR (600 MHz, DMSO-d6, δ ppm, Scheme 10): 6.3–5.2 (br m., 4H, NH), 3.69 (m, 1H, IP-1), 3.40 (m, 2H, NCH2CH3), 3.18 (m, 4H, NHCH2CH2CH2), 3.05 (s, 3H, NCH3), 3.00 (m, 4H, NHCH2CH2CH2), 2.77 & 2.71 (m, 2H, CH2NHCO), 1.51 (m, 1H, IP-6), 1.47 (m, 4H, NHCH2CH2CH2), 1.46 (m, 1H, IP-2), 1.20 (m, 3H, NCH2CH3), 1.09 (m, 1H, IP-4), 0.98 (s, 3H, CH3 at IP-5), 0.95 (m, 1H, IP-4) 0.92 (s, 2.25H, CH3 at trans-IP-3) 0.87 (s, 3H, CH3 at IP-5), 0.82 (m, 1H, IP-6), 0.76 (s, 0.75H, cis-IP-3). 0.75 (m, 1H, IP-2); 13C NMR (151 MHz, DMSO-d6, δ ppm): 158.40 & 157.40 (CONH), 58.26 (NHCH2CH2CH2), 56.24 (m, 2H, NCH2CH3), 52.97 (CH2NHCO), 47.14 (s, 3H, NCH3), 46.75 (IP-4), 46.28 (IP-6), 42.94 (IP-1), 42.08 (IP-2), 36.04 (IP-3), 34.96 (NHCH2CH2CH2), 34.72 (CH3 at IP-5), 31.40 (IP-5), 29.53 (CH3 at cis-IP-3), 27.27 (CH3 at IP-5), 23.20 (NHCH2CH2CH2), 22.90 (CH3 at trans-IP-3), 7.39 (NCH2CH3); 19F NMR (565 MHz, DMSO-d6, δ ppm): -148.1; IR, (ATR mode, ν, cm−1): 3291 (w, νNH), 3139 (w, νCHAlk), 1637 (s, νC=O), 1563 (vs, νC=O), 1478 (m, νCN), 1436 (m), 1399 (w), 1305 (w), 1258 (s), 1024 (vs, νBF), 772 (w), 661 (w), 630 (w), 590 (w), 521 (m); Mw = 173,500 g/mol; Mw/Mn = 2.32 (GPC); Tg = 153 °C (TMA).
PUR6.BF4
1H NMR (600 MHz, DMSO-d6, δ ppm, Scheme 11): 7.8–5.7 (br m., 4H, NH), 3.96 (m, 2H, Q-3), 3.72 (m, 3H, Q-2 and IP-1), 3.34 (m, 8H, Q-6 & Q-7), 3.15 (m, 4H, NCH2CH2CH2), 3.01 (m, 2H, Q-2), 2.84 & 2.71 (m, 2H, CH2NHCO), 2.02 (m, 4H, Q-4 and Q-5), 1.92 (m, 4H, Q-8), 1.84 (m, 2H, Q-5), 1.67 (m, 4H, NCH2CH2CH2), 1.53 (m, 1H, IP-6), 1.45 (m, 1H, IP-2), 1.24 (m, 2H, NCH2CH2CH2), 1.12 (m, 1H, IP-4), 0.99 (s, 2.25H, CH3 at trans-IP-5), 0.98 (m, 1H, IP-4) 0.96 (s, 0.75H, cis-IP-5), 0.93 (s, 3H, CH3 at trans-IP-3 & cis-IP-5), 0.88 (s, 2.25H, CH3 at trans-IP-5), 0.86 (m, 1H, IP-6), 0.79 (s, 0.75H, cis-IP-3), 0.79 (m, 1H, IP-2); 13C NMR (151 MHz, DMSO-d6, δ ppm): 157.89 & 156.96 (CONH), 62.37 (NCH2CH2CH2), 61.19 (Q-2), 53.08 (CH2NHCO), 52.75 (Q-6, Q-7), 46.53 (IP-4), 46.13 (IP-6), 44.58 (Q-3), 42.16 (IP-1), 41.96 (IP-2), 35.91 (IP-3), 34.77 (CH3 at trans-IP-5), 34.51 (CH3 at cis-IP-5), 31.32 (IP-5), 29.80 (CH3 at cis-IP-3), 27.23 (CH3 at trans-IP-5), 26.63 (CH3 at cis-IP-5), 24.24 (Q-4), 22.07 (Q-8), 18.03 (Q-5), 20.54 (NCH2CH2CH2), 22.70 (NCH2CH2CH2), 22.98 (CH3 at trans-IP-3); 19F NMR (565 MHz, DMSO-d6, δ ppm): -148.2; IR, (ATR mode, ν, cm−1): 3604 (w), 3565 (w), 3409 (w, νNH), 3308 (w, νNH), 2952 (m, νCHAlk), 1650 (s, νC=O), 1549 (vs, νC=O), 1492 (m), 1466 (m, νCN), 1387 (m), 1366 (m), 1307 (m), 1286 (m), 1246 (m), 1190 (m), 1052 (vs, νBF), 898 (m), 833 (m), 733 (m), 649 (s), 585 (s); Mw = 39,000 g/mol; Mw/Mn = 1.97 (GPC); Tg = 209 °C (TMA).

