Abstract
Background: Hospitalized patients with severe COVID-19 are at high risk of clinical deterioration. Methods: A global, randomized, double-blinded, and placebo-controlled phase II trial that investigated the clinical efficacy of SCTA01, an Fc-modified monoclonal antibody, in patients hospitalized with severe COVID-19 during the Delta variant wave was performed. The primary outcome was time to clinical improvement up to Day 29. Secondary outcomes measured the all-cause mortality rate up to Day 29, time to SARS-CoV-2 RNA negativity up to Day 29, and the number of antibody-dependent enhancements. Results: From 27 March 2021, to 11 February 2022, 102 hospitalized adults with severe COVID-19 received a single intravenous infusion of SCTA01 15 mg/kg or 50 mg/kg or placebo in a 1:1:1 ratio. The median time to clinical improvement in the SCTA01 group was numerically shorter than that in the placebo group; however, the between group difference was statistically non-significant (SCTA01 15 mg/kg vs. placebo, HR 0.99, 95% CI 0.55–1.77, p = 0.742; SCTA01 50 mg/kg vs. placebo, HR 1.07, 95% CI 0.61–1.88, p = 0.095). The median time to achieve a negative SARS-CoV-2 status was shorter in the SCTA01 15 mg/kg group (14.0 days vs. 27.0 days) but not in the SCTA01 50 mg/kg group (28.0 days vs. 27.0 days) compared to the placebo group. Adverse events were comparable across all groups, and no treatment-related serious adverse event or antibody-dependent enhancement was reported. Conclusions: The Fc-modified antibody was safe but lacked significant clinical efficacy in vivo, likely due to the SARS-CoV-2 viral mutation.
1. Introduction
SARS-CoV-2 infection generally leads to mild or moderate disease; however, earlier in the pandemic, approximately 10–30% of infected individuals developed severe disease with detrimental complications [1,2,3]. Monoclonal antibodies are known to provide immediate, passive immunity to patients with acute infections and sometimes late-stage disease due to their high specificity and ability to boost immune responses [4]. Although antibody use in severe COVID-19 patients suggested that recipients had slightly improved outcomes compared to those who did not receive it, their efficacy waned as the disease progressed and new variants emerged.
Severe COVID-19 hospitalizations increased dramatically during the Delta wave period. From March 2020 to March 2021, over 90% of adults hospitalized with severe COVID-19 had at least one underlying medical condition, with the most prevalent conditions being hypertension and disorders of lipid metabolism. Conversely, obesity, diabetes with complications, and anxiety disorders were found to be the most critical risk factors for severe COVID-19 illness [5]. Severe COVID-19 triggers a wide range of immune interactions (innate and adaptive responses), which leads to the overproduction of pro-inflammatory cytokines and disrupts normal immune responses [6]. It is characterized by a dysregulated response to the virus, often leading to uncontrolled viral replication in the pathogenesis of this disease [7].
SCTA01 is a humanized monoclonal IgG1 antibody with an LALA-modified Fc region that binds to the SARS-CoV-2 spike protein, thereby effectively blocking its interaction with ACE2 receptors [8]. This antibody’s Fc segment has been modified to reduce interactions with human Fc receptors and complement, which could potentially mitigate hyper-inflammation and antibody-dependent enhancement (ADE) in severely ill COVID-19 patients.
This paper reports the phase II findings from a global, multi-regional study of SCTA01 conducted in hospitalized severe COVID-19 patients, which was terminated due to the emergence of the Omicron variant.
2. Methods
2.1. Study Design
SCTA01-B301 was a phase II/III randomized, global, double-blinded, placebo-controlled study evaluating SCTA01 (15 mg/kg and 50 mg/kg) in hospitalized severe COVID-19 patients. A total of 285 patients were to be randomized in a 1:1:1 ratio among the treatment and placebo groups, with 95 patients in each group. An interim analysis was planned after monitoring the 285th patient for time to clinical improvement (TTCI) up to Day 29. An Independent Data Monitoring Committee (IDMC) supervised the safety data, with all necessary approvals obtained per Good Clinical Practice. Patients or their representatives provided informed consent before participation. Trial registration: ClinicalTrials.gov Identifier NCT04644185 (22 November 2020).
