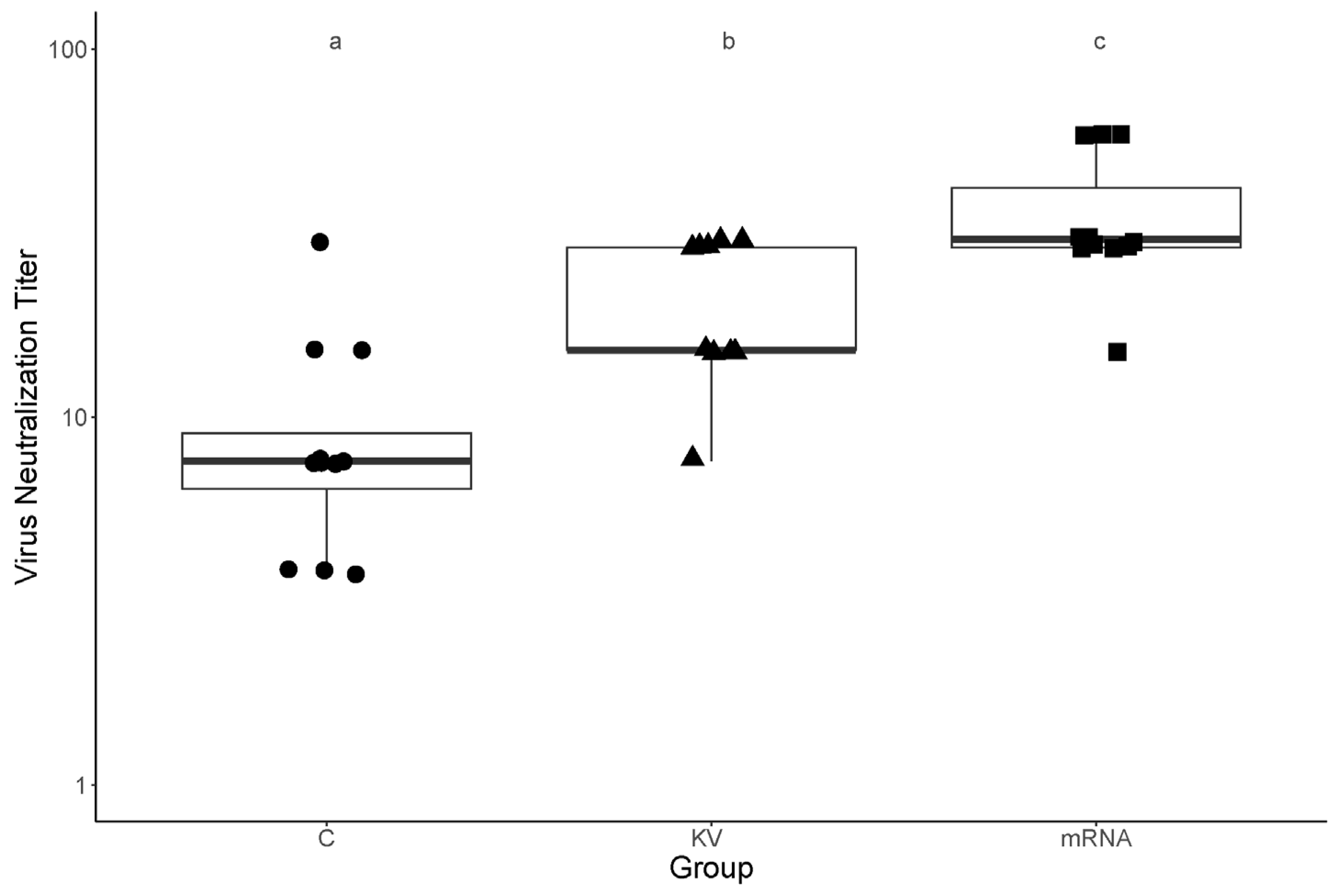
Maternal Immunization with VP8* mRNA Vaccine Yields Superior Passive Transfer of Rotavirus-Neutralizing Antibodies to Foals
Abstract
Share and Cite
Borba, K.E.R.; Legere, R.M.; Canaday, N.M.; Skrobarczyk, J.W.; Arnold, Z.W.T.; Cotton-Betteridge, E.; Poveda, C.; Criscitiello, M.F.; Bordin, A.I.; Berghman, L.R.; et al. Maternal Immunization with VP8* mRNA Vaccine Yields Superior Passive Transfer of Rotavirus-Neutralizing Antibodies to Foals. Vaccines 2026, 14, 76. https://doi.org/10.3390/vaccines14010076
Borba KER, Legere RM, Canaday NM, Skrobarczyk JW, Arnold ZWT, Cotton-Betteridge E, Poveda C, Criscitiello MF, Bordin AI, Berghman LR, et al. Maternal Immunization with VP8* mRNA Vaccine Yields Superior Passive Transfer of Rotavirus-Neutralizing Antibodies to Foals. Vaccines. 2026; 14(1):76. https://doi.org/10.3390/vaccines14010076
Chicago/Turabian StyleBorba, Karin E. R., Rebecca M. Legere, Nathan M. Canaday, Jill W. Skrobarczyk, Zachary W. T. Arnold, Elena Cotton-Betteridge, Cristina Poveda, Michael F. Criscitiello, Angela I. Bordin, Luc R. Berghman, and et al. 2026. "Maternal Immunization with VP8* mRNA Vaccine Yields Superior Passive Transfer of Rotavirus-Neutralizing Antibodies to Foals" Vaccines 14, no. 1: 76. https://doi.org/10.3390/vaccines14010076
APA StyleBorba, K. E. R., Legere, R. M., Canaday, N. M., Skrobarczyk, J. W., Arnold, Z. W. T., Cotton-Betteridge, E., Poveda, C., Criscitiello, M. F., Bordin, A. I., Berghman, L. R., Pollet, J. B. K., & Cohen, N. D. (2026). Maternal Immunization with VP8* mRNA Vaccine Yields Superior Passive Transfer of Rotavirus-Neutralizing Antibodies to Foals. Vaccines, 14(1), 76. https://doi.org/10.3390/vaccines14010076

