Investigation on Spontaneous Abortion and Human Papillomavirus Infection †
Abstract
1. Introduction
2. Methods
2.1. Samples
2.2. DNA Isolation
2.3. HPV DNA Detection
2.4. HPV DNA Genotyping and Viral DNA Load Determination by qPCR
2.5. Viral DNA Load Determination by ddPCR
2.6. Determination of Serum IgG Antibodies against HPV16
2.7. Statistical Analysis
3. Results
3.1. HPV DNA Detection, Genotyping, and Viral DNA Load Quantification
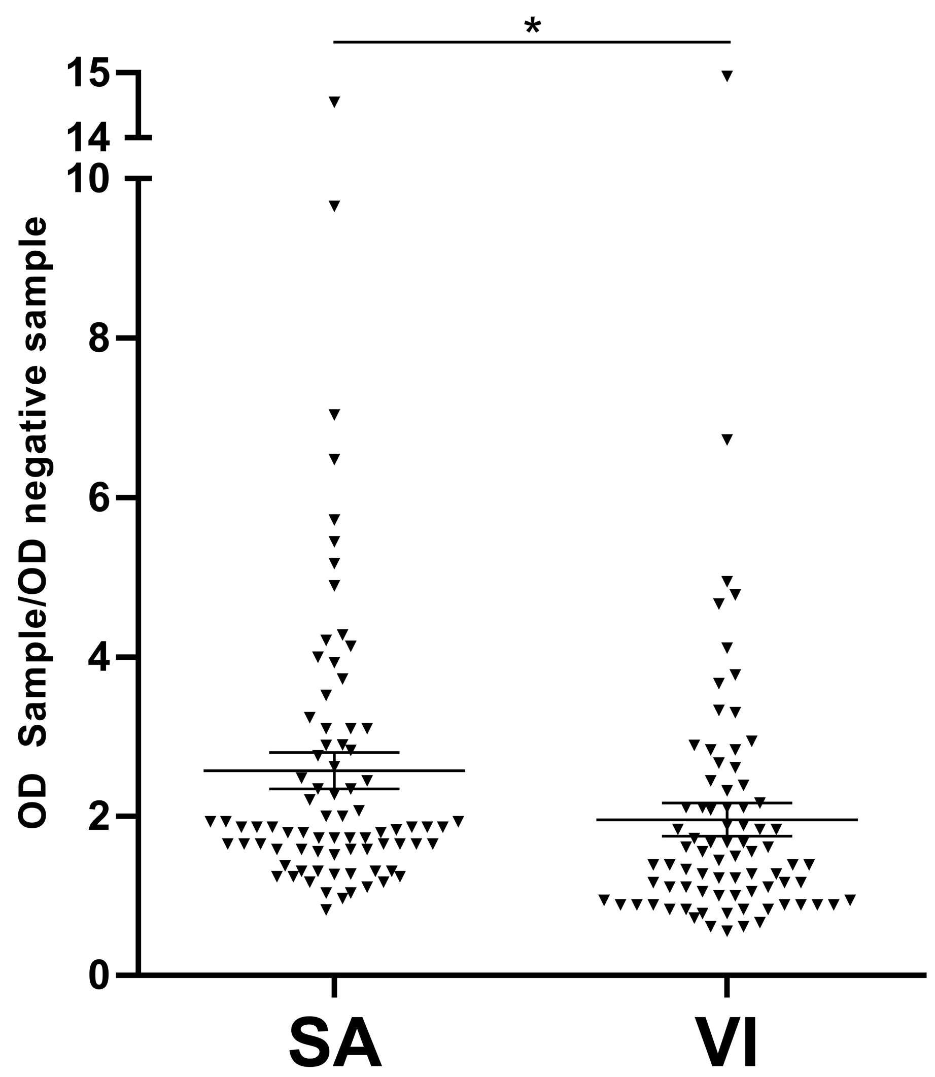
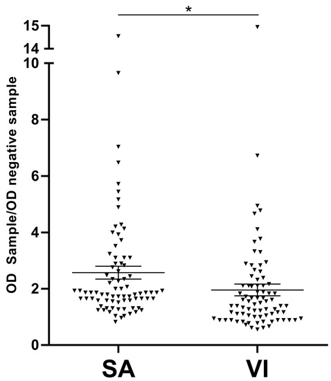
3.2. HPV Antibody Detection by Indirect ELISA
4. Discussions
5. Conclusions
Author Contributions
Funding
Acknowledgments
Conflicts of Interest
References
- Katz, V.L. Work and work-related stress in pregnancy. Clin. Obstet. Gynecol. 2012, 55, 765–773. [Google Scholar] [CrossRef]
- Contini, C.; Rotondo, J.C.; Magagnoli, F.; Maritati, M.; Seraceni, S.; Graziano, A.; Poggi, A.; Capucci, R.; Vesce, F.; Tognon, M.; et al. Investigation on silent bacterial infections in specimens from pregnant women affected by spontaneous miscarriage. J. Cell. Physiol. 2018, 234, 100–107. [Google Scholar] [CrossRef] [PubMed]
- Tagliapietra, A.; Rotondo, J.C.; Bononi, I.; Mazzoni, E.; Magagnoli, F.; Maritati, M.; Contini, C.; Vesce, F.; Tognon, M.; Martini, F. Footprints of BK and JC polyomaviruses in specimens from females affected by spontaneous abortion. Hum. Reprod. 2019, 34, 433–440. [Google Scholar] [CrossRef] [PubMed]
- Tagliapietra, A.; Rotondo, J.C.; Bononi, I.; Mazzoni, E.; Magagnoli, F.; Gonzalez, L.O.; Contini, C.; Vesce, F.; Tognon, M.; Martini, F. Droplet-digital PCR assay to detect Merkel cell polyomavirus sequences in chorionic villi from spontaneous abortion affected females. J. Cell. Physiol. 2020, 34, 433–440. [Google Scholar] [CrossRef]
- Jeve, Y.B.; Davies, W. Evidence-based management of recurrent miscarriages. J. Hum. Reprod. Sci. 2014, 7, 159–169. [Google Scholar] [CrossRef] [PubMed]
- The Johns Hopkins University School of Medicine Department of Gynecology. The Johns Hopkins Manual of Gynecology and Obstetrics; LWW: Philadelphia, PA, USA, 2010. [Google Scholar]
- Cohain, J.S.; Buxbaum, R.E.; Mankuta, D. Spontaneous first trimester miscarriage rates per woman among parous women with 1 or more pregnancies of 24 weeks or more. BMC Pregnancy Childbirth 2017, 17, 473. [Google Scholar] [CrossRef]
- Fukuta, K.; Yoneda, S.; Yoneda, N.; Shiozaki, A.; Nakashima, A.; Minamisaka, T.; Imura, J.; Saito, S. Risk factors for spontaneous miscarriage above 12 weeks or premature delivery in patients undergoing cervical polypectomy during pregnancy. BMC Pregnancy Childbirth 2020, 20, 27. [Google Scholar] [CrossRef]
- Miyaji, M.; Deguchi, M.; Tanimura, K.; Sasagawa, Y.; Morizane, M.; Ebina, Y.; Yamada, H. Clinical factors associated with pregnancy outcome in women with recurrent pregnancy loss. Gynecol. Endocrinol. 2019, 35, 913–918. [Google Scholar] [CrossRef]
- Eiben, B.; Bartels, I.; Bahr-Porsch, S.; Borgmann, S.; Gatz, G.; Gellert, G.; Goebel, R.; Hammans, W.; Hentemann, M.; Osmers, R.; et al. Cytogenetic analysis of 750 spontaneous abortions with the direct-preparation method of chorionic villi and its implications for studying genetic causes of pregnancy wastage. Am. J. Hum. Genet. 1990, 47, 656–663. [Google Scholar]
- Suzumori, N.; Sugiura-Ogasawara, M. Genetic Factors as a Cause of Miscarriage. Curr. Med. Chem. 2012, 17, 3431–3437. [Google Scholar] [CrossRef]