2.7. Methods

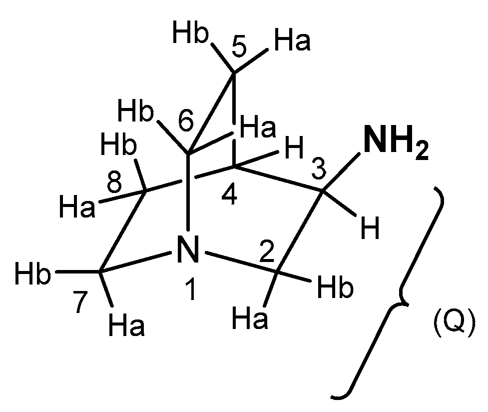
NMR spectra were recorded on AMX-400 and Avance III HD 600 MHz spectrometers (Bruker, Billerica, MA, USA) at 25 °C in the indicated deuterated solvents and are listed in ppm. The signal corresponding to the residual protons of the deuterated solvent was used as an internal standard for 1H and 13C NMR, while the C6F6 was utilized as an external standard for 19F. Signal assignment was performed using 2D NMR techniques: heteronuclear single quantum coherence (HSQC), heteronuclear multiple bond correlation (HMBC), H-H correlation spectroscopy (H-H COSY). The following abbreviations were used in the spectra description in order to refer to the fragments: dicyclohexylmethane (D), benzene (B), toluene (T), isophorone (IP) and quinuclidine (Q). IR spectra were acquired on a Nicolet Magna-750 Fourier IR-spectrometer using KBr pellets or on Brucker Tensor 27 Fourier IR-spectrometer (Bruker, Billerica, MA, USA) using ATR technology (128 scans, resolution is 2 cm−1) and Spectragryph optical spectroscopy software [48].
A 1200 Infinity gel permeation chromatograph (GPC, Agilent Technologies, Santa Clara, CA, USA) was used to determine Mn, Mw and Mw/Mn of the ionic polyureas. The chromatograph was equipped with an integrated IR detector, a PL PolarGel-M column and a PL PolarGel-M guard column (Agilent Technologies, Santa Clara, CA, USA). The 0.1 M solution of NH4BF4 in DMF was used as an eluent, the flow rate was maintained at 1.0 mL/min and the measurements were performed at 50 °C. Polystyrene standards (EasiVial PS-M, Agilent Technologies, Santa Clara, CA, USA, Mp = 162–500 × 103) were used to perform calibration.
Thermal gravimetric analysis (TGA) was carried out in air and under inert atmosphere (N2) on a TGA2 STARe System (Mettler Toledo, Greifensee, Zwitzerland), applying a heating rate of 5 °C/min. Thermal mechanical analysis (TMA) of PURs was performed under inert atmosphere (Ar) using a DIL 402C dilatometer (NETZSCH, Selb, Germany) at a heating rate of 5 °C/min and a constant load of 0.08 MPa. PUR samples were hermetically sealed in aluminum pans inside the argon-filled glovebox (MBRAUN MB-Labstar, Garching, Germany, H2O and O2 content < 0.5 ppm).
The CO2 adsorption isotherms of the synthetized PILs were determined at 0 °C in a Nova 4200 volumetric apparatus (Quantachrome, now Anton Paar, Graz, Austria) in accordance with the standard procedures established by Quantachrome for measuring CO2 adsorption capacities at 0 °C in porous materials. Around 250 mg of PILs sample in powder form (all ionic PURs in this work were precipitated from the diluted solutions as powders with low particle size (see vide supra)) were introduced in the cell consisting of a glass tube with a bulb and were degassed at 80 °C for 18 h under vacuum prior to measurement in order to eliminate the sample humidity and any other adsorbed gases. For the selected PIL samples, CO2 adsorption and desorption cycles were carried out and five correlative isotherms were done without degasification step between the measurements. The 25 adsorption points (and 22 desorption points when it was measured) were selected in the pressure range from 0.006 to 1 bar, corresponding to a relative pressure range from 0.0002 to 0.03 (note: P0 for CO2 at 0 °C is 34.85 bar). The equilibrium time (both for the adsorption and desorption) was 300 s. A non-ideality factor of 8.93 × 10−6 mmHg−1, obtained using the Helmholtz equation-of-state proposed by Span and Wagner [49] and recommended by the National Institute of Standards and Technologies of USA (NIST), was used for determining the real CO2 density.
Cycling in thermobalance. Several cycles under an alternative CO2 or N2 flow at room temperature were evaluated in a thermogravimetric analyser (CI Electronics microbalance, now CI Precision, Salisbury, UK). All experiments were carried out at atmospheric pressure and using a gas flow rate (both for CO2 and N2) of 50 mL/min. PUR1.BF4 or PU1.BF4 samples (about 70 mg) were placed in the quartz cap and the weight was recorded at regular intervals (6 s). The samples were heated at 80 °C for 4 h under a N2 flow of 50 mL/min to remove any adsorbed gas (i.e., to degas the samples). The temperature was controlled at 25 °C using a thermostatic bath and then the gas was changed to CO2 and kept under this CO2 stream for 1 h (in this time, saturation and a constant weight were reached). The gas was switched back to N2 and held for 2 or 3 h. In this time, the complete desorption of the CO2 was not achieved since the initial weight was not recovered. At the end of the third cycle, the samples were kept under current of N2 for 8 h to achieve the initial weight (i.e., complete desorption of CO2 was reached) and the other two cycles were repeated.

3. Results

3.1. Synthesis of Ionic Diamines

Previous investigation performed by our group on CO2 sorption of PILs demonstrated the advantage of quinuclidinium and diquinuclidinium cations over ammonium and imidazolium ones [16]. Keeping this in mind, the work started with the design of ionic diamines. Mono quinuclidinium diamine 4, namely 3,3-bis(4-aminophenyl)-1-ethylquinuclidin-1-ium iodide, was prepared in accordance with the procedure reported by our group previously [43]. As for the diquinuclidinium monomer 5, the reaction pathway consisting of two steps was developed (Scheme 4). The first step consisted of treatment of 3-aminoquinuclidine dihydrochloride with 30% NaOH aqueous solution and subsequent extraction with diethyl ether to give 3-aminoquinuclidine. The double excess of the latter in a second step was quarternized by 1,5-dibromopentane, applying mild conditions (Scheme 4). It should be mentioned that the slight excess of 3-aminoquinuclidine is required to produce difunctional monomer. Afterwards, the precipitation from methanol solution into the excess of diethyl ether results in purification of monomer 5 and its isolation in 93% yield.
The structure and purity of ionic diamines 4 and 5 were proven by 1H and 13C NMR spectroscopy as well as by elemental analysis. Diamine 4 represented beige-yellow crystalline solid, while 5 was isolated as white crystalline powder. The melting points determined for 4 and 5 were equal to 293–294 and >360 °C, respectively.

3.2. Synthesis of Ionic Polyureas

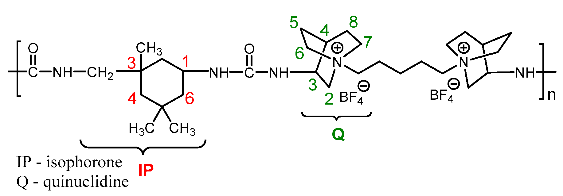
A series of ionic polyureas were synthesized by combining ionic monomers 4 and 5 with three commercial diisocyanates, as shown in Scheme 12. The optimal conditions (4 mol/L solution in DMF, 2.5 mol of catalyst 2-(ethyl)hexanoate tin (II) with respect to diamine, 60 °C for 15 h) determined previously for polycondensation of diisocyanates with ionic diols [16] were applied for the synthesis of PUR1.IPUR3.I, PUR4 and PUR6.Br (Scheme 12). The reaction was rather slow for aromatic ionic diamine 4, while for aliphatic 6, it proceeded faster and required no catalyst addition. The resultant polymers were isolated in 86–89% yield.
Synthesis of tetrafluoroborate polyureas, namely PUR1.BF4–PUR6.BF4, was carried out via anion metathesis reaction with the excess of KBF4. In the case of hydrophobic PUR1.I–PUR3.I, the ion exchange reaction was performed in DMF:CH3CN mixture, while for hydrophilic PUR5.I and PUR6.Br, metathesis was carried out in water. The isolated yields ranged from 67 to 96%. The structure, composition and purity of PUR1.BF4–PUR6.BF4 were supported by 1H, 13C and 19F NMR and FTIR spectroscopy (see Figures S1–S2 in the Supplementary Materials for most complex PUR6.BF4). 19F NMR shows a singlet at −148. 2 ppm assigned to BF4 anion (Figure S1c). FTIR spectrum of PUR6.BF4 presents the characteristic vibration bands of polyurea, as depicted in Figure S2. The broad band at 3400–3300 cm−1 is related to NH stretching. The peaks at 2952 and 2916 cm−1 are associated with aliphatic CH stretching. The strong bands at 1650 cm−1 (amide I, stretching of carbonyl group) and 1551 cm−1 (amide II, NH bending) are assigned to the urea linkage. The strong band at 1052 cm−1 relates to the BF4 anion. The complete conversion of the NCO groups was proven by the absence of the bands at 2250–2270 cm−1.

