Features of the Human Antibody Response against the Respiratory Syncytial Virus Surface Glycoprotein G
Abstract
1. Introduction
2. Materials and Methods
2.1. Construct Design, Expression, and Purification of Soluble Recombinant G Proteins
2.2. Size Exclusion Chromatography and Dynamic Light Scattering
2.3. Denaturation and Deglycosylation of Recombinant A2-G for Enzyme-Linked Immunosorbent Assay (ELISA) Experiments
2.4. Peptide Synthesis and Purification
2.5. Demographic Characterization of Study Subjects
2.6. Enzyme-Linked Immunosorbent Assay (ELISA) Experiments
2.7. Virus Neutralization Assay
2.8. Determination of IgE Reactivity to A2-G by Dot-Blot
2.9. Statistical Analysis and Sequence Comparison
2.10. Data Availability and Guidelines
3. Results
3.1. Design of an Expression Construct Corresponding to the Soluble Form of RSV A2-Derived G Protein and Synthetic Overlapping Peptides Spanning the Complete Protein
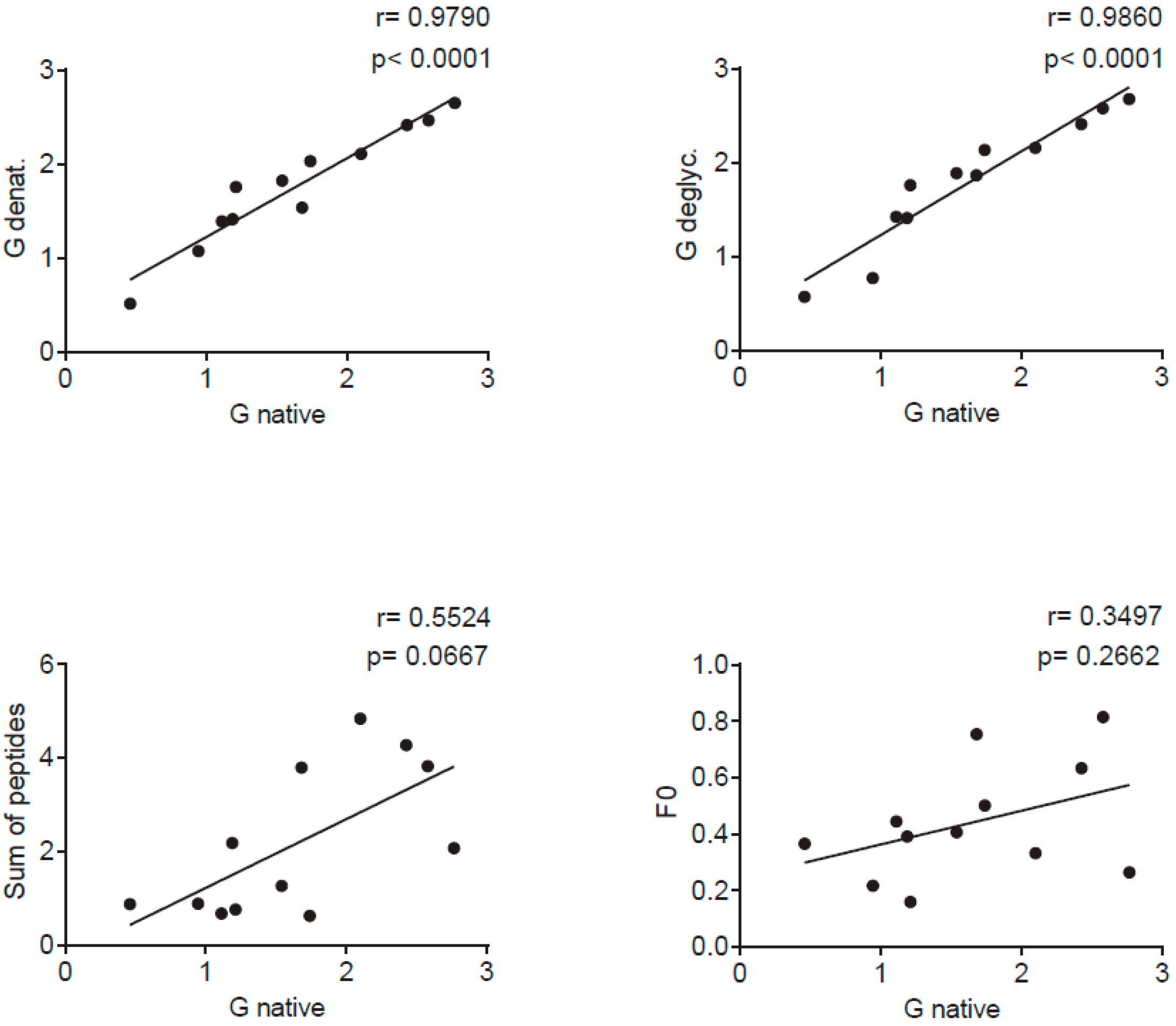
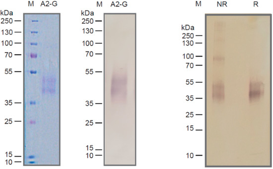
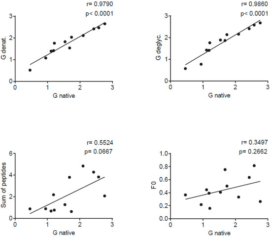
3.2. Expression, Purification, and Characterization of Recombinant RSV A2-Derived G Protein
3.3. RSV G-Specific IgG Responses Dominate over IgM and IgA and Are Significantly Stronger than F0-Specific Responses
3.4. Sequential RSV G-Derived Epitopes Are a Major Target of the IgG Response of Human Subjects
3.5. IgG Antibodies of Human Subjects Target Mainly Conserved and Exposed G-Derived Peptides but React also with Buried Peptides
3.6. The IgG RSV G Epitope Recognition Profile of Human Subjects Is Scattered but Remains Constant over One Year
3.7. IgG Subclass Recognition of RSV G May Be Indicative of a Mixed Th1/Th2 Immune Response
3.8. Increases of IgG Responses to RSV G in Wheezing Children
3.9. Sera Containing Mainly A2-G-Specific IgG Exhibit Virus-Neutralizing Activity
4. Discussion
5. Conclusions
Supplementary Materials
Author Contributions
Funding
Acknowledgments
Conflicts of Interest
References
- Jartti, T.; Smits, H.H.; Bønnelykke, K.; Cavkaytar, O.; Elenius, V.; Konradsen, J.R.; Maggina, P.; Makrinioti, H.; Stokholm, J.; Hedlin, G.; et al. Bronchiolitis needs a revisit: Distinguishing between virus entities and their treatments. Allergy 2018, 74, 40–52. [Google Scholar] [CrossRef] [PubMed]
- Wertz, G.W.; Moudy, R.M. Antigenic and genetic variation in human respiratory syncytial virus. Pediatr. Infect. Dis. J. 2004, 23, S19–S24. [Google Scholar] [CrossRef] [PubMed]
- Falsey, A.R.; Hennessey, P.A.; Formica, M.A.; Cox, C.; Walsh, E.E. Respiratory Syncytial Virus Infection in Elderly and High-Risk Adults. N. Engl. J. Med. 2005, 352, 1749–1759. [Google Scholar] [CrossRef] [PubMed]
