Comprehensive Assessment of Reactogenicity and Safety of the Live-Attenuated Chikungunya Vaccine (IXCHIQ®)
Abstract
1. Introduction
2. Datasets Included in Overview
3. Protocol-Defined Safety Analysis
3.1. Solicited Systemic Adverse Events
3.1.1. Fever
3.1.2. Arthralgia
3.1.3. Myalgia
3.1.4. Fatigue
3.1.5. Headache
3.2. Unsolicited Arthralgia-Related Adverse Events
3.2.1. Arthritis
3.2.2. Osteoarthritis
3.2.3. Musculoskeletal Stiffness, Joint Stiffness, Joint Swelling
4. Broad-Definition Adverse Events of Special Interest
4.1. VLA1553-301 Trial (VLA1553 and Placebo)
4.1.1. Overview of Broad-Definition AESIs

4.1.2. Broad-Definition AESI in Participants with Underlying Health Conditions
4.1.3. Broad-Definition AESIs by Age Group
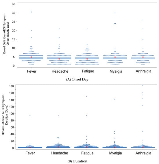
4.1.4. Onset and Duration of Broad-Definition AESIs
4.2. Pooled Results (VLA1553 Only)
5. Discussion
6. Conclusions
7. Future Directions
Supplementary Materials
Author Contributions
Funding
Institutional Review Board Statement
Informed Consent Statement
Data Availability Statement
Acknowledgments
Conflicts of Interest
References
- Simon, F.; Javelle, E.; Gasque, P. Chikungunya virus infections. N. Engl. J. Med. 2015, 373, 93–94. [Google Scholar] [CrossRef] [PubMed]
- Suhrbier, A.; Jaffar-Bandjee, M.C.; Gasque, P. Arthritogenic alphaviruses—An overview. Nat. Rev. Rheumatol. 2012, 8, 420–429. [Google Scholar] [CrossRef] [PubMed]
- National Institutes of Allergy and Infectious Disease. NIAID Emerging Infectious Diseases/Pathogens. Available online: https://www.niaid.nih.gov/research/emerging-infectious-diseases-pathogens (accessed on 20 May 2025).
- Bartholomeeusen, K.; Daniel, M.; LaBeaud, D.A.; Gasque, P.; Peeling, R.W.; Stephenson, K.E.; Ng, L.F.P.; Ariën, K.K. Chikungunya fever. Nat. Rev. Dis. Primers. 2023, 9, 17. [Google Scholar] [CrossRef] [PubMed] [PubMed Central]
- Simon, F.; Caumes, E.; Jelinek, T.; Lopez-Velez, R.; Steffen, R.; Chen, L.H. Chikungunya: Risks for travellers. J. Travel Med. 2023, 30, taad008. [Google Scholar] [CrossRef] [PubMed] [PubMed Central]
- Bettis, A.A.; L’Azou Jackson, M.; Yoon, I.K.; Breugelmans, J.G.; Goios, A.; Gubler, D.J.; Powers, A.M. The global epidemiology of chikungunya from 1999 to 2020: A systematic literature review to inform the development and introduction of vaccines. PLoS Neglected Trop. Dis. 2022, 16, e0010069. [Google Scholar] [CrossRef] [PubMed] [PubMed Central]
- Warner, J.C.; Hatziioanou, D.; Osborne, J.C.; Bailey, D.J.; Brooks, T.J.G.; Semper, A.E. Infections in travellers returning to the UK: A retrospective analysis (2015–2020). J. Travel Med. 2023, 30, taad003. [Google Scholar] [CrossRef] [PubMed]
- Laverdeur, J.; Desmecht, D.; Hayette, M.P.; Darcis, G. Dengue and chikungunya: Future threats for Northern Europe? Front. Epidemiol. 2024, 4, 1342723. [Google Scholar] [CrossRef] [PubMed] [PubMed Central]
- Prudhomme, J.; Fontaine, A.; Lacour, G.; Gantier, J.C.; Diancourt, L.; Velo, E.; Bino, S.; Reiter, P.; Mercier, A. The native European Aedes geniculatus mosquito species can transmit chikungunya virus. Emerg. Microbes Infect. 2019, 8, 962–972. [Google Scholar] [CrossRef] [PubMed] [PubMed Central]
- Cabie, A. Chikungunya. Rev. Prat. 2020, 70, 336–340. [Google Scholar] [PubMed]
- Couderc, T.; Khandoudi, N.; Grandadam, M.; Visse, C.; Gangneux, N.; Bagot, S.; Prost, J.; Lecuit, M. Prophylaxis and therapy for Chikungunya virus infection. J. Infect. Dis. 2009, 200, 516–523. [Google Scholar] [CrossRef] [PubMed] [PubMed Central]
- Marimoutou, C.; Ferraro, J.; Javelle, E.; Deparis, X.; Simon, F. Chikungunya infection: Self-reported rheumatic morbidity and impaired quality of life persist 6 years later. Clin. Microbiol. Infect. 2015, 21, 688–693. [Google Scholar] [CrossRef] [PubMed]
