Safety and Immunogenicity of OVX836, a Nucleoprotein-Based Universal Influenza Vaccine, Co-Administered with Fluarix® Tetra, a Seasonal Hemagglutinin-Based Vaccine
Abstract
1. Introduction
2. Methods
3. Results
3.1. Study Population Demographics and Baseline Characteristics
3.2. Reactogenicity and Safety
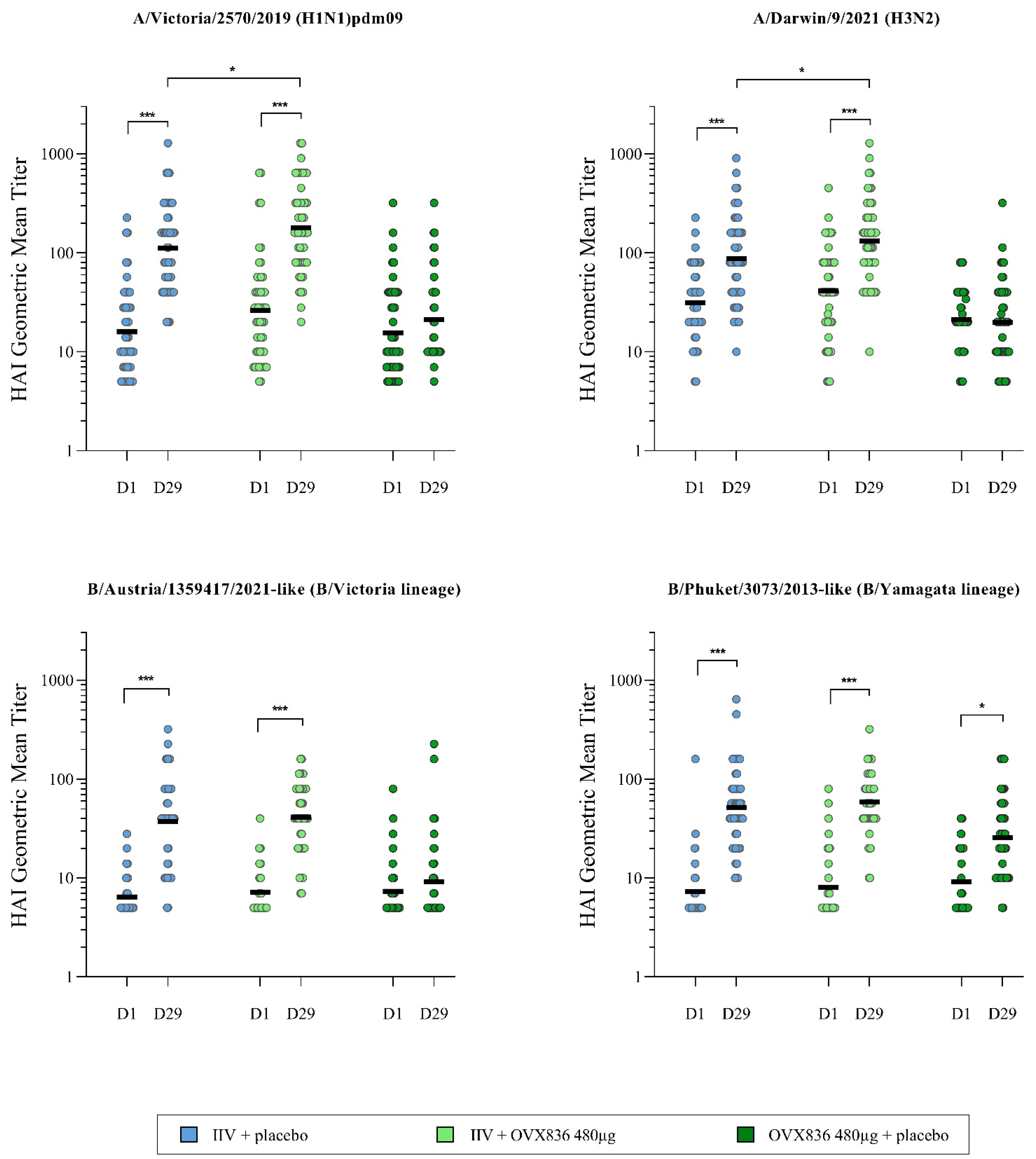
3.3. Hemagglutination Inhibition Assay
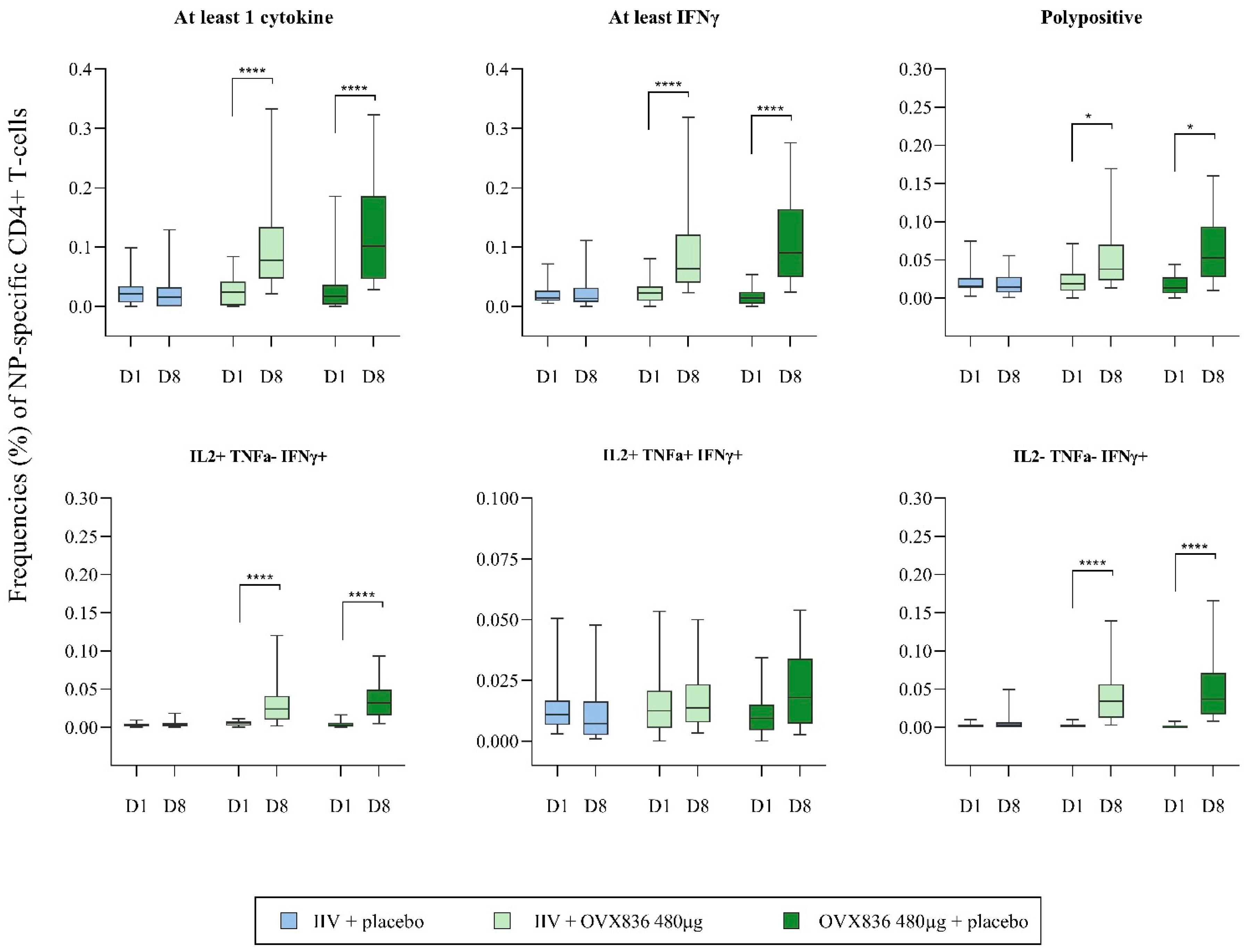
3.4. Cell-Mediated Anti-NP Immune Response
3.5. Humoral Anti-NP Immune Response
4. Discussion
5. Conclusions
Supplementary Materials
Author Contributions
Funding
Institutional Review Board Statement
Informed Consent Statement
Data Availability Statement
Acknowledgments
Conflicts of Interest
References
- Iuliano, A.D.; Roguski, K.M.; Chang, H.H.; Muscatello, D.J.; Palekar, R.; Tempia, S.; Cohen, C.; Gran, J.M.; Schanzer, D.; Cowling, B.J.; et al. Estimates of Global Seasonal Influenza-Associated Respiratory Mortality: A Modelling Study. Lancet 2018, 391, 1285–1300. [Google Scholar] [CrossRef] [PubMed]
- Mosmann, T.R.; McMichael, A.J.; LeVert, A.; McCauley, J.W.; Almond, J.W. Opportunities and Challenges for T Cell-Based Influenza Vaccines. Nat. Rev. Immunol. 2024, 24, 736–752. [Google Scholar] [CrossRef] [PubMed]
- Lafond, K.E.; Porter, R.M.; Whaley, M.J.; Suizan, Z.; Ran, Z.; Aleem, M.A.; Thapa, B.; Sar, B.; Proschle, V.S.; Peng, Z.; et al. Global Burden of Influenza-Associated Lower Respiratory Tract Infections and Hospitalizations Among Adults: A Systematic Review and Meta-Analysis. PLoS Med. 2021, 18, e1003550. [Google Scholar] [CrossRef]
- Rose, A.; Kissling, E.; Emborg, H.-D.; Larrauri, A.; McMenamin, J.; Pozo, F.; Trebbien, R.; Mazagatos, C.; Whitaker, H.; Valenciano, M.; et al. Interim 2019/20 Influenza Vaccine Effectiveness: Six European Studies, September 2019 to January 2020. Euro. Surveill. 2020, 25, 2000153. [Google Scholar] [CrossRef] [PubMed]