- Dean, D.D.; Agarwal, S.; Tripathi, P. Connecting links between genetic factors defining ovarian reserve and recurrent miscarriages. J. Assist. Reprod. Genet. 2018, 35, 2121–2128. [Google Scholar] [CrossRef] [PubMed]
- Lashen, H.; Fear, K.; Sturdee, D.W. Obesity is associated with increased risk of first trimester and recurrent miscarriage: Matched case-control study. Hum. Reprod. 2004, 19, 1644–1646. [Google Scholar] [CrossRef] [PubMed]
- De La Rochebrochard, E.; Thonneau, P. Paternal age and maternal age are risk factors for miscarriage; Results of a multicentre European study. Hum. Reprod. 2002, 17, 1649–1656. [Google Scholar] [CrossRef] [PubMed]
- Sopori, M. Effects of cigarette smoke on the immune system. Nat. Rev. Immunol. 2002, 2, 372–377. [Google Scholar] [CrossRef]
- Toth, B.; Jeschke, U.; Rogenhofer, N.; Scholz, C.; Würfel, W.; Thaler, C.J.; Makrigiannakis, A. Recurrent miscarriage: Current concepts in diagnosis and treatment. J. Reprod. Immunol. 2010, 85, 25–32. [Google Scholar] [CrossRef]
- Rotondo, J.C.; Bosi, S.; Bazzan, E.; Di Domenico, M.; De Mattei, M.; Selvatici, R.; Patella, A.; Marci, R.; Tognon, M.; Martini, F. Methylenetetrahydrofolate reductase gene promoter hypermethylation in semen samples of infertile couples correlates with recurrent spontaneous abortion. Hum. Reprod. 2012, 27, 3632–3638. [Google Scholar] [CrossRef]
- Giakoumelou, S.; Wheelhouse, N.; Cuschieri, K.; Entrican, G.; Howie, S.E.M.; Horne, A.W. The role of infection in miscarriage. Hum. Reprod. Update 2016, 22, 116–133. [Google Scholar] [CrossRef]
- Donders, G.G.; Van Bulck, B.; Caudron, J.; Londers, L.; Vereecken, A.; Spitz, B. Relationship of bacterial vaginosis and mycoplasmas to the risk of spontaneous abortion. Am. J. Obstet. Gynecol. 2000, 183, 431–437. [Google Scholar] [CrossRef]
- Srinivas, S.K.; Ma, Y.; Sammel, M.D.; Chou, D.; McGrath, C.; Parry, S.; Elovitz, M.A. Placental inflammation and viral infection are implicated in second trimester pregnancy loss. Am. J. Obstet. Gynecol. 2006, 195, 797–802. [Google Scholar] [CrossRef]
- Racicot, K.; Mor, G. Risks associated with viral infections during pregnancy. J. Clin. Investig. 2017, 127, 1591–1599. [Google Scholar] [CrossRef]
- Burton, G.J.; Watson, A.L. The Structure of the Human Placenta: Implications for Initiating and Defending Against Virus Infections. Rev. Med. Virol. 1997, 7, 219–228. [Google Scholar] [CrossRef]
- Fisher, S.; Genbacev, O.; Maidji, E.; Pereira, L. Human Cytomegalovirus Infection of Placental Cytotrophoblasts In Vitro and In Utero: Implications for Transmission and Pathogenesis. J. Virol. 2000, 74, 6808–6820. [Google Scholar] [CrossRef] [PubMed]
- de Freitas, L.B.; Pereira, C.C.; Merçon-de-Vargas, P.R.; Spano, L.C. Human papillomavirus in foetal and maternal tissues from miscarriage cases. J. Obstet. Gynaecol. 2018, 38, 1083–1087. [Google Scholar] [CrossRef] [PubMed]
- Sayyadi-Dehno, Z.; Seyed Khorrami, S.M.; Ghavami, N.; Ghotbi-Zadeh, F.; Khushideh, M.; Hosseini, M.; Malekshahi, S.S.; Shafiei-Jandaghi, N.Z. Molecular Detection of Adeno-Associated Virus DNA in Cases of Spontaneous and Therapeutic Abortion. Fetal Pediatr. Pathol. 2019, 38, 206–214. [Google Scholar] [CrossRef] [PubMed]