3.3. Properties of Ionic Polyureas

3.3.1. Solubility and Molecular Weights

PUR1.BF4–PUR6.BF4 are amorphous polymers and were found to be soluble in polar aprotic solvents (i.e., DMF, DMSO, DMAc and NMP) and HFIP. Probably due to the hydrogen bonding, they were not soluble in acetone or acetonitrile, in contrast to structurally similar ionic PUs [16]. The same relates to methanol, ethyl acetate and diethyl ether, where the ionic PURs were not soluble either. Finally, tetrafluoroborate anion imparted hydrophobic properties to all obtained PURs.
The molar masses of ionic PURs were estimated by size exclusion chromatography (SEC). To suppress the insufficiently charged screening or the so-called “polyelectrolyte effect” during SEC studies, an electrolyte, namely NH4BF4, was added to the polymer solution in DMF. Polycondensation of ionic monomers 4 and 5 resulted in the formation of high molar mass polyureas with weight average molar masses (Mw) ranging from 12 to 174 kg/mol for PUR1.BF4–PUR6.BF4 (Table 1).

3.3.2. Thermal Properties

Thermal properties of ionic PUR1.BF4–PUR6.BF4 were assessed via mechanical (TMA) and thermogravimetric analyses (TGA). TMA of polyelectrolytes performed in inert atmosphere revealed the following evolution of glass transition temperatures:
Tg PUR1.BF4 (286 °C) > Tg PUR3.BF4 (276 °C) ≈ Tg PUR2.BF4 (271 °C) > Tg PUR6.BF4 (209 °C) > Tg PUR5.BF4 (153 °C)
It can be concluded that PUR1.BF4 based on aromatic polymers demonstrated the highest Tg among studied polyureas. The change in aromatic toluene-2,4-diisocyanate (1) to aliphatic isophorone diisocyanate (3) and 4′-methylene-bis(cyclohexyl isocyanate) (2) monomers resulted in the decrease in polymers Tg (Table 1, entries 2–3). Further transfer to completely aliphatic polymers PUR5.BF4PUR6.BF4 allowed us to significantly decrease polyelectrolytes’ heat resistance (Table 1, entries 4–5). At this, PUR6.BF4 with cycloaliphatic quinuclidinium cation showed higher Tg values in comparison with PUR5.BF4 based on quaternary ammonium (Table 1, entries 4–5).
Thermal stability of PILs was performed under air and under inert atmosphere (Figure 1 and Table 1). PUR temperatures of onset weight loss (Tonset) on air ranged from 195 to 265 °C (Table 1). The weight loss profiles of PUR1.BF4PUR6.BF4 on air revealed a two-step degradation mechanism (Figure 3). The first weight loss step took place between 240 and 360 °C and can be probably attributed to the degradation of aliphatic quinuclidinium cation. The second step occurred over 400 °C (Figure 1). In contrast, the TGA analysis performed under inert atmosphere showed a one-step degradation mechanism. However, the Tonset values practically coincided with those determined by TGA on air (Table 1).

3.3.3. CO2 Sorption

Experimental results of CO2 sorption for all synthesized PILs are shown in Figure 2 and Table 1. As CO2 adsorption is temperature dependent, the measurements were performed at 0 °C as it is a standard temperature for porosity studies of solids with CO2 as adsorbate as well as for characterization of materials with narrow microporosity [4,10,50,51,52]. The variation in the comonomers’ structure in five synthesized ionic polyureas allowed us to investigate the effect of the isocyanate’s nature (aromatic/cycloaliphatic) (Table 1, entries 1–3) and the effect of the cation’s structure (Table 1, entries 3–5) on PILs’ CO2 sorption. At the same time, the anion nature was fixed to the tetrafluoroborate counter ion as it imparted the highest CO2 sorption capacity for ionic polyurethanes in our previous study [16].
Depending on the chemical nature of diisocyanate, the CO2 sorption values determined at 0 °C for synthesized PILs varied from 14.4 to 24.8 mg/g (Table 1, entries 1–3). The influence of the diisocyanate chemical structure on CO2 adsorption of ionic PURs can be ranked as follows:
PUR2.BF4 (dicycloaliphatic, 24.8 mg/g) > PUR3.BF4 (cycloaliphatic, 19.8 mg/g) > PUR1.BF4 (aromatic, 18.3 mg/g)
This order fully correlates with the previously reported influence of diisocyanate structure on the CO2 sorption of ionic PUs [16]. As in the case of ionic PUs, the utilization of cycloaliphatic isophorone diisocyanate 3 in PUR3.BF4 and dicycloaliphatic diisocyanate 2 in PUR2.BF4 provides a higher amount of the absorbed CO2 in comparison with PUR1.BF4 derived from aromatic diisocyanate 1.
In this endeavor, the effect of the cation’s nature on CO2 sorption of ionic PURs was investigated by varying the diamines’ structure in three different PILs and keeping diisocyanate 3 and the BF4 anion constant (Table 1, entries 3–5). The nature of the cation in ionic PURs was found to significantly impact the CO2 sorption capability, which can be summarized in the following decreasing order:
PUR3.BF4 (quinuclidinium, 19.8 mg/g) ≥ PUR6.BF4 (diquinuclidinium, 18.3 mg/g) > PUR5.BF4 (ammonium, 10.5 mg/g)
The observed superiority of the quinuclidinium-based PUR3.BF4 and PUR6.BF4 over the ammonium PUR5.BF4 is in full agreement with the results obtained previously for the CO2 sorption of ionic PUs [16]. The cyclic quinuclidinium cation is much bulkier in comparison with ammonium that, in its turn, can prevent the compact packing of the polymer chains and favor the increase in free volume, thus leading to the increase in CO2 capture capabilities.
We have recently stated that, in the case of ionic Pus, the CO2 sorption does not occur by a simple physisorption mechanism, which is directly dependent on the porosity of the samples [16]. In contrast, the mechanism of CO2 sorption in ionic PUs was found to be complex and consists not only of the physisorption process but may also involve the specific interactions between CO2, ionic species and –NH–CO–O– functional groups of PILs [16,53,54]. To fulfill the aim of the study, namely to understand the influence of the additional secondary amine group on CO2 sorption of PILs, the ionic polyurethane PU1.BF4 with a similar structure to PUR6.BF4 has been additionally prepared (Table 1, entry 6). It can be seen that the transfer of –NH–CO–O– groups in PU1.BF4 to –NH–CO–NH– fragments in PUR6.BF4 leads to an increase in the adsorbed amount of CO2 (Table 1, lines 5 and 6). This can be explained by the difference in hydrogen bonding in polyureas and polyurethanes. While, in polyurethanes, the single NH group forms hydrogen bonding mainly with the C=O group of the other polymer chain, in polyureas, the second NH group remains free for the generation of additional H bonding with the CO2 molecule. This, in its turn, increases the capacity for CO2 capture in ionic PURs in comparison with ionic PUs.
Table 2 presents a comparison for CO2 sorption values for the best PURs and PUs selected from this study and PILs described in the literature. To the knowledge of the authors, to date, the highest CO2 sorption among linear PILs was demonstrated by the following polyelectrolytes: (1) positively charged cellulose (38.0 mg/g at 0.1 MPa (1 bar), 25 °C [15]); (2) cationic polyurethanes (24.8 mg/g at 0.1 MPa, 0 °C [16]); (3) poly(p-vinylbenzyl)trimethylammonium tetrafluoroborate (17.1 mg/g at 0.078 MPa, 22 °C [37]) and (4) anionic polyurethanes (16.7 mg/g at 0.1 MPa, 30 °C [40]). The results obtained for linear PUR2.BF4 (24.8 mg/g at 0.1 MPa, 0 °C) can be listed among top five highest CO2 sorption capacities reported for PILs to date, making it a potential candidate for CO2 capture processes.