- Paixao, E.S.; Rodrigues, L.C.; Costa, M.; Itaparica, M.; Barreto, F.; Gerardin, P.; Teixeira, M.G. Chikungunya chronic disease: A systematic review and meta-analysis. Trans. R Soc. Trop. Med. 2018, 112, 301–316. [Google Scholar] [CrossRef] [PubMed]
- Puntasecca, C.J.; King, C.H.; LaBeaud, A.D. Measuring the global burden of chikungunya and Zika viruses: A systematic review. PLoS Neglected Trop. Dis. 2021, 15, e0009055. [Google Scholar] [CrossRef] [PubMed] [PubMed Central]
- Bierbrier, R.; Javelle, E.; Norman, F.F.; Chen, L.H.; Bottieau, E.; Schwartz, E.; Leder, K.; Angelo, K.M.; Stoney, R.J.; Libman, M.; et al. Chikungunya infection in returned travellers: Results from the geosentinel network, 2005–2020. J. Travel Med. 2024, 31, taae005. [Google Scholar] [CrossRef] [PubMed] [PubMed Central]
- Osman, S.; Preet, R. Dengue, chikungunya and Zika in GeoSentinel surveillance of international travellers: A literature review from 1995 to 2020. J. Travel Med. 2020, 27, taaa222. [Google Scholar] [CrossRef] [PubMed]
- Tozan, Y.; Headley, T.Y.; Javelle, E.; Gautret, P.; Grobusch, M.; de Pijper, C.; Asgeirsson, H.; Chen, L.H.; Bourque, D.L.; Menéndez, M.D.; et al. Impact, healthcare utilization and costs of travel-associated mosquito-borne diseases in international travellers: A prospective study. J. Travel Med. 2023, 30, taad060. [Google Scholar] [CrossRef] [PubMed]
- Wilder-Smith, A.B.; Wilder-Smith, A. Determining force of infection for chikungunya to support vaccine policy development. Lancet Infect. Dis. 2024, 24, 441–442. [Google Scholar] [CrossRef] [PubMed]
- Cerqueira-Silva, T.; Pescarini, J.M.; Cardim, L.L.; Leyrat, C.; Whitaker, H.; de Brito, C.A.A.; Brickley, E.B.; Barral-Netto, M.; Barreto, M.L.; Teixeira, M.G.; et al. Risk of death following chikungunya virus disease in the 100 Million Brazilian Cohort, 2015–2018: A matched cohort study and self-controlled case series. Lancet Infect. Dis. 2024, 24, 504–513. [Google Scholar] [CrossRef] [PubMed]
- Rama, K.; de Roo, A.M.; Louwsma, T.; Hofstra, H.S.; Gurgel do Amaral, G.S.; Vondeling, G.T.; Postma, M.J.; Freriks, R.D. Clinical outcomes of chikungunya: A systematic literature review and meta-analysis. PLoS Neglected Trop. Dis. 2024, 18, e0012254. [Google Scholar] [CrossRef] [PubMed] [PubMed Central]
- Salje, H.; Cortes Azuero, O. The deadly potential of chikungunya virus. Lancet Infect. Dis. 2024, 24, 442–444. [Google Scholar] [CrossRef] [PubMed]
- Ly, H. Ixchiq (VLA1553): The first FDA-approved vaccine to prevent disease caused by Chikungunya virus infection. Virulence 2024, 15, 2301573. [Google Scholar] [CrossRef] [PubMed] [PubMed Central]
- Chen, L.H.; Fritzer, A.; Hochreiter, R.; Dubischar, K.; Meyer, S. From bench to clinic: The development of VLA1553/IXCHIQ, a live-attenuated chikungunya vaccine. J. Travel Med. 2024, 31, taae123. [Google Scholar] [CrossRef] [PubMed] [PubMed Central]
- Ng, L.F.P.; Renia, L. Live-attenuated chikungunya virus vaccine. Cell 2024, 187, 813-e1. [Google Scholar] [CrossRef] [PubMed]
- Valneva. Valneva Announces U.S. FDA Approval of World’s First Chikungunya Vaccine, IXCHIQ®. Available online: https://valneva.com/press-release/valneva-announces-u-s-fda-approval-of-worlds-first-chikungunya-vaccine-ixchiq/#:~:text=Saint%2DHerblain%20(France)%2C,of%20disease%20caused%20by%20chikungunya (accessed on 20 May 2025).
- Valneva. Valneva Announces Health Canada Approval of World’s First Chikungunya Vaccine, IXCHIQ®. Available online: https://valneva.com/press-release/valneva-announces-health-canada-approval-of-the-worlds-first-chikungunya-vaccine-ixchiq/ (accessed on 20 May 2025).