2.2. Trial Participants
Eligible patients were adults ≥ 18 years old hospitalized with severe COVID-19, confirmed by a polymerase chain reaction (PCR) test, and ≤14 days from symptoms onset. Severe COVID-19 was defined according to the US National Institute of Health (NIH) criteria (at least one): (1) respiratory rate ≥ 30 breaths per minute; (2) pulse oxygen saturation (SpO2) ≤ 93% on room air at sea level; (3) arterial partial pressure of oxygen (PaO2)/fraction of inspiration oxygen (FiO2) < 300 mmHg or SpO2/FiO2 ≤ 315 mmHg; (4) lung infiltrates > 50%. Patients with critical COVID-19 were excluded. According to the NIH definition, critically ill patients are those having one of the following conditions: (1) respiratory failure and need invasive mechanical ventilation; (2) septic shock; (3) multiple organ dysfunction (detailed eligibility criteria are provided in the protocol in Supplement S1). Patients received a single intravenous infusion of SCTA01 or placebo on Day 1, along with the best supportive care. Patients were monitored daily until Day 29, with follow-up on Days 60 and 120.
2.3. Randomization and Blinding
Patients were randomly assigned to receive SCTA01 at either 15 mg/kg, 50 mg/kg, or placebo in a 1:1:1 ratio, with the randomization schedule stratified by country. To ensure unbiased treatment assignment and concealment of treatment allocation, randomization data were kept strictly confidential until final analyses. They were accessible only to the IDMC team and the unblinded statistician. Additionally, the treatment identity was concealed using identical packaging, labeling, schedule of administration, and appearances for SCTA01 and the matching placebo.
2.4. Efficacy and Safety Assessments
The primary endpoint was time to clinical improvement up to Day 29, assessed by an 8-point ordinal scale. TTCI was defined as the time (in days) from randomization to the first day on which a patient satisfies points 1, 2, or 3 on the 8-point ordinal scale and maintains a score ≤3 for at least 48 h (initial improvement) and then maintains this score up to Day 29. Patients were discharged from acute care once their baseline vital signs had returned to normal, without requiring supplemental oxygen, and after consecutive negative PCR test results. Secondary outcomes assessed by clinical efficacy included the all-cause mortality rate; virologic efficacy was assessed by the time to SARS-CoV-2 RNA negativity from baseline. Safety assessments included the cumulative incidence of serious adverse events (SAEs), the incidence of Grade 1, 2, 3, and 4 adverse events (AEs), and the proportion of patients suspected of experiencing antibody-dependent enhancement (ADE).
2.5. Statistical Analysis
The primary analysis included all randomized patients who received the study drug. Patients were analyzed according to their assigned treatment. Patients lost to follow-up or terminated early before the primary endpoint were censored at their last assessment. Those who completed follow-up without meeting the endpoint were censored on Day 29. Patients who took prohibited medications before Day 29 were treated as treatment failures and censored at that time.
The primary analysis utilized the stratified log-rank test to compare the time to clinical improvement between the treatment and control groups through Day 29, accounting for factors such as country, duration of symptoms, comorbidity, and supportive treatment. Small strata were combined for statistical viability. The Kaplan–Meier estimate of TTCI survival was calculated for each group, and the hazard ratio for SCTA01 versus placebo was determined using a stratified Cox proportional hazards model. Data on TTCI events and censored patients were summarized by treatment group, along with the percentage of patients on an 8-point ordinal scale up to Day 29. If proportional hazard assumptions were not met, the Cochran–Mantel–Haenszel test was used for comparison.
The secondary endpoint, the all-cause mortality rate, was analyzed using a logistic regression model. The odds ratio (OR) and its two-sided 95% confidence interval for the treatment effect were provided. The time to SARS-CoV-2 RNA negativity was summarized through Kaplan–Meier curves and 95% confidence bounds. A stratified Cox model was used to estimate the hazard ratio and two-sided 95% confidence intervals. Safety summaries included the number and percentage of patients presented, along with a breakdown by system organ class (SOC) and preferred term (PT), each being counted only once at each summarization level. Full details are provided in Supplement S2.
The safety summaries included all patients from the SCTA01 and placebo groups from the safety set, with adverse events (AEs) tabulated by treatment. The number and percentage of patients with at least one AE were presented, along with a breakdown by system organ class (SOC) and preferred term (PT). Each patient was counted once at each summarization level. The statistical analysis plan (SAP) was finalized before the clinical database was locked, and two-sided p-values at a 5% significance level were provided for interpretation. For more details, refer to the Statistical Analysis Plan (SAP).
2.6. Early Study Termination
The project team maintained close oversight, accompanied by frequent IDMC reviews of the safety data. This study was terminated early on 29 December 2021, following the emergence of the Omicron variant, after enrolling approximately 35% of the predefined sample size for phase II (295 patients). Investigators were directed to conduct early termination visits for patients who had not completed the study. Ethical committees and regulatory authorities were informed of the early termination, with the last visit on 11 February 2022.