- Azevedo, R.S.S.; Araujo, M.T.; Oliveira, C.S.; Filho, A.J.M.; Nunes, B.T.D.; Henriques, D.F.; Silva, E.V.P.; Carvalho, V.L.; Chiang, J.O.; Martins, L.C.; et al. Zika Virus Epidemic in Brazil. II. Post-Mortem Analyses of Neonates with Microcephaly, Stillbirths, and Miscarriage. J. Clin. Med. 2018, 7, 496. [Google Scholar] [CrossRef]
- Carabali, M.; Austin, N.; King, N.B.; Kaufman, J.S. The Zika epidemic and abortion in Latin America: A scoping review. Glob. Health Res. Policy 2018, 3, 15. [Google Scholar] [CrossRef]
- Mazzoni, E.; Pellegrinelli, E.; Mazziotta, C.; Lanzillotti, C.; Rotondo, J.C.; Bononi, I.; Iaquinta, M.R.; Manfrini, M.; Vesce, F.; Tognon, M.; et al. Mother-to-child transmission of oncogenic polyomaviruses BKPyV, JCPyV and SV40. J. Infect. 2020. [Google Scholar] [CrossRef]
- Bober, L.; Guzowski, G.; Moczulska, H.; Sieroszewski, P. Influence of Human Papilloma Virus (HPV) infection on early pregnancy. Ginekol. Polska 2019, 90, 72–75. [Google Scholar] [CrossRef]
- Rahimkhani, M.; Mordadi, A.; Gilanpour, M. Detection of urinary Chlamydia trachomatis, Mycoplasma genitalium and human papilloma virus in the first trimester of pregnancy by PCR method. Ann. Clin. Microbiol. Antimicrob. 2018, 17, 25. [Google Scholar] [CrossRef]
- Malagutti, N.; Rotondo, J.C.; Cerritelli, L.; Melchiorri, C.; De Mattei, M.; Selvatici, R.; Oton-Gonzalez, L.; Stomeo, F.; Mazzoli, M.; Borin, M.; et al. High human papillomavirus DNA loads in inflammatory middle ear diseases. Pathogens 2020, 9, 227. [Google Scholar] [CrossRef]
- Cutts, F.T.; Franceschi, S.; Goldie, S.; Castellsague, X.; De Sanjose, S.; Garnett, G.; Edmunds, W.J.; Claeys, P.; Goldenthal, K.L.; Harperi, D.M.; et al. Human papillomavirus and HPV vaccines: A review. Bull. World Health Organ. 2007, 85, 719–726. [Google Scholar] [CrossRef] [PubMed]
- Rotondo, J.C.; Bosi, S.; Bassi, C.; Ferracin, M.; Lanza, G.; Gafà, R.; Magri, E.; Selvatici, R.; Torresani, S.; Marci, R.; et al. Gene expression changes in progression of cervical neoplasia revealed by microarray analysis of cervical neoplastic keratinocytes. J. Cell. Physiol. 2015, 230, 806–812. [Google Scholar] [CrossRef] [PubMed]
- Preti, M.; Rotondo, J.C.; Holzinger, D.; Micheletti, L.; Gallio, N.; Robitaille, A.; Mckay-Chopin, S.; Carreira, C.; Silvana Privitera, S.; Watanabe, R.; et al. Role of human papillomavirus infection in the etiology of vulvar cancer in Italian women. Infect. Agents Cancer 2020, 15, e2020. [Google Scholar] [CrossRef] [PubMed]
- Fundakowski, C.E.; Lango, M. Considerations in surgical versus non-surgical management of HPV positive oropharyngeal cancer. Cancers Head Neck 2016. [Google Scholar] [CrossRef][Green Version]
- Toh, Z.Q.; Kosasih, J.; Russell, F.M.; Garland, S.M.; Mulholland, E.K.; Licciardi, P.V. Recombinant human papillomavirus nonavalent vaccine in the prevention of cancers caused by human papillomavirus. Infect. Drug Resist. 2019, 12, 1951–1967. [Google Scholar] [CrossRef]
- Pils, S.; Joura, E.A. From the monovalent to the nine-valent HPV vaccine. Clin. Microbiol. Infect. 2015, 21, 827–833. [Google Scholar] [CrossRef]
- Molijn, A.; Kleter, B.; Quint, W.; Van Doorn, L.J. Molecular diagnosis of human papillomavirus (HPV) infections. J. Clin. Virol. 2005, 32, 43–51. [Google Scholar] [CrossRef]
- Rotondo, J.C.; Oton-Gonzalez, L.; Mazziotta, C.; Lanzillotti, C.; Iaquinta, M.R.; Tognon, M.; Martini, F. High analytical detection of Human Papillomavirus DNA load by droplet digital PCR in clinical specimens. Front. Microbiol. 2020. (submitted). [Google Scholar]