- Bartsch, S.M.; O’Shea, K.J.; Ferguson, M.C.; Bottazzi, M.E.; Wedlock, P.T.; Strych, U.; McKinnell, J.A.; Siegmund, S.S.; Cox, S.N.; Hotez, P.J.; et al. Vaccine Efficacy Needed for a COVID-19 Coronavirus Vaccine to Prevent or Stop an Epidemic as the Sole Intervention. Am. J. Prev. Med. 2020, 59, 493–503. [Google Scholar] [CrossRef]
- McElhaney, J.E.; Kuchel, G.A.; Zhou, X.; Swain, S.L.; Haynes, L. T-Cell Immunity to Influenza in Older Adults: A Pathophysiological Framework for Development of More Effective Vaccines. Front. Immunol. 2016, 7, 41. [Google Scholar] [CrossRef]
- Gianchecchi, E.; Torelli, A.; Montomoli, E. The Use of Cell-Mediated Immunity for the Evaluation of Influenza Vaccines: An Upcoming Necessity. Hum. Vaccines Immunother. 2019, 15, 1021–1030. [Google Scholar] [CrossRef]
- Janssens, Y.; Joye, J.; Waerlop, G.; Clement, F.; Leroux-Roels, G.; Leroux-Roels, I. The Role of Cell-Mediated Immunity against Influenza and Its Implications for Vaccine Evaluation. Front. Immunol. 2022, 13, 959379. [Google Scholar] [CrossRef]
- Wilkinson, T.M.; Li, C.K.F.; Chui, C.S.C.; Huang, A.K.Y.; Perkins, M.; Liebner, J.C.; Lambkin-Williams, R.; Gilbert, A.; Oxford, J.; Nicholas, B.; et al. Preexisting Influenza-Specific CD4+ T Cells Correlate with Disease Protection against Influenza Challenge in Humans. Nat. Med. 2012, 18, 274–280. [Google Scholar] [CrossRef]
- Rak, A.; Isakova-Sivak, I.; Rudenko, L. Nucleoprotein as a Promising Antigen for Broadly Protective Influenza Vaccines. Vaccines 2023, 11, 1747. [Google Scholar] [CrossRef]
- Hofmeyer, T.; Schmelz, S.; Degiacomi, M.T.; Dal, P.M.; Daneschdar, M.; Scrima, A.; van den Heuvel, J.; Heinz, D.W.; Kolmar, H. Arranged Sevenfold: Structural Insights into the C-Terminal Oligomerization Domain of Human C4b-Binding Protein. J. Mol. Biol. 2013, 425, 1302–1317. [Google Scholar] [CrossRef] [PubMed]
- Del Campo, J.; Pizzorno, A.; Djebali, S.; Bouley, J.; Haller, M.; Perez-Vargas, J.; Lina, B.; Boivin, G.; Hamelin, M.E.; Nicolas, F.; et al. OVX836 a Recombinant Nucleoprotein Vaccine Inducing Cellular Responses and Protective Efficacy against Multiple Influenza A Subtypes. NPJ Vaccines 2019, 4, 4. [Google Scholar] [CrossRef]