- Hansel, T.T.; Johnston, S.L.; Openshaw, P.J. Microbes and mucosal immune responses in asthma. Lancet 2013, 381, 861–873. [Google Scholar] [CrossRef]
- Morris, J.A.; Blount, R.E.; Savage, R.E. Recovery of Cytopathogenic Agent from Chimpanzees with Goryza. Exp. Boil. Med. 1956, 92, 544–549. [Google Scholar] [CrossRef]
- Chanock, R.; Roizman, B.; Myers, R. Recovery from infants with respiratory illness of a virus related to chimpanzee coryza agent (CCA). Am. J. Epidemiol. 1957, 66, 281–290. [Google Scholar] [CrossRef]
- Battles, M.B.; McLellan, J.S. Respiratory syncytial virus entry and how to block it. Nat. Rev. Genet. 2019, 17, 233–245. [Google Scholar] [CrossRef]
- Johnson, P.R.; Spriggs, M.K.; Olmsted, R.A.; Collins, P.L. The G glycoprotein of human respiratory syncytial viruses of subgroups A and B: Extensive sequence divergence between antigenically related proteins. Proc. Natl. Acad. Sci. USA 1987, 84, 5625–5629. [Google Scholar] [CrossRef]
- Johnson, P.R.; A Olmsted, R.; A Prince, G.; Murphy, B.R.; Alling, D.W.; E Walsh, E.; Collins, P.L. Antigenic relatedness between glycoproteins of human respiratory syncytial virus subgroups A and B: Evaluation of the contributions of F and G glycoproteins to immunity. J. Virol. 1987, 61, 3163–3166. [Google Scholar] [CrossRef]
- Sullender, W.M. Respiratory Syncytial Virus Genetic and Antigenic Diversity. Clin. Microbiol. Rev. 2000, 13, 1–15. [Google Scholar] [CrossRef]
- Wertz, G.W.; Collins, P.L.; Huang, Y.; Grüber, C.; Levine, S.; Ball, L.A. Nucleotide sequence of the G protein gene of human respiratory syncytial virus reveals an unusual type of viral membrane protein. Proc. Natl. Acad. Sci. USA 1985, 82, 4075–4079. [Google Scholar] [CrossRef]
- Wertz, G.W.; Krieger, M.; A Ball, L. Structure and cell surface maturation of the attachment glycoprotein of human respiratory syncytial virus in a cell line deficient in O glycosylation. J. Virol. 1989, 63, 4767–4776. [Google Scholar] [CrossRef] [PubMed]
- Connor, E.M. Palivizumab, a Humanized Respiratory Syncytial Virus Monoclonal Antibody, Reduces Hospitalization From Respiratory Syncytial Virus Infection in High-risk Infants. Pediatrics 1998, 102, 531–537. [Google Scholar] [CrossRef]
- Nuijten, M.J.C.; Wittenberg, W.; Lebmeier, M.; Nuijten, M.J.C. Cost Effectiveness of Palivizumab for Respiratory Syncytial Virus Prophylaxis in High-Risk Children. PharmacoEconomics 2007, 25, 55–71. [Google Scholar] [CrossRef] [PubMed]
- Simard, C.; Nadon, F.; Séguin, C.; Trudel, M. Evidence that the amino acid region 124–203 of glycoprotein G from the respiratory syncytial virus (RSV) constitutes a major part of the polypeptide domain that is involved in the protection against RSV infection. Antivir. Res. 1995, 28, 303–315. [Google Scholar] [CrossRef]