- Chesson, H.W.; Dunne, E.F.; Hariri, S.; Markowitz, L.E. The estimated lifetime probability of acquiring human papillomavirus in the United States. Sex. Trans. Dis. 2014, 41, 660–664. [Google Scholar] [CrossRef]
- Zacharis, K.; Messini, C.I.; Anifandis, G.; Koukoulis, G.; Satra, M.; Daponte, A. Human papilloma virus (HPV) and fertilization: A mini review. Medicina 2018, 54, 50. [Google Scholar] [CrossRef]
- Bruni, L.; Diaz, M.; Castellsagué, X.; Ferrer, E.; Bosch, F.X.; de Sanjosé, S. Cervical Human Papillomavirus Prevalence in 5 Continents: Meta-Analysis of 1 Million Women with Normal Cytological Findings. J. Infect. Dis. 2010, 202, 1789–1799. [Google Scholar] [CrossRef] [PubMed]
- Liu, G.; Markowitz, L.E.; Hariri, S.; Panicker, G.; Unger, E.R. Seroprevalence of 9 human papillomavirus types in the United States, 2005–2006. J. Infect. Dis. 2016, 213, 191–198. [Google Scholar] [CrossRef] [PubMed]
- Souho, T.; Benlemlih, M.; Bennani, B. Human papillomavirus infection and fertility alteration: A systematic review. PLoS ONE 2015, 10, e0126936. [Google Scholar] [CrossRef] [PubMed]
- Xiong, Y.Q.; Mo, Y.; Luo, Q.M.; Huo, S.T.; He, W.Q.; Chen, Q. The risk of human papillomavirus infection for spontaneous abortion, spontaneous preterm birth, and pregnancy rate of assisted reproductive technologies: A systematic review and meta-analysis. Gynecol. Obstet. Investig. 2018, 83, 417–427. [Google Scholar] [CrossRef]
- Garolla, A.; Lenzi, A.; Palù, G.; Pizzol, D.; Bertoldo, A.; De Toni, L.; Foresta, C. Human papillomavirus sperm infection and assisted reproduction: A dangerous hazard with a possible safe solution. Hum. Reprod. 2012, 27, 967–973. [Google Scholar] [CrossRef]
- Fenizia, C.; Vittori, C.; Oneta, M.; Parrilla, B.; Granata, A.; Ibba, S.; Biasin, M.; Clerici, M.; Trabattoni, D.; Savasi, V. Human papillomavirus in spermatozoa is efficiently removed by washing: A suitable approach for assisted reproduction. Reprod. Biomed. Online 2020, 40, 693–699. [Google Scholar] [CrossRef]
- Garolla, A.; De Toni, L.; Bottacin, A.; Valente, U.; De Rocco Ponce, M.; Di Nisio, A.; Foresta, C. Human Papillomavirus Prophylactic Vaccination improves reproductive outcome in infertile patients with HPV semen infection: A retrospective study. Sci. Rep. 2018, 8, 912. [Google Scholar] [CrossRef]
- Jeršovienė, V.; Gudlevičienė, Ž.; Rimienė, J.; Butkauskas, D. Human papillomavirus and infertility. Medicina 2019, 55, 377. [Google Scholar] [CrossRef]
- Perino, A.; Giovannelli, L.; Schillaci, R.; Ruvolo, G.; Fiorentino, F.P.; Alimondi, P.; Cefal, E.; Ammatuna, P. Human papillomavirus infection in couples undergoing in vitro fertilization procedures: Impact on reproductive outcomes. Fertil. Steril. 2011, 95, 1845–1848. [Google Scholar] [CrossRef]
- Ambühl, L.M.M.; Baandrup, U.; Dybkær, K.; Blaakær, J.; Uldbjerg, N.; Sørensen, S. Human Papillomavirus Infection as a Possible Cause of Spontaneous Abortion and Spontaneous Preterm Delivery. Infect. Dis. Obstet. Gynecol. 2016, 87, 1181–1188. [Google Scholar] [CrossRef]
- Hermonat, P.L.; Han, L.; Wendel, P.J.; Quirk, J.G.; Stern, S.; Lowery, C.L.; Rechtin, T.M. Human papillomavirus is more prevalent in first trimester spontaneously aborted products of conception compared to elective specimens. Virus Genes 1997, 14, 13–17. [Google Scholar] [CrossRef]