3.3.4. Recycling Experiments

Both ionic polyurea PUR2.BF4 and ionic polyurethane PU1.BF4 showed very good cyclability, with practically total reversibility in CO2 adsorption at 0 °C (Figure 3). After five adsorption–desorption cycles without degassing between each isotherm, the decrease in the adsorption capacity reached only 7.3% for PUR2.BF4 and 5.5% for PU1.BF4. In the case of polyurea PUR2.BF4, more pronounced loss of CO2 adsorption capacity was observed between the first and the second cycles due to the fact that part of the CO2 is not desorbed in the short time (about 15 min) that the device evacuates the sample cell between consecutive measurements. This can be caused by the presence of -NH-CO-NH- functional groups with high affinity for CO2 (i.e., high adsorption energy) that prevent its desorption in the mild vacuum conditions between isotherms. However, between the second and fifth cycles, no decrease in the amount of adsorbed CO2 was observed, which could indicate that all these functional groups have been saturated. In any case, the initial adsorption capacity was recovered, for both PUR2.BF4 and PU1.BF4, simply by degassing the samples at 80 °C for 4 h (results are not shown in Figure 3).
This good cyclability was also observed at atmospheric pressure and room temperature under alternating streams of N2 and CO2 in a thermobalance (Figure S3). Under the conditions indicated in the Materials and Methods, both samples PUR2.BF4 and PU1.BF4 reached saturation in less than 1 h and adsorbed 13.8 and 7.7 mg/g of CO2, respectively. Desorption under N2 flow was slower than adsorption and, after 2 or 3 h, complete desorption was not achieved. However, saturation was reached at the same value of 7.7 mg/g for PU1.BF4 and at a slightly higher value (14.2 mg/g) for PUR2.BF4 when the CO2 stream was again passed. Total desorption of CO2 can be achieved by increasing the purge time up to 8 h for PU1.BF4, but, in the case of PUR2.BF4, longer times are needed because incomplete desorption occurred in this time (see Figure S3). This is in agreement with what was discussed above (Figure 3) on the loss of adsorption capacity between the first and second adsorption–desorption cycles due to the presence of some functional groups (i.e., -NH-CO-NH- groups) with high affinity for CO2. Therefore, in the case of PUR2.BF4, stronger conditions are needed to desorb all the CO2 (e.g., longer time or higher temperature). It should be noted that both samples showed very good CO2/N2 selectivity, as demonstrated by the good cyclability in the thermobalance experiment.

3.4. Future Outlook

For the combustion of fossil fuels, the content of CO2 in flue gas varies from 10 to 15%. The other components are N2 (73–77%), O2 (4–5%), H2O (6–9%), CO (ppm quantity) and NOx (ppm quantity). In the case of natural gas, the main components are CH4, CO2, N2 and a small amount of hydrocarbons [42]. Hence, the application of PILs as well as any other material as CO2 sorbents will face mainly the problem of CO2 separation from N2 and from CH4 because these are the gases that are in greater proportion in these gaseous streams. Another problem that can arise from a practical point of view is the presence of water vapor. This is especially important in the case of adsorbents having a significant number of polar groups that will have a high affinity for water.
As demonstrated in Figure S3, PILs synthesized in the present work show very good CO2/N2 selectivity in the thermobalance experiment. It was noticed that PUR1.BF4PUR6.BF4 can also absorb some H2O upon long storage at room temperature. However, as in the case of ILs bearing NH2 groups in the side chain [57,58], the presence of traces of water in PURs will only increase the CO2 sorption capacity. Although the results presented here can serve as a proof-of-concept and are quite promising for sustainable CO2 capture, PILs, to be applied in an industrial process, should be further tested under more representative postcombustion conditions and natural gas purification; this will be the subject of our future investigations.

4. Conclusions

The aim of this study was to synthesize a new class of PILs, namely ionic polyureas, and to evaluate their potential for CO2 capture. To expand the chemistry of PILs, a synthetic route for the preparation of two ionic diamines bearing quinuclidinium cations and distinguished by simplicity and high yields was suggested. Their condensation with commercial diisocyanates and subsequent ion exchange reaction with KBF4 afforded series of high molecular weight (Mw = 12.0–173.5 × 103 g/mol) and thermally stable (Tonset = 195–265 °C) ionic polyureas.
All synthesized PILs represent novel materials and differ by the structure of diisocyanate, the nature and the quantity of cations. All these factors were found to affect the heat resistance and the CO2 sorption properties of the polymers. PUR1.BF4 based solely on aromatic monomers demonstrated the highest glass transition temperature (Tg = 286 °C), while aliphatic PUR5.BF4 and PUR6.BF4 showed the lowest ones (Tg = 153 and 209 °C, respectively). From comparative evaluation, it becomes evident that aliphatic 4,4′-methylene-bis(cyclohexyl isocyanate) imparts the highest CO2 capture capacity to respective ionic polyureas. The observed superiority of the quinuclidinium-based PUR3.BF4 and PUR6.BF4 over the ammonium PUR5.BF4 was in full agreement with the results obtained previously for the CO2 sorption of ionic polyurethanes. The addition of the second quinuclidinium cation did not significantly affect the CO2 sorption of PILs. The comparison of structurally similar ionic polyurea PUR6.BF4 and polyurethane PU1.BF4 revealed that the transfer from –NH–CO–O– groups to –NH–CO–NH– fragments leads to an increase in the adsorbed amount of CO2, which was explained by the presence of the additional amine group and the possibility of hydrogen bonding CO2 molecules. Finally, these materials presented very good cyclability both in consecutive cycles of adsorption and desorption between vacuum and atmospheric pressure at 0ºC and in alternating streams of N2 and CO2 at room temperature. This last result also proves good CO2/N2 selectivity.
To conclude, the demonstrated results present a new sustainable CO2 capture option and add important value to novel design strategies for improving the sorption properties of PILs and the creation of novel effective CO2 sorbents.

Supplementary Materials

The following are available online at https://www.mdpi.com/2077-0375/10/9/240/s1, Explanations of the choice of non-ideality factor for CO2 sorption calculations; Figure S1: (a) 1H, (b) HMBC and (c) 19F NMR spectra of polyurea PUR6.BF4 (25 °C, DMSO-d6); Figure S2: FT-IR spectrum of polyurea PUR6.BF4; Figure S3: CO2 sorption/desorption tests for PUR2.BF4 and PU1.BF4 at atmospheric pressure and room temperature under alternating streams of N2 and CO2 in a thermobalance.