3. Results
3.1. Trial Participants
This study was from 27 March to 29 December 2021, and 116 patients were screened across 11 investigational centers in five countries: the United States of America, Argentina, Brazil, Chile, and Peru. Finally, 103 hospitalized patients with severe COVID-19 were randomly assigned in a 1:1:1 ratio to receive SCTA01 15 mg/kg (n = 33), SCTA01 50 mg/kg (n = 34), or a placebo (n = 35). Among these patients, 56 (54.9%) were seropositive, 36 (35.3%) were seronegative, and the serostatus was unknown for 10 (9.8%) at baseline. All patients received the best supportive treatment, including corticosteroids (primarily dexamethasone), remdesivir, or other COVID-19 drug therapy. The analysis population consisted of only 102 patients, as one patient withdrew (Figure 1).
Figure 1.
Disposition of trial patients. One hundred sixteen adults were screened for eligibility, and one hundred two were randomized to receive SCTA01 15 mg/kg, SCTA01 50 mg/kg, or placebo. One hundred two patients were included in the intention-to-treat (ITT) population for safety and efficacy analyses.
3.2. Baseline Demographic and Clinical Characteristics
One hundred two patients were included in the intention-to-treat (ITT) population, comprising sixty-eight males and a median age of 48. The median duration from COVID-19 symptom onset to enrollment was 9 days in the treatment groups and 7 days in the placebo group. Presenting comorbid conditions were similar between groups. Over two-thirds of patients had at least one co-existing illness, with hypertension being the most common. Approximately 89.2% (91/102) of patients completed the Day 29 follow-up visit, which served as the primary endpoint. The remaining patients were in follow-up until the study’s termination. Baseline demographics and clinical characteristics were balanced between groups (Table 1).
Table 1.
Baseline demographic and clinical characteristics.
3.3. Efficacy Outcomes
The primary objective was to compare the effect of SCTA01 to placebo on patient survival, with time to clinical improvement up to Day 29 as the primary outcome. Key secondary endpoints included the all-cause mortality rate up to Day 29 and the time to SARS-CoV-2 RNA negativity.
3.4. Time to Clinical Improvement
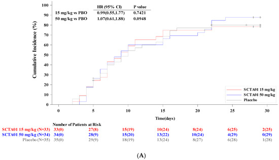
The median time to clinical improvement for all patients was numerically shorter but statistically non-significant, at 9.0 days for both SCTA01 groups and 10 days for the placebo (Table 2). No significant difference in time to clinical improvement was observed in the treatment groups and placebo: SCTA01 15 mg/kg vs. placebo, HR 0.99, 95% CI 0.55–1.77, p = 0.742; SCTA01 50 mg/kg vs. placebo, HR 1.07, 95% CI 0.61–1.88, p = 0.095 (Figure 2A). The cumulative incidence of patients who achieved score 1 (not hospitalized) on Day 29 was 26 (78.8%), 25 (73.5%), and 24 (68.6%) in SCTA01 15 mg/kg, SCTA01 50 mg/kg, and placebo, respectively. The entire distribution of patients on the 8-point scale, for which complete data are available for all patients, is shown in (Figure S1).
Table 2.
Study efficacy outcomes.

Figure 2.
(A). Cumulative incidence of time to clinical improvement up to Day 29. (B). Cumulative incidence of time to SARS-CoV-2 negativity up to Day 29. Abbreviations: N = total number of patients; PBO = placebo; HR = hazard ratio; p-value = probability value; CI = confidence interval.
3.5. All-Cause Mortality Rate
The all-cause mortality rate up to Day 29 was numerically lower in the SCTA01 treatment groups (15 mg/kg: (6.1%), 50 mg/kg: (5.9%)) than in the placebo group (8.6%); however, it was with no statistical significance (Table 2). Throughout the study duration, there were nine recorded deaths, with four related to COVID-19. Other causes of death included pulmonary sepsis, cardiac failure, respiratory failure, sepsis, and multiple organ dysfunction syndrome.
3.6. Time to SARS-CoV-2 RNA Negativity
There was a clear trend with SCTA01 15 mg/kg showing a lower median time to SARS-CoV-2 negativity (14.0 days) compared to the placebo group (27.0 days) (Figure 2B). Seropositive patients in the SCTA01 15 mg/kg group also exhibited a lower median time to SARS-CoV-2 RNA negativity compared to the SCTA01 50 mg/kg and placebo groups. Seronegative patients generally had a longer median time to SARS-CoV-2 negativity across all groups (Table 2).
3.7. Non-Medication Supportive Measures
The median duration of time for supplemental oxygen support for 1 day or longer was shorter in the treatment group than in the placebo group. A lower proportion of patients in the treatment groups required invasive mechanical ventilation or extracorporeal membrane oxygenation (ECMO) for 1 day or longer compared to those in the placebo group. However, the median time on invasive support was similar across all groups (Table 2).