- Tognon, M.; Luppi, M.; Corallini, A.; Taronna, A.; Barozzi, P.; Rotondo, J.C.; Comar, M.; Casali, M.V.; Bovenzi, M.; D’Agostino, A.; et al. Immunologic evidence of a strong association between non-Hodgkin lymphoma and simian virus 40. Cancer 2015, 121, 2618–2626. [Google Scholar] [CrossRef] [PubMed]
- Rotondo, J.C.; Borghi, A.; Selvatici, R.; Mazzoni, E.; Bononi, I.; Corazza, M.; Kussini, J.; Montinari, E.; Gafa, R.; Tognon, M.; et al. Association of retinoic acid receptor ß gene with onset and progression of lichen sclerosus-associated vulvar squamous cell carcinoma. JAMA Dermatol. 2018, 154, 819–823. [Google Scholar] [CrossRef] [PubMed]
- Rotondo, J.C.; Giari, L.; Guerranti, C.; Tognon, M.; Castaldelli, G.; Fano, E.A.; Martini, F. Environmental doses of perfluorooctanoic acid change the expression of genes in target tissues of common carp. Environ. Toxicol. Chem. 2018, 37, 942–948. [Google Scholar] [CrossRef] [PubMed]
- Rotondo, J.C.; Mazzoni, E.; Bononi, I.; Tognon, M.G.; Martini, F. Association Between Simian Virus 40 and Human Tumors. Front. Oncol. 2019, 9. [Google Scholar] [CrossRef] [PubMed]
- Rotondo, J.C.; Candian, T.; Selvatici, R.; Mazzoni, E.; Bonaccorsi, G.; Greco, P.; Tognon, M.; Martini, F. Tracing Males From Different Continents by Genotyping JC Polyomavirus in DNA From Semen Samples. J. Cell. Physiol. 2017, 232, 982–985. [Google Scholar] [CrossRef] [PubMed]
- Rotondo, J.C.; Bononi, I.; Puozzo, A.; Govoni, M.; Foschi, V.; Lanza, G.; Gafa, R.; Gaboriaud, P.; Touzé, F.A.; Selvatici, R.; et al. Merkel cell carcinomas arising in autoimmune disease affected patients treated with biologic drugs including anti-TNF. Clin. Cancer Res. 2017, 23, 3929–3934. [Google Scholar] [CrossRef]
- Sahiner, F.; Kubar, A.; Yapar, M.; Sener, K.; Dede, M.; Gümral, R. Detection of major HPVs by a new multiplex real-time PCR assay using type-specific primers. J. Microbiol. Methods 2014, 97, 44–50. [Google Scholar] [CrossRef]
- Peitsaro, P.; Johansson, B.; Syrjänen, S. Integrated human papillomavirus type 16 is frequently found in cervical cancer precursors as demonstrated by a novel quantitative real-time PCR technique. J. Clin. Microbiol. 2002, 40, 886–891. [Google Scholar] [CrossRef]
- Mazzoni, E.; Martini, F.; Corallini, A.; Taronna, A.; Barbanti-Brodano, G.; Querzoli, P.; Magri, E.; Rotondo, J.C.; Dolcetti, R.; Vaccher, E.; et al. Serologic investigation of undifferentiated nasopharyngeal carcinoma and simian virus 40 infection. Head Neck 2016, 38, 232–236. [Google Scholar] [CrossRef]
- Mazzoni, E.; Pietrobon, S.; Masini, I.; Rotondo, J.C.; Gentile, M.; Fainardi, E.; Casetta, I.; Castellazzi, M.; Granieri, E.; Caniati, M.L.; et al. Significant low prevalence of antibodies reacting with simian virus 40 mimotopes in serum samples from patients affected by inflammatory neurologic diseases, including multiple sclerosis. PLoS ONE 2014, 9, e110923. [Google Scholar] [CrossRef] [PubMed][Green Version]
- Xu, Y.Y.; Liu, H.H.; Zhong, Y.W.; Liu, C.; Wang, Y.; Jia, L.L.; Qiao, F.; Li, X.X.; Zhang, C.F.; Li, S.L.; et al. Peripheral blood mononuclear cell traffic plays a crucial role in mother-to-infant transmission of hepatitis B virus. Int. J. Biol. Sci. 2015, 11, 266–273. [Google Scholar] [CrossRef] [PubMed]
- Lee, J.K.; Oh, S.J.; Park, H.; Shin, O.S. Recent updates on research models and tools to study virus-host interactions at the placenta. Viruses 2019, 12, 5. [Google Scholar] [CrossRef]