- Valneva. Valneva Receives Marketing Authorization in Europe for the World’s First Chikungunya Vaccine, IXCHIQ®. Available online: https://valneva.com/press-release/valneva-receives-marketing-authorization-in-europe-for-the-worlds-first-chikungunya-vaccine-ixchiq/ (accessed on 20 May 2025).
- Medicines and Healthcare Products Regulatory Agency. IXCHIQ Vaccine Approved to Protect Adults Against Chikungunya. Available online: https://www.gov.uk/government/news/ixchiq-vaccine-approved-to-protect-adults-against-chikungunya (accessed on 20 May 2025).
- Irfan, H.; Ahmed, A. Advancements in chikungunya virus management: FDA approval of ixchiq vaccine and global perspectives. Health Sci. Rep. 2024, 7, e2183. [Google Scholar] [CrossRef] [PubMed] [PubMed Central]
- Weber, W.C.; Streblow, Z.J.; Kreklywich, C.N.; Denton, M.; Sulgey, G.; Streblow, M.M.; Marcano, D.; Flores, P.N.; Rodriguez-Santiago, R.M.; Alvarado, L.I.; et al. The approved live-attenuated chikungunya virus vaccine (IXCHIQ®) elicits cross-neutralizing antibody breadth extending to multiple arthritogenic alphaviruses similar to the antibody breadth following natural infection. Vaccines 2024, 12, 893. [Google Scholar] [CrossRef] [PubMed] [PubMed Central]
- Wressnigg, N.; Hochreiter, R.; Zoihsl, O.; Fritzer, A.; Bezay, N.; Klingler, A.; Lingnau, K.; Schneider, M.; Lundberg, U.; Meinke, A.; et al. Single-shot live-attenuated chikungunya vaccine in healthy adults: A phase 1, randomised controlled trial. Lancet Infect. Dis. 2020, 20, 1193–1203. [Google Scholar] [CrossRef] [PubMed]
- Schneider, M.; Narciso, M.; Hadl, S.; McMahon, R.; Töpfer, S.; Fuchs, U.; Hochreiter, R.; Bitzer, A.; Kosulin, K.; Larcher-Senn, J.; et al. Safety and immunogenicity of a single-shot live-attenuated chikungunya vaccine: A double-blind, multicenter, randomized, placebo-controlled phase 3 trial. Lancet 2023, 401, 2138–2147. [Google Scholar] [CrossRef]
- McMahon, R.; Fuchs, U.; Schneider, M.; Hadl, S.; Hochreiter, R.; Bitzer, A.; Kosulin, K.; Koren, M.; Mader, R.; Zoihsl, O.; et al. A randomized, double-blinded phase 3 study to demonstrate lot-to-lot consistency and to confirm immunogenicity and safety of the live-attenuated chikungunya virus vaccine candidate VLA1553 in healthy adults. J. Travel Med. 2024, 31, taad156. [Google Scholar] [CrossRef] [PubMed]
- McMahon, R.; Toepfer, S.; Sattler, N.; Schneider, M.; Narciso-Abraham, M.; Hadl, S.; Hochreiter, R.; Kosulin, K.; Mader, R.; Zoihsl, O.; et al. Antibody persistence and safety of a live-attenuated chikungunya virus vaccine up to 2 years after single-dose administration in adults in the USA: A single-arm, multicentre, phase 3b study. Lancet Infect. Dis. 2024, 12, 1383–1392. [Google Scholar] [CrossRef]
- Buerger, V.; Hadl, S.; Schneider, M.; Schaden, M.; Hochreiter, R.; Bitzer, A.; Kosulin, K.; Mader, R.; Zoihsl, O.; Pfeiffer, A.; et al. Safety and immunogenicity of a live-attenuated chikungunya virus vaccine in endemic areas of Brazil: Interim results of a double-blind, randomised, placebo-controlled phase 3 trial in adolescents. Lancet Infect. Dis. 2025, 25, 114–125. [Google Scholar] [CrossRef] [PubMed]
- Maurer, G.; Buerger, V.; Larcher-Senn, J.; Florian Erlsbacher, D.I.; Dubischar, K.; Eder-Lingelbach, S.; Jaramillo, J.C. Pooled safety evaluation for a new single-shot live-attenuated chikungunya vaccine. J. Travel Med. 2024, 31, taae133. [Google Scholar] [CrossRef] [PubMed]
- FDA. IXCHIQ (Chikungunya Vaccine, Live) Solution for Intramuscular Injection. Available online: https://www.fda.gov/files/vaccines%2C%20blood%20%26%20biologics/published/Package-Insert-IXCHIQ.pdf (accessed on 20 May 2025).
- EMA. IXCHIQ: Chikungunya Vaccine (Live). Available online: https://www.ema.europa.eu/en/medicines/human/EPAR/ixchiq#:~:text=The%20recommended%20dose%20is%20one,against%20mosquito%20bites%20after%20vaccination (accessed on 20 May 2025).