3.8. Safety Outcomes
In the safety analysis of 102 randomized and dosed patients, 59 (57.84%) experienced at least one treatment-emergent adverse event (TEAE), most of which were mild or moderate. Only one patient in the SCTA01 15 mg/kg group experienced increased transaminases related to treatment, but this did not pose any threat to the subject’s safety (Table 3). This patient had elevated liver transaminases at baseline. Gastrointestinal disorders were the most common, with constipation being the leading TEAE. Serious adverse events (SAEs) occurred in 17 patients (16.7%), primarily respiratory, with respiratory failure being the most frequently reported. No patients withdrew due to study drug-related adverse events, and there were no severe allergic reactions, cytokine release, or adverse drug reactions reported. Full details of ≥5% adverse events and SAEs are presented in Table S1 and Table S2, respectively.
Table 3.
Summary of treatment-emergent adverse events.
4. Discussion
In this global trial involving hospitalized severe COVID-19 patients, the treatment groups showed numerically improved outcomes compared to the placebo group, although the difference was not statistically significant. The time to clinical improvement was similar for both SCTA01 15 mg/kg (HR 0.99, 95% CI 0.55–1.77, p = 0.742) and SCTA01 50 mg/kg (HR 1.07, 95% CI 0.61–1.88, p = 0.095). On Day 29, 78.8% of the SCTA01 15 mg/kg group, 73.5% of the SCTA01 50 mg/kg group, and 68.6% of the placebo group scored one on the ordinal scale (indicating no hospitalization and no activity limitations) (Table 2).
Although COVID-19 is primarily a mild-to-moderate disease, a subset of patients presented with high viral titers and developed severe symptoms, which led to organ failure or even death [9,10]. Patients in the low-dose SCTA01 treatment group showed a shorter median duration compared to placebo (14 days vs. 27 days) in becoming SARS-CoV-2 RNA negative, albeit statistically non-significant (SCTA01 15 mg/kg vs. placebo HR 1.57, 95% CI 0.91–2.74, p = 0.359; SCTA01 50 mg/kg vs. placebo HR 1.11, 95% CI 0.64–1.92, p = 0.883). A likely explanation for this observation could be the pharmacokinetics of the low-dose treatment triggering a more targeted immune response leading to quicker viral clearance, considering that the proportion of patients with high viral titers was similar across the three groups (SCTA01 15 mg/kg, 24 (72.7%), SCTA01 50 mg/kg, 25 (73.5%), and placebo 22 (62.9%)). A study by Lundgren et al. reported that high doses of neutralizing monoclonal antibodies have limited effectiveness among hospitalized COVID-19 patients [11].
Severe COVID-19 patients typically experience clinical deterioration due to the combined effects of viral load and inflammation [7,12,13,14]. Throughout the entire study duration, nine deaths (8.8%) were recorded, with four COVID-19-related (one patient received SCTA01 50 mg/kg, and three patients received placebo) and five non-COVID-19–related deaths (pulmonary sepsis, sepsis, cardiac failure, respiratory failure, and multiple organ dysfunction syndromes). Severe COVID-19 clinical deterioration usually happens in the second or third week of the illness, indicating a potentially evolving secondary immune response [10,15]. This could explain the high proportion of deaths prior to Day 29 (n = 7, with six occurring before Day 14) compared to post-Day 29 deaths (n = 2). The all-cause mortality rate up to Day 29 was similar in both treatment groups compared to the placebo (SCTA01 15 mg/kg: two (6.1%), SCTA01 50 mg/kg: two (5.9%), placebo: three (8.6%))—a trend consistent with other studies. A randomized trial of Tixagevimab–Cilgavimab in adults with prior symptoms up to 12 days and hospitalized for COVID-19 reported a numerically similar mortality rate in the treatment group (9%) compared to the placebo group (12%) [16]. Additionally, the RECOVERY trial of casirivimab and imdevimab in hospitalized COVID-19 patients reported a 28-day mortality rate of 19% in the treatment group, compared to 21% in the standard care group, among all patients regardless of baseline antibody status [17].
Evidence suggests that the activity of IgG antibodies in viral infections relies not only on neutralization [18,19] but also on the interactions of the Fc domains with Fcγ receptors, which can initiate effector mechanisms. While these interactions are important, they may also contribute to inflammation and ADE of disease, raising concerns for antibody therapies in the context of SARS-CoV-2 infection [20,21]. To mitigate the risk of ADE triggering harmful immunopathology [22], therapeutic monoclonal antibodies (mAbs) have a modified Fc region [23]. Specifically, the SCTA01 heavy chain was altered with an LALA mutation to reduce binding to Fc receptors and C1q complement, thereby lowering the potential for ADE. SCTA01 demonstrated protective neutralization against early SARS-CoV-2 strains in preclinical studies; however, reduced Fc engagement might lead to lower antiviral efficacy in vivo, as reflected in trial results [11,24].