- Matovina, M.; Husnjak, K.; Milutin, N.; Ciglar, S.; Grce, M. Possible role of bacterial and viral infections in miscarriages. Fertil. Steril. 2004, 42, 1341–1344. [Google Scholar] [CrossRef] [PubMed]
- Sarkola, M.E.; Grénman, S.E.; Rintala, M.A.M.; Syrjänen, K.J.; Syrjänen, S.M. Human papillomavirus in the placenta and umbilical cord blood. Acta Obstet. Gynecol. Scand. 2008, 87, 1181–1188. [Google Scholar] [CrossRef] [PubMed]
- Hermonat, P.L.; Kechelava, S.; Lowery, C.L.; Korourian, S. Trophoblasts are the preferential target for human papilloma virus infection in spontaneously aborted products of conception. Hum. Pathol. 1998, 29, 170–174. [Google Scholar] [CrossRef]
- Liu, Y.; You, H.; Chiriva-Internati, M.; Korourian, S.; Lowery, C.L.; Carey, M.J.; Smith, C.V.; Hermonat, P.L. Display of complete life cycle of human papillomavirus type 16 in cultured placental trophoblasts. Virology 2001, 290, 99–105. [Google Scholar] [CrossRef]
- You, H.; Liu, Y.; Agrawal, N.; Prasad, C.K.; Chiriva-Internati, M.; Lowery, C.L.; Kay, H.H.; Hermonat, P.L. Infection, replication, and cytopathology of human papillomavirus type 31 in trophoblasts. Virology 2003, 316, 281–289. [Google Scholar] [CrossRef]
- You, H.; Liu, Y.; Agrawal, N.; Prasad, C.K.; Edwards, J.L.; Osborne, A.F.; Korourian, S.; Lowery, C.L.; Hermonat, P.L. Multiple Human Papillomavirus Types Replicate in 3A Trophoblasts. Placenta 2008, 29, 30–38. [Google Scholar] [CrossRef]
- Ambühl, L.M.M.; Villadsen, A.B.; Baandrup, U.; Dybkær, K.; Sørensen, S. HPV16 E6 and E7 upregulate interferon-induced antiviral response genes ISG15 and IFIT1 in human trophoblast cells. Pathogens 2017, 6, 3. [Google Scholar] [CrossRef]
- Gajewska, M.; Wielgos, M.; Kamiński, P.; Marianowski, P.; Malejczyk, M.; Majewski, S.; Marianowski, L. The occurrence of genital types of human papillomavirus in normal pregnancy and in pregnant renal transplant recipients. Neuroendocrinol. Lett. 2006, 27, 529–534. [Google Scholar] [PubMed]
- Levresse, V.; Moritz, S.; Renier, A.; Kheuang, L.; Galateau-Salle, F.; Mège, J.P.; Piedbois, P.; Salmons, B.; Guenzburg, W.; Jaurand, M.C. Effect of simian virus large T antigen expression on cell cycle control and apoptosis in rat pleural mesothelial cells exposed to DNA damaging agents. Oncogene 1998, 26, 1041–1053. [Google Scholar] [CrossRef] [PubMed]
- Tseng, C.J.; Lin, C.Y.; Wang, R.L.; Chen, L.J.; Chang, Y.L.; Hsieh, T.T.; Pao, C.C. Possible transplacental transmission of human papillomaviruses. Am. J. Obstet. Gynecol. 1992, 166, 35–40. [Google Scholar] [CrossRef]
- Worda, C.; Huber, A.; Hudelist, G.; Schatten, C.; Leipold, H.; Czerwenka, K.; Eppel, W. Prevalence of cervical and intrauterine human papillomavirus infection in the third trimester in asymptomatic women. J. Soc. Gynecol. Investig. 2005, 12, 440–444. [Google Scholar] [CrossRef]
- Armbruster-Moraes, E.; Ioshimoto, L.M.; Leao, E.; Zugaib, M. Detection of human papillomavirus deoxyribonucleic acid sequences in amniotic fluid during different periods of pregnancy. Am. J. Obstet. Gynecol. 1993, 169, 1074. [Google Scholar] [CrossRef]
- Ruffin, M.T., IV; Bailey, J.M.; Roulston, D.; Lee, D.R.; Tucker, R.A.; Swan, D.C.; Unger, E.R. Human papillomavirus in amniotic fluid. BMC Pregnancy Childbirth 2006, 6, 28. [Google Scholar] [CrossRef][Green Version]