- Mayo Clinic. Crohn’s Disease. Available online: https://www.mayoclinic.org/diseases-conditions/crohns-disease/symptoms-causes/syc-20353304 (accessed on 20 May 2025).
- American College of Rheumatology. Osteoarthritis. Available online: https://www.rheumatology.org/I-Am-A/Patient-Caregiver/Diseases-Conditions/Osteoarthritis (accessed on 20 May 2025).
- Mayo Clinic. Broken Foot. Available online: https://www.mayoclinic.org/diseases-conditions/broken-foot/symptoms-causes/syc-20355492# (accessed on 20 May 2025).
- American Association of Orthopaedic Surgeons. The Impact of Obesity on Bone and Joint Health. Available online: https://www.aaos.org/contentassets/1cd7f41417ec4dd4b5c4c48532183b96/1184-the-impact-of-obesity-on-bone-and-joint-health1.pdf (accessed on 20 May 2025).
- Rath, L. The Link Between HLA-B27 and Arthritis 2022. Available online: https://www.arthritis.org/diseases/more-about/hla-b27-gene-and-arthritis (accessed on 20 May 2025).
- Ruscica, M.; Ferri, N.; Banach, M.; Sirtori, C.R.; Corsini, A. Side effects of statins: From pathophysiology and epidemiology to diagnostic and therapeutic implications. Cardiovasc. Res. 2023, 118, 3288–3304. [Google Scholar] [CrossRef] [PubMed]
- Storm, E.; Bendelin, N.; Wessman, K.B.; Johansson, M.M.; Bjork, M.; Dong, H.J. Lifestyle changes are burdensome with my body broken by pain and obesity: Patients’ perspectives after pain rehabilitation. BMC Musculoskelet. Disord. 2023, 24, 840. [Google Scholar] [CrossRef] [PubMed] [PubMed Central]
- Walsh, T.P.; Arnold, J.B.; Evans, A.M.; Yaxley, A.; Damarell, R.A.; Shanahan, E.M. The association between body fat and musculoskeletal pain: A systematic review and meta-analysis. BMC Musculoskelet. Disord. 2018, 19, 233. [Google Scholar] [CrossRef] [PubMed] [PubMed Central]
- WebMD. Spinal Osteoarthritis (Degenerative Arthritis of the Spine). Available online: https://www.webmd.com/osteoarthritis/spinal-osteoarthritis-degenerative-arthritis-of-the-spine (accessed on 20 May 2025).
- Csonka, V.; Varju, C.; Lendvay, M. Diabetes mellitus-related musculoskeletal disorders: Unveiling the cluster of diseases. Prim. Care Diabetes 2023, 17, 548–553. [Google Scholar] [CrossRef] [PubMed]
- Centers for Disease Control and Prevention. Osteoarthritis. Available online: https://www.cdc.gov/arthritis/osteoarthritis/index.html (accessed on 20 May 2025).
- Centers for Disease Control and Prevention. Chikungunya: CDC Yellow Book. 2024. Available online: https://wwwnc.cdc.gov/travel/yellowbook/2024/infections-diseases/chikungunya (accessed on 20 May 2025).
- Flandes, X.; Hansen, C.A.; Palani, S.; Abbas, K.; Bennett, C.; Caro, W.P.; Hutubessy, R.; Khazhidinov, K.; Lambach, P.; Maure, C.; et al. Vaccine value profile for Chikungunya. Vaccine 2024, 42, S9–S24. [Google Scholar] [CrossRef] [PubMed]
- FDA. Comirnaty Prescribing Information. Available online: https://www.fda.gov/media/151707/download (accessed on 20 May 2025).
- FDA. Shingrix Prescribing Information. Available online: https://www.fda.gov/media/108597/download (accessed on 20 May 2025).
- FDA. Spikevax Prescribing Information. Available online: https://www.fda.gov/media/155675/download (accessed on 20 May 2025).