Managing severe COVID-19 patients, particularly during the early stages of the pandemic, was challenging due to the complexity of their immunologic responses and comorbidities. Furthermore, SARS-CoV-2 exhibits a high mutation rate, particularly in the spike protein, which is the target of many monoclonal antibodies. These mutations altered viral proteins, effectively diminishing the effectiveness of therapeutic agents and neutralizing the action of antibodies [25]. Initially, guidelines recommended remdesivir and dexamethasone for mild to moderate cases; however, there was no consensus on the treatment for severe cases [26]. Corticosteroids, such as dexamethasone, may reduce inflammation and prevent respiratory failure; however, their effectiveness depends on the patient’s condition and the need for respiratory support. In our trial, nearly all patients received corticosteroids, primarily dexamethasone. The RECOVERY trial indicated that high doses of corticosteroids increased mortality in patients who did not require oxygen, while dexamethasone reduced 28-day mortality in patients who needed ventilation or oxygen [27]. On the other hand, dexamethasone reduced 28-day mortality in hospitalized COVID-19 patients who were on invasive mechanical ventilation or oxygen alone but not in those without respiratory support [28]. Our heterogeneous trial population required varying levels of respiratory support. A study of 24,856 adults hospitalized between 1 May 2020, and 3 May 2021, found that remdesivir treatment was linked to a reduced risk for inpatient mortality [29]. A Cochrane review suggested a minimal effect on overall or in-hospital mortality for moderate to severe cases [30]. Late administration of remdesivir was associated with more complications [31]. In our trial, 14% (n = 14) of those who received remdesivir had a median COVID-19 symptom onset 9 days before enrollment. Overall, the treatment group showed shorter supplemental oxygen durations and fewer patients requiring invasive ventilation compared to the placebo group.
No significant differences in adverse events were found between the treatment and placebo groups. The most common TEAEs were constipation and pyrexia. Most TEAEs were mild or moderate in severity. No deaths were attributed to the study treatment. Notably, no severe allergic reactions, cytokine releases, or ADE of COVID-19 were observed in this study.
The low-dose treatment showed a non-significant shorter time to SARS-CoV-2 negativity compared to the placebo, but no clinical benefit.
Study Limitations
Our trial has several limitations. First, the small sample size prevented robust subgroup analyses. Second, this study primarily occurred before the widespread use of SARS-CoV-2 vaccines, making it challenging to extrapolate our results to vaccinated or boosted patients. Finally, the prevailing SARS-CoV-2 sub-lineage at the time (e.g., Delta variant) significantly constrains the generalizability of our results.
5. Conclusions
Although the Fc-modified antibody was safe in treating severe COVID-19, it did not show significant clinical efficacy.
Supplementary Materials
The following supporting information can be downloaded at: https://www.mdpi.com/article/10.3390/vaccines13040372/s1. Supplement S1: Protocol Number SCTA01-B301. Supplement S2: Statistical Analysis Plan. Figure S1: Distribution of Patients on the 8-point scale; Table S1: Summary of AEs in ≥ 5% of Patients by SOC and PT; Table S2: Summary of SAEs by SOC and PT.
Author Contributions
F.D.-P., S.M.L. and C.L. were the site principal investigators, responsible for supervising this study. A.A.H.B. was responsible for medical management, protocol writing, and manuscript drafting. H.S. was responsible for statistical analysis and interpretation. Z.L. and L.X. contributed to the conception, design, project management, and data interpretation of this study. All authors have read and agreed to the published version of the manuscript.
Funding
This study was sponsored by Sinocelltech Ltd. and funded by the National Key Research and Development Program of China (2021YFE0201700) and the Beijing Science and Technology Planning Project (Z201100005420017).
Institutional Review Board Statement
This study was conducted in accordance with the Declaration of Helsinki, and approved by the following Institutional Review Board (or Ethics Committee): HOSPITAL SÃO JOSÉ/SC (protocol code 42695721.0.1001.5364, and approved on 8 February 2021); FACULDADE DE MEDICINA DE SÃO JOSE DO RIO PRETOFAMERP–SP (protocol code 42695721.0.2009.5415, and approved on 4 November 2021); South Jersey Infectious Disease (protocol code 1301511, and approved on 12 February 2021); M3 Wake Research (protocol code 1304731, and approved on 1 October 2021); Hospital de Chancay y Servicios Basicos de Salud (protocol code CNTEI-057-2021, and approved on 26 February 2021); Hospital Nacional Hipolito Unanue (protocol code CNTEI-074-2021, and approved on 26 February 2021); Clinica Adventista Belgrano (protocol code 3678, and approved on 19 January 2021); Sanatorio Mayo Privado S.A (protocol code SCTA01-B301, and approved on 28 April 2021).