- Favre, M.; Majewski, S.; De Jesus, N.; Malejczyk, M.; Orth, G.; Jablonska, S. A possible vertical transmission of human papillomavirus genotypes associated with epidermodysplasia verruciformis. J. Investig. Dermatol. 1998, 111, 333–336. [Google Scholar] [CrossRef]
- Eppel, W.; Worda, C.; Frigo, P.; Ulm, M.; Kucera, E.; Czerwenka, K. Human Papillomavirus in the Cervix and Placenta. Obstet. Gynecol. 2000, 96, 337–341. [Google Scholar] [CrossRef]
- Conde-Ferráez, L.; Chan May, A.D.A.; Carrillo-Martínez, J.R.; Ayora-Talavera, G.; González-Losa, M.D.R. Human papillomavirus infection and spontaneous abortion: A case-control study performed in Mexico. Eur. J. Obstet. Gynecol. Reprod. Biol. 2013. [Google Scholar] [CrossRef]
- Skoczyński, M.; Goździcka-Józefiak, A.; Kwaśniewska, A. Prevalence of human papillomavirus in spontaneously aborted products of conception. Acta Obstet. Gynecol. Scand. 2011, 90, 1402–1405. [Google Scholar] [CrossRef]
- Chisanga, C.; Eggert, D.; Mitchell, C.D.; Wood, C.; Angeletti, P.C. Evidence for Placental HPV Infection in Both HIV Positive and Negative Women. J. Cancer Ther. 2015, 6, 1276–1289. [Google Scholar] [CrossRef] [PubMed][Green Version]
- Slatter, T.L.; Hung, N.G.L.Y.; Clow, W.M.; Royds, J.A.; Devenish, C.J.; Hung, N.A. A clinicopathological study of episomal papillomavirus infection of the human placenta and pregnancy complications. Mod. Pathol. 2015, 28, 1369–1382. [Google Scholar] [CrossRef] [PubMed]
- Larry Maxwell, G. The absence of human papillomavirus in amniotic fluid. J. Low. Genit. Tract Dis. 1998, 2, 151–154. [Google Scholar] [CrossRef] [PubMed]
- Rintala, M.A.M.; Grénman, S.E.; Järvenkylä, M.E.; Syrjänen, K.J.; Syrjänen, S.M. High-Risk Types of Human Papillomavirus (HPV) DNA in Oral and Genital Mucosa of Infants during Their First 3 Years of Life: Experience from the Finnish HPV Family Study. Clin. Infect. Dis. 2005, 41, 1728–1733. [Google Scholar] [CrossRef] [PubMed]
- Foresta, C.; Garolla, A.; Zuccarello, D.; Pizzol, D.; Moretti, A.; Barzon, L.; Palù, G. Human papillomavirus found in sperm head of young adult males affects the progressive motility. Fertil. Steril. 2010, 93, 802–806. [Google Scholar] [CrossRef] [PubMed]
- Cao, X.; Wei, R.; Zhang, X.; Zhou, J.; Lou, J.; Cui, Y. Impact of human papillomavirus infection in semen on sperm progressive motility in infertile men: A systematic review and meta-analysis. Reprod. Biol. Endocrinol. 2020, 18, 38. [Google Scholar] [CrossRef] [PubMed]
- Yang, R.; Wang, Y.; Qiao, J.; Liu, P.; Geng, L.; Guo, Y.L. Does human papillomavirus infection do harm to in-vitro fertilization outcomes and subsequent pregnancy outcomes? Chin. Med. J. 2013, 126, 683–687. [Google Scholar] [CrossRef]
- Sifakis, S.; Ergazaki, M.; Sourvinos, G.; Koffa, M.; Koumantakis, E.; Spandidos, D.A. Evaluation of Parvo B19, CMV and HPV viruses in human aborted material using the polymerase chain reaction technique. Eur. J. Obstet. Gynecol. Reprod. Biol. 1998, 76, 169–173. [Google Scholar] [CrossRef]
- Hindson, B.J.; Ness, K.D.; Masquelier, D.A.; Belgrader, P.; Heredia, N.J.; Makarewicz, A.J.; Bright, I.J.; Lucero, M.Y.; Hiddessen, A.L.; Legler, T.C.; et al. High-throughput droplet digital PCR system for absolute quantitation of DNA copy number. Anal. Chem. 2011, 83, 8604–8610. [Google Scholar] [CrossRef]
- Tay, S.K.; Hsu, T.Y.; Pavelyev, A.; Walia, A.; Kulkarni, A.S. Clinical and economic impact of school-based nonavalent human papillomavirus vaccine on women in Singapore: A transmission dynamic mathematical model analysis. BJOG Int. J. Obstet. Gynaecol. 2018, 125, 478–486. [Google Scholar] [CrossRef]