- Leroux-Roels, I.; Waerlop, G.; Tourneur, J.; De Boever, F.; Maes, C.; Bruhwyler, J.; Guyon-Gellin, D.; Moris, P.; Del Campo, J.; Willems, P.; et al. Randomized, Double-Blind, Reference-Controlled, Phase 2a Study Evaluating the Immunogenicity and Safety of OVX836, A Nucleoprotein-Based Influenza Vaccine. Front. Immunol. 2022, 13, 852904. [Google Scholar] [CrossRef]
- Leroux-Roels, I.; Willems, P.; Waerlop, G.; Janssens, Y.; Tourneur, J.; De Boever, F.; Bruhwyler, J.; Alhatemi, A.; Jacobs, B.; Nicolas, F.; et al. Immunogenicity, Safety, and Preliminary Efficacy Evaluation of OVX836, a Nucleoprotein-Based Universal Influenza A Vaccine Candidate: A Randomised, Double-Blind, Placebo-Controlled, Phase 2a Trial. Lancet Infect. Dis. 2023, 23, 1360–1369. [Google Scholar] [CrossRef]
- Jacobs, B.; Leroux-Roels, I.; Bruhwyler, J.; Groth, N.; Waerlop, G.; Janssens, Y.; Tourneur, J.; De Boever, F.; Alhatemi, A.; Moris, P.; et al. Evaluation of Safety, Immunogenicity and Cross-Reactive Immunity of OVX836, a Nucleoprotein-Based Universal Influenza Vaccine, in Older Adults. Vaccines 2024, 12, 1391. [Google Scholar] [CrossRef] [PubMed]
- Babar, M.M.; Zaidi, N.U. Protein Sequence Conservation and Stable Molecular Evolution Reveals Influenza Virus Nucleoprotein as a Universal Druggable Target. Infect. Genet. Evol. 2015, 34, 200–210. [Google Scholar] [CrossRef] [PubMed]
- Jang, Y.H.; Seong, B.L. Call for a Paradigm Shift in the Design of Universal Influenza Vaccines by Harnessing Multiple Correlates of Protection. Expert Opin. Drug Discov. 2020, 15, 1441–1455. [Google Scholar] [CrossRef]
- Yeh, S.H.; Ward, J.I. Strategies for Development of Combination Vaccines. Pediatr. Infect. Dis. J. 2001, 20, S5–S9. [Google Scholar] [CrossRef]
- Marcy, S.M. Pediatric Combination Vaccines: Their Impact on Patients, Providers, Managed Care Organizations, and Manufacturers. Am. J. Manag. Care 2003, 9, 314–320. [Google Scholar]