Informed Consent Statement
Informed consent was obtained from all subjects involved in this study.
Data Availability Statement
The data for this study are provided in the paper or Supplementary Material. The protocol and statistical analysis plan are provided as Supplementary Information. The trial has been registered on ClinicalTrials.gov under the identifier NCT04644185.
Conflicts of Interest
Sinocelltech Ltd. sponsored this work. Adam Abdul Hakeem Baidoo, Huo Su, Zhanghua Lan, and Liangzhi Xie are employees of Sinocelltech Co., Ltd. and have stock ownership and/or potential stock option interests in the company. All authors declare no other conflicts of interest.
References
- Huang, C.; Wang, Y.; Li, X.; Ren, L.; Zhao, J.; Hu, Y.; Zhang, L.; Fan, G.; Xu, J.; Gu, X.; et al. Clinical features of patients infected with 2019 novel coronavirus in Wuhan, China. Lancet 2020, 395, 497–506. (In English) [Google Scholar] [CrossRef] [PubMed]
- Wang, D.; Hu, B.; Hu, C.; Zhu, F.; Liu, X.; Zhang, J.; Wang, B.; Xiang, H.; Cheng, Z.; Xiong, Y.; et al. Clinical Characteristics of 138 Hospitalized Patients With 2019 Novel Coronavirus-Infected Pneumonia in Wuhan, China. JAMA 2020, 323, 1061–1069. [Google Scholar] [CrossRef] [PubMed]
- Zhou, F.; Yu, T.; Du, R.; Fan, G.; Liu, Y.; Liu, Z.; Xiang, J.; Wang, Y.; Song, B.; Gu, X.; et al. Clinical course and risk factors for mortality of adult inpatients with COVID-19 in Wuhan, China: A retrospective cohort study. Lancet 2020, 395, 1054–1062. (In English) [Google Scholar] [CrossRef] [PubMed]
- Pantaleo, G.; Correia, B.; Fenwick, C.; Joo, V.S.; Perez, L. Antibodies to combat viral infections: Development strategies and progress. Nat. Rev. Drug Discov. 2022, 21, 676–696. (In English) [Google Scholar] [CrossRef]
- Kompaniyets, L.; Pennington, A.F.; Goodman, A.B.; Rosenblum, H.G.; Belay, B.; Ko, J.Y.; Chevinsky, J.R.; Schieber, L.Z.; Summers, A.D.; Lavery, A.M.; et al. Underlying Medical Conditions and Severe Illness Among 540,667 Adults Hospitalized With COVID-19, March 2020-March 2021. Prev. Chronic Dis. 2021, 18, E66. [Google Scholar] [CrossRef]
- Pons, M.J.; Ymaña, B.; Mayanga-Herrera, A.; Sáenz, Y.; Alvarez-Erviti, L.; Tapia-Rojas, S.; Gamarra, R.; Blanco, A.B.; Moncunill, G.; Ugarte-Gil, M.F. Cytokine Profiles Associated With Worse Prognosis in a Hospitalized Peruvian COVID-19 Cohort. Front. Immunol. 2021, 12, 700921. (In English) [Google Scholar] [CrossRef]
- Bermejo-Martin, J.F.; González-Rivera, M.; Almansa, R.; Micheloud, D.; Tedim, A.P.; Domínguez-Gil, M.; Resino, S.; Martín-Fernández, M.; Ryan Murua, P.; Pérez-García, F.; et al. Viral RNA load in plasma is associated with critical illness and a dysregulated host response in COVID-19. Crit. Care 2020, 24, 691. (In English) [Google Scholar] [CrossRef]
- Li, Y.; Qi, L.; Bai, H.; Sun, C.; Xu, S.; Wang, Y.; Han, C.; Li, Y.; Liu, L.; Cheng, X.; et al. Safety, Tolerability, Pharmacokinetics, and Immunogenicity of a Monoclonal Antibody (SCTA01) Targeting SARS-CoV-2 in Healthy Adults: A Randomized, Double-Blind, Placebo-Controlled, Phase I Study. Antimicrob. Agents Chemother. 2021, 65, e0106321. [Google Scholar] [CrossRef]
- Quah, P.; Li, A.; Phua, J. Mortality rates of patients with COVID-19 in the intensive care unit: A systematic review of the emerging literature. Crit. Care 2020, 24, 285. (In English) [Google Scholar] [CrossRef]