- Neha, R.; Subeesh, V.; Beulah, E.; Gouri, N.; Maheswari, E. Postlicensure surveillance of human papillomavirus vaccine using the Vaccine Adverse Event Reporting System, 2006-2017. Perspect. Clin. Res. 2020, 11, 24–30. [Google Scholar] [CrossRef] [PubMed]
- Ault, K.A. Human papillomavirus vaccines and the potential for cross-protection between related HPV types. Gynecol. Oncol. 2007, 107, S31–S33. [Google Scholar] [CrossRef] [PubMed]
- Toft, L.; Tolstrup, M.; Müller, M.; Sehr, P.; Bonde, J.; Storgaard, M.; Østergaard, L.; Søgaard, O.S. Comparison of the immunogenicity of Cervarix® and Gardasil® human papillomavirus vaccines for oncogenic non-vaccine serotypes HPV-31, HPV-33, and HPV-45 in HIV-infected adults. Hum. Vaccin. Immunother. 2014, 10, 1147–1154. [Google Scholar] [CrossRef] [PubMed]
- Ortiz, A.P.; Tortolero-Luna, G.; Romaguera, J.; Pérez, C.M.; González, D.; Muñoz, C.; González, L.; Marrero, E.; Suárez, E.; Palefsky, J.M.; et al. Seroprevalence of HPV 6, 11, 16 and 18 and correlates of exposure in unvaccinated women aged 16–64 years in Puerto Rico. Papillomavirus Res. 2018, 37, 26–31. [Google Scholar] [CrossRef] [PubMed]
- Hagensee, M.; Slavinsky, J.; Gaffga, C.; Suros, J.; Kissinger, P.; Martin, D. Seroprevalence of human papillomavirus type 16 in pregnant women. Obstet. Gynecol. 1999, 94, 653–658. [Google Scholar] [CrossRef]


| Groups Number of Positive Samples/Total of Samples (%) | ||||
|---|---|---|---|---|
| PCR | ddPCR | |||
| Chorionic Villi | PBMCs | Chorionic Villi | PBMCs | |
| SA | 0/80 (0) | 0/80 (0) | 3/80 (3.7) | 0/80 (0) |
| VI | 2/80 (2.5) | 0/80 (0) | 4/80 (5) | 0/80 (0) |
| Groups | Number of Sera | Median Age ± SD | Number of Positive Samples/Total of Samples (%) |
|---|---|---|---|
| SA | 80 | 35 ± 4 | 30 (37.5) |
| VI | 80 | 31 ± 5 | 24 (30) |
© 2020 by the authors. Licensee MDPI, Basel, Switzerland. This article is an open access article distributed under the terms and conditions of the Creative Commons Attribution (CC BY) license (http://creativecommons.org/licenses/by/4.0/).
Share and Cite
Tognon, M.; Tagliapietra, A.; Magagnoli, F.; Mazziotta, C.; Oton-Gonzalez, L.; Lanzillotti, C.; Vesce, F.; Contini, C.; Rotondo, J.C.; Martini, F. Investigation on Spontaneous Abortion and Human Papillomavirus Infection. Vaccines 2020, 8, 473. https://doi.org/10.3390/vaccines8030473
Tognon M, Tagliapietra A, Magagnoli F, Mazziotta C, Oton-Gonzalez L, Lanzillotti C, Vesce F, Contini C, Rotondo JC, Martini F. Investigation on Spontaneous Abortion and Human Papillomavirus Infection. Vaccines. 2020; 8(3):473. https://doi.org/10.3390/vaccines8030473
Chicago/Turabian StyleTognon, Mauro, Andrea Tagliapietra, Federica Magagnoli, Chiara Mazziotta, Lucia Oton-Gonzalez, Carmen Lanzillotti, Fortunato Vesce, Carlo Contini, John Charles Rotondo, and Fernanda Martini. 2020. "Investigation on Spontaneous Abortion and Human Papillomavirus Infection" Vaccines 8, no. 3: 473. https://doi.org/10.3390/vaccines8030473
APA StyleTognon, M., Tagliapietra, A., Magagnoli, F., Mazziotta, C., Oton-Gonzalez, L., Lanzillotti, C., Vesce, F., Contini, C., Rotondo, J. C., & Martini, F. (2020). Investigation on Spontaneous Abortion and Human Papillomavirus Infection. Vaccines, 8(3), 473. https://doi.org/10.3390/vaccines8030473