- Mourad, O.; Makhani, L.; Chen, L.H. Chikungunya: An emerging public health concern. Curr. Infect. Dis. Rep. 2022, 24, 217–228. [Google Scholar] [CrossRef] [PubMed] [PubMed Central]
- Vairo, F.; Haider, N.; Kock, R.; Ntoumi, F.; Ippolito, G.; Zumla, A. Chikungunya: Epidemiology, pathogenesis, clinical features, management, and prevention. Infect. Dis. Clin. N. Am. 2019, 33, 1003–1025. [Google Scholar] [CrossRef] [PubMed]
- Chopra, A.; Anuradha, V.; Ghorpade, R.; Saluja, M. Acute Chikungunya and persistent musculoskeletal pain following the 2006 Indian epidemic: A 2-year prospective rural community study. Epidemiol. Infect. 2012, 140, 842–850. [Google Scholar] [CrossRef] [PubMed]
- Hoarau, J.J.; Jaffar Bandjee, M.C.; Krejbich Trotot, P.; Das, T.; Li-Pat-Yuen, G.; Dassa, B.; Denizot, M.; Guichard, E.; Ribera, A.; Henni, T.; et al. Persistent chronic inflammation and infection by Chikungunya arthritogenic alphavirus in spite of a robust host immune response. J. Immunol. 2010, 184, 5914–5927. [Google Scholar] [CrossRef] [PubMed]
- Ng, W.H.; Amaral, K.; Javelle, E.; Mahalingam, S. Chronic chikungunya disease (CCD): Clinical insights, immunopathogenesis and therapeutic perspectives. QJM 2024, 117, 489–494. [Google Scholar] [CrossRef] [PubMed] [PubMed Central]
- Watson, H.; Nogueira-Hayd, R.L.; Rodrigues-Moreno, M.; Naveca, F.; Calusi, G.; Suchowiecki, K.; Firestein, G.S.; Simon, G.; Chang, A.Y. Tender and swollen joint counts are poorly associated with disability in chikungunya arthritis compared to rheumatoid arthritis. Sci. Rep. 2021, 11, 18578. [Google Scholar] [CrossRef] [PubMed] [PubMed Central]
- Centers for Disease Control and Prevention. Vaccines and Immunizations: Possible Side Effects from Vaccines. Available online: https://www.cdc.gov/vaccines/basics/possible-side-effects.html (accessed on 20 May 2025).
Note: where ‘first’ is used in titles of citations, this refers to ‘first approved’ chikungunya vaccine (VLA1553/IXCHIQ®). Another chikungunya vaccine has been approved or may subsequently be approved by certain regulators. |



| Trial | Registration Number | Phase | Country | CHIKV Endemic? | Year | Design | Total Number of Participants | Number of Participants in Safety Population | Reference |
|---|---|---|---|---|---|---|---|---|---|
| VLA1553-101 | NCT03382964 | 1 | USA | No | 2018–2019 | Randomized, single-blind, multicenter, dose-escalation trial of three VLA1553 dose levels (low dose: 3.2 × 103 TCID50; medium dose: 3.2 × 104 TCID50; high dose: 3.2 × 105 TCID50) | 120 (31 low-dose, 30 medium-dose, 59 high-dose) | 120 | [31] |
| VLA1553-301 | NCT04546724 | 3 | USA | No | 2020–2021 | Randomized, double-blind, multicenter trial in two groups, VLA1553 and placebo in a 3:1 randomization | 4128 (3093 VLA1553, 1035 placebo) | 4115 | [32] |
| VLA1553-302 | NCT04786444 | 3 | USA | No | 2021 | Prospective, randomized, double-blind, multicenter lot-to-lot consistency trial using 3 VLA1553 lots | 409 (136 lot 1, 137 lot 2, 136 lot 3) | 408 | [33] |
| System Organ Class (SOC) | Preferred Terms (PTs) Included/Excluded |
|---|---|
| General disorders and administration site conditions | All reported AEs in this SOC except injection site erythema, injection site induration, injection site pain, injection site swelling, vaccination site pain, tenderness, nodule a |
| Musculoskeletal and connective tissue disorders | Arthralgia, arthritis, polyarthritis, polyarthralgia, back pain, myalgia |
| Nervous system disorders | All reported AEs in this SOC except postural dizziness, sciatica b |
| Cardiac disorders | All reported AEs in this SOC |