- Lee, J.; Klenow, L.; Coyle, E.M.; Golding, H.; Khurana, S. Protective antigenic sites in respiratory syncytial virus G attachment protein outside the central conserved and cysteine noose domains. PLoS Pathog. 2018, 14, e1007262. [Google Scholar] [CrossRef]
- Jones, H.G.; Ritschel, T.; Pascual, G.; Brakenhoff, J.P.J.; Keogh, E.; Furmanova-Hollenstein, P.; Lanckacker, E.; Wadia, J.S.; Gilman, M.S.A.; Williamson, R.A.; et al. Structural basis for recognition of the central conserved region of RSV G by neutralizing human antibodies. PLoS Pathog. 2018, 14, e1006935. [Google Scholar] [CrossRef]
- Fuentes, S.; Klenow, L.; Golding, H.; Khurana, S. Preclinical evaluation of bacterially produced RSV-G protein vaccine: Strong protection against RSV challenge in cotton rat model. Sci. Rep. 2017, 7, 42428. [Google Scholar] [CrossRef]
- Tripp, R.A.; Power, U.F.; Openshaw, P.J.; Kauvar, L.M. Respiratory Syncytial Virus: Targeting the G Protein Provides a New Approach for an Old Problem. J. Virol. 2017, 92, e01302-17. [Google Scholar] [CrossRef]
- Levine, S.; Dajani, A.; Klaiber-Franco, R. The Response of Infants with Bronchiolitis to the Proteins of Respiratory Syncytial Virus. J. Gen. Virol. 1988, 69, 1229–1239. [Google Scholar] [CrossRef]
- Wagner, D.K.; Graham, B.S.; Wright, P.F.; E Walsh, E.; Kim, H.W.; Reimer, C.B.; Nelson, D.L.; Chanock, R.M.; Murphy, B.R. Serum immunoglobulin G antibody subclass responses to respiratory syncytial virus F and G glycoproteins after primary infection. J. Clin. Microbiol. 1986, 24, 304–306. [Google Scholar] [CrossRef] [PubMed]
- Wagner, D.K.; Nelson, D.L.; E Walsh, E.; Reimer, C.B.; Henderson, F.W.; Murphy, B.R. Differential immunoglobulin G subclass antibody titers to respiratory syncytial virus F and G glycoproteins in adults. J. Clin. Microbiol. 1987, 25, 748–750. [Google Scholar] [CrossRef]
- Wagner, D.K.; Muelenaer, P.; Henderson, F.W.; Snyder, M.H.; Reimer, C.B.; E Walsh, E.; Anderson, L.J.; Nelson, D.L.; Murphy, B.R. Serum immunoglobulin G antibody subclass response to respiratory syncytial virus F and G glycoproteins after first, second, and third infections. J. Clin. Microbiol. 1989, 27, 589–592. [Google Scholar] [CrossRef] [PubMed]
- Welliver, R.C.; Sun, M.; Hildreth, S.W.; Arumugham, R.; Ogra, P.L. Respiratory syncytial virus-specific antibody responses in immunoglobulin A and E isotypes to the F and G proteins and to intact virus after natural infection. J. Clin. Microbiol. 1989, 27, 295–299. [Google Scholar] [CrossRef] [PubMed]
- Fuentes, S.; Coyle, E.M.; Beeler, J.; Golding, H.; Khurana, S. Antigenic Fingerprinting following Primary RSV Infection in Young Children Identifies Novel Antigenic Sites and Reveals Unlinked Evolution of Human Antibody Repertoires to Fusion and Attachment Glycoproteins. PLoS Pathog. 2016, 12, e1005554. [Google Scholar] [CrossRef] [PubMed]