- Bar-On, E.S.; Goldberg, E.; Hellmann, S.; Leibovici, L. Combined DTP-HBV-HIB Vaccine versus Separately Administered DTP-HBV and HIB Vaccines for Primary Prevention of Diphtheria, Tetanus, Pertussis, Hepatitis B and Haemophilus Influenzae B (HIB). Cochrane Database Syst. Rev. 2012, 2012, CD005530. [Google Scholar] [CrossRef]
- Antrobus, R.D.; Berthoud, T.K.; Mullarkey, C.E.; Hoschler, K.; Coughlan, L.; Zambon, M.; Hill, A.V.S.; Gilbert, S.C. Coadministration of Seasonal Influenza Vaccine and MVA-NP+M1 Simultaneously Achieves Potent Humoral and Cell-Mediated Responses. Mol. Ther. J. Am. Soc. Gene Ther. 2014, 22, 233–238. [Google Scholar] [CrossRef] [PubMed]
- Carragher, D.M.; Kaminski, D.A.; Moquin, A.; Hartson, L.; Randall, T.D. A Novel Role for Non-Neutralizing Antibodies against Nucleoprotein in Facilitating Resistance to Influenza Virus. J. Immunol. Baltim. Md. 2008, 181, 4168–4176. [Google Scholar] [CrossRef] [PubMed]
- Jegaskanda, S.; Vanderven, H.A.; Wheatley, A.K.; Kent, S.J. Fc or Not Fc; That Is the Question: Antibody Fc-Receptor Interactions Are Key to Universal Influenza Vaccine Design. Hum. Vaccines Immunother. 2017, 13, 1288–1296. [Google Scholar] [CrossRef] [PubMed]
- Jegaskanda, S.; Amarasena, T.H.; Laurie, K.L.; Tan, H.-X.; Butler, J.; Parsons, M.S.; Alcantara, S.; Petravic, J.; Davenport, M.P.; Hurt, A.C.; et al. Standard Trivalent Influenza Virus Protein Vaccination Does Not Prime Antibody-Dependent Cellular Cytotoxicity in Macaques. J. Virol. 2013, 87, 13706–13718. [Google Scholar] [CrossRef]
- Crockett, M.; Keystone, J. “I Hate Needles” and Other Factors Impacting on Travel Vaccine Uptake. J. Travel Med. 2005, 12 (Suppl. S1), S41–S46. [Google Scholar] [CrossRef][Green Version]
- McLenon, J.; Rogers, M.A.M. The Fear of Needles: A Systematic Review and Meta-Analysis. J. Adv. Nurs. 2019, 75, 30–42. [Google Scholar] [CrossRef]