| Skin and subcutaneous tissue disorders | All reported AEs in this SOC except contact dermatitis, eczema, sensitive skin c |
| Blood and lymphatic system disorders | All reported AEs in this SOC except leukopenia, lymphocytosis, lymphopenia, neutropenia d |
| Eye disorders | Optic neuritis, retinitis, and uveitis |
| Group | Age/Race/Sex | Broad-Definition AESI Case? | Onset (Day) | Duration (Days) | Severity (By Investigator) | Outcome | Causality | Relevant Medical History |
|---|---|---|---|---|---|---|---|---|
| Prolonged arthralgia ≥ 30 days to <3 months duration | ||||||||
| VLA1553 | 59/B/F | No | 1 | 39 | Moderate | Recovered/resolved | Probable | Osteoarthritis (ongoing) |
| VLA1553 | 42/B/M a | No | 6 | 41 | Mild | Recovered/resolved | Possible | None |
| VLA1553 | 46/W/M | Yes | 4 | 48 b | Mild | Recovering/resolving | Probable | Chron’s disease (ongoing) |
| Placebo | 48/W/M | No | 4 | 63 | Moderate | Recovered/resolved | Probable | Obese (ongoing) |
| Prolonged arthralgia > 3 months duration | ||||||||
| VLA1553 | 61/W/F c | No | 7 | 119 | Mild | Recovered/resolved | Unlikely | Blood fibrinogen increased (ongoing) |
| VLA1553 | 40/B/M | No | 5 | 124 | Severe | Recovered/resolved | Probable | Osteoarthritis bilateral knees, (ongoing) Oedema peripheral (ongoing) |
| VLA1553 | 39/W/M d | Yes | 7 | 143 e | Moderate | Not recovered/not resolved | Not related | Left wrist fracture (resolved) |
| VLA1553 | 61/W/F | Yes | 15 f | 154 g | Mild | Not recovered/not resolved | Unlikely | None |
| VLA1553 | 44/W/M h | Yes | 8 | 162 g | Mild | Not recovered/not resolved | Not related | None |
| VLA1553 | 49/W/F | No | 6 | 165 g | Moderate | Not recovered/not resolved | Possible | Osteoarthritis (resolved) |
| VLA1553 | 62/W/F | No | 2 | 166 g | Moderate | Recovering/resolving | Possible | Cervical spinal stenosis (ongoing) |
| VLA1553 | 30/W/F | No | 7 | 177 | Mild | Recovered/resolved | Possible | None |
| Placebo | 42/W/M | No | 2 | 180 g | Mild | Recovering/resolving | Possible | Back pain (ongoing) Lumbar spinal stenosis (ongoing) Neck pain (ongoing) |
| VLA1553 | 50/W/F i | Yes | 2 | 182 g | Moderate | Not recovered/not resolved | Probable | Foot fracture (resolved) Obese (ongoing) Back pain (resolved) HLA-B27 positive |
| Group | Age/Race/Sex | Broad-Definition AESI Case? | Onset (Day) | Duration (Days) | Severity (By Investigator) | Outcome | Causality | Relevant Medical History |
|---|---|---|---|---|---|---|---|---|
| Prolonged myalgia ≥ 30 days to <3 months duration | ||||||||
| VLA1553 | 58/W/F | No | 2 | 30 | Mild a | Recovered/resolved | Probable | Fibromyalgia (ongoing) Back pain (ongoing) Type 2 diabetes mellitus (ongoing) |
| VLA1553 | 59/B/F | No | 1 | 39 | Mild | Recovered/resolved | Probable | Osteoarthritis (ongoing) |
| VLA1553 | 30/O/M | Yes | 4 | 42 b | Mild | Recovering/resolving | Possible | None |
| VLA1553 | 46/W/M | Yes | 4 | 48 b | Mild | Not recovered/not resolved | Possible | Hypercholesterolemia (ongoing) c |
| VLA1553 | 54/W/M | No | 5 | 62 | Mild | Recovered/resolved | Probable | None |
| VLA1553 | 62/I/M | No | 5 | 75 | Mild | Recovered/resolved | Probable | Hypercholesterolemia (ongoing) c |
| Prolonged myalgia > 3 months duration | ||||||||
| VLA1553 | 38/W/M d | Yes | 30 e | 142 f | Mild | Not recovered/not resolved | Not related | Obese (ongoing) Spinal osteoarthritis (ongoing) Myalgia (ongoing) Type 2 diabetes mellitus (ongoing) |
| VLA1553 | 57/W/F g | No | 6 | 194 f | Mild | Not recovered/not resolved | Unlikely | Type 2 diabetes mellitus (ongoing) |
| Adverse Event | Age/Race/Gender | BMI (kg/m2) | Onset (Day) | Duration (Days) | Reported Verbatim | Osteoarthritis Medical History? | Solicited Systemic Adverse Events (Start Day-End Day), Severity, Causality) |