- Germann, T.; Bongartz, M.; Dlugonska, H.; Hess, H.; Schmitt, E.; Kolbe, L.; Kölsch, E.; Podlaski, F.J.; Gately, M.K.; Rüde, E. Interleukin-12 profoundly up-regulates the synthesis of antigen-specific complement-fixing IgG2a, IgG2b and IgG3 antibody subclassesin vivo. Eur. J. Immunol. 1995, 25, 823–829. [Google Scholar] [CrossRef]
- Stern, D.A.; Riedler, J.; Nowak, D.; Braun-Fahrlander, C.; Swoboda, I.; Balic, N.; Chen, K.-W.; Vrtala, S.; Grönlund, H.; Van Hage, M.; et al. Exposure to a farming environment has allergen-specific protective effects on TH2-dependent isotype switching in response to common inhalants. J. Allergy Clin. Immunol. 2007, 119, 351–358. [Google Scholar] [CrossRef]
- Langedijk, J.P.; Brandenburg, A.H.; Middel, W.G.; Osterhaus, A.; Meloen, R.H.; Van Oirschot, J.T. A subtype-specific peptide-based enzyme immunoassay for detection of antibodies to the G protein of human respiratory syncytial virus is more sensitive than routine serological tests. J. Clin. Microbiol. 1997, 35, 1656–1660. [Google Scholar] [CrossRef]
- Åkerlind-Stopner, B.; Utter, G.; Norrby, E.; Mufson, M.A. Evaluation of subgroup-specific peptides of the G protein of respiratory syncytial virus for characterization of the immune response. J. Med Virol. 1995, 47, 120–125. [Google Scholar] [CrossRef]
- Palomo, C.; Cane, P.A.; Melero, J.A. Evaluation of the antibody specificities of human convalescent-phase sera against the attachment (G) protein of human respiratory syncytial virus: Influence of strain variation and carbohydrate side chains. J. Med. Virol. 2000, 468–474. [Google Scholar] [CrossRef]
- Marlovits, T.; Zechmeister, T.; Schwihla, H.; Ronacher, B.; Blaas, D. Recombinant soluble low-density lipoprotein receptor fragment inhibits common cold infection. J. Mol. Recognit. 1998, 11, 49–51. [Google Scholar] [CrossRef]
- Pahr, S.; Selb, R.; Weber, M.; Focke-Tejkl, M.; Hofer, G.; Dordic, A.; Keller, W.; Papadopoulos, N.G.; Giavi, S.; Mäkelä, M.; et al. Biochemical, Biophysical and IgE-Epitope Characterization of the Wheat Food Allergen, Tri a 37. PLoS ONE 2014, 9, e111483. [Google Scholar] [CrossRef] [PubMed]
- Focke-Tejkl, M.; Weber, M.; Niespodziana, K.; Neubauer, A.; Huber, H.; Henning, R.; Stegfellner, G.; Maderegger, B.; Hauer, M.; Stolz, F.; et al. Development and characterization of a recombinant, hypoallergenic, peptide-based vaccine for grass pollen allergy. J. Allergy Clin. Immunol. 2014, 135, 1207–1217. [Google Scholar] [CrossRef] [PubMed]