Author Contributions

Conceptualization, A.S.S. and H.S.; synthesis of ionic monomer 4 and ionic polyureas, S.M.M.; synthesis of ionic monomer 5 and ionic polyurethane for comparison, A.S.S.; purification of diisocyanates, IR spectroscopy, E.I.L.; NMR analysis and assignment, P.S.V.; CO2 sorption measurement, F.S.-G.; TMA and TGA studies, R.V.; writing—partially introduction, S.M.M; writing—review and editing, A.S.S.; writing—original draft preparation, A.S.S., H.S., Y.S.V.; project administration, A.S.S. All authors have read and agreed to the published version of the manuscript.

Funding

This research was in part supported by Fonds National de la Recherche Luxembourg (FNR) with Agency Nationale de la Recherche (ANR) through the ANR-FNR project DISAFECAP (Agreement number INTER/ANR/18/13358226). Partial funding by the Spanish Agencia Estatal de Investigación (AEI), PCTI 2013-2017 del Principado de Asturias and ERDF through projects RTI2018-100832-B-I00 and IDI/2018/000233 is gratefully acknowledged. Partial funding by Russian Foundation for Basic Research (RFBR) through project 16-03-00768_a is acknowledged. Elemental analysis and IR spectroscopy were performed with the financial support from Ministry of Science and Higher Education of the Russian Federation using the equipment of Center for molecular composition studies of INEOS RAS.

Acknowledgments

Covestro AG (Bayer Material Science, Germany) is acknowledged for supplying 4,4′-methylene-bis(cyclohexyl isocyanate) (Desmodur W BC®, H12MDI) monomer free of charge. Elemental analysis and IR spectroscopy were performed with financial support from the Ministry of Science and Higher Education of the Russian Federation using the equipment of the Center for molecular composition studies of INEOS RAS.

Conflicts of Interest

The authors declare no conflict of interest.