|---|---|---|---|---|---|---|---|
| VLA1553 | |||||||
| Osteoarthritis | 62/W/F | 34.7 | 153 | 1 | Osteoarthritis in the knees | Yes (ongoing) | Nausea (4–4), mild, possible Headache (6–8), mild, probable |
| 54/W/F | 35.2 | 17 a | 4 | Acute right knee osteoarthritis | Yes (ongoing) | None | |
| 44/W/F | 28.4 | 24 a | 4 | Right hip pain worsening secondary to osteoarthritis | Yes (ongoing) | None | |
| 50/B/M | 25.7 | 10 a | 19 | Worsening of osteoarthritis | Yes (ongoing) | Nausea (3–3), mild, possible | |
| 60/W/M | 25.6 | 57 | 19 | Worsening of osteoarthritis bilateral hands | Yes (ongoing) | None | |
| 81/W/F | 29.6 | 149 | 21 b | Worsening of osteoarthritis right shoulder | Yes (ongoing) | None | |
| 60/W/F | 42.4 | 20 a | 27 | Exacerbation of osteoarthritis bilateral knees | Yes (ongoing) | Myalgia (1–2), mild, possible | |
| 48/W/F | 23.4 | 139 | 37 b | Degenerative osteoarthritis | No | Myalgia (3–7), mild, possible | |
| 55/W/M | 35.9 | 66 | 103 b | Early onset osteoarthritis (legs) | No | None | |
| 55/W/F | 35.6 | 49 | 121 b | Worsening of osteoarthritis bilateral hips | Yes (ongoing) | Myalgia (4–6), mild, possible | |
| 76/W/F | 38.1 | 8 a | 174 b | Chronic pain osteoarthritis (worsening) | Yes (ongoing) | Vomiting (9–10), mild, possible Fatigue (9–10), mild, possible Pyrexia (4–5), mild, probable Arthralgia (4–10), mild, probable Myalgia (9–10), mild, possible Headache (4–10), mild, probable | |
| Spinal osteo arthritis | 38/W/M | 48.1 | 30 | 142 b | Worsening of osteoarthritis cervical spine | Yes (ongoing) | Nausea (1–1), mild, probable Fatigue (1–10), mild probable Pyrexia (7–8), severe, probable Myalgia (7–22), moderate, probable Headache (7–9), mild, probable |
| Placebo | |||||||
| Osteoarthritis | 62/W/M | 29.7 | 74 | 114 b | Osteoarthritis pain to bilateral hands | Yes (ongoing) | None |
| 56/B/F | 39.5 | 27 a | 158 b | Exacerbation of osteoarthritis | Yes (ongoing) | Myalgia (2–2), mild, probable |
| VLA1553 (N = 3082) | Placebo (N = 1033) | |||
|---|---|---|---|---|
| n (%) Obs | n (%) Obs | |||
| Overall | Severe | Overall | Severe | |
| Any broad-definition AESI symptom | 361 (11.7) 1389 | 48 (1.6) 52 | 6 (0.6) 20 | 0 |
| Pyrexia | 361 (11.7) 361 | 39 (1.3) 39 | 6 (0.6) 6 | 0 |
| Headache | 280 (9.1) 282 | 1 (<0.1) 1 | 5 (0.5) 5 | 0 |
| Fatigue | 264 (8.6) 265 | 2 (0.1) 2 | 5 (0.5) 5 | 0 |
| Myalgia | 215 (7.0) 217 | 3 (0.1) 3 | 1 (0.1) 1 | 0 |
| Arthralgia | 159 (5.2) 162 | 5 (0.2) 5 | 2 (0.2) 2 | 0 |
| Chills | 29 (0.9) 29 | 0 | 0 | - |
| Rash | 22 (0.7) 24 | 0 | 0 | - |
| Back pain | 13 (0.4) 13 | 1 (<0.1) 1 | 0 | - |
| Lymphadenopathy | 9 (0.3) 10 | 0 | 0 | - |
| Dizziness | 6 (0.2) 6 | 0 | 0 | - |
| Pain | 4 (0.1) 4 | 0 | 0 | - |
| Paresthesia | 3 (0.1) 3 | 0 | 0 | - |
| Hyperhidrosis | 2 (0.1) 2 | 0 | 0 | - |
| Oedema peripheral | 2 (0.1) 2 | 0 | 0 | - |
| Asthenia | 1 (<0.1) 1 | 0 | 0 | - |
| Ataxia | 1 (<0.1) 1 | 0 | 0 | - |
| Atrial fibrillation | 1 (<0.1) 1 | 1 (<0.1) 1 | 0 | - |
| Chest pain | 0 | - | 1 (0.1) 1 | 0 |
| Feeling abnormal | 1 (<0.1) 1 | 0 | 0 | - |
| Hypoaesthesia | 1 (<0.1) 1 | 0 | 0 | - |
| Influenza-like illness | 1 (<0.1) 1 | 0 | 0 | - |
| Neuropathy peripheral | 1 (<0.1) 1 | 0 | 0 | - |
| Rash erythematous | 1 (<0.1) 1 | 0 | 0 | - |
| Syncope | 1 (<0.1) 1 | 0 | 0 | - |
| VLA1553 (N = 3082) | Placebo (N = 1033) | |
|---|---|---|
| n (%) Obs | n (%) Obs | |
| Any prolonged broad-definition AESI symptom | 14 (0.5) 21 | 0 |
| Severe | 1 (<0.1) 1 | - |
| Arthralgia | 5 (0.2) 6 | 0 |
| Severe | 0 | - |
| Fatigue | 3 (0.1) 3 | 0 |
| Severe | 0 | - |