- Schulte-Schrepping, J.; Reusch, N.; Paclik, D.; Baßler, K.; Schlickeiser, S.; Zhang, B.; Krämer, B.; Krammer, T.; Brumhard, S.; Bonaguro, L.; et al. Severe COVID-19 Is Marked by a Dysregulated Myeloid Cell Compartment. Cell 2020, 182, 1419–1440.e23. (In English) [Google Scholar] [CrossRef]
- Lundgren, J.D.; Grund, B.; Barkauskas, C.E.; Holland, T.L.; Gottlieb, R.L.; Sandkovsky, U.; Brown, S.M.; Knowlton, K.U.; Self, W.H.; Files, D.C.; et al. A Neutralizing Monoclonal Antibody for Hospitalized Patients with COVID-19. N. Engl. J. Med. 2021, 384, 905–914. (In English) [Google Scholar] [CrossRef]
- Jacobs, J.L.; Bain, W.; Naqvi, A.; Staines, B.; Castanha, P.M.S.; Yang, H.; Boltz, V.F.; Barratt-Boyes, S.; Marques, E.T.A.; Mitchell, S.L.; et al. Severe Acute Respiratory Syndrome Coronavirus 2 Viremia Is Associated With Coronavirus Disease 2019 Severity and Predicts Clinical Outcomes. Clin. Infect. Dis. 2022, 74, 1525–1533. (In English) [Google Scholar] [CrossRef] [PubMed]
- Hogan, C.A.; Stevens, B.A.; Sahoo, M.K.; Huang, C.; Garamani, N.; Gombar, S.; Yamamoto, F.; Murugesan, K.; Kurzer, J.; Zehnder, J.; et al. High Frequency of SARS-CoV-2 RNAemia and Association With Severe Disease. Clin. Infect. Dis. 2021, 72, e291–e295. [Google Scholar] [CrossRef] [PubMed]
- Kawasuji, H.; Morinaga, Y.; Tani, H.; Yoshida, Y.; Takegoshi, Y.; Kaneda, M.; Murai, Y.; Kimoto, K.; Ueno, A.; Miyajima, Y.; et al. SARS-CoV-2 RNAemia with a higher nasopharyngeal viral load is strongly associated with disease severity and mortality in patients with COVID-19. J. Med. Virol. 2022, 94, 147–153. [Google Scholar] [CrossRef] [PubMed]
- Ong, E.Z.; Chan, Y.F.Z.; Leong, W.Y.; Lee, N.M.Y.; Kalimuddin, S.; Haja Mohideen, S.M.; Chan, K.S.; Tan, A.T.; Bertoletti, A.; Ooi, E.E.; et al. A Dynamic Immune Response Shapes COVID-19 Progression. Cell Host Microbe 2020, 27, 879–882.e2. [Google Scholar] [CrossRef] [PubMed]
- Tixagevimab-cilgavimab for treatment of patients hospitalised with COVID-19: A randomised, double-blind, phase 3 trial. Lancet Respir. Med. 2022, 10, 972–984. [CrossRef]
- RECOVERY Collaborative Group. Casirivimab and imdevimab in patients admitted to hospital with COVID-19 (RECOVERY): A randomised, controlled, open-label, platform trial. Lancet 2022, 399, 665–676. (In English) [Google Scholar] [CrossRef]
- Winkler, E.S.; Gilchuk, P.; Yu, J.; Bailey, A.L.; Chen, R.E.; Chong, Z.; Zost, S.J.; Jang, H.; Huang, Y.; Allen, J.D.; et al. Human neutralizing antibodies against SARS-CoV-2 require intact Fc effector functions for optimal therapeutic protection. Cell 2021, 184, 1804–1820.e16. [Google Scholar] [CrossRef]
- Yamin, R.; Jones, A.T.; Hoffmann, H.H.; Schäfer, A.; Kao, K.S.; Francis, R.L.; Sheahan, T.P.; Baric, R.S.; Rice, C.M.; Ravetch, J.V.; et al. Fc-engineered antibody therapeutics with improved anti-SARS-CoV-2 efficacy. Nature 2021, 599, 465–470. [Google Scholar] [CrossRef]
- Lee, W.S.; Wheatley, A.K.; Kent, S.J.; DeKosky, B.J. Antibody-dependent enhancement and SARS-CoV-2 vaccines and therapies. Nat. Microbiol. 2020, 5, 1185–1191. [Google Scholar] [CrossRef]
- Ajmeriya, S.; Kumar, A.; Karmakar, S.; Rana, S.; Singh, H. Neutralizing Antibodies and Antibody-Dependent Enhancement in COVID-19: A Perspective. J. Indian Inst. Sci. 2022, 102, 671–687. (In English) [Google Scholar] [CrossRef] [PubMed]