References

  1. Jacobson, M.Z. Review of solutions to global warming, air pollution, and energy security. Energy Environ. Sci. 2009, 2, 148–173. [Google Scholar] [CrossRef]
  2. Chen, Y.; Moufouma-Okia, W.; Masson-Delmotte, V.; Zhai, P.; Pirani, A. Recent Progress and Emerging Topics on Weather and Climate Extremes Since the Fifth Assessment Report of the Intergovernmental Panel on Climate Change. Annu. Rev. Environ. Resour. 2018, 43, 35–59. [Google Scholar] [CrossRef]
  3. Roy, I. Green House Gas Warming. In Climate Variability and Sunspot Activity; Springer Atmospheric Sciences; Springer International Publishing: Cham, Switzerland, 2018; pp. 187–195. ISBN 978-3-319-77106-9. [Google Scholar]
  4. Zulfiqar, S.; Sarwar, M.I.; Mecerreyes, D. Polymeric ionic liquids for CO2 capture and separation: Potential, progress and challenges. Polym. Chem. 2015, 6, 6435–6451. [Google Scholar] [CrossRef]
  5. Yuan, J.; Antonietti, M. Poly(ionic liquid)s: Polymers expanding classical property profiles. Polymer 2011, 52, 1469–1482. [Google Scholar] [CrossRef]
  6. Laschewsky, A. Recent trends in the synthesis of polyelectrolytes. Curr. Opin. Colloid Interface Sci. 2012, 17, 56–63. [Google Scholar] [CrossRef]
  7. Yuan, J.; Mecerreyes, D.; Antonietti, M. Poly(ionic liquid)s: An update. Prog. Polym. Sci. 2013, 38, 1009–1036. [Google Scholar] [CrossRef]
  8. Mecerreyes, D. Polymeric ionic liquids: Broadening the properties and applications of polyelectrolytes. Prog. Polym. Sci. 2011, 36, 1629–1648. [Google Scholar] [CrossRef]
  9. Obadia, M.M.; Drockenmuller, É. Poly(1,2,3-triazolium)s: A new class of functional polymer electrolytes. Chem. Commun. 2016, 52, 2433–2450. [Google Scholar] [CrossRef]
  10. Zhou, X.; Weber, J.; Yuan, J. Poly(ionic liquid)s: Platform for CO2 capture and catalysis. Curr. Opin. Green Sustain. Chem. 2019, 16, 39–46. [Google Scholar] [CrossRef]
  11. Shaplov, A.S.; Marcilla, R.; Mecerreyes, D. Recent Advances in Innovative Polymer Electrolytes based on Poly(ionic liquid)s. Electrochim. Acta 2015, 175, 18–34. [Google Scholar] [CrossRef]
  12. Kárászová, M.; Kačírková, M.; Friess, K.; Izak, P. Progress in separation of gases by permeation and liquids by pervaporation using ionic liquids: A review. Sep. Purif. Technol. 2014, 132, 93–101. [Google Scholar] [CrossRef]
  13. Hasib-Ur-Rahman, M.; Siaj, M.; Larachi, F. Ionic liquids for CO2 capture—Development and progress. Chem. Eng. Process. Process. Intensif. 2010, 49, 313–322. [Google Scholar] [CrossRef]
  14. Tang, J.; Tang, H.; Sun, W.; Plancher, H.; Radosz, M.; Shen, Y.; Tang, J. Poly(ionic liquid)s: A new material with enhanced and fast CO2 absorption. Chem. Commun. 2005, 3325–3327. [Google Scholar] [CrossRef]
  15. Bernard, F.L.; Duczinski, R.B.; Rojas, M.F.; Fialho, M.C.C.; Carreño, L.Á.; Chaban, V.V.; Vecchia, F.D.; Einloft, S. Cellulose based poly(ionic liquids): Tuning cation-anion interaction to improve carbon dioxide sorption. Fuel 2018, 211, 76–86. [Google Scholar] [CrossRef]
  16. Morozova, S.M.; Shaplov, A.S.; Lozinskaya, E.I.; Mecerreyes, D.; Sardon, H.; Zulfiqar, S.; Suárez-García, F.; Vygodskii, Y.S. Ionic Polyurethanes as a New Family of Poly(ionic liquid)s for Efficient CO2 Capture. Macromolecules 2017, 50, 2814–2824. [Google Scholar] [CrossRef]
  17. Zhao, Q.; Anderson, J.L. Selective extraction of CO2 from simulated flue gas using polymeric ionic liquid sorbent coatings in solid-phase microextraction gas chromatography. J. Chromatogr. A 2010, 1217, 4517–4522. [Google Scholar] [CrossRef]
  18. Bhavsar, R.S.; Kumbharkar, S.C.; Kharul, U.K. Polymeric ionic liquids (PILs): Effect of anion variation on their CO2 sorption. J. Membr. Sci. 2012, 389, 305–315. [Google Scholar] [CrossRef]
  19. Privalova, E.I.; Karjalainen, E.; Nurmi, M.; Mäki-Arvela, P.; Eranen, K.; Tenhu, H.; Murzin, D.Y.; Mikkola, J.-P. Imidazolium-Based Poly(ionic liquid)s as New Alternatives for CO2 Capture. ChemSusChem 2013, 6, 1500–1509. [Google Scholar] [CrossRef]
  20. Wilke, A.; Yuan, J.; Antonietti, M.; Weber, J. Enhanced Carbon Dioxide Adsorption by a Mesoporous Poly(ionic liquid). ACS Macro Lett. 2012, 1, 1028–1031. [Google Scholar] [CrossRef]
  21. Yu, G.; Li, Q.; Li, N.; Man, Z.; Pu, C.; Asumana, C.; Chen, X. Synthesis of new crosslinked porous ammonium-based poly(ionic liquid) and application in CO2 adsorption. Polym. Eng. Sci. 2014, 54, 59–63. [Google Scholar] [CrossRef]
  22. Sang, Y.; Huang, J. Benzimidazole-based hyper-cross-linked poly(ionic liquid)s for efficient CO2 capture and conversion. Chem. Eng. J. 2020, 385, 123973. [Google Scholar] [CrossRef]
  23. Gong, J.; Antonietti, M.; Yuan, J. Poly(Ionic Liquid)-Derived Carbon with Site-Specific N-Doping and Biphasic Heterojunction for Enhanced CO2 Capture and Sensing. Angew. Chem. Int. Ed. 2017, 56, 7557–7563. [Google Scholar] [CrossRef] [PubMed]
  24. Gong, J.; Lin, H.; Grygiel, K.; Yuan, J. Main-chain poly(ionic liquid)-derived nitrogen-doped micro/mesoporous carbons for CO 2 capture and selective aerobic oxidation of alcohols. Appl. Mater. Today 2017, 7, 159–168. [Google Scholar] [CrossRef]
  25. Cheng, H.; Wang, P.; Luo, J.; Fransaer, J.; De Vos, D.E.; Luo, Z.-H. Poly(ionic liquid)-Based Nanocomposites and Their Performance in CO2 Capture. Ind. Eng. Chem. Res. 2015, 54, 3107–3115. [Google Scholar] [CrossRef]
  26. Yuan, J.; Fan, M.; Zhang, F.; Xu, Y.; Tang, H.L.; Huang, C.; Zhang, H. Amine-functionalized poly(ionic liquid) brushes for carbon dioxide adsorption. Chem. Eng. J. 2017, 316, 903–910. [Google Scholar] [CrossRef]
  27. Li, N.; Qu, R.; Han, X.; Lin, W.; Zhang, H.; Zhang, Z.J. The Counterion Effect of Imidazolium-Type Poly(ionic liquid) Brushes on Carbon Dioxide Adsorption. ChemPlusChem 2019, 84, 281–288. [Google Scholar] [CrossRef]
  28. Ding, L.-G.; Yao, B.-J.; Jiang, W.-L.; Li, J.-T.; Fu, Q.-J.; Li, Y.-A.; Liu, Z.-H.; Ma, J.-P.; Dong, Y.-B. Bifunctional Imidazolium-Based Ionic Liquid Decorated UiO-67 Type MOF for Selective CO2 Adsorption and Catalytic Property for CO2 Cycloaddition with Epoxides. Inorg. Chem. 2017, 56, 2337–2344. [Google Scholar] [CrossRef]
  29. Ding, M.; Jiang, H.-L. Incorporation of Imidazolium-Based Poly(ionic liquid)s into a Metal–Organic Framework for CO2 Capture and Conversion. ACS Catal. 2018, 8, 3194–3201. [Google Scholar] [CrossRef]
  30. Sun, Y.; Huang, H.; Vardhan, H.; Aguila, B.; Zhong, C.; Perman, J.A.; Al-Enizi, A.M.; Nafady, A.; Ma, S. Facile Approach to Graft Ionic Liquid into MOF for Improving the Efficiency of CO2 Chemical Fixation. ACS Appl. Mater. Interfaces 2018, 10, 27124–27130. [Google Scholar] [CrossRef]
  31. Yang, G.; Yu, J.; Peng, S.; Sheng, K.; Zhang, H. Poly(ionic liquid)-Modified Metal Organic Framework for Carbon Dioxide Adsorption. Polymers 2020, 12, 370. [Google Scholar] [CrossRef]
  32. Cao, J.; Shan, W.; Wang, Q.; Ling, X.; Li, G.; Lyu, Y.; Zhou, Y.; Wang, J. Ordered Porous Poly(ionic liquid) Crystallines: Spacing Confined Ionic Surface Enhancing Selective CO2 Capture and Fixation. ACS Appl. Mater. Interfaces 2019, 11, 6031–6041. [Google Scholar] [CrossRef] [PubMed]
  33. Tang, J.; Tang, H.; Sun, W.; Radosz, M.; Shen, Y. Poly(ionic liquid)s as new materials for CO2 absorption. J. Polym. Sci. Part A Polym. Chem. 2005, 43, 5477–5489. [Google Scholar] [CrossRef]
  34. Tang, J.; Shen, Y.; Radosz, M.; Sun, W. Isothermal Carbon Dioxide Sorption in Poly(ionic liquid)s. Ind. Eng. Chem. Res. 2009, 48, 9113–9118. [Google Scholar] [CrossRef]
  35. Mineo, P.G.; Livoti, L.; Giannetto, M.; Gulino, A.; Schiavo, S.L.; Cardiano, P. Very fast CO2 response and hydrophobic properties of novel poly(ionic liquid)s. J. Mater. Chem. 2009, 19, 8861–8870. [Google Scholar] [CrossRef]
  36. Mineo, P.G.; Livoti, L.; Schiavo, S.L.; Cardiano, P. Fast and reversible CO2 quartz crystal microbalance response of vinylimidazolium-based poly(ionic liquid)s. Polym. Adv. Technol. 2012, 23, 1511–1519. [Google Scholar] [CrossRef]
  37. Tang, J.; Tang, H.; Sun, W.; Radosz, M.; Shen, Y. Low-pressure CO2 sorption in ammonium-based poly(ionic liquid)s. Polymer 2005, 46, 12460–12467. [Google Scholar] [CrossRef]
  38. Magalhães, T.O.; Aquino, A.S.; Vecchia, F.D.; Bernard, F.L.; Seferin, M.; Menezes, S.C.; Ligabue, R.; Einloft, S. Syntheses and characterization of new poly(ionic liquid)s designed for CO2 capture. RSC Adv. 2014, 4, 18164–18170. [Google Scholar] [CrossRef]
  39. Xiong, Y.; Wang, H.; Wang, Y.-J.; Wang, R.-M. Novel imidazolium-based poly(ionic liquid)s: Preparation, characterization, and absorption of CO2. Polym. Adv. Technol. 2012, 23, 835–840. [Google Scholar] [CrossRef]
  40. Bernard, F.L.; Polesso, B.B.; Cobalchini, F.W.; Donato, A.J.; Seferin, M.; Ligabue, R.; Chaban, V.V.; Nascimento, J.F.D.; Vecchia, F.D.; Einloft, S. CO2 capture: Tuning cation-anion interaction in urethane based poly(ionic liquids). Polymer 2016, 102, 199–208. [Google Scholar] [CrossRef]