- Stenberg-Hammar, K.; Niespodziana, K.; Söderhäll, C.; James, A.; Cabauatan, C.; Konradsen, J.R.; Melén, E.; Van Hage, M.; Valenta, R.; Hedlin, G. Rhinovirus-specific antibody responses in preschool children with acute wheeze reflect severity of respiratory symptoms. Allergy 2016, 71, 1728–1735. [Google Scholar] [CrossRef]
- Niespodziana, K.; Stenberg-Hammar, K.; Megremis, S.; Cabauatan, C.R.; Napora-Wijata, K.; Vacal, P.; Gallerano, D.; Lupinek, C.; Ebner, D.; Schlederer, T.; et al. PreDicta chip-based high resolution diagnosis of rhinovirus-induced wheeze. Nat. Commun. 2018, 9, 2382. [Google Scholar] [CrossRef] [PubMed]
- Gallerano, D.; Ndlovu, P.; Makupe, I.; Focke-Tejkl, M.; Fauland, K.; Wollmann, E.; Puchhammer-Stöckl, E.; Keller, W.; Sibanda, E.; Valenta, R. Comparison of the Specificities of IgG, IgG-Subclass, IgA and IgM Reactivities in African and European HIV-Infected Individuals with an HIV-1 Clade C Proteome-Based Array. PLoS ONE 2015, 10, e0117204. [Google Scholar] [CrossRef] [PubMed]
- Wu, S.-J.; Schmidt, A.; Beil, E.J.; Day, N.D.; Branigan, P.; Liu, C.; Gutshall, L.L.; Palomo, C.; Furze, J.; Taylor, G.; et al. Characterization of the epitope for anti-human respiratory syncytial virus F protein monoclonal antibody 101F using synthetic peptides and genetic approaches. J. Gen. Virol. 2007, 88, 2719–2723. [Google Scholar] [CrossRef]
- Huang, J.; Diaz, D.; Mousa, J.J. Antibody Epitopes of Pneumovirus Fusion Proteins. Front. Immunol. 2019, 10, 2778. [Google Scholar] [CrossRef]
- Megremis, S.; Niespodziana, K.; Cabauatan, C.; Xepapadaki, P.; Kowalski, M.L.; Jartti, T.; Bachert, C.; Finotto, S.; West, P.; Stamataki, S.; et al. Rhinovirus Species–Specific Antibodies Differentially Reflect Clinical Outcomes in Health and Asthma. Am. J. Respir. Crit. Care Med. 2018, 198, 1490–1499. [Google Scholar] [CrossRef]
- Niespodziana, K.; Borochova, K.; Pazderova, P.; Schlederer, T.; Astafyeva, N.; Baranovskaya, T.; Barbouche, M.-R.; Beltiukov, E.; Berger, A.; Borzova, E.; et al. Toward personalization of asthma treatment according to trigger factors. J. Allergy Clin. Immunol. 2020, 145, 1529–1534. [Google Scholar] [CrossRef]
- Niespodziana, K.; Napora, K.; Cabauatan, C.; Focke-Tejkl, M.; Keller, W.; Niederberger, V.; Tsolia, M.; Christodoulou, I.; Papadopoulos, N.G.; Valenta, R. Misdirected antibody responses against an N-terminal epitope on human rhinovirus VP1 as explanation for recurrent RV infections. FASEB J. 2011, 26, 1001–1008. [Google Scholar] [CrossRef] [PubMed]
- Lupinek, C.; Marth, K.; Niederberger, V.; Valenta, R. Analysis of serum IgE reactivity profiles with microarrayed allergens indicates absence of de novo IgE sensitizations in adults. J. Allergy Clin. Immunol. 2012, 130, 1418–1420.e4. [Google Scholar] [CrossRef] [PubMed]