- Arvin, A.M.; Fink, K.; Schmid, M.A.; Cathcart, A.; Spreafico, R.; Havenar-Daughton, C.; Lanzavecchia, A.; Corti, D.; Virgin, H.W. A perspective on potential antibody-dependent enhancement of SARS-CoV-2. Nature 2020, 584, 353–363. (In English) [Google Scholar] [CrossRef]
- Gruell, H.; Vanshylla, K.; Weber, T.; Barnes, C.O.; Kreer, C.; Klein, F. Antibody-mediated neutralization of SARS-CoV-2. Immunity 2022, 55, 925–944. (In English) [Google Scholar] [CrossRef] [PubMed]
- Lundgren, J.D.; Grund, B.; Barkauskas, C.E.; Holland, T.L.; Gottlieb, R.L.; Sandkovsky, U.; Brown, S.M.; Knowlton, K.U.; Self, W.H.; Files, D.C.; et al. Responses to a Neutralizing Monoclonal Antibody for Hospitalized Patients With COVID-19 According to Baseline Antibody and Antigen Levels: A Randomized Controlled Trial. Ann. Intern. Med. 2022, 175, 234–243. (In English) [Google Scholar] [CrossRef] [PubMed]
- Harvey, W.T.; Carabelli, A.M.; Jackson, B.; Gupta, R.K.; Thomson, E.C.; Harrison, E.M.; Ludden, C.; Reeve, R.; Rambaut, A.; Consortium, C.-G.U.; et al. SARS-CoV-2 variants, spike mutations and immune escape. Nat. Rev. Microbiol. 2021, 19, 409–424. [Google Scholar] [CrossRef]
- Cantini, F.; Goletti, D.; Petrone, L.; Najafi Fard, S.; Niccoli, L.; Foti, R. Immune Therapy, or Antiviral Therapy, or Both for COVID-19: A Systematic Review. Drugs 2020, 80, 1929–1946. (In English) [Google Scholar] [CrossRef]
- RECOVERY Collaborative Group. Higher dose corticosteroids in patients admitted to hospital with COVID-19 who are hypoxic but not requiring ventilatory support (RECOVERY): A randomised, controlled, open-label, platform trial. Lancet 2023, 401, 1499–1507. (In English) [Google Scholar] [CrossRef]
- Horby, P.; Lim, W.S.; Emberson, J.R.; Mafham, M.; Bell, J.L.; Linsell, L.; Staplin, N.; Brightling, C.; Ustianowski, A.; Elmahi, E.; et al. Dexamethasone in Hospitalized Patients with COVID-19. N. Engl. J. Med. 2021, 384, 693–704. (In English) [Google Scholar] [CrossRef]
- Chokkalingam, A.P.; Hayden, J.; Goldman, J.D.; Li, H.; Asubonteng, J.; Mozaffari, E.; Bush, C.; Wang, J.R.; Kong, A.; Osinusi, A.O.; et al. Association of Remdesivir Treatment With Mortality Among Hospitalized Adults with COVID-19 in the United States. JAMA Netw. Open 2022, 5, e2244505. (In English) [Google Scholar] [CrossRef]
- Grundeis, F.; Ansems, K.; Dahms, K.; Thieme, V.; Metzendorf, M.I.; Skoetz, N.; Benstoem, C.; Mikolajewska, A.; Griesel, M.; Fichtner, F.; et al. Remdesivir for the treatment of COVID-19. Cochrane Database Syst. Rev. 2023, 1, Cd014962. (In English) [Google Scholar] [CrossRef]
- Platzer, M.; Totschnig, D.; Karolyi, M.; Clodi-Seitz, T.; Wenisch, C.; Zoufaly, A. The effect of early remdesivir administration in COVID-19 disease progression in hospitalised patients. Wien. Klin. Wochenschr. 2024, 136, 458–464. [Google Scholar] [CrossRef] [PubMed]
Disclaimer/Publisher’s Note: The statements, opinions and data contained in all publications are solely those of the individual author(s) and contributor(s) and not of MDPI and/or the editor(s). MDPI and/or the editor(s) disclaim responsibility for any injury to people or property resulting from any ideas, methods, instructions or products referred to in the content. |
© 2025 by the authors. Licensee MDPI, Basel, Switzerland. This article is an open access article distributed under the terms and conditions of the Creative Commons Attribution (CC BY) license (https://creativecommons.org/licenses/by/4.0/).