- Love, A.S.; Love, R.J. Considering Needle Phobia among Adult Patients During Mass COVID-19 Vaccinations. J. Prim. Care Community Health 2021, 12, 21501327211007393. [Google Scholar] [CrossRef]





| IIV + Placebo | IIV + OVX836 480 µg | OVX836 480 µg + Placebo | All Participants | |
|---|---|---|---|---|
| N = 60 | N = 60 | N = 60 | N = 180 | |
| Age (year) | 40.9 ± 12.9 | 36.6 ± 12.3 | 36.0 ± 12.9 | 37.8 ± 12.8 |
| Weight (kg) | 78.0 ± 14.6 | 76.0 ± 13.8 | 77.1 ± 13.5 | 77.0 ± 13.9 |
| Height (cm) | 172 ± 10 | 171 ± 8 | 173 ± 10 | 172 ± 9 |
| BMI (kg/m2) | 26.2 ± 3.7 | 26.0 ± 3.9 | 25.8 ± 3.8 | 26.0 ± 3.8 |
| Sex (female) | 34 (56.7) | 36 (60.0) | 37 (61.7) | 107 (59.4) |
| Race (White) | 49 (81.7) | 49 (81.7) | 48 (80.0) | 146 (81.1) |
| Smoking status | ||||
| Nonsmoker | 46 (76.7) | 49 (81.7) | 42 (70.0) | 137 (76.1) |
| Current smoker | 5 (8.3) | 0 (0.0) | 3 (5.0) | 8 (4.4) |
| Former smoker | 9 (15.0) | 11 (18.3) | 15 (25.0) | 35 (19.4) |
| Intensity | IIV + Placebo (N = 60) | IIV + OVX836 480 µg (N = 60) | OVX836 480 µg + Placebo (N = 60) | |
|---|---|---|---|---|
| Solicited local symptoms | ||||
| Pain | All | 31 (51.7) | 52 (86.7) | 48 (80.0) |
| Severe | 0 (0.0) | 0 (0.0) | 0 (0.0) | |
| Redness | All | 2 (3.3) | 5 (8.3) | 1 (1.7) |
| Severe | 0 (0.0) | 0 (0.0) | 0 (0.0) | |
| Swelling | All | 3 (5.0) | 7 (11.7) | 4 (6.7) |
| Severe | 0 (0.0) | 0 (0.0) | 0 (0.0) | |
| Solicited systemic symptoms | ||||
| Arthralgia | All | 16 (26.7) | 15 (25.0) | 15 (25.0) |
| Severe | 0 (0.0) | 0 (0.0) | 0 (0.0) | |
| Fatigue | All | 27 (45.0) | 34 (56.7) | 34 (56.7) |
| Severe | 1 (1.7) | 0 (0.0) | 0 (0.0) | |
| Fever | All | 3 (5.0) | 2 (3.3) | 1 (1.7) |
| Severe | 0 (0.0) | 0 (0.0) | 0 (0.0) | |
| Headache | All | 20 (33.3) | 30 (50.0) | 26 (43.3) |
| Severe | 0 (0.0) | 0 (0.0) | 1 (1.7) | |
| Malaise | All | 18 (30.0) | 17 (28.3) | 17 (28.3) |
| Severe | 0 (0.0) | 0 (0.0) | 0 (0.0) | |
| Myalgia | All | 27 (45.0) | 39 (65.0) | 33 (55.0) |