  41. Kajiya, D.; Imanishi, M.; Saitow, K.-I. Solvation of Esters and Ketones in Supercritical CO2. J. Phys. Chem. B 2016, 120, 785–792. [Google Scholar] [CrossRef]
  42. Sun, L.-B.; Kang, Y.-H.; Shi, Y.-Q.; Jiang, Y.; Liu, X.-Q. Highly Selective Capture of the Greenhouse Gas CO2 in Polymers. ACS Sustain. Chem. Eng. 2015, 3, 3077–3085. [Google Scholar] [CrossRef]
  43. Vygodskii, Y.S.; Churochkina, N.A.; Panova, T.A.; Fedotov, Y.A. Novel condensation functional polymers having highly basic groups. React. Funct. Polym. 1996, 30, 241–250. [Google Scholar] [CrossRef]
  44. Xuehui, S.; Yu-Kun, Y.; Fengcai, L. Novel polyimide ionene: Synthesis and characterization of polyimides containing aromatic bipyridinium salt. Polymer 1997, 38, 4737–4741. [Google Scholar] [CrossRef]
  45. Sun, X.; Yang, Y.-K.; Lu, F. Synthesis and Properties of Ionic, Rigid-Rod, and Thermally Stable Polyimides Containing Bipyridinium Triflates. Macromolecules 1998, 31, 4291–4296. [Google Scholar] [CrossRef]
  46. Li, P.; Zhao, Q.; Anderson, J.L.; Varanasi, S.; Coleman, M.R. Synthesis of copolyimides based on room temperature ionic liquid diamines. J. Polym. Sci. Part A Polym. Chem. 2010, 48, 4036–4046. [Google Scholar] [CrossRef]
  47. Sternbach, L.H.; Kaiser, S. Antispasmodics. I. Bicyclic Basic Alcohols. J. Am. Chem. Soc. 1952, 74, 2215–2218. [Google Scholar] [CrossRef]
  48. Menges, F. Spectragryph-Optical Spectroscopy Software, Version 1.2.9. 2019. Available online: http://www.effemm2.de/spectragryph/ (accessed on 1 May 2020).
  49. Span, R.; Wagner, W. A New Equation of State for Carbon Dioxide Covering the Fluid Region from the Triple-Point Temperature to 1100 K at Pressures up to 800 MPa. J. Phys. Chem. Ref. Data 1996, 25, 1509–1596. [Google Scholar] [CrossRef]
  50. Garrido, J.; Linares-Solano, A.; Martín-Martínez, J.M.; Molina-Sabio, M.; Rodríguez-Reinoso, F.; Torregrosa, R. Use of nitrogen vs. carbon dioxide in the characterization of activated carbons. Langmuir 1987, 3, 76–81. [Google Scholar] [CrossRef]
  51. Zhao, Q.; Wajert, J.C.; Anderson, J.L. Polymeric Ionic Liquids as CO2Selective Sorbent Coatings for Solid-Phase Microextraction. Anal. Chem. 2010, 82, 707–713. [Google Scholar] [CrossRef]
  52. Gao, R.; Zhang, M.; Wang, S.-W.; Moore, R.B.; Colby, R.H.; Long, T.E. Polyurethanes Containing an Imidazolium Diol-Based Ionic-Liquid Chain Extender for Incorporation of Ionic-Liquid Electrolytes. Macromol. Chem. Phys. 2013, 214, 1027–1036. [Google Scholar] [CrossRef]
  53. Bates, E.D.; Mayton, R.D.; Ntai, I.; Davis, J.H. CO(2) capture by a task-specific ionic liquid. J. Am. Chem. Soc. 2002, 124, 926–927. [Google Scholar] [CrossRef] [PubMed]
  54. Brennecke, J.F.; Gurkan, B. Ionic Liquids for CO2 Capture and Emission Reduction. J. Phys. Chem. Lett. 2010, 1, 3459–3464. [Google Scholar] [CrossRef]
  55. Bernard, F.L.; Rodrigues, D.M.; Polesso, B.B.; Donato, A.J.; Seferin, M.; Chaban, V.V.; Vecchia, F.D.; Einloft, S. New cellulose based ionic compounds as low-cost sorbents for CO2 capture. Fuel Process. Technol. 2016, 149, 131–138. [Google Scholar] [CrossRef]
  56. Zhu, J.M.; He, K.G.; Zhang, H.; Xin, F. Effect of Swelling on Carbon Dioxide Adsorption by Poly(Ionic Liquid)s. Adsorpt. Sci. Technol. 2012, 30, 35–41. [Google Scholar] [CrossRef]
  57. Zulfiqar, S.; Karadas, F.; Park, J.; Deniz, E.; Stucky, G.D.; Jung, Y.; Atilhan, M.; Yavuz, C.T. Amidoximes: Promising candidates for CO2 capture. Energy Environ. Sci. 2011, 4, 4528–4531. [Google Scholar] [CrossRef]
  58. Chen, F.-F.; Huang, K.; Zhou, Y.; Tian, Z.; Zhu, X.; Tao, D.-J.; Jiang, D.; Dai, S. Multi-Molar Absorption of CO2 by the Activation of Carboxylate Groups in Amino Acid Ionic Liquids. Angew. Chem. Int. Ed. 2016, 55, 7166–7170. [Google Scholar] [CrossRef]
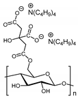
Scheme 1. Examples of carbochain and heterochain PILs used for CO2 capture.
Scheme 1. Examples of carbochain and heterochain PILs used for CO2 capture.
Membranes 10 00240 sch001
Scheme 2. Structures of ionic diamines (monomers) used in the present study.
Scheme 2. Structures of ionic diamines (monomers) used in the present study.
Membranes 10 00240 sch002
Scheme 3. Structures of ionic polyureas (PURs) synthesized and studied in the present work.
Scheme 3. Structures of ionic polyureas (PURs) synthesized and studied in the present work.
Membranes 10 00240 sch003
Scheme 4. Structure of monomer 4 and its NMR assignment.
Scheme 4. Structure of monomer 4 and its NMR assignment.
Membranes 10 00240 sch004
Scheme 5. Synthesis of ionic monomer 5.
Scheme 5. Synthesis of ionic monomer 5.
Membranes 10 00240 sch005
Scheme 6. Structure of 3-aminoquinuclidine and its NMR assignment.
Scheme 6. Structure of 3-aminoquinuclidine and its NMR assignment.
Membranes 10 00240 sch006
Scheme 7. Structure of PUR1.BF4 and its NMR assignment.
Scheme 7. Structure of PUR1.BF4 and its NMR assignment.
Membranes 10 00240 sch007
Scheme 8. Structure of PUR2.BF4 and its NMR assignment.
Scheme 8. Structure of PUR2.BF4 and its NMR assignment.
Membranes 10 00240 sch008
Scheme 9. Structure of PUR3.BF4 and its NMR assignment.
Scheme 9. Structure of PUR3.BF4 and its NMR assignment.
Membranes 10 00240 sch009
Scheme 10. Structure of PUR5.BF4 and its NMR assignment.
Scheme 10. Structure of PUR5.BF4 and its NMR assignment.
Membranes 10 00240 sch010
Scheme 11. Structure of PUR6.BF4 and its NMR assignment.
Scheme 11. Structure of PUR6.BF4 and its NMR assignment.
Membranes 10 00240 sch011
Scheme 12. Synthetic pathways for the preparation of ionic polyureas PUR1.BF4PUR3.BF4 and PUR5.BF4PUR6.BF4.
Scheme 12. Synthetic pathways for the preparation of ionic polyureas PUR1.BF4PUR3.BF4 and PUR5.BF4PUR6.BF4.
Membranes 10 00240 sch012
Figure 1. TGA traces of PUR1.BF4 under air (solid line) and inert atmosphere (dash line).
Figure 1. TGA traces of PUR1.BF4 under air (solid line) and inert atmosphere (dash line).
Membranes 10 00240 g001
Figure 2. CO2 gas absorption isotherms of ionic PURs at 0 °C.
Figure 2. CO2 gas absorption isotherms of ionic PURs at 0 °C.
Membranes 10 00240 g002
Figure 3. Five correlative CO2 adsorption/desorption isotherms (from 0.006 to 1 bar) at 0 °C for PUR2.BF4 (blue squares) and PU1.BF4 (green circles) carried out without degasification step between cycles.
Figure 3. Five correlative CO2 adsorption/desorption isotherms (from 0.006 to 1 bar) at 0 °C for PUR2.BF4 (blue squares) and PU1.BF4 (green circles) carried out without degasification step between cycles.
Membranes 10 00240 g003
Table 1. Selected properties of ionic PURs and PUs.
Table 1. Selected properties of ionic PURs and PUs.
NoAbbrev.Poly(Ionic Liquid)Mw, (g/mol) aMw/Mn aTg (°C) bTonset (°C) cTonset (°C) dCO2 Uptake, (mg/g) e
ionic polyureas (PURs)
1PUR1.BF4Membranes 10 00240 i00112,0001.4228624025018.3
2PUR2.BF4Membranes 10 00240 i00215,8001.6127123024024.8
3PUR3.BF4Membranes 10 00240 i003101,5004.1227624025519.8
4PUR5.BF4Membranes 10 00240 i004173,5002.3215319524010.5
5PUR6.BF4Membranes 10 00240 i00539,0001.9720926026518.1
ionic polyurethane (PU)
6 fPU1.BF4Membranes 10 00240 i00685001.5119526526513.1
a By GPC in 0.1 M solution of NH4BF4 in DMF; b By TMA; c By TGA in air; d By TGA in N2 atmosphere; e 0 °C, 1 bar; f For comparison.
Table 2. Comparison of the CO2 absorption data for the best PILs reported in the literature and for those obtained in the present work.
Table 2. Comparison of the CO2 absorption data for the best PILs reported in the literature and for those obtained in the present work.
NPILStructureCO2 Sorption (mg/g)Conditions (P, T)Reference
1CL-TBAMembranes 10 00240 i00744.00.1 MPa, 25 °C[55]
2[CelEt3N][PF6]Membranes 10 00240 i00838.00.1 MPa, 25 °C[15]
3PIL-8.1.BF4Membranes 10 00240 i00924.80.1 MPa, 0 °C[16]
4PUR2.BF4Membranes 10 00240 i01024.80.1 MPa, 0 °CThis work
5Mesoporous PILMembranes 10 00240 i01120.20.1 MPa, 0 °C[20]
6PUR3.BF4Membranes 10 00240 i01219.80.1 MPa, 0 °CThis work
7PIL-8.1.CH3COOMembranes 10 00240 i01318.30.1 MPa, 0 °C[16]
8PUR1.BF4Membranes 10 00240 i01418.30.1 MPa, 0 °CThis work
9PUR6.BF4Membranes 10 00240 i01518.10.1 MPa, 0 °CThis work
10Meso-SiO2- P[VBTMA][BF4]Membranes 10 00240 i01617.70.1 MPa, 30 °C[25]
11P[VBTMA][BF4]Membranes 10 00240 i01717.10.0078 MPa, 22 °C[37]
12Meso-SiO2- P[VBTMA][ PF6]Membranes 10 00240 i01816.70.1 MPa, 30 °C[25]
13PU-TABPU-TABMembranes 10 00240 i01916.10.0082 MPa, 30 °C[40]
14P[VBTMA][ PF6]Membranes 10 00240 i02014.60.0078 MPa, 22 °C[37]
15P[MATMA][BF4]Membranes 10 00240 i02114.40.0078 MPa, 22 °C[37]
16P[(AMIM) BF4-AN]Membranes 10 00240 i02214.30.1 MPa, 0 °C[56]
17PU1.BF4Membranes 10 00240 i02313.10.1 MPa, 0 °CThis work
18PIL-8.1.NO3Membranes 10 00240 i02413.10.1 MPa, 0 °C[16]
19P[BIEMA][CH3COO]Membranes 10 00240 i02512.50.1 MPa, 25 °C[19]
20P[VBTEA][ PF6]Membranes 10 00240 i02610.40.1 MPa, 25 °C[21]
21P[VBTEA][BF4]Membranes 10 00240 i0276.90.0078 MPa, 22 °C[37]
22P[VBMI][BF4]Membranes 10 00240 i0284.60.0078 MPa, 22 °C[14]