- Niederberger, V.; Ring, J.; Rakoski, J.; Jäger, S.; Spitzauer, S.; Valent, P.; Horak, F.; Kundi, M.; Valenta, R. Antigens Drive Memory IgE Responses in Human Allergy via the Nasal Mucosa. Int. Arch. Allergy Immunol. 2006, 142, 133–144. [Google Scholar] [CrossRef] [PubMed]
- Niespodziana, K.; Cabauatan, C.; Jackson, D.J.; Gallerano, D.; Trujillo-Torralbo, B.; Del Rosario, A.; Mallia, P.; Valenta, R.; Johnston, S.L. Rhinovirus-induced VP1-specific Antibodies are Group-specific and Associated With Severity of Respiratory Symptoms. EBioMedicine 2015, 2, 64–70. [Google Scholar] [CrossRef]
- Simard, C.; Nadon, F.; Séguin, C.; Thien, N.N.; Binz, H.; Basso, J.; Laliberté, J.-F.; Trudel, M. Subgroup specific protection of mice from respiratory syncytial virus infection with peptides encompassing the amino acid region 174–187 from the G glycoprotein: The role of cysteinyl residues in protection. Vaccine 1997, 15, 423–432. [Google Scholar] [CrossRef]
- Plotnicky-Gilquin, H.; Goetsch, L.; Huss, T.; Champion, T.; Beck, A.; Haeuw, J.-F.; Nguyen, T.N.; Bonnefoy, J.-Y.; Corvaïa, N.; Power, U.F. Identification of Multiple Protective Epitopes (Protectopes) in the Central Conserved Domain of a Prototype Human Respiratory Syncytial Virus G Protein. J. Virol. 1999, 73, 5637–5645. [Google Scholar] [CrossRef]
- Lee, J.-Y.; Chang, J. Universal vaccine against respiratory syncytial virus A and B subtypes. PLoS ONE 2017, 12, e0175384. [Google Scholar] [CrossRef]
- Van Erp, E.A.; Luytjes, W.; Ferwerda, G.; Van Kasteren, P.B. Fc-Mediated Antibody Effector Functions During Respiratory Syncytial Virus Infection and Disease. Front. Immunol. 2019, 10, 548. [Google Scholar] [CrossRef]
- Smith-Norowitz, T.A.; Mandal, M.; Joks, R.; Smith-Norowitz, T.A.; Weaver, D.; Durkin, H.G.; Bluth, M.H.; Kohlhoff, S. IgE anti-respiratory syncytial virus antibodies detected in serum of pediatric patients with asthma. Hum. Immunol. 2015, 76, 519–524. [Google Scholar] [CrossRef]
- Fuentes, S.; Coyle, E.M.; Golding, H.; Khurana, S. Nonglycosylated G-Protein Vaccine Protects against Homologous and Heterologous Respiratory Syncytial Virus (RSV) Challenge, while Glycosylated G Enhances RSV Lung Pathology and Cytokine Levels. J. Virol. 2015, 89, 8193–8205. [Google Scholar] [CrossRef]










| Peptide ID | Sequence | Length (AA) | MW (Da) | pI |
|---|---|---|---|---|
| GP1 | MSKNKDQRTAKTLERTWDTLNHLLF | 25 | 3047.4 | 9.69 |
| GP2 | KDQRTAKTLERTWDTLNHLLFISSC | 25 | 2977.3 | 8.21 |
| GP3 | FISSCLYKLNLKSVAQITLSILAMI | 25 | 2770.4 | 9.20 |
| GP4 | ILAMIISTSLIIAAIIFIASANHKV | 25 | 2624.2 | 8.76 |
| GP5 | ANHKVTPTTAIIQDATSQIKNTTPT | 25 | 2651.9 | 8.64 |
| GP6 | NTTPTYLTQNPQLGISPSNPSEITS | 25 | 2660.8 | 4.00 |
| GP7 | SEITSQITTILASTTPGVKSTLQST | 25 | 2564.8 | 5.72 |