| Severe | 1 (1.7) | 0 (0.0) | 0 (0.0) | |
| Unsolicited adverse events | ||||
| All | 22 (36.7) | 19 (31.7) | 20 (33.3) | |
| Severe | 0 (0.0) | 0 (0.0) | 0 (0.0) | |
| Related to the IP | 7 (11.7) | 13 (21.7) | 8 (13.3) | |
| Related to the IP and severe | 0 (0.0) | 0 (0.0) | 0 (0.0) | |
| Serious adverse events | ||||
| All | 1 (1.7) | 2 (3.3) | 0 (0.0) | |
| Related to the IP | 0 (0.0) | 0 (0.0) | 0 (0.0) | |
| Parameter | Strain | IIV + placebo (N = 48) n (%) [95% CI] | Criterion of the CPMP/FDA Guidelines Achieved | IIV + OVX836 480 µg (N = 49) n (%) [95% CI] | Criterion of the CPMP/FDA Guidelines Achieved |
|---|---|---|---|---|---|
| HAI seroconversion rate | A/Victoria/2570/2019 (H1N1) pdm09 | 38 (79.2) [65.0–89.5] | Yes/Yes | 34 (69.4) [54.6–81.8] | Yes/Yes |
| A/Darwin/9/2021 (H3N2) | 17 (35.4) [22.2–50.5] | No/No | 17 (34.7) [21.7–49.6] | No/No | |
| B/Austria/1359417/2021-like (B/Victoria lineage) | 30 (62.5) [47.4–76.1] | Yes/Yes | 32 (65.3) [50.4–78.3] | Yes/Yes | |
| B/Phuket/3073/2013-like (B/Yamagata lineage) | 33 (68.8) [53.8–81.3] | Yes/Yes | 36 (73.5) [58.9–85.1] | Yes/Yes | |
| HAI seroprotection rate | A/Victoria/2570/2019 (H1N1) pdm09 | 45 (93.8) [82.8–98.7] | Yes/Yes | 47 (95.9) [86.0–99.5] | Yes/Yes |
| A/Darwin/9/2021 (H3N2) | 39 (81.3) [67.4–91.1] | Yes/No | 48 (98.0) [89.2–100.0] | Yes/Yes | |
| B/Austria/1359417/2021-like (B/Victoria lineage) | 33 (68.8) [53.8–81.3] | No/No | 34 (69.4) [54.6–81.8] | No/No | |
| B/Phuket/3073/2013-like (B/Yamagata lineage) | 35 (72.9) [58.2–84.7] | Yes/No | 43 (87.8) [75.2–95.4] | Yes/Yes | |
| GMR (95% CI) | GMR (95% CI) | ||||
| HAI Day 29/Day 1 GMR | A/Victoria/2570/2019 (H1N1) pdm09 | 7.02 (5.20–9.48) | Yes | 6.79 (4.97–9.28) | Yes |
| A/Darwin/9/2021 (H3N2) | 2.80 (2.03–3.85) | Yes | 3.17 (2.24–4.50) | Yes | |
| B/Austria/1359417/2021-like (B/Victoria lineage) | 5.78 (4.29–7.77) | Yes | 5.74 (4.60–7.17) | Yes | |
| B/Phuket/3073/2013-like (B/Yamagata lineage) | 7.02 (5.19–9.49) | Yes | 7.29 (5.74–9.26) | Yes |