Share and Cite

MDPI and ACS Style

Morozova, S.M.; Lozinskaya, E.I.; Sardon, H.; Suárez-García, F.; Vlasov, P.S.; Vaudemont, R.; Vygodskii, Y.S.; Shaplov, A.S. Ionic Polyureas—A Novel Subclass of Poly(Ionic Liquid)s for CO2 Capture. Membranes 2020, 10, 240. https://doi.org/10.3390/membranes10090240

AMA Style

Morozova SM, Lozinskaya EI, Sardon H, Suárez-García F, Vlasov PS, Vaudemont R, Vygodskii YS, Shaplov AS. Ionic Polyureas—A Novel Subclass of Poly(Ionic Liquid)s for CO2 Capture. Membranes. 2020; 10(9):240. https://doi.org/10.3390/membranes10090240

Chicago/Turabian Style

Morozova, Sofia M., Elena I. Lozinskaya, Haritz Sardon, Fabian Suárez-García, Petr S. Vlasov, Régis Vaudemont, Yakov S. Vygodskii, and Alexander S. Shaplov. 2020. "Ionic Polyureas—A Novel Subclass of Poly(Ionic Liquid)s for CO2 Capture" Membranes 10, no. 9: 240. https://doi.org/10.3390/membranes10090240

APA Style

Morozova, S. M., Lozinskaya, E. I., Sardon, H., Suárez-García, F., Vlasov, P. S., Vaudemont, R., Vygodskii, Y. S., & Shaplov, A. S. (2020). Ionic Polyureas—A Novel Subclass of Poly(Ionic Liquid)s for CO2 Capture. Membranes, 10(9), 240. https://doi.org/10.3390/membranes10090240

Note that from the first issue of 2016, this journal uses article numbers instead of page numbers. See further details here.

Article Metrics

Back to TopTop