| GP8 | STLQSTTVKTKNTTTTQTQPSKPTT | 25 | 2680.9 | 10.30 |
| GP9 | SKPTTKQRQNKPPSKPNNDFHFEVF | 25 | 2972.3 | 10.00 |
| GP10 | DFHFEVFNFVPCSICSNNPTCWAICKR | 27 | 3178.6 | 6.72 |
| GP11 | TCWAICKRIPNKKPGKKTTTKPTKK | 25 | 2857.5 | 10.49 |
| GP12 | KPTKKPTLKTTKKDPKPQTTKSKEV | 25 | 2838.3 | 10.30 |
| GP13 | KSKEVPTTKPTEEPTINTTKTNIIT | 25 | 2772.1 | 8.43 |
| GP14 | TNIITTLLTSNTTGNPELTSQMETF | 25 | 2728.0 | 3.79 |
| GP15 | QMETFHSTSSEGNPSPSQVSTTSEY | 25 | 2718.8 | 4.24 |
| GP16 | PSPSQVSTTSEYPSQPSSPPNTPRQ | 25 | 2656.8 | 6.43 |
| Experiment | Number of Subjects | Gender Balance | Age Range | Mean Age | Allergic Patients | Non-Allergic Subjects |
|---|---|---|---|---|---|---|
| Figure 4, Figure 5, Figures S1 and S2 | n = 12 | m = 5, f = 7 | 26–46 (years) | 32 (years) | n = 2 | n = 10 |
| Figure 6 and Figure 7 | n = 18 | m = 9, f = 9 | 23–59 (years) | 40.4 (years) | n = 7 | n = 11 |
| Figure S3 | n = 15 | m = 7, f = 8 | 20–51 (years) | 34.6 (years) | n = 8 | n = 7 |
| Figure 8 | n = 12 | m = 8, f = 4 | 6–34 (months) | 19 (months) | unknown | unknown |
| Serum Sample | RSV-A2 (VR-1540) | RSV-B (VR-1580) |
|---|---|---|
| Standard | >256 | >256 |
| Patient serum | 152.91 | >256 |
| Palivizumab | >256 | >256 |
| human IgG1 | 4.04 | 4.4 |
© 2020 by the authors. Licensee MDPI, Basel, Switzerland. This article is an open access article distributed under the terms and conditions of the Creative Commons Attribution (CC BY) license (http://creativecommons.org/licenses/by/4.0/).
Share and Cite
Borochova, K.; Niespodziana, K.; Stenberg Hammar, K.; van Hage, M.; Hedlin, G.; Söderhäll, C.; Focke-Tejkl, M.; Valenta, R. Features of the Human Antibody Response against the Respiratory Syncytial Virus Surface Glycoprotein G. Vaccines 2020, 8, 337. https://doi.org/10.3390/vaccines8020337
Borochova K, Niespodziana K, Stenberg Hammar K, van Hage M, Hedlin G, Söderhäll C, Focke-Tejkl M, Valenta R. Features of the Human Antibody Response against the Respiratory Syncytial Virus Surface Glycoprotein G. Vaccines. 2020; 8(2):337. https://doi.org/10.3390/vaccines8020337
Chicago/Turabian StyleBorochova, Kristina, Katarzyna Niespodziana, Katarina Stenberg Hammar, Marianne van Hage, Gunilla Hedlin, Cilla Söderhäll, Margarete Focke-Tejkl, and Rudolf Valenta. 2020. "Features of the Human Antibody Response against the Respiratory Syncytial Virus Surface Glycoprotein G" Vaccines 8, no. 2: 337. https://doi.org/10.3390/vaccines8020337
APA StyleBorochova, K., Niespodziana, K., Stenberg Hammar, K., van Hage, M., Hedlin, G., Söderhäll, C., Focke-Tejkl, M., & Valenta, R. (2020). Features of the Human Antibody Response against the Respiratory Syncytial Virus Surface Glycoprotein G. Vaccines, 8(2), 337. https://doi.org/10.3390/vaccines8020337