Disclaimer/Publisher’s Note: The statements, opinions and data contained in all publications are solely those of the individual author(s) and contributor(s) and not of MDPI and/or the editor(s). MDPI and/or the editor(s) disclaim responsibility for any injury to people or property resulting from any ideas, methods, instructions or products referred to in the content. |
© 2025 by the authors. Licensee MDPI, Basel, Switzerland. This article is an open access article distributed under the terms and conditions of the Creative Commons Attribution (CC BY) license (https://creativecommons.org/licenses/by/4.0/).
Share and Cite
Groth, N.; Bruhwyler, J.; Tourneur, J.; Piat, E.; Moris, P.; Le Vert, A.; Nicolas, F. Safety and Immunogenicity of OVX836, a Nucleoprotein-Based Universal Influenza Vaccine, Co-Administered with Fluarix® Tetra, a Seasonal Hemagglutinin-Based Vaccine. Vaccines 2025, 13, 558. https://doi.org/10.3390/vaccines13060558
Groth N, Bruhwyler J, Tourneur J, Piat E, Moris P, Le Vert A, Nicolas F. Safety and Immunogenicity of OVX836, a Nucleoprotein-Based Universal Influenza Vaccine, Co-Administered with Fluarix® Tetra, a Seasonal Hemagglutinin-Based Vaccine. Vaccines. 2025; 13(6):558. https://doi.org/10.3390/vaccines13060558
Chicago/Turabian StyleGroth, Nicola, Jacques Bruhwyler, Jessika Tourneur, Emilie Piat, Philippe Moris, Alexandre Le Vert, and Florence Nicolas. 2025. "Safety and Immunogenicity of OVX836, a Nucleoprotein-Based Universal Influenza Vaccine, Co-Administered with Fluarix® Tetra, a Seasonal Hemagglutinin-Based Vaccine" Vaccines 13, no. 6: 558. https://doi.org/10.3390/vaccines13060558
APA StyleGroth, N., Bruhwyler, J., Tourneur, J., Piat, E., Moris, P., Le Vert, A., & Nicolas, F. (2025). Safety and Immunogenicity of OVX836, a Nucleoprotein-Based Universal Influenza Vaccine, Co-Administered with Fluarix® Tetra, a Seasonal Hemagglutinin-Based Vaccine. Vaccines, 13(6), 558. https://doi.org/10.3390/vaccines13060558