| Headache | 3 (0.1) 3 | 0 |
| Severe | 0 | - |
| Myalgia | 3 (0.1) 3 | 0 |
| Severe | 0 | - |
| Lymphadenopathy | 2 (0.1) 2 | 0 |
| Severe | 0 | - |
| Back pain | 1 (<0.1) 1 | 0 |
| Severe | 1 (<0.1) 1 | - |
| Oedema peripheral | 1 (<0.1) 1 | 0 |
| Severe | 0 | - |
| Fever | 1 (<0.1) 1 | 0 |
| Severe | 0 | - |
| Rash erythematous | 1 (<0.1) 1 | 0 |
| Severe | 0 | - |
| VLA1553 (Pooled Analysis) a | |||
|---|---|---|---|
| Any Broad Definition AESI n (%) | Any Severe Broad-Definition AESI n (%) | Any Related Broad-Definition AESI n (%) | |
| Age group | |||
| 18–45 years (N = 2084) | 283 (13.6) | 49 (2.4) | 270 (13.0) |
| 46–64 years (N = 1180) | 116 (9.8) | 15 (1.3) | 113 (9.6) |
| 65–74 years (N = 287) | 32 (11.1) | 1 (0.3) | 30 (10.5) |
| 75–84 years (N = 54) | 4 (7.4) | 0 | 4 (7.4) |
| ≥85 years (N = 5) | 1 (20.0) | 0 | 1 (20.0) |
| Sex | |||
| Female (N = 1919) | 182 (9.5) | 21 (1.1) | 174 (9.1) |
| Male (N = 1691) | 254 (15.0) | 44 (2.6) | 244 (14.4) |
| Ethnicity | |||
| Hispanic or Latino (N = 608) | 67 (11.0) | 14 (2.3) | 65 (10.7) |
| Not Hispanic or Latino (N = 2961) | 365 (12.3) | 50 (1.7) | 349 (11.8) |
| Race | |||
| American Indian or Alaska Native (N = 33) | 3 (9.1) | 0 | 3 (9.1) |
| Asian (N = 74) | 11 (14.9) | 2 (2.7) | 10 (13.5) |
| Black or African American (N = 530) | 48 (9.1) | 8 (1.5) | 48 (9.1) |
| Native Hawaiian or Other Pacific Islander (N = 14) | 1 (7.1) | 0 | 1 (7.1) |
| White (N = 2867) | 362 (12.6) | 54 (1.9) | 345 (12.0) |
| Other (N = 92) | 11 (12.0) | 1 (1.1) | 11 (12.0) |
| Body mass index | |||
| <25 kg/m2 (N = 884) | 114 (12.9) | 11 (1.2) | 107 (12.1) |
| ≥25 kg/m2 to <30 kg/m2 (N = 1126) | 136 (12.1) | 23 (2.0) | 131 (11.6) |
| ≥30 kg/m2 to <35 kg/m2 (N = 833) | 90 (10.8) | 17 (2.0) | 88 (10.6) |
| ≥35 kg/m2 (N = 763) | 96 (12.6) | 14 (1.8) | 92 (12.1) |
Disclaimer/Publisher’s Note: The statements, opinions and data contained in all publications are solely those of the individual author(s) and contributor(s) and not of MDPI and/or the editor(s). MDPI and/or the editor(s) disclaim responsibility for any injury to people or property resulting from any ideas, methods, instructions or products referred to in the content. |
© 2025 by the authors. Licensee MDPI, Basel, Switzerland. This article is an open access article distributed under the terms and conditions of the Creative Commons Attribution (CC BY) license (https://creativecommons.org/licenses/by/4.0/).
Share and Cite
Maurer, G.; Buerger, V.; Larcher-Senn, J.; Erlsbacher, F.; Meyer, S.; Eder-Lingelbach, S.; Jaramillo, J.C. Comprehensive Assessment of Reactogenicity and Safety of the Live-Attenuated Chikungunya Vaccine (IXCHIQ®). Vaccines 2025, 13, 576. https://doi.org/10.3390/vaccines13060576
Maurer G, Buerger V, Larcher-Senn J, Erlsbacher F, Meyer S, Eder-Lingelbach S, Jaramillo JC. Comprehensive Assessment of Reactogenicity and Safety of the Live-Attenuated Chikungunya Vaccine (IXCHIQ®). Vaccines. 2025; 13(6):576. https://doi.org/10.3390/vaccines13060576
Chicago/Turabian StyleMaurer, Gabriele, Vera Buerger, Julian Larcher-Senn, Florian Erlsbacher, Stéphanie Meyer, Susanne Eder-Lingelbach, and Juan Carlos Jaramillo. 2025. "Comprehensive Assessment of Reactogenicity and Safety of the Live-Attenuated Chikungunya Vaccine (IXCHIQ®)" Vaccines 13, no. 6: 576. https://doi.org/10.3390/vaccines13060576
APA StyleMaurer, G., Buerger, V., Larcher-Senn, J., Erlsbacher, F., Meyer, S., Eder-Lingelbach, S., & Jaramillo, J. C. (2025). Comprehensive Assessment of Reactogenicity and Safety of the Live-Attenuated Chikungunya Vaccine (IXCHIQ®). Vaccines, 13(6), 576. https://doi.org/10.3390/vaccines13060576

